Sign in to use this feature.

Years

Between: -

Subjects

remove_circle_outline
remove_circle_outline
remove_circle_outline
remove_circle_outline
remove_circle_outline
remove_circle_outline
remove_circle_outline

Journals

Article Types

Countries / Regions

Search Results (123)

Search Parameters:
Keywords = alpha-smooth muscle actin (α-SMA)

Order results
Result details
Results per page
Select all
Export citation of selected articles as:
13 pages, 5293 KB  
Article
Histopathological and Molecular Characterization of Amlodipine-Induced Gingival Enlargement: Insights into Fibrotic Mechanisms
by Jana Mojsilović, Marina Kostić, Sanja Vujović Ristić, Momir Stevanović, Milovan Stević, Sanja Knežević and Nemanja Jovičić
Pharmaceuticals 2026, 19(1), 45; https://doi.org/10.3390/ph19010045 - 24 Dec 2025
Viewed by 245
Abstract
Background/Objectives: Amlodipine, a widely prescribed calcium channel blocker, has been associated with gingival enlargement, yet the mechanisms underlying this adverse effect remain unclear. The present study aimed to explore molecular and histopathological factors potentially contributing to gingival changes in patients receiving amlodipine [...] Read more.
Background/Objectives: Amlodipine, a widely prescribed calcium channel blocker, has been associated with gingival enlargement, yet the mechanisms underlying this adverse effect remain unclear. The present study aimed to explore molecular and histopathological factors potentially contributing to gingival changes in patients receiving amlodipine therapy, with a particular focus on molecules implicated in extracellular matrix turnover and tissue remodeling. Methods: The study included three groups of participants: patients with amlodipine-induced gingival enlargement, patients with gingival enlargement of inflammatory origin, and amlodipine-treated patients without gingival overgrowth. Gingival tissue samples were analyzed using hematoxylin-eosin staining to assess inflammatory changes and general tissue architecture, and Picrosirius Red staining to visualize collagen fibers. Relative gene expression of alpha-smooth muscle actin (α-SMA), IL-13, MMP-1, and procollagen was determined by real-time PCR, while collagen content was quantified using ImageJ software. Results: Histopathological evaluation revealed a less pronounced inflammatory response in amlodipine-related gingival enlargement compared to those who did not use amlodipine. The highest expression of α-SMA was detected in patients who did not receive amlodipine, whereas IL-13 and procollagen expression were markedly elevated in the amlodipine-induced group compared to others. MMP-1 expression was significantly lower in amlodipine-treated patients relative to those who did not use amlodipine, suggesting impaired collagen degradation. These findings, together with our previous results indicating enhanced expression of profibrotic mediators, suggest that altered extracellular matrix metabolism is potentially dominant in this condition. Conclusions: Amlodipine-induced gingival enlargement appears to involve a multifactorial process characterized by a prominent fibrotic component, reduced matrix degradation, and secondary inflammation. Full article
(This article belongs to the Section Medicinal Chemistry)
Show Figures

Figure 1

19 pages, 1479 KB  
Article
Blue Light (λ = 453 nm) Significantly Reduces TGF-β-Induced Fibroblast Differentiation Through Reversible Disruption of Mitochondrial Respiration, Glycolysis, and ATP Production Rate
by Pia Steentjes, Julia Krassovka, Christoph V. Suschek, Uwe Maus and Lisa Oezel
Biomedicines 2025, 13(9), 2231; https://doi.org/10.3390/biomedicines13092231 - 10 Sep 2025
Viewed by 904
Abstract
Background/Objectives: Abnormal differentiation of human skin fibroblasts into myofibroblasts contributes to fibrotic skin disorders such as hypertrophic scars, keloids, and Dupuytren’s disease. This process is characterized by increased fibroblast proliferation, enhanced differentiation into myofibroblasts, and reduced programmed cell death (apoptosis). We previously [...] Read more.
Background/Objectives: Abnormal differentiation of human skin fibroblasts into myofibroblasts contributes to fibrotic skin disorders such as hypertrophic scars, keloids, and Dupuytren’s disease. This process is characterized by increased fibroblast proliferation, enhanced differentiation into myofibroblasts, and reduced programmed cell death (apoptosis). We previously demonstrated that blue light irradiation (λ = 453 nm) significantly and dose-dependently inhibits both spontaneous and TGF-β-induced fibroblast differentiation. Methods: Because fibroblast differentiation depends on cellular energy metabolism, we investigated whether the inhibitory effect of blue light is linked to changes in the cells’ energy balance. Results: We found that blue light reduced TGF-β-induced differentiation, as shown by decreased levels of α-SMA and EDA-fibronectin, key markers of myofibroblast formation. This effect was strongly associated with almost complete inhibition of mitochondrial respiration, reduced glycolysis, a lower NAD+/NADH ratio, and decreased ATP production. ATP-dependent processes, including endocytosis and lysosomal activity, both essential parameters of fibroblast differentiation, were also strongly suppressed. Importantly, all these changes were fully reversible within 24 h after the last irradiation. Conclusions: Mechanistically, we propose that blue light triggers photochemical reduction in flavins in proteins of the respiratory chain and possibly the Krebs cycle, which temporarily alters cellular energy metabolism. These findings suggest that non-toxic blue light therapy (80 J/cm2) can effectively prevent factor-induced fibroblast differentiation and may serve as a standalone or supportive treatment to reduce fibrotic events such as scarring and keloid formation. Furthermore, our results indicate that targeting cellular energy metabolism, whether physically or pharmacologically, could be a promising strategy to prevent sclerotic skin disorders. Full article
(This article belongs to the Section Molecular and Translational Medicine)
Show Figures

Figure 1

23 pages, 8837 KB  
Article
Supercritical Carbon Dioxide-Processed Acellular Dermal Matrix Patch for Enhanced Wound Healing
by Xinrui Zhang, Linh Thi Thuy Le, Yongxun Jin, Caijun Jin, Nguyen Ngan Giang, Thuy-Tien Thi Trinh, Yong Hyun Lee, Yong Woo Shin, Jin Woo Bae, Pham Ngoc Chien and Chan Yeong Heo
Int. J. Mol. Sci. 2025, 26(12), 5715; https://doi.org/10.3390/ijms26125715 - 14 Jun 2025
Viewed by 2005
Abstract
Wound healing remains a significant clinical challenge worldwide, and effective management strategies are essential for improving outcomes. This study evaluated SCderm Matrix, a novel acellular dermal matrix (ADM) patch developed using supercritical carbon dioxide (sCO2) processing of human skin tissue. This [...] Read more.
Wound healing remains a significant clinical challenge worldwide, and effective management strategies are essential for improving outcomes. This study evaluated SCderm Matrix, a novel acellular dermal matrix (ADM) patch developed using supercritical carbon dioxide (sCO2) processing of human skin tissue. This innovative processing method preserves structural integrity while enhancing biocompatibility, resulting in a patch characterized by porous architecture, uniform thickness, excellent tensile strength, and optical transparency. In vivo wound healing experiments using full-thickness skin wounds in Sprague–Dawley rats demonstrated the patch’s superior performance. Treatment with the sCO2 ADM patch accelerated wound closure, reduced inflammation, and enhanced granulation tissue formation compared to both untreated controls and two commercially available ADM products. Histological analysis revealed improved re-epithelialization and collagen deposition, while molecular and immunohistochemical assessments showed decreased reactive oxygen species (ROS) and pro-inflammatory cytokines. Simultaneously, the treatment upregulated key proliferation and remodeling markers including alpha smooth muscle actin (α-SMA), vimentin, and transforming growth factor beta 1 (TGF-β1). These findings demonstrate that the SCderm Matrix promotes wound healing through multiple mechanisms: modulating inflammatory responses, enhancing antioxidant defenses, and supporting tissue regeneration. The results suggest this biomaterial has significant potential as an effective and versatile solution for clinical wound care applications. Full article
(This article belongs to the Special Issue Biomaterials for Wound Healing and Tissue Regeneration)
Show Figures

Figure 1

23 pages, 5473 KB  
Article
Quercetin, Kaempferol and Capsaicin Counteract the TGF-β1-Induced Upregulation of αSMA and Collagen in Myoblasts
by Iris Cuijpers, Mireille M. J. P. E. Sthijns, Veerle A. R. van den Bogart, Joey Katsburg, Cliff F. M. Leenders and Freddy J. Troost
Int. J. Mol. Sci. 2025, 26(11), 5151; https://doi.org/10.3390/ijms26115151 - 27 May 2025
Cited by 2 | Viewed by 2065
Abstract
In fibrotic skeletal muscles, excessive extracellular matrix (ECM) deposition is a result of increased activation and decreased apoptosis of myofibroblasts. The aim of this study is to investigate whether treatment with quercetin, kaempferol or capsaicin can reduce the transforming growth factor-beta 1 (TGF-β1)-induced [...] Read more.
In fibrotic skeletal muscles, excessive extracellular matrix (ECM) deposition is a result of increased activation and decreased apoptosis of myofibroblasts. The aim of this study is to investigate whether treatment with quercetin, kaempferol or capsaicin can reduce the transforming growth factor-beta 1 (TGF-β1)-induced myofibroblast differentiation and fibrotic ECM expression in differentiated C2C12 cells. Two-day-differentiated C2C12 cells were treated with TGF-β1 for 48 h to induce myofibroblast differentiation. Twenty-four hours before (pre-treatment) and for forty-eight hours with (co-treatment) TGF-β1 treatment, cells were exposed to quercetin (25, 50 µM), kaempferol (10, 25, 50 µM) or capsaicin (25, 50 µM). The immunofluorescence intensity of alpha smooth muscle actin (αSMA) and collagen type I/III gene expression were assessed as myofibroblast markers. MyoD immunofluorescence intensity was measured as a myogenic marker. Co-treatment of TGF-β1 with the phytochemicals was most effective, resulting in a decreased number of αSMA-positive cells (all three compounds), decreased collagen type I (kaempferol, capsaicin) and type III (kaempferol) gene expression, and increased MyoD (kaempferol, capsaicin) protein expression compared to TGF-β1 treatment. This study demonstrates that treatment with quercetin, kaempferol or capsaicin can reduce myofibroblast markers. This suggests a possible anti-fibrotic effect of the phytochemicals in skeletal muscle. Full article
(This article belongs to the Special Issue The Effect of Phenolic Compounds in Human Diseases)
Show Figures

Figure 1

18 pages, 4051 KB  
Article
Effects of Brimonidine, Latanoprost, and Omidenepag on Tunicamycin-Induced Endoplasmic Reticulum Stress and Fibrosis in Human Trabecular Meshwork Cells
by Mengxuan Liu, Megumi Honjo, Reiko Yamagishi and Makoto Aihara
Biomolecules 2025, 15(3), 389; https://doi.org/10.3390/biom15030389 - 8 Mar 2025
Viewed by 1385
Abstract
This study evaluated the effects of α2-adrenergic agonist, prostaglandin F2α analog, and EP2 receptor agonist on tunicamycin-induced endoplasmic reticulum (ER) stress and fibrosis in human trabecular meshwork (TM) cells. Human TM cells were treated with tunicamycin for 24 h, followed by cotreatment with [...] Read more.
This study evaluated the effects of α2-adrenergic agonist, prostaglandin F2α analog, and EP2 receptor agonist on tunicamycin-induced endoplasmic reticulum (ER) stress and fibrosis in human trabecular meshwork (TM) cells. Human TM cells were treated with tunicamycin for 24 h, followed by cotreatment with brimonidine (BRI), latanoprost (LAT), or omidenepag (OMD). Immunocytochemistry was used to assess expressions of collagen type I alpha 1 chain (COL1A1), fibronectin, F-actin, and alpha-smooth muscle actin (α-SMA). Western blotting was performed to evaluate levels of C/EBP homologous protein (CHOP), 78-kDa glucose-regulated protein (GRP78), and splicing X-box binding protein-1 (sXBP-1). Real-time qPCR was used to examine the mRNA expressions of COL1A1, connective tissue growth factor (CTGF), fibronectin, α-SMA, CHOP, GRP78, and sXBP-1. Expressions of COL1A1, CTGF, F-actin, fibronectin, α-SMA, CHOP, GRP78, and sXBP-1 significantly increased after tunicamycin treatment. BRI cotreatment significantly downregulated the mRNA and protein expressions of GRP78, and LAT or OMD cotreatment significantly reduced the CHOP and sXBP-1 expressions compared to the tunicamycin-treated group. BRI, LAT, or OMD cotreatment significantly attenuated cellular cytoskeletal changes and the increase of fibrosis markers such as COL1A1, CTGF, fibronectin, and α-SMA. In addition, COL1A1 mRNA expression was significantly lowered with LAT or OMD cotreatment compared to the BRI-cotreated group. Cotreatment with α2-adrenergic agonist, prostaglandin F2α analog, or EP2 receptor agonist alleviates tunicamycin-induced ER stress in human TM cells. Full article
(This article belongs to the Section Biomacromolecules: Proteins, Nucleic Acids and Carbohydrates)
Show Figures

Figure 1

14 pages, 9492 KB  
Article
SIRT1 Activation Suppresses Corneal Endothelial–Mesenchymal Transition via the TGF-β/Smad2/3 Pathway
by Yi Yu, Ruilin Guo, Jie Ling, Chenjia Xu, Minglu Ma, Xiaojuan Dong, Jing Wu and Ting Huang
Curr. Issues Mol. Biol. 2024, 46(12), 13846-13859; https://doi.org/10.3390/cimb46120827 - 6 Dec 2024
Cited by 3 | Viewed by 1866
Abstract
Endothelial–mesenchymal transition (EnMT) is the transversion of endothelial cells to mesenchymal cells under certain physiological or pathological conditions. When EnMT occurs in the corneal endothelium, corneal endothelial cells (CECs) lose their normal function and thus cannot maintain corneal clarity. Studies have shown that [...] Read more.
Endothelial–mesenchymal transition (EnMT) is the transversion of endothelial cells to mesenchymal cells under certain physiological or pathological conditions. When EnMT occurs in the corneal endothelium, corneal endothelial cells (CECs) lose their normal function and thus cannot maintain corneal clarity. Studies have shown that the mechanism of EnMT in CECs involves the transforming growth factor-β (TGF-β) signaling pathway, and one of the important inhibitors of the TGF-β/Smad2/3 pathway is sirtuin-1 (SIRT1). In this study, we used a rat model of corneal endothelium injury and TGF-β1-treated human CECs to induce EnMT, aiming to explore whether SIRT1 activation inhibits corneal EnMT in vivo and in vitro. SIRT1 was activated and suppressed using resveratrol (RSV) and EX527, respectively. The endothelial markers and mesenchymal markers were measured by immunofluorescence and Western blot assays. Co-immunoprecipitation was used to detect the interaction between SIRT1 and Smad2/3. The results showed that after mechanical injury, the group treated with RSV-activated SIRT1 regained corneal transparency and recovered from edema faster than the control group. Moreover, RSV-activated SIRT1 downregulated the expression levels of alpha smooth muscle actin (α-SMA), vimentin, and Snail and upregulated the expression levels of E-cadherin and Na+/K+-ATPase both in vivo and in vitro, but these effects were reversed when SIRT1 was inhibited by EX527. SIRT1 also upregulated the expression levels of TGF-β receptor 1 and phosphorylated Smad2/3. The interaction between SIRT1 and Smad2/3 in vitro was confirmed by co-immunoprecipitation. Overall, our results indicate that SIRT1 activation inhibits corneal EnMT via the TGF-β/Smad2/3 pathway, which may be a potential therapeutic target for corneal endothelium dysfunction. Full article
(This article belongs to the Section Molecular Medicine)
Show Figures

Figure 1

25 pages, 4278 KB  
Article
Exposure of Primary Human Skin Fibroblasts to Carbon Dioxide-Containing Solution Significantly Reduces TGF-β-Induced Myofibroblast Differentiation In Vitro
by Maxine Fleckner, Niklas K. Döhmen, Katharina Salz, Till Christophers, Joachim Windolf, Christoph V. Suschek and Lisa Oezel
Int. J. Mol. Sci. 2024, 25(23), 13013; https://doi.org/10.3390/ijms252313013 - 3 Dec 2024
Cited by 5 | Viewed by 2446
Abstract
Wound healing as a result of a skin injury involves a series of dynamic physiological processes, leading to wound closure, re-epithelialization, and the remodeling of the extracellular matrix (ECM). The primary scar formed by the new ECM never fully regains the original tissue’s [...] Read more.
Wound healing as a result of a skin injury involves a series of dynamic physiological processes, leading to wound closure, re-epithelialization, and the remodeling of the extracellular matrix (ECM). The primary scar formed by the new ECM never fully regains the original tissue’s strength or flexibility. Moreover, in some cases, due to dysregulated fibroblast activity, proliferation, and differentiation, the normal scarring can be replaced by pathological fibrotic tissue, leading to hypertrophic scars or keloids. These disorders can cause significant physical impairment and psychological stress and represent significant challenges in medical management in the wound-healing process. The present study aimed to investigate the therapeutic effects of exogenously applied carbon dioxide (CO2) on fibroblast behavior, focusing on viability, proliferation, migration, and differentiation to myofibroblasts. We found that CO2 exposure for up to 60 min did not significantly affect fibroblast viability, apoptosis rate, or proliferation and migration capacities. However, a notable finding was the significant reduction in α-smooth muscle actin (α-SMA) protein expression, indicative of myofibroblast differentiation inhibition, following CO2 exposure. This effect was specific to CO2 and concentration as well as time-dependent, with longer exposure durations leading to greater reductions in α-SMA expression. Furthermore, the inhibition of myofibroblast differentiation correlated with a statistically significantly reduced glycolytic and mitochondrial energy metabolism, and as a result, with a reduced ATP synthesis rate. This very noticeable decrease in cellular energy levels seemed to be specific to CO2 exposure and could not be observed in the control cultures using nitrogen (N2)-saturated solutions, indicating a unique and hypoxia-independent effect of CO2 on fibroblast metabolism. These findings suggest that exogenously applied CO2 may possess fibroblast differentiation-reducing properties by modulating fibroblast’s energy metabolism and could offer new therapeutic options in the prevention of scar and keloid development. Full article
(This article belongs to the Section Molecular Pathology, Diagnostics, and Therapeutics)
Show Figures

Figure 1

16 pages, 3239 KB  
Article
Short-Term Culture of Human Hyalocytes Retains Their Initial Phenotype and Displays Their Contraction Abilities
by Alessandra Micera, Bijorn Omar Balzamino, Pamela Cosimi, Graziana Esposito, Guido Ripandelli and Tommaso Rossi
Cells 2024, 13(22), 1837; https://doi.org/10.3390/cells13221837 - 6 Nov 2024
Cited by 2 | Viewed by 1546
Abstract
Background: Hyalocytes are the main vitreal cell types with critical functions in health and vitreoretinal diseases. Our aim was to develop cultures of human hyalocytes and verify the retention of their initial cellular features after 3 and 6 days of culturing (3 d [...] Read more.
Background: Hyalocytes are the main vitreal cell types with critical functions in health and vitreoretinal diseases. Our aim was to develop cultures of human hyalocytes and verify the retention of their initial cellular features after 3 and 6 days of culturing (3 d and 6 d) by analyzing and comparing a few morphological and functional parameters. Methods: Vitreous samples (n = 22) were collected and vitreous cells and bead-enriched hyalocytes were developed and compared (3 d vs. 6 d cultures). Vitreous and conditioned media were tested for collagen, vascular endothelial growth factor (VEGF), transforming growth factor β1 (TGFβ1), nerve growth factor (NGF), matrix metalloproteinases (MMPs)/tissue inhibitors of metalloproteinases (TIMPs) and alpha-smooth muscle actin (αSMA) expression (ELISA, array/IP/WB, RT-PCR). Cells were observed at light and fluorescent microscopy (phenotypical properties) and tested for their 3D collagen gel contraction abilities. Results: An increased expression of collagens, vimentin, fibronectin, and the MMP9/TIMP1 ratio were observed in vitreous tissues. In 3 d cultures, collagens and MMP9 were upregulated while the related tissue-enzymes were deregulated. Vitreous samples also showed high levels of TGFβ1, VEGF, and NGF, and this protein signature was retained at 3 d while decreased at 6 d. The original phenotype (low αSMA) was retained at 3 d from seeding while an increased αSMA expression was observed at 6 d; NGF/trkANGFR was expressed in cultured hyalocytes and partially drives the collagen retraction. Conclusions: The vitreous print comparison between untouched and cultured hyalocytes allowed us, on one side, to select 3 d cultures and, on the other, to highlight the neuroprotective/contractile NGF in vitro hyalocytes effects. The possibility of scoring reactive hyalocytes would represent an interesting aspect of screening the vitreoretinal interface severity. Full article
Show Figures

Figure 1

17 pages, 2450 KB  
Article
TGF-β Signaling Loop in Pancreatic Ductal Adenocarcinoma Activates Fibroblasts and Increases Tumor Cell Aggressiveness
by Noemi di Miceli, Chiara Baioni, Linda Barbieri, Davide Danielli, Emiliano Sala, Lucia Salvioni, Stefania Garbujo, Miriam Colombo, Davide Prosperi, Metello Innocenti and Luisa Fiandra
Cancers 2024, 16(21), 3705; https://doi.org/10.3390/cancers16213705 - 1 Nov 2024
Cited by 5 | Viewed by 3182
Abstract
Background: The interaction between cancer cells and cancer-associated fibroblasts (CAFs) is a key determinant of the rapid progression, high invasiveness, and chemoresistance of aggressive desmoplastic cancers such as pancreatic ductal adenocarcinoma (PDAC). Tumor cells are known to reprogram fibroblasts into CAFs by secreting [...] Read more.
Background: The interaction between cancer cells and cancer-associated fibroblasts (CAFs) is a key determinant of the rapid progression, high invasiveness, and chemoresistance of aggressive desmoplastic cancers such as pancreatic ductal adenocarcinoma (PDAC). Tumor cells are known to reprogram fibroblasts into CAFs by secreting transforming growth factor beta (TGF-β), amongst other cytokines. In turn, CAFs produce soluble factors that promote tumor-cell invasiveness and chemoresistance, including TGF-β itself, which has a major role in myofibroblastic CAFs. Such a high level of complexity has hampered progress toward a clear view of the TGFβ signaling loop between stromal fibroblasts and PDAC cells. Methods: Here, we tackled this issue by using co-culture settings that allow paracrine signaling alone (transwell systems) or paracrine and contact-mediated signaling (3D spheroids). Results: We found that TGF-β is critically involved in the activation of normal human fibroblasts into alpha-smooth muscle actin (α-SMA)-positive CAFs. The TGF-β released by CAFs accounted for the enhanced proliferation and resistance to gemcitabine of PDAC cells. This was accompanied by a partial epithelial-to-mesenchymal transition in PDAC cells, with no increase in their migratory abilities. Nevertheless, 3D heterospheroids comprising PDAC cells and fibroblasts allowed monitoring the pro-invasive effects of CAFs on cancer cells, possibly due to combined paracrine and physical contact-mediated signals. Conclusions: We conclude that TGF-β is only one of the players that mediates the communication between PDAC cells and fibroblasts and controls the acquisition of aggressive phenotypes. Hence, these advanced in vitro models may be exploited to further investigate these events and to design innovative anti-PDAC therapies. Full article
(This article belongs to the Special Issue Targeting the Tumor Microenvironment (Volume II))
Show Figures

Figure 1

9 pages, 1711 KB  
Article
Novel Iridoid Derivatives Isolated from the Roots of Patrinia scabra with Potential Anti-Renal Fibrosis Activity In Vitro
by Ziran Li, Yang Xu, Xu Sun, Zhangrui Fan, Ziling Zhou, Fucai Ren, Ning Li and Lei Di
Molecules 2024, 29(18), 4419; https://doi.org/10.3390/molecules29184419 - 17 Sep 2024
Cited by 1 | Viewed by 1422
Abstract
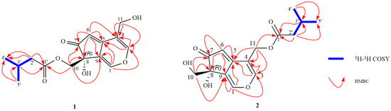
Scabrol B and Scabrol C, two newly identified iridoid derivatives (1 and 2) and six known compounds (38), were extracted from the roots of Patrinia scabra. The structures of these derivatives, including their absolute configurations, were [...] Read more.
Scabrol B and Scabrol C, two newly identified iridoid derivatives (1 and 2) and six known compounds (38), were extracted from the roots of Patrinia scabra. The structures of these derivatives, including their absolute configurations, were elucidated via comprehensive NMR analysis, chemical derivatization, and quantum chemical ECD calculations. All isolated compounds were evaluated for their anti-renal fibrosis activity. The results demonstrate that compounds 1 and 2 showed dose-dependent protective effects against renal fibrosis in vitro by reducing the expression of fibronectin, collagen I, and alpha-smooth muscle actin (α-SMA) in NRK-49f cells mediated by TGF-β1. Full article
Show Figures

Figure 1

17 pages, 10148 KB  
Article
Mesenchymal Stromal Cell-Derived Extracellular Vesicles for Reversing Hepatic Fibrosis in 3D Liver Spheroids
by Giulia Chiabotto, Armina Semnani, Elena Ceccotti, Marco Guenza, Giovanni Camussi and Stefania Bruno
Biomedicines 2024, 12(8), 1849; https://doi.org/10.3390/biomedicines12081849 - 14 Aug 2024
Cited by 7 | Viewed by 3718
Abstract
Hepatic fibrosis, arising from prolonged liver injury, entails the activation of hepatic stellate cells (HSCs) into myofibroblast-like cells expressing alpha-smooth muscle actin (α-SMA), thereby driving extracellular matrix deposition and fibrosis progression. Strategies targeting activated HSC reversal and hepatocyte regeneration show promise for fibrosis [...] Read more.
Hepatic fibrosis, arising from prolonged liver injury, entails the activation of hepatic stellate cells (HSCs) into myofibroblast-like cells expressing alpha-smooth muscle actin (α-SMA), thereby driving extracellular matrix deposition and fibrosis progression. Strategies targeting activated HSC reversal and hepatocyte regeneration show promise for fibrosis management. Previous studies suggest that extracellular vesicles (EVs) from mesenchymal stromal cells (MSCs) can suppress HSC activation, but ensuring EV purity is essential for clinical use. This study investigated the effects of MSC-derived EVs cultured in chemically defined conditions on liver spheroids and activated HSCs. Umbilical cord- and bone marrow-derived MSCs were expanded in chemically defined media, and EVs were isolated using filtration and differential ultracentrifugation. The impact of MSC-EVs was evaluated on liver spheroids generated in Sphericalplate 5D™ and on human HSCs, both activated by transforming growth factor beta 1 (TGF-β1). MSC-EVs effectively reduced the expression of profibrotic markers in liver spheroids and activated HSCs induced by TGF-β1 stimulation. These results highlight the potential of MSC-EVs collected under chemically defined conditions to mitigate the activated phenotype of HSCs and liver spheroids, suggesting MSC-EVs as a promising treatment for hepatic fibrosis. Full article
(This article belongs to the Special Issue 3D Cell Culture Systems for Biomedical Research)
Show Figures

Graphical abstract

20 pages, 17838 KB  
Article
Quercetin Attenuates KLF4-Mediated Phenotypic Switch of VSMCs to Macrophage-like Cells in Atherosclerosis: A Critical Role for the JAK2/STAT3 Pathway
by Lu Xiang, Yan Wang, Si Liu, Linyao Ying, Keyi Zhang, Na Liang, Hao Li, Gang Luo and Lin Xiao
Int. J. Mol. Sci. 2024, 25(14), 7755; https://doi.org/10.3390/ijms25147755 - 15 Jul 2024
Cited by 17 | Viewed by 4288
Abstract
The objective of this study was to elucidate the protective role of quercetin in atherosclerosis by examining its effect on the phenotypic switch of vascular smooth muscle cells (VSMCs) to macrophage-like cells and the underlying regulatory pathways. Aorta tissues from apolipoprotein E-deficient (ApoE [...] Read more.
The objective of this study was to elucidate the protective role of quercetin in atherosclerosis by examining its effect on the phenotypic switch of vascular smooth muscle cells (VSMCs) to macrophage-like cells and the underlying regulatory pathways. Aorta tissues from apolipoprotein E-deficient (ApoE KO) mice fed a high-fat diet (HFD), treated with or without 100 mg/kg/day quercetin, were analyzed for histopathological changes and molecular mechanisms. Quercetin was found to decrease the size of atherosclerotic lesions and mitigate lipid accumulation induced by HFD. Fluorescence co-localization analysis revealed a higher presence of macrophage-like vascular smooth muscle cells (VSMCs) co-localizing with phospho-Janus kinase 2 (p-JAK2), phospho-signal transducer and activator of transcription 3 (p-STAT3), and Krüppel-like factor 4 (KLF4) in regions of foam cell aggregation within aortic plaques. However, this co-localization was reduced following treatment with quercetin. Quercetin treatment effectively inhibited the KLF4-mediated phenotypic switch in oxidized low-density lipoprotein (ox-LDL)-loaded mouse aortic vascular smooth muscle cells (MOVAS), as indicated by decreased expressions of KLF4, LGALS3, CD68, and F4/80, increased expression of alpha smooth muscle actin (α-SMA), reduced intracellular fluorescence Dil-ox-LDL uptake, and decreased lipid accumulation. In contrast, APTO-253, a KLF4 activator, was found to reverse the effects of quercetin. Furthermore, AG490, a JAK2 inhibitor, effectively counteracted the ox-LDL-induced JAK2/STAT3 pathway-dependent switch to a macrophage-like phenotype and lipid accumulation in MOVAS cells. These effects were significantly mitigated by quercetin but exacerbated by coumermycin A1, a JAK2 activator. Our research illustrates that quercetin inhibits the KLF4-mediated phenotypic switch of VSMCs to macrophage-like cells and reduces atherosclerosis by suppressing the JAK2/STAT3 pathway. Full article
Show Figures

Figure 1

9 pages, 3929 KB  
Case Report
Ovarian Sex Cord Stromal Tumor in a Free-Ranging Brown Bear (Ursus arctos)
by Natalia García-Álvarez, Álvaro Oleaga, María José García-Iglesias, Claudia Pérez-Martínez, Daniel Fernández, Luis Miguel Álvarez, Ramón Balsera and Ana Balseiro
Animals 2024, 14(13), 1936; https://doi.org/10.3390/ani14131936 - 30 Jun 2024
Viewed by 1868
Abstract
Reports on neoplasms in bears are scarce, especially concerning ovarian tumors. A large primary ovarian neoplasm with multiple metastasis was found during the necropsy of a 14-year-old free-ranging Eurasian brown bear (Ursus arctos) from Northwestern Spain. Histopathology and immunohistochemistry allowed for [...] Read more.
Reports on neoplasms in bears are scarce, especially concerning ovarian tumors. A large primary ovarian neoplasm with multiple metastasis was found during the necropsy of a 14-year-old free-ranging Eurasian brown bear (Ursus arctos) from Northwestern Spain. Histopathology and immunohistochemistry allowed for the diagnosis of a sex cord stromal tumor. This is a complex group of neoplasms which differ in the predominant cell morphology and immunohistochemical features. The microscopic examination revealed two types of cells, one with eosinophilic cytoplasm, intermingled with larger vacuolated cells rich in lipids. The evaluation of the immunoreactivity to different markers, frequently used in the characterization of gonadal tumors (INHA, inhibin-alpha; PLAP, placental alkaline phosphatase; Ki-67; α-SMA, actin alpha-smooth muscle) and inflammation patterns (IBA1, ionized calcium-binding adapter molecule for macrophages; CD3 for T lymphocytes; CD20 for B lymphocytes), displayed significant INHA positive immunostaining of neoplastic cells, as well as inflammatory cell infiltration, mainly composed of macrophages and B lymphocytes. These findings were consistent with a malignant ovarian steroid cell tumor, not otherwise specified. The present study characterizes an unusual type of neoplasm, and also represents the first report of an ovarian sex cord stromal tumor in Ursidae. Full article
(This article belongs to the Special Issue Disease and Health in Free-Ranging and Captive Wildlife)
Show Figures

Figure 1

22 pages, 11504 KB  
Article
Identifying the Morphological and Molecular Features of a Cell-Based Orthotopic Pancreatic Cancer Mouse Model during Growth over Time
by Felista L. Tansi, Andrea Schrepper, Michael Schwarzer, Ulf Teichgräber and Ingrid Hilger
Int. J. Mol. Sci. 2024, 25(11), 5619; https://doi.org/10.3390/ijms25115619 - 22 May 2024
Cited by 2 | Viewed by 4601
Abstract
Pancreatic ductal adenocarcinoma (PDAC), characterized by hypovascularity, hypoxia, and desmoplastic stroma is one of the deadliest malignancies in humans, with a 5-year survival rate of only 7%. The anatomical location of the pancreas and lack of symptoms in patients with early onset of [...] Read more.
Pancreatic ductal adenocarcinoma (PDAC), characterized by hypovascularity, hypoxia, and desmoplastic stroma is one of the deadliest malignancies in humans, with a 5-year survival rate of only 7%. The anatomical location of the pancreas and lack of symptoms in patients with early onset of disease accounts for late diagnosis. Consequently, 85% of patients present with non-resectable, locally advanced, or advanced metastatic disease at diagnosis and rely on alternative therapies such as chemotherapy, immunotherapy, and others. The response to these therapies highly depends on the stage of disease at the start of therapy. It is, therefore, vital to consider the stages of PDAC models in preclinical studies when testing new therapeutics and treatment modalities. We report a standardized induction of cell-based orthotopic pancreatic cancer models in mice and the identification of vital features of their progression by ultrasound imaging and histological analysis of the level of pancreatic stellate cells, mature fibroblasts, and collagen. The results highlight that early-stage primary tumors are secluded in the pancreas and advance towards infiltrating the omentum at week 5–7 post implantation of the BxPC-3 and Panc-1 models investigated. Late stages show extensive growth, the infiltration of the omentum and/or stomach wall, metastases, augmented fibroblasts, and collagen levels. The findings can serve as suggestions for defining growth parameter-based stages of orthotopic pancreatic cancer models for the preclinical testing of drug efficacy in the future. Full article
(This article belongs to the Section Molecular Oncology)
Show Figures

Figure 1

21 pages, 6408 KB  
Article
Effects of Bone Marrow Sparing and TGF-β3 Treatment in Total Body Irradiation of C57BL/6J Mice
by Ingunn Hanson, Jenny T. Vatne and Nina F. J. Edin
Appl. Biosci. 2024, 3(2), 165-185; https://doi.org/10.3390/applbiosci3020011 - 4 Apr 2024
Viewed by 2679
Abstract
Introduction: Mortality from acute radiation syndrome is frequently caused by hematopoietic or gastrointestinal radiotoxicity, the latter of which currently has no effective treatment. Transforming growth factor-beta 3 (TGF-β3) may decrease the severity of radiation-induced gastrointestinal damage in mice. In addition, treatment with TGF-β3 [...] Read more.
Introduction: Mortality from acute radiation syndrome is frequently caused by hematopoietic or gastrointestinal radiotoxicity, the latter of which currently has no effective treatment. Transforming growth factor-beta 3 (TGF-β3) may decrease the severity of radiation-induced gastrointestinal damage in mice. In addition, treatment with TGF-β3 may alleviate radiation-induced fibrosis. Objectives: The current study aimed to investigate the effect of TGF-β3 treatment on acute and late radiotoxicity in whole body irradiated mice. Methods: C57BL/6J mice were total body irradiated with 8.5 Gy X-rays with or without shielding of one hind leg to alleviate hematopoietic radiotoxicity. The effects of intravenous TGF-β3 treatment were investigated. Body weight and pain expression were monitored. Intestine, lung, and liver tissues were preserved and analyzed. Alpha smooth muscle actin (α-SMA) expression in MRC-5 cells after 3.5 Gy X-irradiation combined with TGF-β3 treatment was analyzed using flow cytometry. Results: All total body irradiated animals died within ten days after irradiation. Ninety-three percent of femur-shielded mice survived until sampling or termination. No effect of TGF-β3 treatment was observed in either group. No increase in collagen content was detected in the lungs or liver from irradiated mice regardless of TGF-β3 treatment. In vitro, α-SMA expression increased synergistically after irradiation and TGF-β3 treatment. Conclusions: Shielding of the femur during total body irradiation decreased acute gastrointestinal radiation toxicity and increased survival. TGF-β3 treatment did not impact symptoms or survival. TGF-β3 treatment and irradiation increased α-SMA expression in MRC-5 cells synergistically. Full article
Show Figures

Figure 1

Back to TopTop