Sign in to use this feature.

Years

Between: -

Subjects

remove_circle_outline
remove_circle_outline
remove_circle_outline
remove_circle_outline
remove_circle_outline
remove_circle_outline

Journals

Article Types

Countries / Regions

Search Results (22)

Search Parameters:
Keywords = allyl isomerization

Order results
Result details
Results per page
Select all
Export citation of selected articles as:
18 pages, 5706 KB  
Article
Forensic Aspects of Designer LSD Analogs Identification by GC–MS (EI) and UV Spectroscopy
by Kaja Tusiewicz, Olga Wachełko, Marcin Zawadzki and Paweł Szpot
Molecules 2024, 29(23), 5717; https://doi.org/10.3390/molecules29235717 - 4 Dec 2024
Cited by 2 | Viewed by 4099
Abstract
Lysergic acid diethylamide (LSD) analogs, often referred to as new psychoactive substances, are synthesized to mimic controlled substances while evading drug regulations. This study emphasizes the challenges of identifying these compounds, particularly their isomeric forms. Gas chromatography–mass spectrometry (GC–MS) and UV spectroscopy were [...] Read more.
Lysergic acid diethylamide (LSD) analogs, often referred to as new psychoactive substances, are synthesized to mimic controlled substances while evading drug regulations. This study emphasizes the challenges of identifying these compounds, particularly their isomeric forms. Gas chromatography–mass spectrometry (GC–MS) and UV spectroscopy were employed to analyze 13 LSD analogs. The effects of different solvents on the detection of these analogs were analyzed, demonstrating that solvents like diethyl ether, tert-butyl methyl ether, dichloromethane and acetone provided the best sensitivity and stability. Methanol, on the other hand, causes alcoholysis of many LSD analogs, which may lead to false results. Additionally, effective chromatographic separation of isomers was established, including LSD, MiPLA, LAMPA, 1P-LSD and 1P-MiPLA, as well as 1cP-LSD and 1cP-MiPLA, which is crucial for accurate identification. The elution order of the determined compounds with the use of developed chromatographic method was as follows: LSD, MiPLA, LAMPA, AL-LAD, LSZ, 2-Br-LSD, ALD-52, 1P-LSD, 1P-MiPLA, 1B-LSD, 1V-LSD, 1cP-LSD and 1cP-MiPLA. Differences in ion ratios observed in mass spectrometry (MS) were also analyzed to distinguish between closely related compounds. Several key ions for LSD analogs were able to be identified, including 221, 208, 207, 196, 194, 192, 181, 167, 154, 152 and 128 m/z. In analogs with an N-diethyl group (or variants like N-methyl-propyl in LAMPA or N-methyl-isopropyl in MiPLA), mass spectra showed fragments 100, 72 and 58 m/z. For LSZ, the cyclic group at R1 produces ions 98 and 70 m/z. Analogs with an N6 allyl group (e.g., AL-LAD) show a characteristic ion 247 m/z. This method allows for the correct differentiation of structural isomers based on their unique ion fragmentation patterns and relative intensities. UV spectroscopy was used as a supplementary tool for screening, though it has limitations in analyzing complex mixtures. This work contributes to the forensic identification of designer LSD analogs, ensuring reliable detection for legal and toxicological investigations. Full article
Show Figures

Figure 1

27 pages, 4485 KB  
Article
Copper Complexes of Silicon Pyridine-2-olates RSi(pyO)3 (R = Me, Ph, Bn, Allyl) and Ph2Si(pyO)2
by Anne Seidel, Robert Gericke, Erica Brendler and Jörg Wagler
Inorganics 2023, 11(1), 2; https://doi.org/10.3390/inorganics11010002 - 21 Dec 2022
Cited by 4 | Viewed by 2588
Abstract
The organosilicon pyridine-2-olates 1a1d (RSi(pyO)3, R = Me (a), Ph (b), Bn (c), Allyl (d); pyO = pyridine-2-olate) may serve as tripodal ligands toward CuCl with formation of complexes [...] Read more.
The organosilicon pyridine-2-olates 1a1d (RSi(pyO)3, R = Me (a), Ph (b), Bn (c), Allyl (d); pyO = pyridine-2-olate) may serve as tripodal ligands toward CuCl with formation of complexes of the type RSi(μ2-pyO)3CuCl (2a2d). In addition, for R = Allyl, formation of the more stable isomer 2d′ (κO-pyO)Si(μ2-pyO)2(μ2-Allyl)CuCl was observed. In the presence of dry air (as a source of oxygen), reactions of 1a1d and CuCl afforded Cu(II) complexes RSi(μ2-pyO)4CuCl (3a3d); 3a3c in good yield, and 3d only as a side product. Reaction of Ph2Si(pyO)2 (4) and CuCl in equimolar ratio afforded, depending on reaction conditions, a series of (CuCl)n-ladder-type oligonuclear Cu(I) complexes Ph2Si(μ2-pyO)2(CuCl)n(μ2-pyO)2SiPh2 (n = 2 (52), 3 (53), 4 (54)). In all of the above compounds, the pyO group is Si–O bound and, in the case of μ2 coordination, Cu–N bound. All new compounds (1c, 1d, 2b, 2c, 2d, 2d′, 3b, 3c, 3d, 52, 53, 54) were characterized by single-crystal X-ray diffraction, and further characterization includes solution 1H, 13C, 29Si NMR spectroscopy (1c, 1d, 2b, 2c, 2d’, 53, 54), solid-state 29Si (2b, 2c, 2d′, 53, 54) and 63Cu NMR spectroscopy (2c, 2d′) as well as computational analyses of the isomerization of the couple 2d, 2d′. Full article
(This article belongs to the Special Issue Metal Complexes with N-donor Ligands)
Show Figures

Graphical abstract

8 pages, 2620 KB  
Article
Ir-Catalyzed Chemo-, Regio-, and Enantioselective Allylic Enolization of 6,6-Dimethyl-3-((trimethylsilyl)oxy)cyclohex-2-en-1-one Involving Keto-Enol Isomerization
by Xiao-Lin Wang, Ji-Teng Chen, Sheng-Cai Zheng and Xiao-Ming Zhao
Molecules 2022, 27(20), 6981; https://doi.org/10.3390/molecules27206981 - 17 Oct 2022
Viewed by 2424
Abstract
The utilization of 6,6-dimethyl-3-((trimethylsilyl)oxy)cyclohex-2-en-1-one made from an unsymmetrical 4,4-dimethylcyclohexane-1,3-dione in iridium-catalyzed allylic enolization involving keto-enol isomerization is accomplished under mild conditions. The chemoselectivity, regioselectivity, and enantioselectivity are facilitated by the quaternary carbon and adjusting the reaction conditions. This method provides the substituted 2-(but-3-en-2-yl)-3-hydroxy-6,6-dimethylcyclohex-2-en-1-ones [...] Read more.
The utilization of 6,6-dimethyl-3-((trimethylsilyl)oxy)cyclohex-2-en-1-one made from an unsymmetrical 4,4-dimethylcyclohexane-1,3-dione in iridium-catalyzed allylic enolization involving keto-enol isomerization is accomplished under mild conditions. The chemoselectivity, regioselectivity, and enantioselectivity are facilitated by the quaternary carbon and adjusting the reaction conditions. This method provides the substituted 2-(but-3-en-2-yl)-3-hydroxy-6,6-dimethylcyclohex-2-en-1-ones in good to high yields with high level of chemo-, regio-, and enantioselectivities. The chiral carbon-fluorine bond formation is induced by an adjacent chiral carbon center of the allylated 3-hydroxy-6,6-dimethylcyclohex-2-en-1-one, as well. Full article
(This article belongs to the Special Issue Recent Advances of Catalytic Asymmetric Synthesis)
Show Figures

Figure 1

10 pages, 1762 KB  
Article
Electrocatalytic Isomerization of Allylic Alcohols: Straightforward Preparation of β-Aryl-Ketones
by Anding Li, Nan Zheng, Kai Guo, Zhongchao Zhang and Zhen Yang
Catalysts 2022, 12(3), 333; https://doi.org/10.3390/catal12030333 - 16 Mar 2022
Cited by 1 | Viewed by 3906
Abstract
Electrochemical synthesis has been rapidly developing over the past few years. Here, we report a practical and eco-friendly electrocatalytic isomerization of allylic alcohols to their corresponding carbonyl compounds. This reaction can be carried out in undivided cells without the addition of external chemical [...] Read more.
Electrochemical synthesis has been rapidly developing over the past few years. Here, we report a practical and eco-friendly electrocatalytic isomerization of allylic alcohols to their corresponding carbonyl compounds. This reaction can be carried out in undivided cells without the addition of external chemical oxidants and metal catalysts. Moreover, this reaction features a broad substrate scope including challenging allylic alcohols bearing tri- and tetra-substituted olefins and affords straightforward access to diverse β-aryl-ketones. Mechanistic investigations suggest that the reactions proceed through a radical process. This study represents a unique example in which electrochemistry enables hydrogen atom transfer in organic allylic alcohol substrates using a simple organocatalyst. Full article
(This article belongs to the Section Electrocatalysis)
Show Figures

Figure 1

14 pages, 3946 KB  
Article
Functionalization of Biphenylcarbazole (CBP) with Siloxane-Hybrid Chains for Solvent-Free Liquid Materials
by Janah Shaya, Gabriel Correia, Benoît Heinrich, Jean-Charles Ribierre, Kyriaki Polychronopoulou, Loïc Mager and Stéphane Méry
Molecules 2022, 27(1), 89; https://doi.org/10.3390/molecules27010089 - 24 Dec 2021
Cited by 5 | Viewed by 4740
Abstract
We report herein the synthesis of siloxane-functionalized CBP molecules (4,4′-bis(carbazole)-1,1′-biphenyl) for liquid optoelectronic applications. The room-temperature liquid state is obtained through a convenient functionalization of the molecules with heptamethyltrisiloxane chains via hydrosilylation of alkenyl spacers. The synthesis comprises screening of metal-catalyzed methodologies to [...] Read more.
We report herein the synthesis of siloxane-functionalized CBP molecules (4,4′-bis(carbazole)-1,1′-biphenyl) for liquid optoelectronic applications. The room-temperature liquid state is obtained through a convenient functionalization of the molecules with heptamethyltrisiloxane chains via hydrosilylation of alkenyl spacers. The synthesis comprises screening of metal-catalyzed methodologies to introduce alkenyl linkers into carbazoles (Stille and Suzuki Miyaura cross-couplings), incorporate the alkenylcarbazoles to dihalobiphenyls (Ullmann coupling), and finally introduce the siloxane chains. The used conditions allowed the synthesis of the target compounds, despite the high reactivity of the alkenyl moieties bound to π-conjugated systems toward undesired side reactions such as polymerization, isomerization, and hydrogenation. The features of these solvent-free liquid CBP derivatives make them potentially interesting for fluidic optoelectronic applications. Full article
Show Figures

Figure 1

16 pages, 16893 KB  
Article
Laccase-Catalyzed Oxidation of Allylbenzene Derivatives: Towards a Green Equivalent of Ozonolysis
by Mathilde Lecourt, Giorgiana Chietera, Bernard Blerot and Sylvain Antoniotti
Molecules 2021, 26(19), 6053; https://doi.org/10.3390/molecules26196053 - 6 Oct 2021
Cited by 4 | Viewed by 3449
Abstract
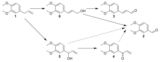
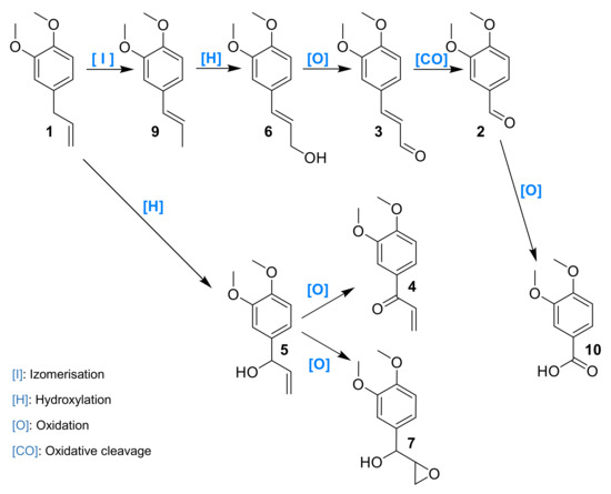
Laccase-based biocatalytic reactions have been tested with and without mediators and optimized in the oxidation of allylbenzene derivatives, such as methyl eugenol taken as a model substrate. The reaction primarily consisted in the hydroxylation of the propenyl side chain, either upon isomerization of [...] Read more.
Laccase-based biocatalytic reactions have been tested with and without mediators and optimized in the oxidation of allylbenzene derivatives, such as methyl eugenol taken as a model substrate. The reaction primarily consisted in the hydroxylation of the propenyl side chain, either upon isomerization of the double bond or not. Two pathways were then observed; oxidation of both allylic alcohol intermediates could either lead to the corresponding α,β-unsaturated carbonyl compound, or the corresponding benzaldehyde derivative by oxidative cleavage. Such a process constitutes a green equivalent of ozonolysis or other dangerous or waste-generating oxidation reactions. The conversion rate was sensitive to the substitution patterns of the benzenic ring and subsequent electronic effects. Full article
(This article belongs to the Section Green Chemistry)
Show Figures

Figure 1

17 pages, 2015 KB  
Article
Base-Mediated Claisen Rearrangement of CF3-Containing Bisallyl Ethers
by Yoko Hamada, Rio Matsunaga, Tomoko Kawasaki-Takasuka and Takashi Yamazaki
Molecules 2021, 26(14), 4365; https://doi.org/10.3390/molecules26144365 - 19 Jul 2021
Viewed by 2757
Abstract
We have previously clarified that the strongly electron-withdrawing CF3 group nicely affected the base-mediated proton shift of CF3-containing propargylic or allylic alcohols to afford the corresponding α,β-unsaturated or saturated ketones, respectively, which was applied this time to the Claisen rearrangement [...] Read more.
We have previously clarified that the strongly electron-withdrawing CF3 group nicely affected the base-mediated proton shift of CF3-containing propargylic or allylic alcohols to afford the corresponding α,β-unsaturated or saturated ketones, respectively, which was applied this time to the Claisen rearrangement after O-allylation of the allylic alcohols with a CF3 group, followed by isomerization to the corresponding allyl vinyl ethers via the proton shift, enabling the desired rearrangement in a tandem fashion, or in a stepwise manner, the latter of which was proved to have attained an excellent diastereoselectivity with the aid of a palladium catalyst. Full article
(This article belongs to the Special Issue Organofluorine Chemistry and Beyond)
Show Figures

Graphical abstract

17 pages, 2024 KB  
Article
Sulfur-Containing Compounds: Natural Potential Catalyst for the Isomerization of Phytofluene, Phytoene and Lycopene in Tomato Pulp
by Lulu Ma, Cheng Yang, Xin Jiang, Qun Wang, Jian Zhang and Lianfu Zhang
Foods 2021, 10(7), 1444; https://doi.org/10.3390/foods10071444 - 22 Jun 2021
Cited by 10 | Viewed by 2946
Abstract
The effects of some sulfur-containing compounds on the isomerization and degradation of lycopene, phytofluene, and phytoene under different thermal treatment conditions were studied in detail. Isothiocyanates such as allyl isothiocyanate (AITC) and polysulfides like dimethyl trisulfide (DMTS) had the effect on the configuration [...] Read more.
The effects of some sulfur-containing compounds on the isomerization and degradation of lycopene, phytofluene, and phytoene under different thermal treatment conditions were studied in detail. Isothiocyanates such as allyl isothiocyanate (AITC) and polysulfides like dimethyl trisulfide (DMTS) had the effect on the configuration of PTF (phytofluene), PT (phytoene), and lycopene. The proportion of their naturally occurring Z-isomers (Z1,2-PTF and 15-Z-PT) decreased and transformed into other isomers including all-trans configuration, while Z-lycopene increased significantly after thermal treatment, especially for 5-Z-lycopene. The results showed that increase in heating temperature, time, and the concentration of DMTS and AITC could promote the isomerization reaction effectively to some extent. In addition, 15-Z-PT and the newly formed Z4-PTF were the predominant isomers in tomato at the equilibrium. Unlike the lycopene, which degraded significantly during heat treatment, the isomers of PTF and PT were stable enough to resist decomposition. Moreover, the isomerization of three carotenoids was enhanced, and the bioaccessibility of lycopene increased significantly with the addition of shii-take mushroom containing sulfur compounds, while there was no positive effect observed in that of PTF and PT. Full article
(This article belongs to the Section Food Physics and (Bio)Chemistry)
Show Figures

Figure 1

17 pages, 2034 KB  
Article
Highly Productive Synthesis of 1-Propenyloxybutan-1-ol Under Solvent-Free Homogeneous Ruthenium Catalyst Conditions
by Magdalena Urbala
Catalysts 2020, 10(12), 1409; https://doi.org/10.3390/catal10121409 - 2 Dec 2020
Cited by 1 | Viewed by 2219
Abstract
The 1-propenyl ethers bearing free hydroxyl groups of CH3CH=CH–O–A–OH type (hydroxyalkyl 1-propenyl ethers, 1-propenyloxyalcohols) are the most desired as the reactive diluents for photopolymerizable systems with enhanced reactivity or intermediates for the synthesis of hybrid monomers for special applications. The ruthenium [...] Read more.
The 1-propenyl ethers bearing free hydroxyl groups of CH3CH=CH–O–A–OH type (hydroxyalkyl 1-propenyl ethers, 1-propenyloxyalcohols) are the most desired as the reactive diluents for photopolymerizable systems with enhanced reactivity or intermediates for the synthesis of hybrid monomers for special applications. The ruthenium complexes-catalyzed isomerization of allyl ethers under solvent-free conditions is an atom-economical and environmentally sustainable method for their production. Here, the reaction conditions and limitations for the highly productive and selective synthesis of model 4-(1-propenyloxy)butan-1-ol have been investigated. The minimal loading of ruthenium pre-catalysts needed for completion of reaction within reasonable times was priority assumption. It was found that [RuClH(CO)(PPh3)3] or [RuCl2(PPh3)3] exhibited extremely high catalytic activity under optimized non-oxidative reaction conditions. The key effect of reaction temperature on the activation pre-catalyst and the exothermal effects of isomerization was discovered. The practically quantitative yields of 4-(1-propenyloxy)butan-1-ol were achieved with using of very low loading of [Ru] (5 ppm) and Bu3N (to maintain reaction chemoselectivity) at the temperature of 120 °C for only 0.5 h. Consequently, the attained TON (turnover number) and TOF (turnover frequency) values of ca. 198,000 and 390,000 h−1 were unprecedentedly high and industrial attractive. On the other hand, the direct recycling of ruthenium catalyst is not a reasonable method for improving catalyst productivity. Full article
(This article belongs to the Section Catalysis in Organic and Polymer Chemistry)
Show Figures

Figure 1

18 pages, 2447 KB  
Article
Redox Isomerization of Allylic Alcohols Catalyzed by New Water-Soluble Rh(I)-N-Heterocyclic Carbene Complexes
by Csilla Enikő Czégéni, Marianna Fekete, Eszter Tóbiás, Antal Udvardy, Henrietta Horváth, Gábor Papp and Ferenc Joó
Catalysts 2020, 10(11), 1361; https://doi.org/10.3390/catal10111361 - 23 Nov 2020
Cited by 9 | Viewed by 3844
Abstract
New water-soluble, N-heterocyclic carbene (NHC) or mixed NHC/tertiary phosphine complexes [RhCl(cod)(sSIMes)], Na2[Rh(bmim)(cod)(mtppts)], and [Rh(bmim)(cod)(pta)]BF4 were synthetized and applied for the first time as catalysts in redox isomerization of allylic alcohols in aqueous media. [RhCl(cod)(sSIMes)] (with added sulfonated [...] Read more.
New water-soluble, N-heterocyclic carbene (NHC) or mixed NHC/tertiary phosphine complexes [RhCl(cod)(sSIMes)], Na2[Rh(bmim)(cod)(mtppts)], and [Rh(bmim)(cod)(pta)]BF4 were synthetized and applied for the first time as catalysts in redox isomerization of allylic alcohols in aqueous media. [RhCl(cod)(sSIMes)] (with added sulfonated triphenylphosphine) and [Rh(bmim)(cod)(pta)]BF4 catalyzed selectively the transformation of allylic alcohols to the corresponding ketones. The highest catalytic activity, TOF = 152 h−1 (TOF = (mol reacted substrate) × (mol catalyst × time)−1) was observed in redox isomerization of hept-1-en-3-ol ([S]/[cat] = 100). The catalysts were reused in the aqueous phase at least three times, with only modest loss of the catalytic activity and selectivity. Full article
(This article belongs to the Special Issue Catalysis in Heterocyclic and Organometallic Synthesis)
Show Figures

Graphical abstract

13 pages, 9943 KB  
Article
Scalable Green Approach Toward Fragrant Acetates
by Eva Puchl’ová and Peter Szolcsányi
Molecules 2020, 25(14), 3217; https://doi.org/10.3390/molecules25143217 - 14 Jul 2020
Cited by 4 | Viewed by 3781
Abstract
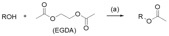
The advantageous properties of ethylene glycol diacetate (EGDA) qualify it as a useful substitute for glycerol triacetate (GTA) for various green applications. We scrutinised the lipase-mediated acetylation of structurally diverse alcohols in neat EGDA furnishing the range of naturally occurring fragrant acetates. We [...] Read more.
The advantageous properties of ethylene glycol diacetate (EGDA) qualify it as a useful substitute for glycerol triacetate (GTA) for various green applications. We scrutinised the lipase-mediated acetylation of structurally diverse alcohols in neat EGDA furnishing the range of naturally occurring fragrant acetates. We found that such enzymatic system exhibits high reactivity and selectivity towards activated (homo) allylic and non-activated primary/secondary alcohols. This feature was utilised in the scalable multigram synthesis of fragrant (Z)-hex-3-en-1-yl acetate in 70% yield. In addition, the Lipozyme 435/EGDA system was also found to be applicable for the chemo-selective acetylation of (hydroxyalkyl) phenols as well as for the kinetic resolution of chiral secondary alcohols. Lastly, its discrimination power was demonstrated in competitive experiments of equimolar mixtures of two isomeric alcohols. This enabled the practical synthesis of 1-pentyl acetate isolated as a single product in 68% yield from the equimolar mixture of 1-pentanol and 3-pentanol. Full article
(This article belongs to the Section Flavours and Fragrances)
Show Figures

Graphical abstract

10 pages, 2490 KB  
Article
One-Step Preparation of Z-Isomer-Rich β-Carotene Nanosuspensions Utilizing a Natural Catalyst, Allyl Isothiocyanate, via Supercritical CO2
by Yelin Zhang, Masaki Honda, Tetsuya Fukaya, Wahyudiono, Hideki Kanda and Motonobu Goto
Symmetry 2020, 12(5), 777; https://doi.org/10.3390/sym12050777 - 7 May 2020
Cited by 10 | Viewed by 3095
Abstract
This study aims to improve the production efficiency of β-carotene suspensions using a naturally occurring Z-isomerization-accelerating catalyst, allyl isothiocyanate (AITC), via supercritical CO2 (SC-CO2). Namely, utilizing solubility improvement of β-carotene with the Z-isomerization by adding AITC in the [...] Read more.
This study aims to improve the production efficiency of β-carotene suspensions using a naturally occurring Z-isomerization-accelerating catalyst, allyl isothiocyanate (AITC), via supercritical CO2 (SC-CO2). Namely, utilizing solubility improvement of β-carotene with the Z-isomerization by adding AITC in the SC-CO2-used dispersion process, the encapsulation efficiency of β-carotene was enhanced. The dispersion of β-carotene was conducted by ultrasonic treatment, and there was no involvement of organic solvents in the whole process. When 100 mg of AITC was added in the dispersion process, the encapsulation efficiency (β-carotene content in resulting suspension) was approximately 3.5 times higher than that without addition of the catalyst. Moreover, the Z-isomer ratio of β-carotene in the suspensions significantly improved, that is, it was approximately 12 times higher than the raw β-carotene material. Since Z-isomers of β-carotene are known to have higher antiatherosclerotic and antiatherogenic activities compared to the all-E-isomer, this one-step method not only efficiently produces β-carotene suspensions without organic solvents but also enhances the bioactivities of them. Full article
Show Figures

Figure 1

12 pages, 2036 KB  
Article
Revealing Structural Modifications of Lignin in Acidic γ-Valerolactone-H2O Pretreatment
by Suxiang Li, Chengke Zhao, Fengxia Yue and Fachuang Lu
Polymers 2020, 12(1), 116; https://doi.org/10.3390/polym12010116 - 5 Jan 2020
Cited by 17 | Viewed by 4715
Abstract
γ-valerolactone (GVL)/H2O/acid solvent mixtures has been used in chemical pretreatment of lignocellulosic biomass, it was claimed that GVL lignins were structurally close to proto (native) lignins, or having low molecular weight with narrow polydispersity, however, the structural changes of GVL lignins [...] Read more.
γ-valerolactone (GVL)/H2O/acid solvent mixtures has been used in chemical pretreatment of lignocellulosic biomass, it was claimed that GVL lignins were structurally close to proto (native) lignins, or having low molecular weight with narrow polydispersity, however, the structural changes of GVL lignins have not been investigated. In this study, β-O-4 (β-aryl ether, GG), β-5 (phenylcoumaran), and β-β (resinol) lignin model compounds were treated by an acidic GVL-H2O solvent system, a promising pretreatment of lignocellulose for biomass utilization, to investigate the structural changes possibly related to the lignin involved. NMR characterization of the products isolated from the treated GG indicated that a phenyl dihydrobenzofuran, having typical C-H correlations at δCH 50.74/4.50 and 93.49/4.60 ppm in its HSQC spectrum, was produced from GG. In the pretreatment, the released formaldehyde from GG reacted fast with GG to form a novel 1,3-dioxane intermediate whose characteristic HSQC signals were: δCH 94.15–94.48/4.81–5.18 ppm and 80.82–83.34/4.50–4.94 ppm. The β-5 model, dihydrodehydrodiconiferyl alcohol, was converted into phenylcoumarone and stilbene having benzaldehyde that resulted from the allyl alcohol side chain. The β-β model, syringaresinol, was isomerized to form a mixture of syringaresinol, epi-, and dia-syringaresinol although being degraded slightly. Full article
(This article belongs to the Special Issue Properties, Applications and Perspectives of Lignin)
Show Figures

Graphical abstract

18 pages, 2222 KB  
Article
Synthesis, Characterization, Solution Behavior and Theoretical Studies of Pd(II) Allyl Complexes with 2-Phenyl-3H-indoles as Ligands
by Maria Tomé, Arnald Grabulosa, Mercè Rocamora, Gabriel Aullón, Mercè Font-Bardía, Teresa Calvet and Concepción López
Catalysts 2019, 9(10), 811; https://doi.org/10.3390/catal9100811 - 27 Sep 2019
Cited by 1 | Viewed by 3051
Abstract
The study of the reactivity of three 2-phenyl-3H-indole ligands of general formulae C8H3N-2-(C6H4-4-R1)-3-NOMe-5-R2 (1) [with R1 = H, R2 = OMe (a); R1 [...] Read more.
The study of the reactivity of three 2-phenyl-3H-indole ligands of general formulae C8H3N-2-(C6H4-4-R1)-3-NOMe-5-R2 (1) [with R1 = H, R2 = OMe (a); R1 = R2 = H (b) or R1 = Cl, R2 = H (c)] with [Pd(η3-1-R3C3H4)(μ-Cl)]2 (R3 = H or Ph) has allowed us to isolate two sets of new Pd(II)-allyl complexes of general formulae [Pd(η3-1-R3C3H4)(1)Cl] {R3 = H (2) or Ph (3)}. Compounds 2a–2c and 3a–3c were characterized by elemental analyses, mass spectrometry and IR spectroscopy. The crystal structures of 2a, 3a and 3b were also determined by X-ray diffraction. 1H-NMR studies reveal the coexistence of two (for 2a–2c) or three (for 3a–3c) isomeric forms in CD2Cl2 solutions at 182 K. Additional studies on the catalytic activity of mixtures containing [Pd(η3-C3H5)(μ-Cl)]2 and the parent ligand (1a–1c) in the allylic alkylation of (E)-3-phenyl-2-propenyl (cinnamyl) acetate with sodium diethyl 2-methylmalonate as well as the stoichiometric reaction between compounds 3a and 3c with the nucleophile reveal that in both cases the formation of the linear trans- derivative is strongly preferred over the branched product. Computational studies at a DFT level on compound 3a allowed us to compare the relative stability of their isomeric forms present in solution and to explain the regioselectivity of the catalytic and stoichiometric processes. Full article
(This article belongs to the Special Issue Ligand Design in Metal Chemistry: Reactivity and Catalysis)
Show Figures

Graphical abstract

21 pages, 4302 KB  
Review
Synthesis of Alkanethiolate-Capped Metal Nanoparticles Using Alkyl Thiosulfate Ligand Precursors: A Method to Generate Promising Reagents for Selective Catalysis
by Khin Aye San and Young-Seok Shon
Nanomaterials 2018, 8(5), 346; https://doi.org/10.3390/nano8050346 - 18 May 2018
Cited by 35 | Viewed by 8066
Abstract
Evaluation of metal nanoparticle catalysts functionalized with well-defined thiolate ligands can be potentially important because such systems can provide a spatial control in the reactivity and selectivity of catalysts. A synthetic method utilizing Bunte salts (sodium S-alkylthiosulfates) allows the formation of metal [...] Read more.
Evaluation of metal nanoparticle catalysts functionalized with well-defined thiolate ligands can be potentially important because such systems can provide a spatial control in the reactivity and selectivity of catalysts. A synthetic method utilizing Bunte salts (sodium S-alkylthiosulfates) allows the formation of metal nanoparticles (Au, Ag, Pd, Pt, and Ir) capped with alkanethiolate ligands. The catalysis studies on Pd nanoparticles show a strong correlation between the surface ligand structure/composition and the catalytic activity and selectivity for the hydrogenation/isomerization of alkenes, dienes, trienes, and allylic alcohols. The high selectivity of Pd nanoparticles is driven by the controlled electronic properties of the Pd surface limiting the formation of Pd–alkene adducts (or intermediates) necessary for (additional) hydrogenation. The synthesis of water soluble Pd nanoparticles using ω-carboxylate-S-alkanethiosulfate salts is successfully achieved and these Pd nanoparticles are examined for the hydrogenation of various unsaturated compounds in both homogeneous and heterogeneous environments. Alkanethiolate-capped Pt nanoparticles are also successfully synthesized and further investigated for the hydrogenation of various alkynes to understand their geometric and electronic surface properties. The high catalytic activity of activated terminal alkynes, but the significantly low activity of internal alkynes and unactivated terminal alkynes, are observed for Pt nanoparticles. Full article
(This article belongs to the Special Issue Synthesis of Ligand-Capped Nanoparticles for Catalysis)
Show Figures

Figure 1

Back to TopTop