Sulfur-Containing Compounds: Natural Potential Catalyst for the Isomerization of Phytofluene, Phytoene and Lycopene in Tomato Pulp
Abstract
:1. Introduction
2. Materials and Methods
2.1. Chemicals and Reagents
2.2. Effect of the Types of Sulfur-Containing Compounds on the Isomerization and Degradation of PTF, PT, and Lycopene
2.3. Effect of the Concentration of DMTS and AITC on the Isomerization and Degradation of PTF, PT, and Lycopene
2.4. Effect of the Reaction Temperature on the Isomerization and Degradation of PTF, PT, and Lycopene
2.5. Effect of the Reaction Time on the Isomerization and Degradation of PTF, PT, and Lycopene
2.6. Preparation of the Tomato and Shii-Take Mushroom Mixture
2.7. In Vitro Digestion Procedure
2.8. HPLC Analysis and Identification of Lycopene, Phytofluene, and Phytoene Isomers
2.9. Extraction of Carotenoids
2.10. Statistical and Data Analysis
3. Results and Discussion
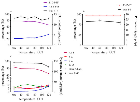
3.1. Profile of Phytofluene, Phytoene, and Lycopene Isomers after Thermal Treatment
3.2. Effect of Sulfur-Containing Compounds Types on Isomerization and Degradation of Lycopene, Phytoene, and Phytofluene
3.3. Effect of Concentration of DMTS and AITC on Isomerization and Degradation of PTF, PT, and Lycopene
3.4. Effect of Reaction Temperature on Isomerization and Degradation of PTF, PT, and Lycopene
3.5. Effect of the Reaction Time on Isomerization of Lycopene, Phytoene, and Phytofluene
3.6. The Proflies and Bioaccessibility of the Lycopene, Phytoene, and Phytofluene Isomers in Tomato Heated with Shii-Take Mushroom
4. Conclusions
Author Contributions
Funding
Conflicts of Interest
Appendix A


References
- Salehi, B.; Sharifi-Rad, R.; Sharopov, F.; Namiesnik, J.; Farjadian, F.; Kamle, M.; Kumar, P.; Martins, N.; Sharifi-Rad, J. Beneficial effects and potential risks of tomato consumption for human health: An overview. Nutrition 2019, 62, 201–208. [Google Scholar] [CrossRef] [PubMed]
- Burton-Freeman, B.; Reimers, K. Tomato Consumption and Health: Emerging Benefits. Am. J. Lifestyle Med. 2010, 5, 182–191. [Google Scholar] [CrossRef]
- Giovannucci, E. A Prospective Study of Tomato Products, Lycopene, and Prostate Cancer Risk. J. Natl. Cancer Inst. 2002, 94, 391–398. [Google Scholar] [CrossRef] [PubMed]
- Assar, E.A.; Vidalle, M.C.; Chopra, M.; Hafizi, S. Lycopene acts through inhibition of IκB kinase to suppress NF-κB signaling in human prostate and breast cancer cells. Tumor Biol. 2016, 37, 9375–9385. [Google Scholar] [CrossRef] [Green Version]
- Saini, R.K.; Rengasamy, K.R.; Mahomoodally, F.M.; Keum, Y.-S. Protective effects of lycopene in cancer, cardiovascular, and neurodegenerative diseases: An update on epidemiological and mechanistic perspectives. Pharmacol. Res. 2020, 155, 104730. [Google Scholar] [CrossRef] [PubMed]
- Basu, A.; Imrhan, V. Tomatoes versus lycopene in oxidative stress and carcinogenesis: Conclusions from clinical trials. Eur. J. Clin. Nutr. 2006, 61, 295–303. [Google Scholar] [CrossRef] [Green Version]
- Biehler, E.; Alkerwi, A.; Hoffmann, L.; Krause, E.; Guillaume, M.; Lair, M.-L.; Bohn, T. Contribution of violaxanthin, neoxanthin, phytoene and phytofluene to total carotenoid intake: Assessment in Luxembourg. J. Food Compos. Anal. 2012, 25, 56–65. [Google Scholar] [CrossRef]
- Mapelli-Brahm, P.; Margier, M.; Desmarchelier, C.; Halimi, C.; Nowicki, M.; Borel, P.; Melendez-Martinez, A.J.; Reboul, E. Comparison of the bioavailability and intestinal absorption sites of phytoene, phytofluene, lycopene and β-carotene. Food Chem. 2019, 300, 125232. [Google Scholar] [CrossRef]
- Mapelli-Brahm, P.; Desmarchelier, C.; Margier, M.; Reboul, E.; Martínez, A.J.M.; Borel, P. Phytoene and Phytofluene Isolated from a Tomato Extract are Readily Incorporated in Mixed Micelles and Absorbed by Caco-2 Cells, as Compared to Lycopene, and SR-BI is Involved in their Cellular Uptake. Mol. Nutr. Food Res. 2018, 62, 1800703. [Google Scholar] [CrossRef]
- Stinco, C.M.; Heredia, F.J.; Vicario, I.M.; Meléndez-Martínez, A.J. In vitro antioxidant capacity of tomato products: Relationships with their lycopene, phytoene, phytofluene and alpha-tocopherol contents, evaluation of interactions and correlation with reflectance measurements. LWT Food Sci. Technol. 2016, 65, 718–724. [Google Scholar] [CrossRef]
- Engelmann, N.J.; Clinton, S.K.; Erdman, J.W. Nutritional Aspects of Phytoene and Phytofluene, Carotenoid Precursors to Lycopene. Adv. Nutr. 2011, 2, 51–61. [Google Scholar] [CrossRef] [Green Version]
- Melendez-Martinez, A.J.; Mapelli-Brahm, P.; Stinco, C.M. The colourless carotenoids phytoene and phytofluene: From dietary sources to their usefulness for the functional foods and nutricosmetics industries. J. Food Compos. Anal. 2018, 67, 91–103. [Google Scholar] [CrossRef]
- Shi, J. Lycopene in Tomatoes: Chemical and Physical Properties Affected by Food Processing. Crit. Rev. Biotechnol. 2000, 20, 293–334. [Google Scholar] [CrossRef] [PubMed]
- Richelle, M.; Lambelet, P.; Rytz, A.; Tavazzi, I.; Mermoud, A.-F.; Juhel, C.; Borel, P.; Bortlik, K. The proportion of lycopene isomers in human plasma is modulated by lycopene isomer profile in the meal but not by lycopene preparation. Br. J. Nutr. 2011, 107, 1482–1488. [Google Scholar] [CrossRef] [Green Version]
- Schierle, J.; Bretzel, W.; Bühler, I.; Faccin, N.; Hess, D.; Steiner, K.; Schüep, W. Content and isomeric ratio of lycopene in food and human blood plasma. Food Chem. 1997, 59, 459–465. [Google Scholar] [CrossRef]
- Honda, M.; Nakayama, Y.; Nishikawa, S.; Tsuda, T. Z-Isomers of lycopene exhibit greater liver accumulation than the all-E-isomer in mice. Biosci. Biotechnol. Biochem. 2020, 84, 428–431. [Google Scholar] [CrossRef] [PubMed]
- Unlu, N.Z.; Bohn, T.; Francis, D.M.; Nagaraja, H.N.; Clinton, S.K.; Schwartz, S.J. Lycopene from heat-induced cis-isomer-rich tomato sauce is more bioavailable than from all-trans-rich tomato sauce in human subjects. Br. J. Nutr. 2007, 98, 140–146. [Google Scholar] [CrossRef] [Green Version]
- de Alvarenga, J.F.R.; Tran, C.; Hurtado-Barroso, S.; Martinez-Huélamo, M.; Illan, M.; Lamuela-Raventos, R.M. Home cooking and ingredient synergism improve lycopene isomer production in Sofrito. Food Res. Int. 2017, 99, 851–861. [Google Scholar] [CrossRef] [PubMed]
- Rubio-Diaz, D.E.; Santos, A.; Francis, D.M.; Rodriguez-Saona, L.E. Carotenoid stability during production and storage of tomato juice made from tomatoes with diverse pigment profiles measured by infrared spectroscopy. J. Agric. Food Chem. 2010, 58, 8692–8698. [Google Scholar] [CrossRef]
- Honda, M.; Kageyama, H.; Hibino, T.; Zhang, Y.; Ichihashi, K.; Fukaya, T.; Goto, M. Impact of global traditional seasonings on thermal Z-isomerization of (all-E)-lycopene in tomato puree. LWT Food Sci. Technol. 2019, 116, 108565. [Google Scholar] [CrossRef]
- Honda, M.; Kageyama, H.; Hibino, T.; Takemura, R.; Goto, M.; Fukaya, T. Enhanced Z-isomerization of tomato lycopene through the optimal combination of food ingredients. Sci. Rep. 2019, 9, 1–7. [Google Scholar] [CrossRef] [PubMed] [Green Version]
- Yu, J.; Gleize, B.; Zhang, L.; Caris-Veyrat, C.; Renard, C.M. Heating tomato puree in the presence of lipids and onion: The impact of onion on lycopene isomerization. Food Chem. 2019, 296, 9–16. [Google Scholar] [CrossRef] [PubMed]
- Honda, M.; Kageyama, H.; Hibino, T.; Ichihashi, K.; Takada, W.; Goto, M. Isomerization of Commercially Important Carotenoids (Lycopene, β-Carotene, and Astaxanthin) by Natural Catalysts: Isothiocyanates and Polysulfides. J. Agric. Food Chem. 2020, 68, 3228–3237. [Google Scholar] [CrossRef] [PubMed]
- Graziani, G.; Pernice, R.; Lanzuise, S.; Vitaglione, P.; Anese, M.; Fogliano, V. Effect of peeling and heating on carotenoid content and antioxidant activity of tomato and tomato-virgin olive oil systems. Eur. Food Res. Technol. 2003, 216, 116–121. [Google Scholar] [CrossRef]
- Cooperstone, J.L.; Francis, D.M.; Schwartz, S.J. Thermal processing differentially affects lycopene and other carotenoids in cis-lycopene containing, tangerine tomatoes. Food Chem. 2016, 210, 466–472. [Google Scholar] [CrossRef] [PubMed]
- Mapelli-Brahm, P.; Stinco, C.M.; Rodrigo, M.J.; Zacarías, L.; Melendez-Martinez, A.J. Impact of thermal treatments on the bioaccessibility of phytoene and phytofluene in relation to changes in the microstructure and size of orange juice particles. J. Funct. Foods 2018, 46, 38–47. [Google Scholar] [CrossRef] [Green Version]
- Luo, D.; Wu, J.; Ma, Z.; Tang, P.; Liao, X.; Lao, F. Production of high sensory quality Shiitake mushroom (Lentinus edodes) by pulsed air-impingement jet drying (AID) technique. Food Chem. 2021, 341, 128290. [Google Scholar] [CrossRef]
- Yu, J.; Gleize, B.; Zhang, L.; Caris-Veyrat, C.; Renard, C.M.G.C. Impact of onions in tomato-based sauces on isomerization and bioaccessibility of colorless carotenes: Phytoene and phytofluene. Food Funct. 2020, 11, 5122–5132. [Google Scholar] [CrossRef]
- Melendez-Martinez, A.J.; Stinco, C.M.; Liu, C.; Wang, X.-D. A simple HPLC method for the comprehensive analysis of cis/trans (Z/E) geometrical isomers of carotenoids for nutritional studies. Food Chem. 2013, 138, 1341–1350. [Google Scholar] [CrossRef]
- Lu, Q.; Peng, Y.; Zhu, C.; Pan, S. Effect of thermal treatment on carotenoids, flavonoids and ascorbic acid in juice of orange cv. Cara Cara. Food Chem. 2018, 265, 39–48. [Google Scholar] [CrossRef]
- Murakami, K.; Honda, M.; Takemura, R.; Fukaya, T.; Wahyudiono; Kanda, H.; Goto, M. Effect of thermal treatment and light irradiation on the stability of lycopene with high Z-isomers content. Food Chem. 2018, 250, 253–258. [Google Scholar] [CrossRef]
- Melendez-Martinez, A.J.; Paulino, M.; Stinco, C.M.; Mapelli-Brahm, P.; Wang, X.-D. Study of the Time-Course ofcis/trans(Z/E) Isomerization of Lycopene, Phytoene, and Phytofluene from Tomato. J. Agric. Food Chem. 2014, 62, 12399–12406. [Google Scholar] [CrossRef] [PubMed]
- Than, A.; Bramley, P.; Davies, B.; Rees, A.F. Stereochemistry of phytoene. Phytochemistry 1972, 11, 3187–3192. [Google Scholar] [CrossRef]
- Colle, I.; Lemmens, L.; Van Buggenhout, S.; Van Loey, A.; Hendrickx, M. Effect of Thermal Processing on the Degradation, Isomerization, and Bioaccessibility of Lycopene in Tomato Pulp. J. Food Sci. 2010, 75, C753–C759. [Google Scholar] [CrossRef] [PubMed]
- Colle, I.J.P.; Lemmens, L.; Tolesa, G.N.; Van Buggenhout, S.; De Vleeschouwer, K.; Van Loey, A.M.; Hendrickx, M.E. Lycopene Degradation and Isomerization Kinetics during Thermal Processing of an Olive Oil/Tomato Emulsion. J. Agric. Food Chem. 2010, 58, 12784–12789. [Google Scholar] [CrossRef] [PubMed]
- Warnakula, I.K.; Ebrahimpour, A.; Li, S.Y.; Ralalage, R.D.G.; Hewa-Rahinduwage, C.C.; Kiss, M.; Rios, C.T.; Kelley, K.D.; Whiteman, A.C.; Thompson, D.E.; et al. Evaluation of the Long-Term Storage Stability of the Cyanide Antidote: Dimethyl Trisulfide and Degradation Product Identification. ACS Omega 2020, 5, 27171–27179. [Google Scholar] [CrossRef] [PubMed]
- Honda, M.; Murakami, K.; Watanabe, Y.; Higashiura, T.; Fukaya, T.; Wahyudiono; Kanda, H.; Goto, M. The E/Z isomer ratio of lycopene in foods and effect of heating with edible oils and fats on isomerization of (all-E)-lycopene. Eur. J. Lipid Sci. Technol. 2017, 119, 1600389. [Google Scholar] [CrossRef]
- Guo, W.-H.; Tu, C.-Y.; Hu, C.-H. Cis−Trans Isomerizations of β-Carotene and Lycopene: A Theoretical Study. J. Phys. Chem. B 2008, 112, 12158–12167. [Google Scholar] [CrossRef]
- Paula, M.; Joana, C.; Antonio, J.M.; Bohn, T. Bioaccessibility of phytoene and phytofluene is superior to other carotenoids from selected fruit and vegetable juices. Food Chem. 2017, 229, 304–311. [Google Scholar]






| Carotenoids | Retion Time (min) Observed | λmax (nm) | %III/II | %III/II | Q-Ratio | Q-Ratio |
|---|---|---|---|---|---|---|
| Observed | Reported | Observed | Reported | |||
| Z1-PTF | 9.63 | 332,347,364 | 70.51 | 52.2 a, 68.8 b | - | - |
| Z2-PTF | 9.85 | 332,347,364 | 78.64 | 82.2 a, 70.2 b | - | - |
| Z3-PTF | 10.44 | 332,347,364 | 80.65 | 89.3 a, 100 b | - | - |
| All-E-PTF | 11.09 | 331,347,364 | 82.61 | 91.4 a, 86.5 b | - | - |
| Z4-PTF | 11.59 | 331,347,364 | 78.91 | 90.3 a, 77.5 b | - | - |
| Z1-PT | 8.33 | 286 | - | - | - | - |
| 15-Z-PT | 8.60 | 286 | 9.09 | - | - | - |
| All-E-PT | 9.12 | 286 | 14.35 | 19.05 a | - | - |
| 13-Z-LYC | 29.61 | 360,439,464,496 | - | - | 0.58 | 0.56 c |
| 9-Z-LYC | 31.71 | 360,439,465,497 | - | - | 0.14 | 0.13 a |
| All-E-LYC | 34.65 | 361,446,472,503 | - | - | 0.06 | 0.06 d |
| 5-Z-LYC | 35.07 | 360,446,472,503 | - | - | 0.06 | 0.08 a |
| Types | Remaining PTF (%) | Proportion of PTF Isomers (%) | Remaining PT (%) | Proportion of PT Isomers (%) | |||||
|---|---|---|---|---|---|---|---|---|---|
| Z1,2-PTF | Z3-PTF | All-E-PTF | Z4-PTF | Z1-PT | 15-Z-PT | All-E-PT | |||
| Control | 104.5 ± 3.6 a | 76.5 ± 1.1 a | — | 23.5 ± 1.1 abc | — | 98.8 ± 4.2 a | — | 100 a | — |
| MITC | 98.3 ± 0.3 a | 28.0 ± 0.3 bc | 13.1 ± 1.6 b | 28.4 ± 4.6 a | 30.5 ± 3.2 c | 97.0 ± 3.4 a | — | 95.7 ± 2.1 a | 4.3 ± 2.1 b |
| BITC | 97.14 ± 2.5 a | 31.8 ± 1.1 b | 13.4 ± 0.5 b | 23.6 ± 0.1 abc | 31.2 ± 1.3 bc | 99.9 ± 2.1 a | — | 94.0 ± 1.3 a | 6.0 ± 1.3 b |
| AITC | 101.6 ± 0.8 a | 28.1 ± 0.2 bc | 14.3 ± 0.7 ab | 25.1 ± 0.1 ab | 32.5 ± 0.3 abc | 99.8 ± 0.4 a | — | 93.5 ± 0.1 a | 6.5 ± 0.1 b |
| DADS | 95.7 ± 0.1 a | 27.8 ± 1.1 bc | 18.2 ± 0.1 a | 17.2 ± 0.5 bc | 36.8 ± 0.5 abc | 103.1 ± 0.3 a | 6.7 ± 0.0 b | 71.6 ± 0.1 b | 21.7 ± 0.2 a |
| DATS | 98.4 ± 3.5 a | 27.9 ± 1.2 bc | 17.1 ± 0.3 ab | 15.2 ± 0.1 bc | 39.8 ± 1.6 ab | 106.5 ± 2.1 a | 8.1 ± 1.2 ab | 64.1 ± 4.2 bc | 27.8 ± 2.9 a |
| DMTS | 94.5 ± 0.2 a | 26.9 ± 0.1 c | 17.3 ± 0.3 ab | 14.8 ± 0.3 c | 40.9 ± 0.2 a | 102.9 ± 0.8 a | 11.8 ± 0.1 a | 59.9 ± 0.6 c | 28.3 ± 0.5 a |
| Types | Remaining Lycopene (%) | Proportion of Lycopene Isomers (%) | |||||
|---|---|---|---|---|---|---|---|
| All-E-LCY | Total-cis | 5-Z | 9-Z | 13-Z | Others-cis | ||
| control | 98.6 ± 1.3 a | 78.5 ± 0.6 a | 21.5 ± 0.6 d | 5.4 ± 0.8 d | 1.8 ± 0.1 e | 8.7 ± 0.1 d | 5.7 ± 0.0 b |
| MITC | 84.6 ± 0.4 bc | 52.9 ± 0.5 b | 47.1 ± 0.5 c | 22.0 ± 0.6 a | 6.4 ± 0.4 d | 9.7 ± 0.6 cd | 9.0 ± 0.1 ab |
| BITC | 86.3 ± 0.2 b | 55.3 ± 2.6 b | 44.7 ± 2.6 c | 14.3 ± 0.6 c | 7.8 ± 0.5 bcd | 9.7 ± 0.9 cd | 12.9 ± 3.5 ab |
| AITC | 81.5 ± 2.1 bc | 49.2 ± 0.4 bc | 50.8 ± 0.4 bc | 19.7 ± 0.2 ab | 8.7 ± 0.1 bc | 10.6 ± 0.1 cd | 11.8 ± 0.1 ab |
| DADS | 83.9 ± 0.9 bc | 57.1 ± 2.1 b | 42.9 ± 2.1 c | 15.3 ± 0.6 bc | 7.0 ± 0.6 cd | 11.3 ± 0.1 bc | 9.3 ± 0.5 ab |
| DATS | 84.5 ± 0.8 bc | 42.1 ± 1.4 cd | 57.9 ± 1.4 ab | 21.7 ± 0.5 a | 9.9 ± 0.3 b | 13.1 ± 0.4 ab | 13.2 ± 0.2 ab |
| DMTS | 84.1 ± 0.7 bc | 39.8 ± 1.3 d | 60.2 ± 1.3 a | 20.6 ± 1.9 a | 12.2 ± 0.5 a | 14.0 ± 0.1 a | 13.4 ± 0.4 a |
| Shii-Take Mushroom (%) | PTF (%) | PT (%) | |||||||
|---|---|---|---|---|---|---|---|---|---|
| Total-PTF | Z1,2-PTF | Z3-PTF | All-E-PTF | Z4-PTF | Total-PT | Z1-PT | 15-Z-PT | All-E-PT | |
| 0 | 23.25 ± 0.5 ab | 20.36 ± 0.8 ab | — | 29.41 ± 0.3 a | — | 25.41 ± 2.1 a | — | 25.41 ± 2.1 a | — |
| 10% | 21.61 ± 0.4 b | 19.53 ± 0.3 b | — | 25.98 ± 1.2 a | 17.03 ± 1.3 a | 25.37 ± 0.9 a | — | 25.45 ± 0.9 a | 23.32 ± 1.9 a |
| 20% | 24.39 ± 0.7 a | 22.67 ± 1.1 ab | 17.07 ± 1.2 a | 28.03 ± 0.7 a | 19.90 ± 1.5 a | 24.82 ± 0.5 a | 12.47 ± 1.7 ab | 25.27 ± 0.6 a | 24.15 ± 0.8 a |
| 30% | 23.58 ± 1.4 ab | 21.80 ± 2.1 ab | 17.57 ± 1.4 a | 31.83 ± 3.1 a | 18.48 ± 0.5 a | 23.96 ± 0.1 ab | 7.93 ± 0.1 b | 25.24 ± 0.1 a | 22.46 ± 1.1 a |
| 40% | 24.96 ± 0.6 a | 24.06 ± 0.1 a | 17.91 ± 0.1 a | 29.09 ± 0.8 a | 23.13 ± 0.9 a | 22.04 ± 0.5 b | 6.97 ± 0.2 b | 24.30 ± 0.4 a | 16.75 ± 0.1 b |
| 50% | 23.96 ± 0.2 ab | 23.34 ± 0.9 ab | 21.45 ± 2.6 a | 27.28 ± 0.9 a | 21.41 ± 0.3 a | 19.18 ± 0.8 c | 17.87 ± 0.3 a | 21.75 ± 1.2 a | 17.36 ± 0.1 b |
| Shii-Take Mushroom (%) | Lycopene (%) | ||||
|---|---|---|---|---|---|
| Total Lycopene | All-E | 5-Z | 9-Z | 13-Z | |
| 0% | 1.71 ± 0.2 e | 0.74 ± 0.1 e | 4.83 ± 0.4 c | 7.48 ± 1.2 b | 8.77 ± 1.1 b |
| 10% | 4.00 ± 0.1 d | 2.78 ± 0.2 d | 8.12 ± 0.7 bc | 7.81 ± 0.2 b | 9.04 ± 1.2 b |
| 20% | 4.42 ± 0.2 cd | 3.22 ± 0.1 cd | 7.81 ± 0.8 bc | 9.11 ± 1.6 b | 7.88 ± 0.2 b |
| 30% | 5.42 ± 0.4 c | 3.69 ± 0.2 c | 9.06 ± 0.8 bc | 9.98 ± 0.8 ab | 9.24 ± 0.1 ab |
| 40% | 6.67 ± 0.4 b | 4.43 ± 0.3 b | 9.49 ± 0.5 ab | 11.58 ± 1.8 ab | 9.37 ± 1.1 ab |
| 50% | 8.03 ± 0.5 a | 6.30 ± 0.2 a | 11.86 ± 1.4 a | 13.81 ± 1.2 a | 12.89 ± 1.4 a |
Publisher’s Note: MDPI stays neutral with regard to jurisdictional claims in published maps and institutional affiliations. |
© 2021 by the authors. Licensee MDPI, Basel, Switzerland. This article is an open access article distributed under the terms and conditions of the Creative Commons Attribution (CC BY) license (https://creativecommons.org/licenses/by/4.0/).
Share and Cite
Ma, L.; Yang, C.; Jiang, X.; Wang, Q.; Zhang, J.; Zhang, L. Sulfur-Containing Compounds: Natural Potential Catalyst for the Isomerization of Phytofluene, Phytoene and Lycopene in Tomato Pulp. Foods 2021, 10, 1444. https://doi.org/10.3390/foods10071444
Ma L, Yang C, Jiang X, Wang Q, Zhang J, Zhang L. Sulfur-Containing Compounds: Natural Potential Catalyst for the Isomerization of Phytofluene, Phytoene and Lycopene in Tomato Pulp. Foods. 2021; 10(7):1444. https://doi.org/10.3390/foods10071444
Chicago/Turabian StyleMa, Lulu, Cheng Yang, Xin Jiang, Qun Wang, Jian Zhang, and Lianfu Zhang. 2021. "Sulfur-Containing Compounds: Natural Potential Catalyst for the Isomerization of Phytofluene, Phytoene and Lycopene in Tomato Pulp" Foods 10, no. 7: 1444. https://doi.org/10.3390/foods10071444
APA StyleMa, L., Yang, C., Jiang, X., Wang, Q., Zhang, J., & Zhang, L. (2021). Sulfur-Containing Compounds: Natural Potential Catalyst for the Isomerization of Phytofluene, Phytoene and Lycopene in Tomato Pulp. Foods, 10(7), 1444. https://doi.org/10.3390/foods10071444

