Sign in to use this feature.

Years

Between: -

Subjects

remove_circle_outline
remove_circle_outline
remove_circle_outline
remove_circle_outline
remove_circle_outline
remove_circle_outline
remove_circle_outline
remove_circle_outline
remove_circle_outline

Journals

remove_circle_outline
remove_circle_outline
remove_circle_outline
remove_circle_outline
remove_circle_outline
remove_circle_outline
remove_circle_outline
remove_circle_outline
remove_circle_outline
remove_circle_outline
remove_circle_outline

Article Types

Countries / Regions

remove_circle_outline
remove_circle_outline
remove_circle_outline
remove_circle_outline
remove_circle_outline

Search Results (1,219)

Search Parameters:
Keywords = air quality simulation

Order results
Result details
Results per page
Select all
Export citation of selected articles as:
21 pages, 3734 KB  
Article
Characterization of VOC Emissions Based on Oil Depots Source Profiles Observations and Influence of Ozone Numerical Simulation
by Weiming An, Jilong Tong, Lei Zhang, Lingyun Ma, Yongle Liu, Hong Yang and Min Chen
Atmosphere 2025, 16(10), 1192; https://doi.org/10.3390/atmos16101192 - 16 Oct 2025
Viewed by 217
Abstract
Oil depots are continuous sources of volatile organic compounds (VOCs), which contribute to ground-level ozone (O3) and secondary organic aerosol formation, posing threats to air quality and public health. This study investigated typical crude and refined oil depots in the Xigu [...] Read more.
Oil depots are continuous sources of volatile organic compounds (VOCs), which contribute to ground-level ozone (O3) and secondary organic aerosol formation, posing threats to air quality and public health. This study investigated typical crude and refined oil depots in the Xigu District of Lanzhou by measuring VOC source profiles and establishing an emission inventory. The maximum incremental reactivity (MIR) method was applied to assess the chemical reactivity of VOCs; both the emission inventory and VOC profiles were incorporated into the WRF-CMAQ model for numerical simulations. Results showed that the average ambient VOC concentrations were 49.8 μg/m3 for the crude oil depot and 66.1 μg/m3 for the refined oil depot. The crude oil depot was dominated by alkanes (37.1%), aromatics (25.1%), and OVOCs (22.5%), while the refined oil depot was dominated by alkanes (57.3%) and OVOCs (16.7%), with isopentane identified as the most abundant species in both depots. The ozone formation potentials (OFPs) of the crude oil and refined oil depots were 153.1 μg/m3 and 178.3 μg/m3, respectively. Aromatics (47.0%) and OVOCs (29.0%) were the primary contributors at the crude oil depot, with isopentane, o-xylene, etc., as the dominant reactive species. In the refined oil depot, the main contributors were alkanes (27.8%), alkenes and alkynes (26.6%), OVOCs (24.5%), and aromatics (20.5%), among which isopentane, trans-2-butene, etc., were most prominent. In 2023, VOC emissions from the crude oil and refined oil depots were estimated at 1605.3 t and 1287.8 t, respectively, mainly from working loss (96.6%) in the crude oil depot and deck fitting loss (60.7%) and working loss (31.3%) in the refined oil depot. Numerical simulations indicated that oil depot emissions could increase regional MDA8 O3 concentrations by up to 40.0 μg/m3. At the nearby Lanlian Hotel site, emissions contributed 15.1% of the MDA8 O3, equivalent to a 6.1 μg/m3 increase, while the citywide average was 1.7 μg/m3. This study enriches the VOC source profile database for oil depots, reveals their significant role in regional O3 formation, and provides a scientific basis for precise O3 control and differentiated emission reduction strategies in Northwest China. Full article
(This article belongs to the Special Issue Air Pollution: Emission Characteristics and Formation Mechanisms)
Show Figures

Graphical abstract

20 pages, 2201 KB  
Article
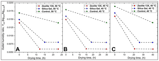
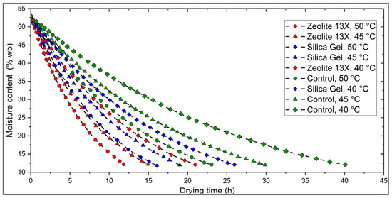
Coffee Drying as a Catalytic Gas–Solid Dehydration Analogy: A Desiccant-Assisted Theoretical Framework
by Eduardo Duque-Dussán
ChemEngineering 2025, 9(5), 112; https://doi.org/10.3390/chemengineering9050112 - 15 Oct 2025
Viewed by 149
Abstract
Coffee drying in humid regions is frequently hindered by high rainfall and elevated relative humidity during peak harvest, prolonging drying times and risking microbial spoilage and quality deterioration. This study introduces a novel framework in which low-temperature drying is reframed as a gas–solid [...] Read more.
Coffee drying in humid regions is frequently hindered by high rainfall and elevated relative humidity during peak harvest, prolonging drying times and risking microbial spoilage and quality deterioration. This study introduces a novel framework in which low-temperature drying is reframed as a gas–solid dehydration reaction, promoted by a catalyst analog represented by regenerable desiccants integrated into the inlet air stream to lower the humidity ratio (ΔY) and intensify the evaporation driving force. Two adsorbents, silica gel type A and zeolite 13X, were evaluated using a coupled reactor model linking fixed-bed adsorption kinetics with tensorial heat–mass transport in a 70 kg batch of parchment coffee arranged in a 0.20 m thick bed. Drying simulations from 53% to 12% (wb) at 40, 45, and 50 °C showed time reductions of 35–37% with silica gel and 44–57% with zeolite, yielding kinetic promotion factors of up to 2.3× relative to the control. Breakthrough analysis supported a dual-bed alternation strategy, with regeneration at ≤130 °C for silica and moderately higher for zeolite. A nomograph was developed to scale desiccant requirements across airflow and ΔY targets. These results confirm the feasibility and scalability of desiccant-assisted drying, providing a modular intensification pathway for farm-scale coffee processing. Full article
(This article belongs to the Topic Advanced Materials in Chemical Engineering)
Show Figures

Figure 1

26 pages, 11786 KB  
Article
Quantification of Multi-Source Road Emissions in an Urban Environment Using Inverse Methods
by Panagiotis Gkirmpas, George Tsegas, Giannis Ioannidis, Paul Tremper, Till Riedel, Eleftherios Chourdakis, Christos Vlachokostas and Nicolas Moussiopoulos
Atmosphere 2025, 16(10), 1184; https://doi.org/10.3390/atmos16101184 - 14 Oct 2025
Viewed by 139
Abstract
The spatial quantification of multiple sources within the urban environment is crucial for understanding urban air quality and implementing measures to mitigate air pollution levels. At the same time, emissions from road traffic contribute significantly to these concentrations. However, uncertainties arise when assessing [...] Read more.
The spatial quantification of multiple sources within the urban environment is crucial for understanding urban air quality and implementing measures to mitigate air pollution levels. At the same time, emissions from road traffic contribute significantly to these concentrations. However, uncertainties arise when assessing the contribution of multiple sources affecting a single receptor. This study aims to evaluate an inverse dispersion modelling methodology that combines Computational Fluid Dynamics (CFD) simulations with the Metropolis–Hastings Markov Chain Monte Carlo (MCMC) algorithm to quantify multiple traffic emissions at the street scale. This approach relies solely on observational data and prior information on each source’s emission rate range and is tested within the Augsburg city centre. To address the absence of extensive measurement data of a real pollutant correlated with traffic emissions, a synthetic observational dataset of a theoretical pollutant, treated as a passive scalar, was generated from the forward dispersion model, with added Gaussian noise. Furthermore, a sensitivity analysis also explores the influence of sensor configuration and prior information on the accuracy of the emission estimates. The results indicate that, when the potential emission rate range is narrow, high-quality predictions can be achieved (ratio between true and estimated release rates, Δq2) even with networks using data from only 10 sensors. In contrast, expanding the allowable emission range leads to reduced accuracy (2Δq6), particularly in networks with fewer than 50 sensors. Further research is recommended to assess the methodology’s performance using real-world measurements. Full article
(This article belongs to the Section Air Quality)
Show Figures

Figure 1

22 pages, 9182 KB  
Article
Modeling and Measurements of Traffic-Related PM10, PM2.5, and NO2 Emissions Around the Roundabout and Three-Arm Intersection in the Urban Environment
by Dusan Jandacka, Marek Drliciak, Michal Cingel and Matej Brna
Environments 2025, 12(10), 378; https://doi.org/10.3390/environments12100378 - 14 Oct 2025
Viewed by 540
Abstract
In recent decades, road transport has become one of the dominant factors shaping environmental conditions, with both beneficial and adverse consequences. While transport infrastructure facilitates access to essential services and supports societal well-being, vehicular emissions remain a major source of air quality degradation. [...] Read more.
In recent decades, road transport has become one of the dominant factors shaping environmental conditions, with both beneficial and adverse consequences. While transport infrastructure facilitates access to essential services and supports societal well-being, vehicular emissions remain a major source of air quality degradation. Among the pollutants released, nitrogen dioxide (NO2) and fine particulate matter (PM2.5) are of particular concern due to their adverse health effects, especially in densely trafficked urban areas. Pollutant levels are determined not only by traffic intensity but also by external influences such as meteorological conditions and roadway design. This study examines how different intersection configurations affect ambient concentrations of PM10, PM2.5, and NO2. Field monitoring and dispersion modeling were carried out for a three-arm intersection and a roundabout. NO2 concentrations were quantified using a reference chemiluminescence method, while PM10 and PM2.5 were measured with an optical aerosol spectrometer. Traffic flow characteristics associated with each intersection geometry were simulated in PTV Vissim, and pollutant dispersion patterns were subsequently analyzed using the CadnaA modeling environment. Field measurements revealed lower PM concentrations (reduction in PM10, PM2.5–10 and PM2.5 concentration—30.1%, 45.1% and 22.8%) and higher NO2 concentrations (increase in NO2 concentration—143.3%) at the roundabout. Full article
(This article belongs to the Special Issue Aerosols, Health, and Environmental Interactions)
Show Figures

Figure 1

21 pages, 13280 KB  
Article
An Airborne and Impact Sound Insulation Analysis of 3D Woven Textiles on the Floor in Buildings
by Ngan Thanh Vu, Won-Kee Hong and Seong-Kyum Kim
Buildings 2025, 15(20), 3643; https://doi.org/10.3390/buildings15203643 - 10 Oct 2025
Viewed by 185
Abstract
Noise has detrimental effects on mental and physical health and quality of life, especially for those living in apartment buildings. Therefore, sound insulation materials are pivotal for reducing unwanted noise as well as enhancing acoustic comfort. This study offers a hybrid approach for [...] Read more.
Noise has detrimental effects on mental and physical health and quality of life, especially for those living in apartment buildings. Therefore, sound insulation materials are pivotal for reducing unwanted noise as well as enhancing acoustic comfort. This study offers a hybrid approach for analyzing 3D woven textile sound insulation material effectiveness, especially in residential buildings, by simulating airborne sound insulation and testing manufactured slab samples with 3D woven textile mortars in a laboratory using a tapping machine. At the same time, the JCA model and the transfer matrix method are employed to calibrate sound absorption coefficients (SAC) and simulate its airborne sound insulation effect in buildings in Seoul, South Korea. Results indicate that the maximum mean sound pressure level (SPL) of the 3D woven textile was reduced up to 9 dB in the octave band frequencies. The thickness improvement of 3D woven textiles enhances the mid- and high-frequency sound absorption effect, most pronounced in 3D woven textiles made of double-layer (DSRM) material, which demonstrated an air sound insulation efficiency around 28.5% greater than that of traditional materials. The maximum drop in impact sound pressure level (SPL) at 2 kHz is 13 dB. The study also proposes a strategy to optimize sound insulation performance, which is used as an effective solution for noise control in buildings. These findings lay the groundwork for research on the application of 3D woven textiles for sound insulation in residential buildings and offer prospects for sustainable textile composites in architectural building applications. Full article
(This article belongs to the Special Issue Acoustics and Well-Being: Towards Healthy Environments)
Show Figures

Figure 1

23 pages, 18313 KB  
Article
Research on the Optimization Design of Natural Ventilation in University Dormitories Based on the Healthy Building Concept: A Case Study of Xuzhou Region
by Zhongcheng Duan, Yilun Zi, Leilei Wang and Shichun Dong
Buildings 2025, 15(19), 3630; https://doi.org/10.3390/buildings15193630 - 9 Oct 2025
Viewed by 211
Abstract
As the core space for students’ daily living and learning, the quality of the indoor wind environment and air quality in dormitory buildings is particularly critical. However, existing studies often neglect natural ventilation optimization under local climatic conditions and the multidimensional evaluation of [...] Read more.
As the core space for students’ daily living and learning, the quality of the indoor wind environment and air quality in dormitory buildings is particularly critical. However, existing studies often neglect natural ventilation optimization under local climatic conditions and the multidimensional evaluation of health benefits, leaving notable gaps in dormitory design. Under the Healthy China Initiative, the indoor wind environment in university dormitories directly impacts students’ health and learning efficiency. This study selects dormitory buildings in Xuzhou as the research object and employs ANSYS FLUENT 2020 software for computational fluid dynamics (CFD) simulations, combined with orthogonal experimental design methods, to systematically investigate and optimize the indoor wind environment with a focus on healthy ventilation standards. The evaluation focused on three key metrics—comfortable wind speed ratio, air age, and CO2 concentration—considering the effects of building orientation, corridor width, and window geometry, and identifying the optimal parameter combination. After optimization based on the orthogonal experimental design, the proportion of comfortable wind speed zones increased to 44.6%, the mean air age decreased to 258 s, and CO2 concentration stabilized at 613 ppm. These results demonstrate that the proposed optimization framework can effectively enhance indoor air renewal and pollutant removal, thereby improving both air quality and the health-related performance of dormitory spaces. The novelty of this study lies in integrating regional climate conditions with a coordinated CFD–orthogonal design approach. This enables precise optimization of dormitory ventilation performance and provides locally tailored, actionable evidence for advancing healthy campus design. Full article
(This article belongs to the Section Building Energy, Physics, Environment, and Systems)
Show Figures

Figure 1

22 pages, 6518 KB  
Article
Impacts of Cooling Reduction Due to Spray Nozzle Clogging on Shell Formation in Continuous Casting of Steel
by Dianzhi Meng, Sai Bhuvanesh Nandipati, Armin K. Silaen, Yufeng Wang, Sunday Abraham, Dallas Brown and Chenn Zhou
Metals 2025, 15(10), 1107; https://doi.org/10.3390/met15101107 - 4 Oct 2025
Viewed by 286
Abstract
In steel continuous casting, the secondary cooling zone is usually equipped with air-mist nozzles. Spray nozzle clogging is a common problem that reduces cooling efficiency and affects product quality. This study uses a 3D CFD model to investigate its impact on heat transfer. [...] Read more.
In steel continuous casting, the secondary cooling zone is usually equipped with air-mist nozzles. Spray nozzle clogging is a common problem that reduces cooling efficiency and affects product quality. This study uses a 3D CFD model to investigate its impact on heat transfer. The model includes the full-size caster geometry and actual nozzle layout to analyze the effect of clogging on the cooling process. The solidification process is modeled using the enthalpy-porosity method. Spray cooling is defined through empirical HTC correlations on the slab surface. The study focuses on how nozzle clogging changes the surface temperature, cooling rate, and metallurgical length (ML). Simulation results show that clogging raises the local surface temperature by about 100 K and increases the ML. More clogged nozzles lead to a longer ML. Clogging near the meniscus has a stronger impact, showing that early-stage cooling plays an important role in solidification. Even a single clogged nozzle can increase the ML by 3.2%, highlighting the significant effect of nozzle clogging on the casting process. Full article
(This article belongs to the Section Computation and Simulation on Metals)
Show Figures

Figure 1

7 pages, 854 KB  
Proceeding Paper
Air Pollutants Projections Using SHERPA Simulator: How Can Cyprus Achieve Cleaner Air
by Jude Brian Ramesh, Stelios P. Neophytides, Orestis Livadiotis, Diofantos G. Hadjimitsis, Silas Michaelides and Maria N. Anastasiadou
Environ. Earth Sci. Proc. 2025, 35(1), 63; https://doi.org/10.3390/eesp2025035063 - 3 Oct 2025
Viewed by 283
Abstract
Air quality is a vital factor for safeguarding public and environmental health. Particulate matter (i.e., PM2.5 and PM10) and nitrogen dioxide are among the most harmful air pollutants leading to severe health risks such as respiratory and cardiovascular diseases, while also affecting the [...] Read more.
Air quality is a vital factor for safeguarding public and environmental health. Particulate matter (i.e., PM2.5 and PM10) and nitrogen dioxide are among the most harmful air pollutants leading to severe health risks such as respiratory and cardiovascular diseases, while also affecting the environment negatively by contributing to the formation of acid rains and ground level ozone. The European Union has introduced new thresholds on those pollutants to be met by the year 2030, taking into consideration the guidelines set by the World Health Organization, aiming for a healthier environment for humans and living species. Cyprus is an island that is vulnerable to those pollutants mostly due to its geographic location, facilitating shipping activities and dust transport from Sahara Desert, and the methods used to produce electricity which primarily rely on petroleum products. Furthermore, the country suffers from heavy traffic conditions, making it susceptible to high levels of nitrogen dioxide. Thus, the projection of air pollutants according to different scenarios based on regulations and policies of the European Union are necessary towards clean air and better practices. The Screening for High Emission Reduction Potential on Air (SHERPA) is a tool developed by the European Commission which allows the simulation of emission reduction scenarios and their effect on the following key pollutants: NO, NO2, O3, PM2.5, PM10. This study aims to assess the potential of the SHERPA simulation tool to support air quality related decision and policy planning in Cyprus to ensure that the country will remain within the thresholds that will be applicable in 2030. Full article
Show Figures

Figure 1

19 pages, 3076 KB  
Article
Air Pollutant Traceability Based on Federated Learning of Edge Intelligent Perception Agents
by Jinping Xue, Xin Hu, Qiang Liu, Congbo Yin, Peitao Ni and Xinyu Bo
Sensors 2025, 25(19), 6119; https://doi.org/10.3390/s25196119 - 3 Oct 2025
Viewed by 314
Abstract
Tracing the source of air pollution presents a significant challenge, especially in densely populated urban areas, because of the unpredictable and complex nature of aerodynamics. To address this issue, intelligent lamp posts have been developed with smart sensors and edge computing capabilities. These [...] Read more.
Tracing the source of air pollution presents a significant challenge, especially in densely populated urban areas, because of the unpredictable and complex nature of aerodynamics. To address this issue, intelligent lamp posts have been developed with smart sensors and edge computing capabilities. These lamp posts serve as nodes in the EIPA (Edge Intelligent Perception Agent) network within urban campuses. These lamp posts aim to track air pollutants by employing a tracking algorithm that utilizes big data learning and Gaussian diffusion models. This approach focuses on monitoring the quality of urban air and identifying pollution sources, rather than relying solely on traditional CFD simulations for air pollution dispersion. The algorithm comprises three primary components: (1) the Federated Learning framework built on the EIPA system; (2) the LSTM model implemented on the edge nodes of the EIPA system; and (3) a genetic algorithm utilized for optimizing the model parameters. By using CFD simulations in a simulated city park, training data on air dynamic movements is gathered. The usefulness of the method for tracing air pollutants based on federated learning of edge intelligent perception agents is demonstrated by the outcomes of algorithm training. Experimental results show that, compared to the traditional genetic algorithm (GA) and LSTM + genetic algorithm, the proposed FL + LSTM + GA method significantly improves the pollution source positioning accuracy to 99.5% and reduces the average absolute error (MAE) of Gaussian model parameter estimation to 0.20. Full article
(This article belongs to the Section Intelligent Sensors)
Show Figures

Figure 1

31 pages, 10459 KB  
Article
Ship Air Emission and Their Air Quality Impacts in the Panama Canal Area: An Integrated AIS-Based Estimation During Hotelling Mode in Anchorage Zone
by Yongchan Lee, Youngil Park, Gaeul Kim, Jiye Yoo, Cesar Pinzon-Acosta, Franchesca Gonzalez-Olivardia, Edmanuel Cruz and Heekwan Lee
J. Mar. Sci. Eng. 2025, 13(10), 1888; https://doi.org/10.3390/jmse13101888 - 2 Oct 2025
Viewed by 481
Abstract
This study presents an integrated assessment of anchorage-related emissions and air quality impacts in the Panama Canal region through Automatic Identification System (AIS) data, bottom-up emission estimation, and atmospheric dispersion modeling. One year of terrestrial AIS observations (July 2024–June 2025) captured 4641 vessels [...] Read more.
This study presents an integrated assessment of anchorage-related emissions and air quality impacts in the Panama Canal region through Automatic Identification System (AIS) data, bottom-up emission estimation, and atmospheric dispersion modeling. One year of terrestrial AIS observations (July 2024–June 2025) captured 4641 vessels with highly variable waiting times: mean 15.0 h, median 4.9 h, with maximum episodes exceeding 1000 h. Annual emissions totaled 1,390,000 tons of CO2, 20,500 tons of NOx, 4250 tons of SO2, 656 tons of PM10, and 603 tons of PM2.5, with anchorage activities contributing 497,000 tons of CO2, 7010 tons of NOx, 1520 tons of SO2, 232 tons of PM10, and 214 tons of PM2.5. Despite the main engines being shut down during anchorage, these activities consistently accounted for 34–36% of the total emissions across all pollutants. High-resolution emission mapping revealed hotspots concentrated in anchorage zones, port berths, and canal approaches. Dispersion simulations revealed strong meteorological control: northwesterly flows transported emissions offshore, sea–land breezes produced afternoon fumigation peaks affecting Panama City, and southerly winds generated widespread onshore impacts. These findings demonstrate that anchorage operations constitute a major source of shipping-related pollution, highlighting the need for operational efficiency improvements and meteorologically informed mitigation strategies. Full article
(This article belongs to the Section Ocean Engineering)
Show Figures

Figure 1

19 pages, 944 KB  
Article
Robust Optimization for IRS-Assisted SAGIN Under Channel Uncertainty
by Xu Zhu, Litian Kang and Ming Zhao
Future Internet 2025, 17(10), 452; https://doi.org/10.3390/fi17100452 - 1 Oct 2025
Viewed by 209
Abstract
With the widespread adoption of space–air–ground integrated networks (SAGINs) in next-generation wireless communications, intelligent reflecting surfaces (IRSs) have emerged as a key technology for enhancing system performance through passive link reinforcement. This paper addresses the prevalent issue of channel state information (CSI) uncertainty [...] Read more.
With the widespread adoption of space–air–ground integrated networks (SAGINs) in next-generation wireless communications, intelligent reflecting surfaces (IRSs) have emerged as a key technology for enhancing system performance through passive link reinforcement. This paper addresses the prevalent issue of channel state information (CSI) uncertainty in practical systems by constructing an IRS-assisted multi-hop SAGIN communication model. To capture the performance degradation caused by channel estimation errors, a norm-bounded uncertainty model is introduced. A simulated annealing (SA)-based phase optimization algorithm is proposed to enhance system robustness and improve worst-case communication quality. Simulation results demonstrate that the proposed method significantly outperforms traditional multiple access strategies (SDMA and NOMA) under various user densities and perturbation levels, highlighting its stability and scalability in complex environments. Full article
Show Figures

Figure 1

29 pages, 10000 KB  
Article
Numerical Simulations and Assessment of the Effect of Low-Emission Zones in Sofia, Bulgaria
by Reneta Dimitrova, Margret Velizarova, Angel Burov, Danail Brezov, Angel M. Dzhambov and Georgi Gadzhev
Urban Sci. 2025, 9(10), 402; https://doi.org/10.3390/urbansci9100402 - 1 Oct 2025
Viewed by 387
Abstract
Bulgaria continues to face serious challenges related to air quality. To mitigate traffic-related air pollution and in line with the European regulations, the Metropolitan Municipal Council of Sofia has adopted and introduced low-emission zones (LEZs) in the city centre. The goal of this [...] Read more.
Bulgaria continues to face serious challenges related to air quality. To mitigate traffic-related air pollution and in line with the European regulations, the Metropolitan Municipal Council of Sofia has adopted and introduced low-emission zones (LEZs) in the city centre. The goal of this study is to address the specific needs of urban planning in the city in support of local decision-making. A bespoke emission inventory was developed for the LEZs in Sofia, and high-resolution numerical simulations (100 m resolution) were carried out to assess the effect of the measures implemented to reduce emissions in the central part of the city. The results show a decrease in nitrogen dioxide concentrations along major roads and intersections, but projected concentrations will still be high. No significant improvement is expected for particulate matter pollution due to the limitations of this study. High-resolution (100 m) emission inventories of domestic heating, minor roads, and bare soil surfaces, the major sources of particulate matter pollution, are not included in this study. An integrated model is needed to analyse and compare different scenarios for the development of the transport system, and the gradual introduction of LEZs must be accompanied by a number of other additional measures and actions. Full article
Show Figures

Graphical abstract

37 pages, 523 KB  
Review
Artificial Intelligence and Machine Learning Approaches for Indoor Air Quality Prediction: A Comprehensive Review of Methods and Applications
by Dominik Latoń, Jakub Grela, Andrzej Ożadowicz and Lukasz Wisniewski
Energies 2025, 18(19), 5194; https://doi.org/10.3390/en18195194 - 30 Sep 2025
Viewed by 674
Abstract
Indoor air quality (IAQ) is a critical determinant of health, comfort, and productivity, and is strongly connected to building energy demand due to the role of ventilation and air treatment in HVAC systems. This review examines recent applications of Artificial Intelligence (AI) and [...] Read more.
Indoor air quality (IAQ) is a critical determinant of health, comfort, and productivity, and is strongly connected to building energy demand due to the role of ventilation and air treatment in HVAC systems. This review examines recent applications of Artificial Intelligence (AI) and Machine Learning (ML) for IAQ prediction across residential, educational, commercial, and public environments. Approaches are categorized by predicted parameters, forecasting horizons, facility types, and model architectures. Particular focus is given to pollutants such as CO2, PM2.5, PM10, VOCs, and formaldehyde. Deep learning methods, especially the LSTM and GRU networks, achieve superior accuracy in short-term forecasting, while hybrid models integrating physical simulations or optimization algorithms enhance robustness and generalizability. Importantly, predictive IAQ frameworks are increasingly applied to support demand-controlled ventilation, adaptive HVAC strategies, and retrofit planning, contributing directly to reduced energy consumption and carbon emissions without compromising indoor environmental quality. Remaining challenges include data heterogeneity, sensor reliability, and limited interpretability of deep models. This review highlights the need for scalable, explainable, and energy-aware IAQ prediction systems that align health-oriented indoor management with energy efficiency and sustainability goals. Such approaches directly contribute to policy priorities, including the EU Green Deal and Fit for 55 package, advancing both occupant well-being and low-carbon smart building operation. Full article
(This article belongs to the Collection Energy Efficiency and Environmental Issues)
Show Figures

Figure 1

35 pages, 4858 KB  
Article
An Algae Cultivator Coupled with a Hybrid Photosynthetic–Air-Cathode Microbial Fuel Cell with Ceramic Membrane Interface
by Chikashi Sato, Ghazaleh Alikaram, Oluwafemi Oladipupo Kolajo, John Dudgeon, Rebecca Hazard, Wilgince Apollon and Sathish-Kumar Kamaraj
Membranes 2025, 15(10), 295; https://doi.org/10.3390/membranes15100295 - 30 Sep 2025
Viewed by 462
Abstract
Microalgae are promising candidates for renewable biofuel production and nutrient-rich animal feed. Cultivating microalgae using wastewater can lower production costs but often results in biomass contamination and increases downstream processing requirements. This study presents a novel system that integrates an algae cultivator (AC) [...] Read more.
Microalgae are promising candidates for renewable biofuel production and nutrient-rich animal feed. Cultivating microalgae using wastewater can lower production costs but often results in biomass contamination and increases downstream processing requirements. This study presents a novel system that integrates an algae cultivator (AC) with a single-chamber microbial fuel cell (MFC) equipped with photosynthetic and air-cathode functionalities, separated by a ceramic membrane. The system enables the generation of electricity and production of clean microalgae biomass concurrently, in both light and dark conditions, utilizing wastewater as a nutrient source and renewable energy. The MFC chamber was filled with simulated potato processing wastewater, while the AC chamber contained microalgae Chlorella vulgaris in a growth medium. The ceramic membrane allowed nutrient diffusion while preventing direct contact between algae and wastewater. This design effectively supported algal growth and produced uncontaminated, harvestable biomass. At the same time, larger particulates and undesirable substances were retained in the MFC. The system can be operated with synergy between the MFC and AC systems, reducing operational and pretreatment costs. Overall, this hybrid design highlights a sustainable pathway for integrating electricity generation, nutrient recovery, and algae-based biofuel feedstock production, with improved economic feasibility due to high-quality biomass cultivation and the ability to operate continuously under variable lighting conditions. Full article
(This article belongs to the Special Issue Design, Synthesis, and Application of Inorganic Membranes)
Show Figures

Figure 1

22 pages, 14363 KB  
Article
Aerosol Transport from Amazon Biomass Burning to Southern Brazil: A Case Study of an Extreme Event During September 2024
by Fernando Primo Forgioni, Caroline Bresciani, André Reis, Gabriela Viviana Müller, Dirceu Luis Herdies, Jório Bezerra Cabral Júnior and Fabrício Daniel dos Santos Silva
Atmosphere 2025, 16(10), 1138; https://doi.org/10.3390/atmos16101138 - 27 Sep 2025
Viewed by 497
Abstract
Biomass burning in the Amazon region, especially during the dry season, generates aerosol dispersion events across the southern part of the continent, with impacts observable thousands of kilometers from the emission source. This study presents a long-range aerosol transport case from September 2024, [...] Read more.
Biomass burning in the Amazon region, especially during the dry season, generates aerosol dispersion events across the southern part of the continent, with impacts observable thousands of kilometers from the emission source. This study presents a long-range aerosol transport case from September 2024, in which smoke aerosols from forest fires in the central Amazon reached southeastern and southern Brazil, affecting the air quality in distant areas such as São Paulo and São Martinho. The event was simulated using the Weather Research and Forecasting model with Chemistry (WRF-Chem), configured with the MOZCART chemical mechanism, combined with MERRA-2 reanalysis data and by using the 3BEM biomass burning emission inventory. Satellite datasets from MODIS and MERRA-2 reanalysis were used to evaluate the model’s performance. The results indicate that the South American Low-Level Jet (SALLJ) played a key role in transporting carbonaceous aerosols over long distances. The model successfully captured the spatial and temporal evolution of the aerosol plume and its impacts, although it tended to underestimate aerosol optical depth (AOD) values compared with satellite observations. This study highlights the WRF-Chem’s capability to simulate extreme smoke transport events in South America and supports its potential application in forecasting and air quality assessments. Full article
(This article belongs to the Section Aerosols)
Show Figures

Graphical abstract

Back to TopTop