Due to scheduled maintenance work on our servers, there may be short service disruptions on this website between 11:00 and 12:00 CEST on March 28th.
Sign in to use this feature.

Years

Between: -

Subjects

remove_circle_outline
remove_circle_outline
remove_circle_outline
remove_circle_outline
remove_circle_outline
remove_circle_outline
remove_circle_outline
remove_circle_outline
remove_circle_outline

Journals

remove_circle_outline
remove_circle_outline
remove_circle_outline
remove_circle_outline
remove_circle_outline
remove_circle_outline
remove_circle_outline
remove_circle_outline
remove_circle_outline
remove_circle_outline

Article Types

Countries / Regions

Search Results (309)

Search Parameters:
Keywords = agave

Order results
Result details
Results per page
Select all
Export citation of selected articles as:
24 pages, 7556 KB  
Article
Post-Electrospinning Surface Functionalization of PCL Nanofibrous Membranes with Sisal Extracts: Extract-Dependent Cytocompatibility and Bioactivity
by Felipe Romici Zane Lordelo Nogueira, Julia Amanda Rodrigues Fracasso, Luisa Taynara Silvério da Costa, Wellington Ricardo Pereira Martins, Amanda Letícia Santos Costa, Ligia Maria Manzine Costa and Lucinéia dos Santos
Cosmetics 2026, 13(2), 80; https://doi.org/10.3390/cosmetics13020080 - 23 Mar 2026
Viewed by 126
Abstract
Chronic wounds are frequently associated with persistent inflammation, motivating the development of biofunctional materials capable of modulating cellular responses. In this proof-of-concept study, electrospun poly(ε-caprolactone) (PCL) nanomembranes were surface-functionalized by post-electrospinning drop coating with extracts derived from Agave sisalana agroindustrial residue obtained through [...] Read more.
Chronic wounds are frequently associated with persistent inflammation, motivating the development of biofunctional materials capable of modulating cellular responses. In this proof-of-concept study, electrospun poly(ε-caprolactone) (PCL) nanomembranes were surface-functionalized by post-electrospinning drop coating with extracts derived from Agave sisalana agroindustrial residue obtained through two distinct routes: a saponin-rich fraction (EDP) and an acid-hydrolyzed sapogenin-enriched fraction (EAH). The study aimed to investigate how the extract phytochemical profile influences cytocompatibility and bioactivity when incorporated onto electrospun platforms. Phytochemical analysis revealed high total saponin content in EDP (33.83 ± 2.93 g/100 g) and significant sapogenin content in EAH (11.56 ± 0.60 g/100 g). SEM and FTIR-ATR analyses confirmed preservation of the fibrous architecture and polymer backbone, indicating predominantly physical surface incorporation. Biological evaluation demonstrated extract-dependent responses: PCL+EDP 5% exhibited marked cytotoxicity, consistent with the known membrane-disruptive properties of glycosylated saponins, whereas PCL+EAH 5% maintained high cell viability and showed anti-inflammatory activity (75% inhibition of phagocytosis; 56% protection against hemolysis) along with enhanced fibroblast migration (100% wound closure at 72 h). These findings highlight the critical role of extract chemical composition in determining the biological performance of surface-functionalized nanofibrous systems and support sapogenin-enriched fractions as safer bioactive modifiers for electrospun biomaterial platforms. Full article
Show Figures

Graphical abstract

21 pages, 701 KB  
Article
Evaluating Honey Adulteration Through Physicochemical Characterization and Liquid Chromatography–Mass Spectrometry-Based Sugar Profiling
by Entesar Al-Hetlani, Bessy D’Cruz, Mohammed Hayssam, Bedraya Mandekar and Mohamed O. Amin
Foods 2026, 15(6), 1038; https://doi.org/10.3390/foods15061038 - 16 Mar 2026
Viewed by 227
Abstract
The high market demand for Sidr honey, known for its nutritional and therapeutic properties, makes it susceptible to adulteration with sugar syrups, compromising authenticity and consumer safety. This study employed physicochemical tests and liquid chromatography–mass spectrometry (LC–MS) sugar profiling to analyze the impact [...] Read more.
The high market demand for Sidr honey, known for its nutritional and therapeutic properties, makes it susceptible to adulteration with sugar syrups, compromising authenticity and consumer safety. This study employed physicochemical tests and liquid chromatography–mass spectrometry (LC–MS) sugar profiling to analyze the impact of adulteration with corn, date, and agave syrups (5–35% w/w) on Kuwaiti Ziziphus spina-christi (Sidr) honey samples. Authentic Sidr honey exhibited pH values within 3.4–6.1, free acidity (FA) of <50 mEq kg−1, high electrical conductivity (mean EC: 1066.21 ± 353 µS cm−1), and moisture content <20%. Adulteration did not significantly affect pH or moisture (p > 0.05). FA significantly changed only in corn syrup-adulterated samples (p < 0.05). Electrical conductivity varied significantly with syrup type (p < 0.05). LC–MS was used to quantify the fructose (F) and glucose (G) contents, their ratio (F/G), and the total sugar content (F + G). For the authentic samples, F/G = 1.10–1.35, consistent with reported ranges. Corn syrup reduced F + G and F/G, date syrup raised both sugar contents, modestly changing F/G, while agave syrup, markedly increased both F/G and F + G. This integrated approach of physicochemical characterization and targeted sugar profiling effectively detects syrup adulteration, enhancing honey authentication, consumer protection, and market transparency. Full article
(This article belongs to the Section Food Quality and Safety)
Show Figures

Figure 1

18 pages, 1362 KB  
Article
Emerging Sustainable Bioprocess for the Valorization of Agave Bagasse for Single-Cell Protein Production
by Emiro Leal-Urbina, Elisa Dufoo-Hurtado, Marcela Gaytán-Martínez, Edgar N. Tec-Caamal and Aurea K. Ramírez-Jiménez
Foods 2026, 15(6), 1033; https://doi.org/10.3390/foods15061033 - 16 Mar 2026
Viewed by 248
Abstract
In this work, a food-compatible bioprocess was evaluated for the production of yeast single-cell protein from mezcal agave bagasse. Bagasse was enzymatically hydrolyzed at 10% (w/v) solids (pH 4.8, 50 °C, 24 h) using commercial enzymes. The resulting liquid [...] Read more.
In this work, a food-compatible bioprocess was evaluated for the production of yeast single-cell protein from mezcal agave bagasse. Bagasse was enzymatically hydrolyzed at 10% (w/v) solids (pH 4.8, 50 °C, 24 h) using commercial enzymes. The resulting liquid was clarified by activated charcoal adsorption and filtration to obtain a hydrolysate suitable for submerged fermentation. Enzymatic hydrolysis released reducing sugars in the range of 11–17 g/L. Saccharomyces cerevisiae was cultivated on the clarified hydrolysate under submerged conditions using both flask-scale and 2 L stirred-tank bioreactor experiments. Trials were performed at flask scale with initial sugars at 8, 17, and 50 g/L, and at 2 L stirred-tank bioreactor scale with initial sugars at 20.68 g/L (R1) and 16.30 (R2) g/L. At the flask scale, final biomass concentrations increased with initial sugar level. Values reached 6.18 ± 0.27, 8.02 ± 0.55, and 9.28 ± 0.10 g/L, while crude protein remained below 10% (3.40 ± 0.15 to 8.69 ± 0.09 g/100 g dry weight). In contrast, bioreactor cultivation resulted in higher protein enrichment, with protein contents over 40% under both oxygen regimes (41.71 ± 0.47 to 45.80 ± 0.43 g/100 g dry weight). Overall, the findings support enzymatic hydrolysis coupled with controlled submerged fermentation as a scalable approach for valorizing agave bagasse into protein-enriched yeast biomass. Full article
(This article belongs to the Section Food Biotechnology)
Show Figures

Graphical abstract

24 pages, 3440 KB  
Article
Multi-Target Herbicidal Effects of Agave lechuguilla Torr. Extract on Chenopodium album L.: Germination Inhibition, Metabolic Disruption, and Morpho-Physiological Alterations
by Adrián E. Velázquez-Lizárraga, Leopoldo Javier Ríos-González, Luis Guillermo Hernández-Montiel, Carmen Rodríguez-Jaramillo, Paola Magallón-Servín, Eric J. Abraham-Jaramillo, Felipe Ascencio and Ana G. Reyes
Plants 2026, 15(5), 745; https://doi.org/10.3390/plants15050745 - 28 Feb 2026
Viewed by 635
Abstract
The pursuit of sustainable alternatives has spurred interest in plant-derived bioherbicides with multi-target actions to combat resistance. This study explored the herbicidal potential of Agave lechuguilla extract (AGE) against the widely problematic weed Chenopodium album L. (lambsquarters). Various methods, including germination assays, biochemical [...] Read more.
The pursuit of sustainable alternatives has spurred interest in plant-derived bioherbicides with multi-target actions to combat resistance. This study explored the herbicidal potential of Agave lechuguilla extract (AGE) against the widely problematic weed Chenopodium album L. (lambsquarters). Various methods, including germination assays, biochemical profiling, measurements of antioxidant enzyme activity, isothermal microcalorimetry, and both macroscopic and microscopic morphological analyses, were employed to evaluate the effects of AGE relative to glyphosate (1.5%). The results indicated that AGE inhibited seed germination in a concentration-dependent manner, with the 30 g/L dose exhibiting the most significant effect. Treatment with 30 g/L of AGE led to a notable decrease in total carbohydrate content and catalase activity, an increase in total lipids, and an enhancement of glutathione reductase activity. Additionally, it suppressed metabolic heat output and severely disrupted root and cellular architecture, resulting in a reduction of cell area by 51.1%. In contrast, glyphosate primarily increased lipid content and induced near-complete metabolic suppression while causing distinct morphological and enzymatic alterations. The findings demonstrate that AGE functions as a multi-target pre-emergence bioherbicide, disrupting processes related to germination, metabolism, oxidative balance, and morphology through mechanisms that differ from the single-target action of glyphosate. This underscores its potential for sustainable weed management. Full article
(This article belongs to the Special Issue Biocontrol Agents for Sustainable Plant Disease Management)
Show Figures

Figure 1

10 pages, 1510 KB  
Article
Agave triangularis Transcriptome Reveals Candidate SRO Genes Involved in Leaf Development and Stress Response of Agave
by Huanhuan Qi, Yuchen Feng, Liang Chen, Bo Wang, Xiaoli Hu, Gang Xu, Jingyi Lu, Shibei Tan, Tao Chen and Xing Huang
Horticulturae 2026, 12(2), 249; https://doi.org/10.3390/horticulturae12020249 - 19 Feb 2026
Viewed by 299
Abstract
Agave triangularis Jacobi is an ornamental agave species that represents a valuable genetic resource for enhancing resistance and tolerance in cultivated agaves such as A. tequilana and A. H11648. In this study, we performed the first de novo transcriptome assembly of A. [...] Read more.
Agave triangularis Jacobi is an ornamental agave species that represents a valuable genetic resource for enhancing resistance and tolerance in cultivated agaves such as A. tequilana and A. H11648. In this study, we performed the first de novo transcriptome assembly of A. triangularis using Illumina sequencing. A total of 131,321 transcripts were assembled, comprising 119,764,849 bp. Functional annotation revealed a close evolutionary relationship between A. triangularis and Asparagus officinalis, supporting its phylogenetic placement within the Asparagaceae family. We further identified five SRO genes in both A. triangularis and A. H11648. Their expression profiles in A. H11648, analyzed by qRT-PCR, suggested involvement in leaf development. Notably, AhSRO2 and AhSRO3 were significantly up-regulated following oomycete infection, while AhSRO3 was markedly induced under low-temperature stress. These findings highlight AhSRO2 and AhSRO3 as promising candidate genes for further functional investigation. This study provides the first reference transcriptome for A. triangularis, offering a valuable resource for gene discovery and comparative evolutionary studies in agave. The expression patterns of SRO genes establish a framework for understanding their potential roles in leaf development and stress responses, supporting future efforts toward genetic improvement in agave species. Full article
Show Figures

Figure 1

13 pages, 3417 KB  
Article
Taxonomic and Functional Diversity of Leaves and Stem Endophytes of Eight Agave Species
by Natalia Ysabel Labrín-Sotomayor, Patricia Alejandra Becerra-Lucio, Hugo Ruiz-González and Yuri Jorge Peña-Ramírez
Microorganisms 2026, 14(2), 476; https://doi.org/10.3390/microorganisms14020476 - 15 Feb 2026
Viewed by 574
Abstract
More than 63% of Mexico’s territory is classified as arid or semiarid, where plants belonging to the genus Agave have evolved. Adaptation to drylands resulted from biochemical, physiological, and anatomical properties shared with other crassulacean plants; however, microbial symbionts also play critical roles [...] Read more.
More than 63% of Mexico’s territory is classified as arid or semiarid, where plants belonging to the genus Agave have evolved. Adaptation to drylands resulted from biochemical, physiological, and anatomical properties shared with other crassulacean plants; however, microbial symbionts also play critical roles in plants’ growth, health, and drought tolerance. To explore endophytic communities in Agave plants, we used a shotgun metagenomic approach. The taxonomic and functional diversity of endophytes were studied in the leaves and stem organs of Agave americana, A.angustifolia, A. fourcroydes, A. karwinskii, A. potatorum, A. tequilana, A. cupreata, and A. rodacantha. The microbial community structure did not differ significantly among species, regardless of geographic origin or local environmental conditions, whereas significant differences were observed between organs. We found 4058 genera shared among organs, of which 957 genera are exclusive to the stem and 492 to the leaves. The community analysis of stems and leaves identified bacterial genera, including Acinetobacter, Klebsiella, Escherichia, Corynebacterium, and Streptomyces. Significant differences were also observed between organs in the functional annotations. The dominant functional categories were associated with cell signaling and protein metabolism in both organs. Full article
(This article belongs to the Special Issue Advances in Genomics and Ecology of Environmental Microorganisms)
Show Figures

Graphical abstract

6 pages, 519 KB  
Proceeding Paper
Diagnosis of the Solid Biofuel Process from Agave Bagasse Through Arena Simulation
by Cristian Navarrete-Aguirre, J. Arturo Olguín-Rojas, Paulina Aguirre-Lara, Maurilio Tobón Gómez and José Miguel Téllez-Zepeda
Eng. Proc. 2025, 117(1), 50; https://doi.org/10.3390/engproc2025117050 - 13 Feb 2026
Viewed by 221
Abstract
In Mexico, mezcal production relies heavily on firewood, consuming up to 246 m3 per artisanal batch and producing approximately 2.4 t of bagasse for every 6 t of fermented Agave. This residue, with a calorific value of ≈19.4 MJ/kg, is a [...] Read more.
In Mexico, mezcal production relies heavily on firewood, consuming up to 246 m3 per artisanal batch and producing approximately 2.4 t of bagasse for every 6 t of fermented Agave. This residue, with a calorific value of ≈19.4 MJ/kg, is a promising alternative to solid biofuels. Using a discrete-event simulation in Arena™ (version 16.20.09), the substitution of firewood with processed bagasse briquettes was evaluated at a distillery in the region of Tecamachalco. The model included drying, grinding, briquetting, and distillation, analyzing yield, resource use, and bottlenecks. Sensitivity analyses identified solar drying as the main constraint. The results show a reduction of up to ~30% in firewood consumption, promoting the principles of the circular bioeconomy and sustainable rural energy transition. Full article
(This article belongs to the Proceedings of The 4th International Electronic Conference on Processes)
Show Figures

Figure 1

22 pages, 10084 KB  
Article
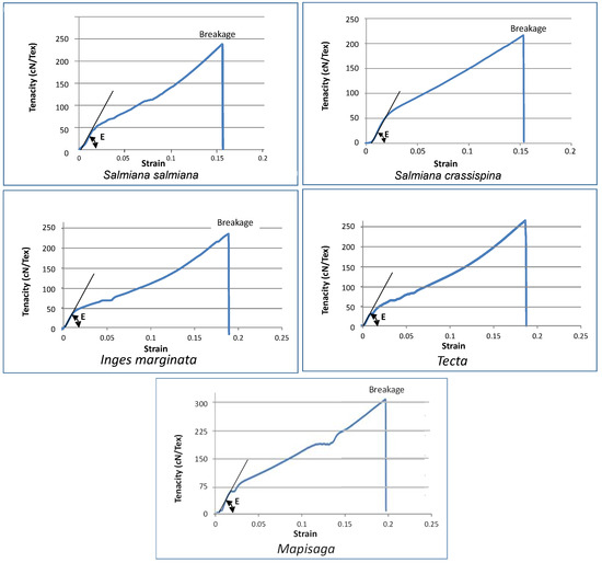
Structural and Mechanical Characterisation of Five Agave Fibres for Sustainable Textile Applications
by Ramia Almohamad, Jean-Yves Drean, Laurence Peschel and Omar Harzallah
Fibers 2026, 14(2), 24; https://doi.org/10.3390/fib14020024 - 13 Feb 2026
Viewed by 426
Abstract
This study evaluates the textile potential of five underexplored Agave varieties (Agave salmiana crassispina, A. salmiana salmiana, A. ingens marginata, A. tecta, and A. mapisaga) through combined analyses of extraction behaviour, microstructure, and single-fibre mechanical performance. Fibres [...] Read more.
This study evaluates the textile potential of five underexplored Agave varieties (Agave salmiana crassispina, A. salmiana salmiana, A. ingens marginata, A. tecta, and A. mapisaga) through combined analyses of extraction behaviour, microstructure, and single-fibre mechanical performance. Fibres extracted from basal, middle, and upper leaf sections were characterised using scanning electron microscopy (SEM) and single-fibre tensile testing under controlled conditions. All varieties produced spinnable fibres and exhibited significant longitudinal variability in mechanical behaviour along the leaf axis (p < 0.05). Mechanical performance depended strongly on both species and leaf position, with fibres from the middle leaf section generally showing higher tenacity. Variations in Young’s modulus reflected differences in fibre maturity and internal microstructural organisation. Fractographic observations revealed predominantly brittle fracture with microfibrillar rupture and longitudinal fibrillation. Overall, the results demonstrate that agave species and leaf position are key parameters governing fibre performance. These agave varieties therefore represent promising candidates for sustainable textile applications, provided that appropriate fibre selection and blending strategies are implemented to ensure homogeneous yarn properties. Full article
Show Figures

Figure 1

24 pages, 1001 KB  
Article
Multivariate Assessment of Geographic and Ecological Drivers of Heavy Metal Accumulation in Bird Feathers from Jalisco, Mexico
by Hector Leal-Aguayo, Blanca Catalina Ramírez-Hernández, José L. Navarrete-Heredia, Flor Rodríguez-Gómez, Paulina Beatriz Gutiérrez-Martínez, Marcela Mariel Maldonado-Villegas, Diana Vega-Montes de Oca, Diego A. García-Núñez and Aura Libertad Calleja-Rivera
Birds 2026, 7(1), 11; https://doi.org/10.3390/birds7010011 - 10 Feb 2026
Viewed by 465
Abstract
This study evaluated heavy metal accumulation in bird feathers across four contrasting environments in Jalisco, Mexico (urban, semi-urban, agricultural, and semi-natural). We analyzed 370 feather samples from 58 species spanning seven trophic guilds using XRF spectrometry. Fifteen metals were quantified, with zinc (Zn) [...] Read more.
This study evaluated heavy metal accumulation in bird feathers across four contrasting environments in Jalisco, Mexico (urban, semi-urban, agricultural, and semi-natural). We analyzed 370 feather samples from 58 species spanning seven trophic guilds using XRF spectrometry. Fifteen metals were quantified, with zinc (Zn) showing the highest concentrations overall. Multivariate analyses identified trophic guild as the strongest predictor of metal variation, while spatial differences were present but less pronounced. CUAltos was the only site consistently distinct from the others, mainly due to lower concentrations of several metals. Despite quantitative differences among guilds, their proportional metal profiles were similar—dominated by Zn, Y, Mo, and Hf—suggesting broad regional exposure rather than guild-specific accumulation. Redundancy Analysis indicated that atmospheric pollutants (COV and PM10) were the main environmental drivers of spatial variation, especially in Guadalajara’s urban sites. Agricultural variables, including agave cover, showed minor and non-significant effects. Neither sex nor migratory status influenced metal loads, consistent with feathers reflecting exposure during feather growth at the molt site, while potentially also incorporating locally deposited external contaminants. Overall, this study demonstrates the effectiveness of feathers as a non-invasive biomonitoring tool and highlights air quality as a key determinant of regional heavy metal contamination. Full article
Show Figures

Figure 1

15 pages, 2451 KB  
Article
Impact of Freeze-Drying on the Viability and Microbial Community Structure of Traditional Mexican Pulque
by Mayrene Sarai Flores Montesinos, Fernando Astudillo-Melgar, Francisco Bolívar and Adelfo Escalante
Fermentation 2026, 12(2), 83; https://doi.org/10.3390/fermentation12020083 - 3 Feb 2026
Viewed by 635
Abstract
Pulque is a traditional Mexican fermented beverage produced by the spontaneous fermentation of the sap (aguamiel) produced by several Agave (maguey) species. Pulque fermentation starts with the addition of freshly collected aguamiel (harvested twice daily) into a traditional container known as the tinacal, [...] Read more.
Pulque is a traditional Mexican fermented beverage produced by the spontaneous fermentation of the sap (aguamiel) produced by several Agave (maguey) species. Pulque fermentation starts with the addition of freshly collected aguamiel (harvested twice daily) into a traditional container known as the tinacal, which contains previously fermented pulque serving as a microbial inoculum; the native microbiota associated with both the aguamiel and the inoculum ferments the available sugars, driving the development of the beverage’s characteristic sensorial properties. However, the preservation of its complex microbiota for research, fermentation standardization, and long-term conservation has not been systematically evaluated. In this study, we assessed the impact of freeze-drying on the viability, taxonomic composition, and diversity of the bacterial and yeast communities of pulque across five independent batches. Viable counts revealed no systematic loss of cultivable populations across major guilds. High-throughput sequencing of the V3-V4 16S rDNA and ITS1 regions demonstrated that the global taxonomic structure of pulque is preserved mainly after freeze-drying, with dominant genera, including Lactobacillus, Acetobacter, Zymomonas, Lactococcus, Saccharomyces, and Kazachstania, remaining stable. A modest decrease in richness, without major shifts in community architecture, was observed among minor yeasts, indicating that freeze-drying effectively preserves the core microbiota of pulque. Moreover, preserving pulque biomass safeguards the microbial dimension of this ancestral biocultural resource while enabling future efforts to standardize fermentation and establish microbial biobanks. Full article
(This article belongs to the Special Issue Starter Advances in Beverage and Dairy Fermentation)
Show Figures

Figure 1

19 pages, 31617 KB  
Article
Chemical Composition and Structural Traits of Leaf Biomass in Selected Asparagaceae Species
by Nadia Villada-Lozada, Agustina Rosa Andrés-Hernández and Agustín Maceda
Plants 2026, 15(3), 468; https://doi.org/10.3390/plants15030468 - 2 Feb 2026
Viewed by 942
Abstract
This study presents an integrated chemical and anatomical characterization of leaves from seven Asparagaceae species (Agave convallis Trel., A. salmiana Otto ex Salm.-Dyck, A. striata Zucc., Dasylirion acrotrichum Zucc., Nolina excelsa García-Mend. & E. Solano, Yucca filifera Chabaud, and Y. periculosa Baker). [...] Read more.
This study presents an integrated chemical and anatomical characterization of leaves from seven Asparagaceae species (Agave convallis Trel., A. salmiana Otto ex Salm.-Dyck, A. striata Zucc., Dasylirion acrotrichum Zucc., Nolina excelsa García-Mend. & E. Solano, Yucca filifera Chabaud, and Y. periculosa Baker). Leaf biomass was subjected to successive Soxhlet extractions to quantify extractives, followed by isolation of lignocellulosic fractions. Lignin and cellulose were analyzed by Fourier-transform infrared (FTIR) spectroscopy to determine the syringyl/guaiacyl (S/G) ratio and total crystallinity index. Leaf anatomy was examined using fluorescence microscopy. Total extractives ranged from 13.4 to 24.0%, with A. salmiana and D. acrotrichum showing the highest values. Lignin content varied markedly among genera, reaching up to 45.1% in Yucca species, whereas cellulose content ranged from 31.3 to 42.2%. Crystalline cellulose accounted for 42.1–56.9% of total cellulose, with the highest crystallinity observed in A. convallis. FTIR analysis revealed a predominance of guaiacyl-type lignin in all species except Y. periculosa (S/G = 1.2). Multivariate analyses discriminated between genera primarily based on lignin, hemicellulose, and cellulose contents. These findings highlight genus-level differences in leaf lignocellulosic composition and support the potential use of Asparagaceae leaves as feedstocks for bioenergy and biomaterial applications. Full article
(This article belongs to the Section Phytochemistry)
Show Figures

Graphical abstract

20 pages, 1582 KB  
Article
Functional Differentiation and Structural Disruption of Agave tequilana Bagasse by Lignocellulolytic Fungi Under Sterile and Non-Sterile Substrate Conditions
by Luis Ángel Alcalán-López, Marcos Alfonso Lastiri-Hernández, Dioselina Álvarez-Bernal, Eloy Conde-Barajas and María de la Luz Xochilt Negrete-Rodríguez
Fermentation 2026, 12(2), 79; https://doi.org/10.3390/fermentation12020079 - 2 Feb 2026
Viewed by 683
Abstract
Agave bagasse is a lignocellulosic residue generated after the extraction of fermentable sugars from agave hearts during tequila production. More than 0.5 million tons are generated annually, accumulating on a massive scale and posing a serious environmental challenge. In this regard, the objective [...] Read more.
Agave bagasse is a lignocellulosic residue generated after the extraction of fermentable sugars from agave hearts during tequila production. More than 0.5 million tons are generated annually, accumulating on a massive scale and posing a serious environmental challenge. In this regard, the objective of this study was to evaluate the degradative capacity of Trametes versicolor (Tv), Trametes hirsuta (Th), Irpex lacteus (Il), and Schizophyllum commune (Sc) on Agave tequilana Weber variety azul bagasse through the analysis of total sugars, cellulose, hemicellulose, and lignin reduction in a solid-static treatment. Under sterile conditions, Tv reduced total sugars by 95.0%, Th by 89.5%, Il by 91.8%, and Sc by 74.6%; whereas under non-sterile conditions, reductions were 81.6%, 71.4%, 84.9%, and 64.7%, respectively. Regarding structural fractions under sterile conditions, Tv showed reductions of 67.8% in cellulose, 61.9% in hemicellulose, and 68.8% in lignin. Th achieved 62.8%, 58.8%, and 66.1%, respectively; Il exhibited the highest values, with 72.9%, 66.9%, and 74.6%; while Sc recorded 55.9%, 44.2%, and 61.0%. In contrast, reductions were lower under non-sterile conditions: Tv recorded 57.8%, 34.2%, and 62.2%; Th, 53.9%, 32.1%, and 59.6%; Il, 58.8%, 47.1%, and 64.7%; and Sc, 49.9%, 30.0%, and 56.5%. Overall, sterile substrate conditions maximized lignocellulosic degradation; however, the sustained activity observed under non-sterile conditions demonstrates that effective biological pretreatment can be achieved without sterilization, which is more relevant for large-scale solid-state fermentation. The results demonstrate that T. versicolor and I. lacteus possess high potential as biological pretreatment agents by accelerating the depolymerization of the lignocellulosic matrix. This effect could reduce composting times and enable applications that favor its inclusion in circular economy frameworks. Full article
(This article belongs to the Section Industrial Fermentation)
Show Figures

Graphical abstract

22 pages, 8851 KB  
Article
Synthesis and Characterization of Maguey (Agave cantala) Nano-Modified Bioplastic
by Kendra Felizimarie P. Magsico, Lorenz Inri C. Banabatac, Claudine A. Limos, Nolan C. Tolosa and Noel Peter B. Tan
Polymers 2026, 18(3), 325; https://doi.org/10.3390/polym18030325 - 26 Jan 2026
Viewed by 683
Abstract
The environmental threat posed by small, single-use sachets sourced from 48% annual waste from excessive packaging has been assessed by investigating the development of nano-incorporated bioplastic films from the high-yield plant, maguey (Agave cantala). Maguey cellulose was acetylated (using 10 and [...] Read more.
The environmental threat posed by small, single-use sachets sourced from 48% annual waste from excessive packaging has been assessed by investigating the development of nano-incorporated bioplastic films from the high-yield plant, maguey (Agave cantala). Maguey cellulose was acetylated (using 10 and 15 mL of acetic anhydride for 16, 24, and 32 h), successfully yielding a high of 81.34% maguey cellulose acetate (MCA). MCA was confirmed to contain acetate groups (C=O, C-H, C-O) via FT-IR and exhibited a hydrophobicity of a 121.897° contact angle. Bioplastic films were fabricated using MCA solution combined with 15% (w/w) commercial cellulose acetate (CCA)/MCA and reinforced with nanoclay (NC) at 0.5%, 1%, and 3% (w/w) concentrations. Nanomaterial incorporation generally improved properties; however, mechanical strength declined with increasing NC concentration, recording tensile strengths of 2.01 MPa, 0.89 MPa, and 0.78 MPa for the 0.5%, 1%, and 3% NC films, respectively. Conversely, the 3% NC film showed the best barrier property, with a water vapor transmission rate (WVTR) of 31.14 g/m2 h. Surface morphology confirmed NC integration (nanomaterial sizes 29.74 nm to 107.3 nm), and the 0.5% NC film displayed the smooth structure ideal for sustainable packaging. The slight increase in contact angle observed between the 0% NC (60.768°) and 0.5 NC (62.904°) films suggested limitations in NC dispersion. Overall, the findings demonstrate the potential of using regenerated maguey cellulose acetate to create nano-bioplastic films with tailored mechanical and barrier properties for sustainable packaging, though optimization of NC loading and dispersion is necessary to maximize strength. Full article
(This article belongs to the Special Issue Cellulose-Based Polymer Composites and Their Emerging Applications)
Show Figures

Figure 1

23 pages, 5269 KB  
Article
Sustainable Functionalization of Natural Fibers Using Biochar: Structural and Evaporation Studies
by Juan José Quiroz Ramírez, Reinier Abreu-Naranjo, Oscar M. Rodriguez-Narvaez, Sergio Alonso Romero and Alejandro Suarez Toriello
Processes 2026, 14(3), 415; https://doi.org/10.3390/pr14030415 - 24 Jan 2026
Viewed by 398
Abstract
The sustainable valorization of lignocellulosic biomass offers a promising route for developing low-cost photothermal materials for solar water purification. This study investigates natural fibers from Opuntia ficus-indica, Agave sisalana, and cellulose sponge, which were chemically purified through alkaline–peroxide pretreatment and subsequently functionalized with [...] Read more.
The sustainable valorization of lignocellulosic biomass offers a promising route for developing low-cost photothermal materials for solar water purification. This study investigates natural fibers from Opuntia ficus-indica, Agave sisalana, and cellulose sponge, which were chemically purified through alkaline–peroxide pretreatment and subsequently functionalized with biochar via immersion and crosslinking-assisted deposition. Structural analyses (SEM, FTIR, XRD, CHNS/O) confirmed the transition from heterogeneous lignocellulosic matrices to cellulose-rich scaffolds and finally to hierarchical composites in which crystalline cellulose cores are coated with amorphous carbon structures containing aromatic domains typically formed during biomass carbonization. The NaOH/urea/citric acid crosslinking system significantly improved biochar adhesion, producing uniform and mechanically stable photothermal layers. Under 500 W m−2 illumination, the biochar-modified fibers exhibited rapid thermal response and enhanced surface heating, resulting in increased water evaporation rates, with cellulose sponge achieving the highest performance (1.12–1.25 kg m−2 h−1). Water-quality analysis of the condensate showed >97% TDS removal, complete rejection of hardness, fluoride, nitrates, arsenic, and barium, and turbidity <0.2 NTU, meeting NOM-127-SSA1-2021 standards. Overall, the findings demonstrate that biochar-functionalized natural fibers constitute a scalable, environmentally benign strategy for efficient solar-driven purification, supporting their potential for sustainable clean-water technologies in resource-limited settings. Full article
(This article belongs to the Special Issue Advances in Biochar and Biobased Carbonaceous Materials)
Show Figures

Figure 1

19 pages, 3652 KB  
Article
Spatial Patterns and Diversity of the Genus Agave in the Southern Iberian Peninsula: The Role of Anthropogenic Drivers in the Expansion of Agave americana
by Francisco Guerrero, Víctor Cid-Gaitán, Javier Jurado-Pardeiro, Fernando Ortega and Juan Diego Gilbert
Plants 2026, 15(2), 327; https://doi.org/10.3390/plants15020327 - 21 Jan 2026
Viewed by 405
Abstract
The genus Agave L. is a key component of Mediterranean alien flora, yet its inland distribution in the Iberian Peninsula remains poorly understood. This research integrates exhaustive field surveys with Species Distribution Models (SDMs) to characterize the genus diversity and, specifically, the spatial [...] Read more.
The genus Agave L. is a key component of Mediterranean alien flora, yet its inland distribution in the Iberian Peninsula remains poorly understood. This research integrates exhaustive field surveys with Species Distribution Models (SDMs) to characterize the genus diversity and, specifically, the spatial patterns and environmental niche of Agave americana in the southern Iberian Peninsula (Andalusia). Our results reveal a diversity of 23 taxa, yet crucially, the widespread occurrence of A. americana demonstrated that its actual inland distribution is significantly more extensive than previously recorded. Spatial Point Pattern Analysis (SPPA) revealed a strong aggregated distribution pattern (Clark & Evans R = 0.277; p < 0.001). The MaxEnt Spatial Distribution Model demonstrated robust predictive performance (Mean AUC = 0.770 ± 0.007; Mean TSS = 0.420 ± 0.009). The distribution was primarily driven by elevation range (26.9%) and land use (23.1%), with maximum suitability peaking in anthropized, low-to-intermediate elevation areas. Projections to the broader Andalusian region confirmed high suitability in the Guadalquivir valley and coastal zones, validated by low spatial uncertainty (SD < 0.05 in optimal areas). These findings provide new insights into the biogeography of Agave in the region, emphasizing the significance of anthropogenic drivers within a cultural landscape context. Full article
Show Figures

Figure 1

Back to TopTop