Sign in to use this feature.

Years

Between: -

Subjects

remove_circle_outline
remove_circle_outline
remove_circle_outline
remove_circle_outline
remove_circle_outline
remove_circle_outline

Journals

Article Types

Countries / Regions

Search Results (119)

Search Parameters:
Keywords = adomian decomposition transform method

Order results
Result details
Results per page
Select all
Export citation of selected articles as:
21 pages, 1731 KB  
Article
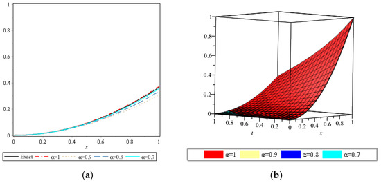
A Computational Analysis of Nonlinear Fractional Coupled System of Boussinesq–Burger Equations with the Non-Singular Kernel
by Mashael M. AlBaidani and Rabab Alzahrani
Axioms 2026, 15(3), 172; https://doi.org/10.3390/axioms15030172 - 28 Feb 2026
Viewed by 166
Abstract
The coupled nonlinear system of fractional Boussinesq–Burger equations that may be utilized to model the propagation of shallow water waves is solved in this study using a novel numerical approach. The fractional derivatives in Caputo–Fabrizio and Atangana–Baleanu manner are executed in the system [...] Read more.
The coupled nonlinear system of fractional Boussinesq–Burger equations that may be utilized to model the propagation of shallow water waves is solved in this study using a novel numerical approach. The fractional derivatives in Caputo–Fabrizio and Atangana–Baleanu manner are executed in the system under consideration. The exact solutions of the proposed nonlinear fractional system are shown in the classical scenario of fractional order at ß=1, whereas the approximate solutions are derived using the natural decomposition method. The series solution is generated such that it is simple to compute. Our results are compared with the exact results which clearly show that the suggested approach solutions quickly converge to the known accurate results. We acquire some analysis of the absolute error by comparing the approximate values with their corresponding precise solutions throughout the provided computations. Numerical and graphical simulations are used to confirm the usefulness of the suggested approach, and the outcomes are compared with well-known methods like the fractional decomposition method (FDM) and Laplace residual power series method (LRPSM). It is evident from the comparison that our approach offers better outcomes compared to other approaches. The results of the suggested method are very accurate and give helpful details on the real dynamics of the proposed system. The obtained outcomes ensure that the suggested approach is more effective and examines the highly nonlinear problems arising in engineering and science. Full article
Show Figures

Figure 1

18 pages, 502 KB  
Article
Effective Iterative Procedure for Delay Fractional Partial Differential Equations Using Sumudu Decomposition Method
by Mona Alsulami, Mariam Al-Mazmumy and Norah Sharif Al-Yazidi
Symmetry 2026, 18(3), 407; https://doi.org/10.3390/sym18030407 - 26 Feb 2026
Viewed by 231
Abstract
The present study aims to integrate the Adomian decomposition method with the Sumudu transform for solving delay fractional partial differential equations. Integrating these two methods enhances accuracy and computational efficiency, providing an effective approach for handling delays in fractional-order models. The decomposition method [...] Read more.
The present study aims to integrate the Adomian decomposition method with the Sumudu transform for solving delay fractional partial differential equations. Integrating these two methods enhances accuracy and computational efficiency, providing an effective approach for handling delays in fractional-order models. The decomposition method effectively decomposes complex fractional differential equations into convergent series, while the Sumudu transform simplifies and transforms these equations, facilitating the analysis of delayed systems. Its effectiveness has been demonstrated through multiple examples. Full article
(This article belongs to the Special Issue Integral/Differential Equations and Symmetry)
Show Figures

Figure 1

26 pages, 2296 KB  
Article
Insights into the Time-Fractional Nonlinear KdV-Type Equations Under Non-Singular Kernel Operators
by Mashael M. AlBaidani and Rabab Alzahrani
Symmetry 2026, 18(2), 391; https://doi.org/10.3390/sym18020391 - 23 Feb 2026
Viewed by 373
Abstract
In this study, nonlinear fractional Korteweg–de Vries (KdV) type equations with nonlocal operators are studied using Mittag–Leffler kernels and exponential decay. The KdV equations are well known for its use in modeling ion-acoustic waves in plasma, oceanic dynamics, and shallow-water waves. As a [...] Read more.
In this study, nonlinear fractional Korteweg–de Vries (KdV) type equations with nonlocal operators are studied using Mittag–Leffler kernels and exponential decay. The KdV equations are well known for its use in modeling ion-acoustic waves in plasma, oceanic dynamics, and shallow-water waves. As a result, mathematicians are working to examine modified and generalized versions of the basic KdV equation. In order to find the solutions of nonlinear fractional KdV equations, an extension of this concept is described in the current paper. The solution of fractional KdV equations is carried out using the well-known natural transform decomposition method (NTDM). To evaluate the problem, we employ the fractional operator in the Caputo–Fabrizio (CF) and the Atangana–Baleanu–Caputo sense (ABC) manner. Nonlinear terms can be handled with Adomian polynomials. The main advantage of this novel approach is that it might offer an approximate solution in the form of convergent series using easy calculations. The dynamical behavior of the resulting solutions have been demonstrated using graphs. Numerical data is represented visually in the tables. The solutions at various fractional orders are found and it is proved that they all tend to an integer-order solution. Additionally, we examine our findings with those of the iterative transform method (ITM) and the residual power series transform method (RPSTM). It is evident from the comparison that our approach offers better outcomes compared to other approaches. The results of the suggested method are very accurate and give helpful details on the real dynamics of each issue. The present technique can be expanded to address other significant fractional order problems due to its straightforward implementation. Full article
Show Figures

Figure 1

14 pages, 1511 KB  
Article
Investigation of Solutions for m-Dimensional Singular Fractional Pseudo-Hyperbolic Equations
by Huda Alsaud
Fractal Fract. 2026, 10(1), 10; https://doi.org/10.3390/fractalfract10010010 - 24 Dec 2025
Viewed by 1266
Abstract
In this work, we investigate the solutions of fractional singular m-dimensional pseudo-hyperbolic equations. To address these equations effectively, we generalise the Natural transform to the multi-dimensional case and examine several of its essential properties. By integrating this transform with the Adomian Decomposition [...] Read more.
In this work, we investigate the solutions of fractional singular m-dimensional pseudo-hyperbolic equations. To address these equations effectively, we generalise the Natural transform to the multi-dimensional case and examine several of its essential properties. By integrating this transform with the Adomian Decomposition Method, we formulate the Multi-Dimensional Natural Adomian (MNA) Method, which provides a systematic framework for solving the considered equations under given initial conditions. The resulting solutions are expressed as rapidly convergent series that approach either exact or highly accurate approximations. To illustrate the practicality and robustness of the proposed method, two representative examples are included, demonstrating the construction of the solution series and the derivation of approximate or exact solutions. Full article
(This article belongs to the Special Issue Women’s Special Issue Series: Fractal and Fractional, 2nd Edition)
Show Figures

Figure 1

34 pages, 7587 KB  
Article
A Symmetric Analysis of COVID-19 Transmission Using a Fuzzy Fractional SEIRi–UiHR Model
by Ragavan Murugasan, Veeramani Chinnadurai, Carlos Martin-Barreiro and Prasantha Bharathi Dhandapani
Symmetry 2025, 17(12), 2128; https://doi.org/10.3390/sym17122128 - 10 Dec 2025
Cited by 1 | Viewed by 363
Abstract
In this research article, we propose a fuzzy fractional-order SEIRiUiHR model to describe the transmission dynamics of COVID-19, comprising susceptible, exposed, infected, reported, unreported, hospitalized, and recovered compartments. The uncertainty in initial conditions is represented using fuzzy numbers, [...] Read more.
In this research article, we propose a fuzzy fractional-order SEIRiUiHR model to describe the transmission dynamics of COVID-19, comprising susceptible, exposed, infected, reported, unreported, hospitalized, and recovered compartments. The uncertainty in initial conditions is represented using fuzzy numbers, and the fuzzy Laplace transform combined with the Adomian decomposition method is employed to solve nonlinear differential equations and also to derive approximate analytical series of solutions. In addition to fuzzy lower and upper bound solutions, a model is introduced to provide a representative trajectory under uncertainty. A key feature of the proposed model is its inherent symmetry in compartmental transitions and structural formulation, which show the difference in reported and unreported cases. Numerical experiments are conducted to compare fuzzy and normal (non-fuzzy) solutions, supported by 3D visualizations. The results reveal the influence of fractional-order and fuzzy parameters on epidemic progression, demonstrating the model’s capability to capture realistic variability and to provide a flexible framework for analyzing infectious disease dynamics. Full article
(This article belongs to the Section Mathematics)
Show Figures

Figure 1

20 pages, 1005 KB  
Article
A Note on Solutions of Fractional Third-Order Dispersive Partial Differential Equations Using the Natural Generalized Laplace Transform Decomposition Method
by Hassan Eltayeb, Shayea Aldossari and Said Mesloub
Fractal Fract. 2025, 9(12), 770; https://doi.org/10.3390/fractalfract9120770 - 25 Nov 2025
Viewed by 518
Abstract
The present research offers reliable analytical solutions for time-fractional linear and nonlinear dispersive Korteweg–de Vries (dKdV)-type equations by employing the Natural Generalized Laplace Transform Decomposition Method (NGLTDM). The nonlinear differential dispersive Korteweg–de Vries (dKdV) equation involves a nonlinear derivative term that depends on [...] Read more.
The present research offers reliable analytical solutions for time-fractional linear and nonlinear dispersive Korteweg–de Vries (dKdV)-type equations by employing the Natural Generalized Laplace Transform Decomposition Method (NGLTDM). The nonlinear differential dispersive Korteweg–de Vries (dKdV) equation involves a nonlinear derivative term that depends on ϕ and its partial derivative with respect to x. We employ Adomian polynomials to deal with this nonlinear part, and we utilize the Caputo derivative to illustrate the fractional part of the equation. The work provides exact theorems regarding the stability, convergence, and accuracy of the generated solutions. Illustrative examples demonstrate the effectiveness and precision of the method by delivering solutions for quickly converging series with easily calculable coefficients. We use Maple 2021 software to show graphical comparisons between the approximate and exact solutions to show how rapidly the method converges. Full article
Show Figures

Figure 1

38 pages, 1930 KB  
Article
Existence, Stability, and Numerical Methods for Multi-Fractional Integro-Differential Equations with Singular Kernel
by Pratibha Verma and Wojciech Sumelka
Mathematics 2025, 13(16), 2656; https://doi.org/10.3390/math13162656 - 18 Aug 2025
Cited by 1 | Viewed by 1555
Abstract
This work investigates the solutions of fractional integro-differential equations (FIDEs) using a unique kernel operator within the Caputo framework. The problem is addressed using both analytical and numerical techniques. First, the two-step Adomian decomposition method (TSADM) is applied to obtain an exact solution [...] Read more.
This work investigates the solutions of fractional integro-differential equations (FIDEs) using a unique kernel operator within the Caputo framework. The problem is addressed using both analytical and numerical techniques. First, the two-step Adomian decomposition method (TSADM) is applied to obtain an exact solution (if it exists). In the second part, numerical methods are used to generate approximate solutions, complementing the analytical approach based on the Adomian decomposition method (ADM), which is further extended using the Sumudu and Shehu transform techniques in cases where TSADM fails to yield an exact solution. Additionally, we establish the existence and uniqueness of the solution via fixed-point theorems. Furthermore, the Ulam–Hyers stability of the solution is analyzed. A detailed error analysis is performed to assess the precision and performance of the developed approaches. The results are demonstrated through validated examples, supported by comparative graphs and detailed error norm tables (L, L2, and L1). The graphical and tabular comparisons indicate that the Sumudu-Adomian decomposition method (Sumudu-ADM) and the Shehu-Adomian decomposition method (Shehu-ADM) approaches provide highly accurate approximations, with Shehu-ADM often delivering enhanced performance due to its weighted formulation. The suggested approach is simple and effective, often producing accurate estimates in a few iterations. Compared to conventional numerical and analytical techniques, the presented methods are computationally less intensive and more adaptable to a broad class of fractional-order differential equations encountered in scientific applications. The adopted methods offer high accuracy, low computational cost, and strong adaptability, with potential for extension to variable-order fractional models. They are suitable for a wide range of complex systems exhibiting evolving memory behavior. Full article
(This article belongs to the Section E: Applied Mathematics)
Show Figures

Figure 1

17 pages, 1859 KB  
Article
The Analysis of Three-Dimensional Time-Fractional Helmholtz Model Using a New İterative Method
by Yasin Şahin, Mehmet Merdan and Pınar Açıkgöz
Symmetry 2025, 17(8), 1219; https://doi.org/10.3390/sym17081219 - 1 Aug 2025
Viewed by 622
Abstract
This paper proposes a novel analytical method to address the Helmholtz fractional differential equation by combining the Aboodh transform with the Adomian Decomposition Method, resulting in the Aboodh–Adomian Decomposition Method (A-ADM). Fractional differential equations offer a comprehensive framework for describing intricate physical processes, [...] Read more.
This paper proposes a novel analytical method to address the Helmholtz fractional differential equation by combining the Aboodh transform with the Adomian Decomposition Method, resulting in the Aboodh–Adomian Decomposition Method (A-ADM). Fractional differential equations offer a comprehensive framework for describing intricate physical processes, including memory effects and anomalous diffusion. This work employs the Caputo–Fabrizio fractional derivative, defined by a non-singular exponential kernel, to more precisely capture these non-local effects. The classical Helmholtz equation, pivotal in acoustics, electromagnetics, and quantum physics, is extended to the fractional domain. Following the exposition of fundamental concepts and characteristics of fractional calculus and the Aboodh transform, the suggested A-ADM is employed to derive the analytical solution of the fractional Helmholtz equation. The method’s validity and efficiency are evidenced by comparisons of analytical and approximation solutions. The findings validate that A-ADM is a proficient and methodical approach for addressing fractional differential equations that incorporate Caputo–Fabrizio derivatives. Full article
Show Figures

Figure 1

20 pages, 1115 KB  
Article
A Novel Computational Framework for Time-Fractional Higher-Order KdV Models: CLADM-Based Solutions and Comparative Analysis
by Priti V. Tandel, Anant Patel and Trushitkumar Patel
Axioms 2025, 14(7), 511; https://doi.org/10.3390/axioms14070511 - 1 Jul 2025
Cited by 1 | Viewed by 856
Abstract
This study applies the Conformable Laplace Adomian Decomposition Method (CLADM) to solve generalized time-fractional Korteweg–de Vries (KdV) models, including seventh- and fifth-order models. CLADM combines the conformable fractional derivative and Laplace transform with the Adomian decomposition technique, offering analytic approximate solutions. Numerical and [...] Read more.
This study applies the Conformable Laplace Adomian Decomposition Method (CLADM) to solve generalized time-fractional Korteweg–de Vries (KdV) models, including seventh- and fifth-order models. CLADM combines the conformable fractional derivative and Laplace transform with the Adomian decomposition technique, offering analytic approximate solutions. Numerical and graphical results, generated using MATLAB R2020a 9.8.0.1323502, validate the method’s efficiency and precision in capturing fractional-order dynamics. Fractional parameters ϱ significantly influence wave behavior, with higher orders yielding smoother profiles and reduced oscillations. Comparative analysis confirms CLADM’s superiority over existing methods in minimizing errors. The versatility of CLADM highlights its potential for studying nonlinear wave phenomena in diverse applications. Full article
(This article belongs to the Special Issue Fractional Calculus and Applied Analysis, 2nd Edition)
Show Figures

Figure 1

22 pages, 1268 KB  
Article
Dynamical and Computational Analysis of Fractional Korteweg–de Vries-Burgers and Sawada–Kotera Equations in Terms of Caputo Fractional Derivative
by N. S. Alharthi
Fractal Fract. 2025, 9(7), 411; https://doi.org/10.3390/fractalfract9070411 - 25 Jun 2025
Cited by 1 | Viewed by 1219
Abstract
This work examines the fractional Sawada–Kotera and Korteweg–de Vries (KdV)–Burgers equations, which are essential models of nonlinear wave phenomena in many scientific domains. The homotopy perturbation transform method (HPTM) and the Yang transform decomposition method (YTDM) are two sophisticated techniques employed to derive [...] Read more.
This work examines the fractional Sawada–Kotera and Korteweg–de Vries (KdV)–Burgers equations, which are essential models of nonlinear wave phenomena in many scientific domains. The homotopy perturbation transform method (HPTM) and the Yang transform decomposition method (YTDM) are two sophisticated techniques employed to derive analytical solutions. The proposed methods are novel and remarkable hybrid integral transform schemes that effectively incorporate the Adomian decomposition method, homotopy perturbation method, and Yang transform method. They efficiently yield rapidly convergent series-type solutions through an iterative process that requires fewer computations. The Caputo operator, used to express the fractional derivatives in the equations, provides a robust framework for analyzing the behavior of non-integer-order systems. To validate the accuracy and reliability of the obtained solutions, numerical simulations and graphical representations are presented. Furthermore, the results are compared with exact solutions using various tables and graphs, illustrating the effectiveness and ease of implementation of the proposed approaches for various fractional partial differential equations. The influence of the non-integer parameter on the solutions behavior is specifically examined, highlighting its function in regulating wave propagation and diffusion. In addition, a comparison with the natural transform iterative method and optimal auxiliary function method demonstrates that the proposed methods are more accurate than these alternative approaches. The results highlight the potential of YTDM and HPTM as reliable tools for solving nonlinear fractional differential equations and affirm their relevance in wave mechanics, fluid dynamics, and other fields where fractional-order models are applied. Full article
Show Figures

Figure 1

20 pages, 1790 KB  
Article
Homotopy Analysis Transform Method for Solving Systems of Fractional-Order Partial Differential Equations
by Fang Wang, Qing Fang and Yanyan Hu
Fractal Fract. 2025, 9(4), 253; https://doi.org/10.3390/fractalfract9040253 - 16 Apr 2025
Cited by 2 | Viewed by 1613
Abstract
This paper proposes an innovative method that combines the homotopy analysis method with the Jafari transform, applying it for the first time to solve systems of fractional-order linear and nonlinear differential equations. The method constructs approximate solutions in the form of a series [...] Read more.
This paper proposes an innovative method that combines the homotopy analysis method with the Jafari transform, applying it for the first time to solve systems of fractional-order linear and nonlinear differential equations. The method constructs approximate solutions in the form of a series and validates its feasibility through comparison with known exact solutions. The proposed approach introduces a convergence parameter , which plays a crucial role in adjusting the convergence range of the series solution. By appropriately selecting initial terms, the convergence speed and computational accuracy can be significantly improved. The Jafari transform can be regarded as a generalization of classical transforms such as the Laplace and Elzaki transforms, enhancing the flexibility of the method. Numerical results demonstrate that the proposed technique is computationally efficient and easy to implement. Additionally, when the convergence parameter =1, both the homotopy perturbation method and the Adomian decomposition method emerge as special cases of the proposed method. The knowledge gained in this study will be important for model solving in the fields of mathematical economics, analysis of biological population dynamics, engineering optimization, and signal processing. Full article
Show Figures

Figure 1

17 pages, 2414 KB  
Article
Analysis of Large Membrane Vibrations Using Fractional Calculus
by Nihar Ranjan Mallick, Snehashish Chakraverty and Rajarama Mohan Jena
Fractal Fract. 2025, 9(4), 219; https://doi.org/10.3390/fractalfract9040219 - 31 Mar 2025
Cited by 1 | Viewed by 985
Abstract
The study of vibration equations of large membranes is crucial in various scientific and engineering fields. Analyzing the vibration equations of bridges, roofs, and spacecraft structures helps in designing structures that resist excessive oscillations and potential failures. Aircraft wings, parachutes, and satellite components [...] Read more.
The study of vibration equations of large membranes is crucial in various scientific and engineering fields. Analyzing the vibration equations of bridges, roofs, and spacecraft structures helps in designing structures that resist excessive oscillations and potential failures. Aircraft wings, parachutes, and satellite components often behave like large membranes. Understanding their vibration characteristics is essential for stability, efficiency, and durability. Studying large membrane vibration involves solving partial differential equations and eigenvalue problems, contributing to advancements in numerical methods and computational physics. In this paper, the Elzaki transformation decomposition method and the Shehu transformation decomposition method, along with inverse Elzaki and inverse Shehu transformations, are used to investigate the fractional vibration equation of a large membrane. The solutions are obtained in terms of Mittag–Leffler functions. Full article
Show Figures

Figure 1

27 pages, 1500 KB  
Article
An Approximate Analytical View of Fractional Physical Models in the Frame of the Caputo Operator
by Mashael M. AlBaidani, Abdul Hamid Ganie, Adnan Khan and Fahad Aljuaydi
Fractal Fract. 2025, 9(4), 199; https://doi.org/10.3390/fractalfract9040199 - 25 Mar 2025
Cited by 4 | Viewed by 1073
Abstract
The development of numerical or analytical solutions for fractional mathematical models describing specific phenomena is an important subject in physics, mathematics, and engineering. This paper’s main objective is to investigate the approximation of the fractional order Caudrey–Dodd–Gibbon (CDG) nonlinear [...] Read more.
The development of numerical or analytical solutions for fractional mathematical models describing specific phenomena is an important subject in physics, mathematics, and engineering. This paper’s main objective is to investigate the approximation of the fractional order Caudrey–Dodd–Gibbon (CDG) nonlinear equation, which appears in the fields of laser optics and plasma physics. The physical issue is modeled using the Caputo derivative. Adomian and homotopy polynomials facilitate the handling of the nonlinear term. The main innovation in this paper is how the recurrence relation, which generates the series solutions after just a few iterations, is handled. We examined the assumed model in fractional form in order to demonstrate and verify the efficacy of the new methods. Moreover, the numerical simulation is used to show how the physical behavior of the suggested method’s solution has been represented in plots and tables for various fractional orders. We provide three problems of each equation to check the validity of the offered schemes. It is discovered that the outcomes derived are close to the accurate result of the problems illustrated. Additionally, we compare our results with the Laplace residual power series method (LRPSM), the natural transform decomposition method (NTDM), and the homotopy analysis shehu transform method (HASTM). From the comparison, our methods have been demonstrated to be more accurate than alternative approaches. The results demonstrate the significant benefit of the established methodologies in achieving both approximate and accurate solutions to the problems. The results show that the technique is extremely methodical, accurate, and very effective for examining the nature of nonlinear differential equations of arbitrary order that have arisen in related scientific fields. Full article
Show Figures

Figure 1

9 pages, 343 KB  
Article
Application of a Hybrid of the Different Transform Method and Adomian Decomposition Method Algorithms to Solve the Troesch Problem
by Mariusz Pleszczyński, Konrad Kaczmarek and Damian Słota
Mathematics 2024, 12(23), 3858; https://doi.org/10.3390/math12233858 - 7 Dec 2024
Cited by 1 | Viewed by 1300
Abstract
The Troesch problem is a well-known and important problem; the ability to solve it is important due to the practical applications of this problem. In this paper, we propose a method to solve this problem using a combination of two useful algorithms: Different [...] Read more.
The Troesch problem is a well-known and important problem; the ability to solve it is important due to the practical applications of this problem. In this paper, we propose a method to solve this problem using a combination of two useful algorithms: Different Transform Method (DTM) and Adomian Decomposition Method (ADM). The combination of these two methods resulted in a continuous approximate solution to this problem and eliminated the problems that occur when trying to use each of these methods separately. The great advantages of the DTM method are the continuous form of the solution and the fact that it easy to implement error control. However, in too-complex tasks, this method becomes difficult to use. By using a hybrid of ADM and DTM, we obtain a relatively simple-to-implement method that retains the advantages of the DTM approach. Full article
(This article belongs to the Section E: Applied Mathematics)
Show Figures

Figure 1

31 pages, 2179 KB  
Article
Computational and Numerical Analysis of the Caputo-Type Fractional Nonlinear Dynamical Systems via Novel Transform
by Mashael M. AlBaidani, Fahad Aljuaydi, Shahad Abdullah F. Alsubaie, Abdul Hamid Ganie and Adnan Khan
Fractal Fract. 2024, 8(12), 708; https://doi.org/10.3390/fractalfract8120708 - 29 Nov 2024
Cited by 3 | Viewed by 1936
Abstract
Two new methods for handling a system of nonlinear fractional differential equations are presented in this investigation. Based on the characteristics of fractional calculus, the Caputo fractional partial derivative provides an easy way to determine the approximate solution for systems of nonlinear fractional [...] Read more.
Two new methods for handling a system of nonlinear fractional differential equations are presented in this investigation. Based on the characteristics of fractional calculus, the Caputo fractional partial derivative provides an easy way to determine the approximate solution for systems of nonlinear fractional differential equations. These methods provide a convergent series solution by using simple steps and symbolic computation. Several graphical representations and tables provide numerical simulations of the results, which demonstrate the effectiveness and dependability of the current schemes in locating the numerical solutions of coupled systems of fractional nonlinear differential equations. By comparing the numerical solutions of the systems under study with the accurate results in situations when a known solution exists, the viability and dependability of the suggested methodologies are clearly depicted. Additionally, we compared our results with those of the homotopy decomposition method, the natural decomposition method, and the modified Mittag-Leffler function method. It is clear from the comparison that our techniques yield better results than other approaches. The numerical results show that an accurate, reliable, and efficient approximation can be obtained with a minimal number of terms. We demonstrated that our methods for fractional models are straightforward and accurate, and researchers can apply these methods to tackle a range of issues. These methods also make clear how to use fractal calculus in real life. Furthermore, the results of this study support the value and significance of fractional operators in real-world applications. Full article
Show Figures

Figure 1

Back to TopTop