Sign in to use this feature.

Years

Between: -

Subjects

remove_circle_outline
remove_circle_outline
remove_circle_outline
remove_circle_outline
remove_circle_outline
remove_circle_outline
remove_circle_outline

Journals

Article Types

Countries / Regions

Search Results (99)

Search Parameters:
Keywords = YKL40

Order results
Result details
Results per page
Select all
Export citation of selected articles as:
19 pages, 2480 KB  
Article
Matrix Optical Biosensor for Determining YKL-40/CHI3L1—A Biomarker Potentially Associated with Alzheimer’s Disease
by Zuzanna Zielinska, Abdulelah Ba Tarfi and Ewa Gorodkiewicz
Biosensors 2025, 15(10), 687; https://doi.org/10.3390/bios15100687 - 10 Oct 2025
Abstract
YKL-40 is a glycoprotein that may be present at elevated levels in many cancers and neurodegenerative diseases. It has been investigated in numerous studies as a potential biomarker for several conditions, including Alzheimer’s Disease (AD). In this study, a biosensor with Surface Plasmon [...] Read more.
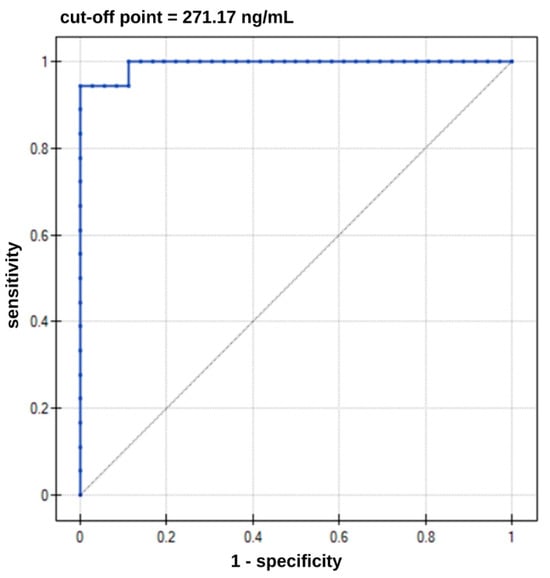
YKL-40 is a glycoprotein that may be present at elevated levels in many cancers and neurodegenerative diseases. It has been investigated in numerous studies as a potential biomarker for several conditions, including Alzheimer’s Disease (AD). In this study, a biosensor with Surface Plasmon Resonance imaging (SPRi) detection, sensitive to YKL-40, was constructed for the detection of this analyte in the blood plasma of AD patients. Extensive validation of the biosensor was performed. This included the determination of analytical parameters such as the biosensor’s response characteristics, detection and quantification limits, precision, accuracy, repeatability, selectivity, stability, and performance in natural samples. Validation parameters were primarily tested using standard solutions, while natural samples were employed to evaluate repeatability, stability, and assay accuracy in three groups of samples from different patients. A YKL-40-specific antibody was used as the receptor layer, immobilized on a gold plate using the EDC/NHS protocol on thiol 11-MUA. The biosensor exhibited a wide operating range (1–200 ng/mL), a low detection limit (LOD) of 2 pg/mL, and a quantification limit (LOQ) of 7 pg/mL. High precision and accuracy were confirmed by the calculated standard deviations (SD) and coefficients of variation (CV), which ranged from 0.0009 to 7.02 ng/mL and from 0.12% to 9.24%, respectively. The sensor also demonstrated good repeatability (CV = 4.995%) and was capable of detecting the analyte of interest in complex biological matrices. Its applicability was confirmed in a study using plasma from AD patients and two selected control groups: plasma from smokers and patients with prostatitis. This allowed the assessment of YKL-40 levels across different groups. The results were consistent with literature values, and statistical analysis confirmed the significance of concentration differences between groups. Furthermore, ROC curve analysis confirmed the diagnostic usefulness of the constructed YKL-40 test in the context of Alzheimer’s disease. Full article
(This article belongs to the Section Optical and Photonic Biosensors)
Show Figures

Figure 1

13 pages, 1530 KB  
Article
YKL-40 Level Is Associated with TyG-BMI-Estimated Insulin Resistance and Metabolic Syndrome in a Population Without Diabetes, Independent of Obesity
by Hsin-Hua Chou, Shing-Hsien Chou, Kuan-Hung Yeh, Hsuan-Li Huang, I-Shiang Tzeng and Yu-Lin Ko
Int. J. Mol. Sci. 2025, 26(19), 9682; https://doi.org/10.3390/ijms26199682 - 4 Oct 2025
Viewed by 226
Abstract
YKL-40, an obesity-related inflammatory biomarker, has inconsistently been associated with insulin resistance, and its relationship with metabolic syndrome is not well established. This study investigated the associations of YKL-40 levels with insulin resistance and metabolic syndrome independently of obesity. We analyzed data from [...] Read more.
YKL-40, an obesity-related inflammatory biomarker, has inconsistently been associated with insulin resistance, and its relationship with metabolic syndrome is not well established. This study investigated the associations of YKL-40 levels with insulin resistance and metabolic syndrome independently of obesity. We analyzed data from 4303 participants without diabetes in the Taiwan Biobank. Insulin resistance was defined by the highest quartile of triglyceride-glucose body mass index (TyG-BMI). Metabolic syndrome was defined per AHA/NLHBI criteria. Both univariate and multivariate analyses demonstrated significant correlations between YKL-40 levels and TyG-BMI. Participants with higher YKL-40 quartiles exhibited increased odds of TyG-BMI-estimated insulin resistance even after adjusting for established predictors of TyG-BMI, including waist circumference. Similarly, higher YKL-40 quartiles significantly correlated with increased metabolic syndrome prevalence, and this relationship persisted after stratifying participants by weight status (normal weight vs. overweight/obese). Interaction analysis indicated that overweight/obesity individuals consistently had higher metabolic syndrome prevalence than normal-weight counterparts within identical YKL-40 quartiles, though the impact of overweight/obese diminished across rising YKL-40 quartiles (p for interaction = 0.008). Increased YKL-40 levels are significantly associated with TyG-BMI-estimated insulin resistance and metabolic syndrome, independent of obesity. There is a significant interaction between overweight/obese and YKL-40 levels in determining metabolic syndrome prevalence. Full article
Show Figures

Figure 1

28 pages, 51337 KB  
Article
Extracellular Vesicles Derived from Human Umbilical Cord-Mesenchymal Stem Cells Ameliorate Intervertebral Disc Degeneration
by Sobia Ekram, Faiza Ramzan, Asmat Salim, Marie Christine Durrieu and Irfan Khan
Biomedicines 2025, 13(10), 2420; https://doi.org/10.3390/biomedicines13102420 - 3 Oct 2025
Viewed by 422
Abstract
Background: Intervertebral disc degeneration (IVDD) is closely linked to low back pain (LBP), a leading cause of disability worldwide. IVDD is characterized by the loss of proteoglycans (PGs), extracellular matrix (ECM) degradation, and reduced hydration of the nucleus pulposus (NP). Extracellular vesicles (EVs) [...] Read more.
Background: Intervertebral disc degeneration (IVDD) is closely linked to low back pain (LBP), a leading cause of disability worldwide. IVDD is characterized by the loss of proteoglycans (PGs), extracellular matrix (ECM) degradation, and reduced hydration of the nucleus pulposus (NP). Extracellular vesicles (EVs) derived from human umbilical cord mesenchymal stem cells (hUC-MSCs) exhibit tissue repair and immunomodulatory effects and are emerging as promising cell-free therapeutics. Methods: We established a rat IVDD model via fluoroscopy-guided needle puncture of three consecutive coccygeal discs and confirmed degeneration through Alcian Blue and hematoxylin & eosin (H&E) staining. The gene expression of inflammatory and pain markers (ADRβ2, COMP, CXCL1, COX2, PPTA, MMP13, YKL40) was measured by qPCR. Subsequently, we implanted hUC-MSCs or EVs to evaluate their reparative potential. Results: Upregulation of inflammatory and pain genes in IVDD was associated with an immunomodulatory response. Tracking DiI-labelled hUC-MSCs and EVs revealed enhanced survival of hUC-MSCs, retention of EVs, and dispersion within rat tail discs; EVs showed greater retention than hUC-MSCs. Implanted EVs were internalized by NP cells and remained within degenerative IVDs. EVs passively diffused, accumulated at the injury site, interacted with host cells, and enhanced function, as shown by increased expression of human chondrocyte-related markers (SOX9, TGFβ1, TGFβ2, COL2) compared to hUC-MSC treatment. Histological analysis of two weeks post-transplantation showed NP cellular patterns resembling chondromas in treated discs. EVs integrated into and distributed within degenerated NP regions, with greater glycosaminoglycan (GAG) content. Conclusions: Overall, hUC-MSC EVs demonstrated superior regenerative capacity, supporting a safe, cell-free strategy for disc repair. Full article
(This article belongs to the Section Cell Biology and Pathology)
Show Figures

Figure 1

20 pages, 6534 KB  
Systematic Review
Acute Kidney Injury Biomarkers in Marathon Runners: Systematic Review and Meta-Analysis
by Daniel-Corneliu Leucuța, Loredana-Ioana Trif, Oana Almășan, Ștefan Lucian Popa and Abdulrahman Ismaiel
Medicina 2025, 61(10), 1775; https://doi.org/10.3390/medicina61101775 - 1 Oct 2025
Viewed by 305
Abstract
Background and Objectives: The objectives of this review were as follows: to measure changes in renal biomarker levels before, immediately after, and 24 h post-marathon; to identify promising biomarkers for the diagnosis of acute kidney injury; and to describe the temporal patterns [...] Read more.
Background and Objectives: The objectives of this review were as follows: to measure changes in renal biomarker levels before, immediately after, and 24 h post-marathon; to identify promising biomarkers for the diagnosis of acute kidney injury; and to describe the temporal patterns of biomarker dynamics in relation to the marathon. Materials and Methods: Studies of marathon runners reporting AKI-related biomarkers were included. Four databases (PubMed, EMBASE, Web of Science, and LILACS) were searched. Data on study design, participant characteristics, and biomarker values (pre-, post-, and 24 h post-race) were extracted, and a random effects meta-analysis was performed. Risk of bias was assessed with the National Heart, Lung, and Blood Institute pre–post tool. Results: The study showed significant increases in most biomarkers immediately after the marathon compared to baseline values. The largest increases were observed in Tissue Inhibitor of Metalloproteinases-2* Insulin-like Growth Factor Binding Protein-7 (TIMP-2*IGFBP), copeptin, urinary Liver-type Fatty Acid Binding Protein (L-FABP), urinary Monocyte Chemoattractant Protein-1 (MCP-1), IGFBP-7, urinary Chitinase 3-like Protein 1 (YKL-40), and TIMP-2, suggesting that these biomarkers are promising candidates for future research. Several patterns of biomarker evolution were observed: some increased without decreasing even at 24 h after the marathon; others increased post-marathon and decreased at 24 h while remaining above baseline; some increased after the marathon and then fell below baseline at 24 h. Conclusions: Marathon running causes significant increases in kidney injury biomarkers, with different patterns of evolution. Full article
(This article belongs to the Section Sports Medicine and Sports Traumatology)
Show Figures

Figure 1

23 pages, 2407 KB  
Review
YKL-40 in Virus-Associated Liver Disease: A Translational Biomarker Linking Fibrosis, Hepatocarcinogenesis, and Liver Transplantation
by Jadranka Pavicic Saric, Dinka Lulic, Dunja Rogic, Stipislav Jadrijevic, Danko Mikulic, Tajana Filipec Kanizaj, Nikola Prpic, Laura Karla Bozic, Ivona Adamovic, Iva Bacak Kocman, Zrinka Sarec, Gorjana Erceg, Mirta Adanic, Petra Ozegovic Zuljan, Filip Jadrijevic and Ileana Lulic
Int. J. Mol. Sci. 2025, 26(19), 9584; https://doi.org/10.3390/ijms26199584 - 1 Oct 2025
Viewed by 287
Abstract
Virus-associated hepatocellular carcinoma (HCC) remains a major global health burden despite effective antiviral therapies. Chronic infection with hepatitis B (HBV), hepatitis C (HCV), and hepatitis D (HDV) promotes malignant transformation through overlapping pathways of fibrosis, immune dysregulation, and microenvironmental remodeling. YKL-40, a glycoprotein [...] Read more.
Virus-associated hepatocellular carcinoma (HCC) remains a major global health burden despite effective antiviral therapies. Chronic infection with hepatitis B (HBV), hepatitis C (HCV), and hepatitis D (HDV) promotes malignant transformation through overlapping pathways of fibrosis, immune dysregulation, and microenvironmental remodeling. YKL-40, a glycoprotein secreted by hepatic stellate cells, hepatocytes under stress, macrophages, and endothelial cells, has emerged as a marker that reflects stromal activation rather than direct hepatocyte injury. Its expression is reinforced by profibrotic and angiogenic circuits, and circulating concentrations correlate with advanced fibrosis, residual risk after viral suppression, and oncologic outcomes. This review synthesizes current evidence on YKL-40 across HBV, HCV, and HDV cohorts, with emphasis on its role in bridging molecular mechanisms to clinical applications. We examine its utility in non-invasive fibrosis assessment, longitudinal monitoring after antiviral therapy, and prognostic modeling in HCC. Particular attention is given to its potential in the liver transplant pathway, where YKL-40 may refine eligibility beyond morphology, inform bridging therapy response, and predict post-transplant recurrence or graft fibrosis. Remaining challenges include its lack of disease specificity, assay variability, and limited multicenter validation. Future integration of YKL-40 into multimarker, algorithm-based frameworks could enable risk-adaptive strategies that align surveillance and transplant decisions with the evolving biology of virus-associated liver disease. Full article
Show Figures

Graphical abstract

22 pages, 4154 KB  
Article
Characterization of YKL-40 Binding to Extracellular Matrix Glycosaminoglycans
by Unnur Magnusdottir, Yiming Yang Jonatansdottir, Kristinn R. Oskarsson, Jens G. Hjorleifsson, Jon M. Einarsson and Finnbogi R. Thormodsson
Mar. Drugs 2025, 23(10), 379; https://doi.org/10.3390/md23100379 - 26 Sep 2025
Viewed by 359
Abstract
YKL-40 is a chitinase-like glycoprotein implicated in various pathological processes, yet its glycosaminoglycan (GAG) binding profile beyond heparin has not been examined. In this study, we performed a Microscale Thermophoresis (MST) analysis on the heparin-binding glycoprotein YKL-40 using low molecular weight GAG oligosaccharides. [...] Read more.
YKL-40 is a chitinase-like glycoprotein implicated in various pathological processes, yet its glycosaminoglycan (GAG) binding profile beyond heparin has not been examined. In this study, we performed a Microscale Thermophoresis (MST) analysis on the heparin-binding glycoprotein YKL-40 using low molecular weight GAG oligosaccharides. We identified two new GAG ligands, dermatan sulfate (DS) and hyaluronan (HA), while chondroitin sulfate (CS) showed no detectable binding affinity. The results show that heparin is bound with the strongest affinity, followed by DS and HA. To further investigate these differences, molecular docking was used to evaluate possible binding modes. Molecular docking results indicated that both heparin and DS interacted with the same site on YKL-40, the heparin-binding site at residues 143–149, suggesting a multifunctional binding region that may act as a competitive switch or integration hub for spatially regulated signaling. Together, these findings expand the known ligand profile of YKL-40 and offer new insights into its ECM-context-dependent roles, with implications for targeting YKL-40 in diseases involving chronic inflammation, fibrosis, and cancer progression. Full article
(This article belongs to the Special Issue Marine Sulfated Polysaccharides and Their Biomedical Applications)
Show Figures

Graphical abstract

18 pages, 2154 KB  
Article
Evaluating the Influence of CHI3L1 and PI3 Methylation in Allergic and Nonallergic Asthma
by Selene Baos, Lucía Cremades-Jimeno, María Ángeles de Pedro, María López-Ramos, Rubén Fernández-Santamaría, Cristina Rosales-Ariza, Joaquín Quiralte, Fernando Florido, Nicolás González-Mangado, María Jesús Rodríguez-Nieto, Germán Peces-Barba, Joaquín Sastre and Blanca Cárdaba
Biomolecules 2025, 15(10), 1363; https://doi.org/10.3390/biom15101363 - 25 Sep 2025
Viewed by 235
Abstract
Previously, we defined CHI3L1 and PI3 as genes related with asthma and severity by analysis of differential gene expression. In this study, we investigated the role of DNA methylation in their regulation, and their relationship with protein levels and clinical parameters. Peripheral blood [...] Read more.
Previously, we defined CHI3L1 and PI3 as genes related with asthma and severity by analysis of differential gene expression. In this study, we investigated the role of DNA methylation in their regulation, and their relationship with protein levels and clinical parameters. Peripheral blood mononuclear cells (PBMCs) and sera were collected from healthy controls (HCs), nonallergic asthmatic (NA), and allergic asthmatic (AA) patients. RNA and DNA were extracted from PBMCs using the trizol method. Gene expression was assessed by qRT-PCR, and DNA methylation of CpG sites near the promoters was analyzed using sodium bisulfite treatment followed by PCR amplification. DNA methylation analysis was performed using the Sequenom EpiTYPER platform. Protein levels were quantified by ELISA, and statistical analyses were carried out using GraphPad software. Consistent with previous findings, CHI3L1 and PI3 gene expression were significantly lower in asthmatic patients compared to controls. Conversely, CHI3L1 protein levels were higher in both patient groups, while PI3 protein showed no significant changes. DNA methylation analysis revealed higher overall DNA methylation percentages in NA and AA patients for both genes compared to HCs. Despite this, no significant correlations were observed between DNA methylation and gene or protein expression, although some correlations were observed with clinical parameters. In conclusion, CHI3L1 and PI3 represent potential asthma biomarkers, whose regulation may be partially influenced by DNA methylation, a mechanism more pronounced in asthmatic patients than in healthy subjects. Full article
(This article belongs to the Special Issue Molecular Pathology, Diagnostics, and Therapeutics of Lung Disease)
Show Figures

Figure 1

22 pages, 9750 KB  
Article
SIK2 Drives Pulmonary Fibrosis by Enhancing Fibroblast Glycolysis and Activation
by Jianhan He, Ruihan Dong, Huihui Yue, Fengqin Zhang, Xinran Dou, Xuan Li, Hui Li and Huilan Zhang
Biomedicines 2025, 13(8), 1919; https://doi.org/10.3390/biomedicines13081919 - 6 Aug 2025
Viewed by 813
Abstract
Background: Pulmonary fibrosis (PF), the end-stage manifestation of interstitial lung disease, is defined by excessive extracellular matrix deposition and alveolar destruction. Activated fibroblasts, the primary matrix producers, rely heavily on dysregulated glucose metabolism for their activation. While Salt Inducible Kinase 2 (SIK2) regulates [...] Read more.
Background: Pulmonary fibrosis (PF), the end-stage manifestation of interstitial lung disease, is defined by excessive extracellular matrix deposition and alveolar destruction. Activated fibroblasts, the primary matrix producers, rely heavily on dysregulated glucose metabolism for their activation. While Salt Inducible Kinase 2 (SIK2) regulates glycolytic pathways in oncogenesis, its specific contributions to fibroblast activation and therapeutic potential in PF pathogenesis remain undefined. This study elucidates the functional role of SIK2 in PF and assesses its viability as a therapeutic target. Methods: SIK2 expression/localization in fibrosis was assessed by Western blot and immunofluorescence. Fibroblast-specific Sik2 KO mice evaluated effects on bleomycin-induced fibrosis. SIK2’s role in fibroblast activation and glucose metabolism impact (enzyme expression, metabolism assays, metabolites) were tested. SIK2 inhibitors were screened and evaluated therapeutically in fibrosis models. Results: It demonstrated significant SIK2 upregulation, specifically within activated fibroblasts of fibrotic lungs from both PF patients and murine models. Functional assays demonstrated that SIK2 is crucial for fibroblast activation, proliferation, and migration. Mechanistically, SIK2 enhances fibroblast glucose metabolism by increasing the expression of glycolysis-related enzymes. Additionally, this study demonstrated that the SIK2 inhibitor YKL06-061 effectively inhibited PF in both bleomycin and FITC-induced PF mouse models with the preliminary safety profile. Furthermore, we identified a novel therapeutic application for the clinically approved drug fostamatinib, demonstrating it inhibits fibroblast activation via SIK2 targeting and alleviates PF in mice. Conclusions: Our findings highlight SIK2 as a promising therapeutic target and provide compelling preclinical evidence for two distinct anti-fibrotic strategies with significant potential for future PF treatment. Full article
(This article belongs to the Special Issue New Insights in Respiratory Diseases)
Show Figures

Figure 1

35 pages, 1902 KB  
Review
From Amyloid to Synaptic Dysfunction: Biomarker-Driven Insights into Alzheimer’s Disease
by Luisa Agnello, Caterina Maria Gambino, Anna Maria Ciaccio, Francesco Cacciabaudo, Davide Massa, Anna Masucci, Martina Tamburello, Roberta Vassallo, Mauro Midiri, Concetta Scazzone and Marcello Ciaccio
Curr. Issues Mol. Biol. 2025, 47(8), 580; https://doi.org/10.3390/cimb47080580 - 22 Jul 2025
Cited by 1 | Viewed by 2142
Abstract
Alzheimer’s disease (AD) is the most prevalent neurodegenerative disorder and represents a major public health challenge. With increasing life expectancy, the incidence of AD has also increased, highlighting the need for early diagnosis and improved monitoring. Traditionally, diagnosis has relied on clinical symptoms [...] Read more.
Alzheimer’s disease (AD) is the most prevalent neurodegenerative disorder and represents a major public health challenge. With increasing life expectancy, the incidence of AD has also increased, highlighting the need for early diagnosis and improved monitoring. Traditionally, diagnosis has relied on clinical symptoms and neuroimaging; however, the introduction of biomarkers has revolutionized disease assessment. Traditional biomarkers, including the Aβ42/Aβ40 ratio, phosphorylated tau (p-Tau181, p-Tau217, and p-Tau231), total tau (t-tau), and neurofilament light chain (NfL), are fundamental for staging AD progression. Updated guidelines introduced the ATX(N) model, which extends biomarker classification to include additional promising biomarkers, such as SNAP-25, YKL-40, GAP-43, VILIP-1, progranulin (PGRN), TREM2, IGF-1, hFABP, MCP-1, TDP-43, and BDNF. Recent advancements have allowed for the detection of these biomarkers not only in CSF but also in plasma and neuron-derived exosomes, offering less invasive and more accessible diagnostic options. This review explores established and emerging biomarkers and emphasizes their roles in early diagnosis, patient stratification, and precision medicine. Full article
(This article belongs to the Section Molecular Medicine)
Show Figures

Figure 1

18 pages, 996 KB  
Review
Future Perspectives and Conclusions from Animal Models of CHI3L1-Related Inflammation-Associated Cancer
by Emiko Mizoguchi and Siyuan Wang
Cells 2025, 14(13), 982; https://doi.org/10.3390/cells14130982 - 26 Jun 2025
Viewed by 1139
Abstract
Among the molecules implicated in inflammation-associated tumorigenesis, Chitinase 3-like 1 (CHI3L1/YKL-40/Brp-39) has emerged as a particularly compelling target due to its multifaced roles in immune regulation, tissue remodeling, and cancer progression. Elevated CHI3L1 expression is observed in various human cancers and corresponding animal [...] Read more.
Among the molecules implicated in inflammation-associated tumorigenesis, Chitinase 3-like 1 (CHI3L1/YKL-40/Brp-39) has emerged as a particularly compelling target due to its multifaced roles in immune regulation, tissue remodeling, and cancer progression. Elevated CHI3L1 expression is observed in various human cancers and corresponding animal models. CHI3L1 directly promotes tumor cell proliferation and angiogenesis and also contributes to immune evasion by establishing an immunosuppressive environment in inflamed tissues. Mechanistically, CHI3L1 exerts its effects through the modulation of STAT3, MAPK, and PI3K/Akt signaling pathways and by interacting with cell surface receptors, such as IL-13Rα2 and RAGE. Studies using transgenic and knockout mouse models have revealed a strong association between CHI3L1 expression and cancer progression. In models of colon and lung cancer, CHI3L1 overexpression correlates with increased tumor size and number, whereas CHI3L1 deficiency markedly suppresses tumor formation. However, its involvement appears to be context-dependent and varies among different epithelial tumor types. These findings suggest that CHI3L1 is a potential therapeutic target and diagnostic biomarker for inflammation-associated cancers. Animal studies provide valuable insights into the immunological mechanisms of CHI3L1-mediated tumorigenesis but also highlight the need for cautious interpretation due to inherent technical limitations. Full article
(This article belongs to the Special Issue Pathogenic Mechanisms of Chronic Inflammation-Associated Cancer)
Show Figures

Figure 1

13 pages, 1462 KB  
Article
YKL-40 and Lysosome-Associated Membrane Proteins as Potential Discriminative Biomarkers in Central Nervous System Infections
by Maria Kazakova, Yordan Kalchev, Valentin Dichev, Petya Argirova, Kiril Simitchiev, Mariana Murdjeva and Victoria Sarafian
Microbiol. Res. 2025, 16(4), 84; https://doi.org/10.3390/microbiolres16040084 - 11 Apr 2025
Viewed by 770
Abstract
The aim of our study was to evaluate the discriminative value of gene and protein expression levels of the inflammatory marker (YKL-40) and lysosome-associated membrane protein 1 and 2 (LAMP-1 and LAMP-2) in patients with central nervous system (CNS) infections. Thirty hospitalized patients [...] Read more.
The aim of our study was to evaluate the discriminative value of gene and protein expression levels of the inflammatory marker (YKL-40) and lysosome-associated membrane protein 1 and 2 (LAMP-1 and LAMP-2) in patients with central nervous system (CNS) infections. Thirty hospitalized patients with CNS infections and undefined etiology, and 22 healthy subjects as a control group, were included in the study. Gene expression levels of YKL-40, LAMP-1 and LAMP-2 were determined by qPCR. Plasma and CSF concentrations of the tree proteins of interest were detected by ELISA. Our results showed that mRNA levels of YKL-40 were significantly downregulated in WBCs of patients compared to controls, while plasma YKL-40 concentrations were higher. LAMP-1 significantly increased in patients’ plasma and CSF was found. Patients were subdivided depending on the confirmed or presumed etiological agent into two subgroups groups—patients with bacterial or with viral neuroinfection. Differences between plasma levels of YKL-40 in the subgroups when matched with controls were detected. The concentrations of the glycoprotein were higher in patients with bacterial infections compared to those with the viral ones. We revealed that LAMP-1 plasma levels were also significantly increased in patients with viral infections in comparison to healthy individuals. We could speculate that YKL-40 plasma levels might serve as a fast discriminative tool to support the presence of viral or bacterial CNS infections. Full article
Show Figures

Figure 1

27 pages, 1384 KB  
Systematic Review
Immunological Fluid Biomarkers in Frontotemporal Dementia: A Systematic Review
by Philip Ahle Erichsen, Emil Elbæk Henriksen, Jørgen Erik Nielsen, Patrick Ejlerskov, Anja Hviid Simonsen and Anders Toft
Biomolecules 2025, 15(4), 473; https://doi.org/10.3390/biom15040473 - 24 Mar 2025
Cited by 2 | Viewed by 1798
Abstract
Dysregulated immune activation plays a key role in the pathogenesis of neurodegenerative diseases, including frontotemporal dementia (FTD). This study reviews immunological biomarkers associated with FTD and its subtypes. A systematic search of PubMed and Web of Science was conducted for studies published before [...] Read more.
Dysregulated immune activation plays a key role in the pathogenesis of neurodegenerative diseases, including frontotemporal dementia (FTD). This study reviews immunological biomarkers associated with FTD and its subtypes. A systematic search of PubMed and Web of Science was conducted for studies published before 1 January 2025, focusing on immunological biomarkers in CSF or blood from FTD patients with comparisons to healthy or neurological controls. A total of 124 studies were included, involving 6686 FTD patients and 202 immune biomarkers. Key findings include elevated levels of GFAP and MCP1/CCL2 in both CSF and blood and consistently increased CHIT1 and YKL-40 in CSF. Complement proteins from the classical activation pathway emerged as promising targets. Distinct immune markers were found to differentiate FTD from Alzheimer’s disease (AD) and amyotrophic lateral sclerosis (ALS), with GFAP, SPARC, and SPP1 varying between FTD and AD and IL-15, HERV-K, NOD2, and CHIT1 differing between FTD and ALS. A few markers, such as Galectin-3 and PGRN, distinguished FTD subtypes. Enrichment analysis highlighted IL-10 signaling and immune cell chemotaxis as potential pathways for further exploration. This study provides an overview of immunological biomarkers in FTD, emphasizing those most relevant for future research on immune dysregulation in FTD pathogenesis. Full article
(This article belongs to the Section Molecular Medicine)
Show Figures

Figure 1

19 pages, 1567 KB  
Article
No Relation Between Cognitive Impairment, Physical Disability and Serum Biomarkers in a Cohort of Progressive Multiple Sclerosis Patients
by Bartosz Gajewski, Iwona Karlińska, Małgorzata Domowicz, Igor Bednarski, Mariola Świderek-Matysiak and Mariusz Stasiołek
Biomolecules 2025, 15(1), 68; https://doi.org/10.3390/biom15010068 - 6 Jan 2025
Cited by 2 | Viewed by 1293
Abstract
Despite significant efforts, there is still an existing need to identify diagnostic tools that would enable fast and reliable detection of the progressive stage of multiple sclerosis (MS) and help in monitoring the disease course and/or treatment effects. The aim of this prospective [...] Read more.
Despite significant efforts, there is still an existing need to identify diagnostic tools that would enable fast and reliable detection of the progressive stage of multiple sclerosis (MS) and help in monitoring the disease course and/or treatment effects. The aim of this prospective study in a group of people with progressive MS was to determine whether changes in the levels of selected serum biomarkers and in cognitive function may predict disease progression, and therefore refine the decision-making process in the evaluation of MS patients. Forty two (42) patients with progressive MS completed all the study procedures; the mean duration of follow-up was 12.97 months. During the observation period, serum concentration of chitinase-3 like-protein-1 (CHI3L1/YKL-40) decreased significantly in the whole study group (from 4034.95 ± 262.62 to 2866.43 ± 173.37; p = 0.0005), as well as in subgroups of people with secondary progressive and primary progressive MS (SPMS: from 3693.81 ± 388.68 to 2542.76 ± 256.59; p = 0.0207; and PPMS: from 4376.09 ± 353.27 to 3190.09 ± 233.22; p = 0.0089, respectively). A significant worsening of Brief International Cognitive Assessment for Multiple Sclerosis (BICAMS) scores was detected in the whole study group (from 1.18 ± 0.14 to 1.34 ± 0.15; p = 0.0331) as well as in the PPMS subgroup (from 1.04 ± 0.18 to 1.26 ± 0.20; p = 0.0216). No correlations between the analyzed molecular parameters or the results of neuropsychological tests and physical disability were observed. In conclusion, an emphasis should be placed on furthering the search for multimodal biomarkers of disease progression, especially in the PMS population, based on simultaneous analysis of several factors, such as blood biomarkers and cognitive profiles. Full article
(This article belongs to the Section Molecular Biomarkers)
Show Figures

Figure 1

13 pages, 3129 KB  
Article
A Simplified Method for Evaluating Chitin-Binding Activity Applied to YKL-40 (HC-gp39, CHI3L1) and Chitotriosidase
by Keita Suzuki, Hidetoshi Suzuki, Ami Tanaka, Miwa Tanaka, Kairi Takase, Hiromu Takei, Tomoki Kanaizumi, Kazuaki Okawa, Peter O. Bauer and Fumitaka Oyama
Molecules 2025, 30(1), 19; https://doi.org/10.3390/molecules30010019 - 25 Dec 2024
Viewed by 1764
Abstract
YKL-40 is structurally similar to chitotriosidase (CHIT1), an active chitinase, but it lacks chitin-degrading activity while retaining chitin-binding capability. Elevated YKL-40 levels are associated with inflammatory diseases and cancers, making it a valuable biomarker. We previously reported that the W69T substitution in YKL-40 [...] Read more.
YKL-40 is structurally similar to chitotriosidase (CHIT1), an active chitinase, but it lacks chitin-degrading activity while retaining chitin-binding capability. Elevated YKL-40 levels are associated with inflammatory diseases and cancers, making it a valuable biomarker. We previously reported that the W69T substitution in YKL-40 significantly reduces its chitin-binding affinity, identifying W69 as a crucial binding site. In this study, we establish a novel chitin-binding affinity evaluation method using a three-step buffer system to assess the binding strength and specificity of chitin-binding proteins and apply it to characterize YKL-40’s binding mechanism. Our findings confirm that YKL-40, through its key residue W69, exhibits highly specific and robust affinity to chitin. Unlike CHIT1, which has both a catalytic domain (CatD) and a chitin-binding domain (CBD) that allow for diverse binding and degradation activities, YKL-40 lacks a CBD and is specialized for specific chitin recognition without degrading it. Comparative analysis with YKL-39, which does not contain a corresponding W69 residue, highlights the unique role of this residue in YKL-40’s chitin-binding activity that is potentially linked to immune and inflammatory responses. Our evaluation method clarifies YKL-40’s binding properties and provides a versatile approach applicable to other chitin-binding proteins. Full article
(This article belongs to the Section Bioorganic Chemistry)
Show Figures

Graphical abstract

33 pages, 2075 KB  
Review
Inflammatory Effects and Regulatory Mechanisms of Chitinase-3-like-1 in Multiple Human Body Systems: A Comprehensive Review
by Dong Liu, Xin Hu, Xiao Ding, Ming Li and Lei Ding
Int. J. Mol. Sci. 2024, 25(24), 13437; https://doi.org/10.3390/ijms252413437 - 15 Dec 2024
Cited by 6 | Viewed by 3012
Abstract
Chitinase-3-like-1 (Chi3l1), also known as YKL-40 or BRP-39, is a highly conserved mammalian chitinase with a chitin-binding ability but no chitinase enzymatic activity. Chi3l1 is secreted by various cell types and induced by several inflammatory cytokines. It can mediate a series of cell [...] Read more.
Chitinase-3-like-1 (Chi3l1), also known as YKL-40 or BRP-39, is a highly conserved mammalian chitinase with a chitin-binding ability but no chitinase enzymatic activity. Chi3l1 is secreted by various cell types and induced by several inflammatory cytokines. It can mediate a series of cell biological processes, such as proliferation, apoptosis, migration, differentiation, and polarization. Accumulating evidence has verified that Chi3l1 is involved in diverse inflammatory conditions; however, a systematic and comprehensive understanding of the roles and mechanisms of Chi3l1 in almost all human body system-related inflammatory diseases is still lacking. The human body consists of ten organ systems, which are combinations of multiple organs that perform one or more physiological functions. Abnormalities in these human systems can trigger a series of inflammatory environments, posing serious threats to the quality of life and lifespan of humans. Therefore, exploring novel and reliable biomarkers for these diseases is highly important, with Chi3l1 being one such parameter because of its physiological and pathophysiological roles in the development of multiple inflammatory diseases. Reportedly, Chi3l1 plays an important role in diagnosing and determining disease activity/severity/prognosis related to multiple human body system inflammation disorders. Additionally, many studies have revealed the influencing factors and regulatory mechanisms (e.g., the ERK and MAPK pathways) of Chi3l1 in these inflammatory conditions, identifying potential novel therapeutic targets for these diseases. In this review, we comprehensively summarize the potential roles and underlying mechanisms of Chi3l1 in inflammatory disorders of the respiratory, digestive, circulatory, nervous, urinary, endocrine, skeletal, muscular, and reproductive systems, which provides a more systematic understanding of Chi3l1 in multiple human body system-related inflammatory diseases. Moreover, this article summarizes potential therapeutic strategies for inflammatory diseases in these systems on the basis of the revealed roles and mechanisms mediated by Chi3l1. Full article
(This article belongs to the Special Issue Latest Review Papers in Molecular Immunology 2024)
Show Figures

Figure 1

Back to TopTop