Sign in to use this feature.

Years

Between: -

Subjects

remove_circle_outline
remove_circle_outline
remove_circle_outline
remove_circle_outline
remove_circle_outline
remove_circle_outline

Journals

Article Types

Countries / Regions

Search Results (28)

Search Parameters:
Keywords = XFOIL

Order results
Result details
Results per page
Select all
Export citation of selected articles as:
28 pages, 4794 KB  
Article
Aircraft Propeller Design Technology Based on CST Parameterization, Deep Learning Models, and Genetic Algorithm
by Evgenii I. Kurkin, Jose Gabriel Quijada Pioquinto, Oleg E. Lukyanov, Vladislava O. Chertykovtseva and Artem V. Nikonorov
Technologies 2025, 13(10), 469; https://doi.org/10.3390/technologies13100469 - 16 Oct 2025
Viewed by 647
Abstract
This article presents aircraft propeller optimal design technology; including an algorithm and OpenVINT 5 code. To achieve greater geometric flexibility, the proposed technique implements Class-Shape Transformation (CST) parameterization combined with Bézier curves, replacing the previous fully Bézier-based system. Performance improvements in the optimization [...] Read more.
This article presents aircraft propeller optimal design technology; including an algorithm and OpenVINT 5 code. To achieve greater geometric flexibility, the proposed technique implements Class-Shape Transformation (CST) parameterization combined with Bézier curves, replacing the previous fully Bézier-based system. Performance improvements in the optimization process are accomplished through deep learning models and a genetic algorithm, which substitute XFOIL and Differential Evolution-based approaches, respectively. The scientific novelty of the article lies in the application of a neural network to predict the aerodynamic characteristics of profiles in the form of contour diagrams, rather than scalar values, which execute the neural network repeatedly per ISM algorithm iteration and speed up the design time of propeller blades by 32 times as much. A propeller for an aircraft-type UAV was designed using the proposed methodology and OpenVINT 5. A comparison was made with the results to solve a similar problem using numerical mathematical models and experimental studies in a wind tunnel. Full article
(This article belongs to the Special Issue Aviation Science and Technology Applications)
Show Figures

Figure 1

27 pages, 10871 KB  
Article
Lift-Based Rotor Optimization of HAWTs via Blade Element Momentum Theory and CFD
by Rossen Iliev
Wind 2025, 5(4), 25; https://doi.org/10.3390/wind5040025 - 13 Oct 2025
Viewed by 813
Abstract
This article presents a methodology for the synthesis of horizontal-axis wind turbines operating on the principle of lift. The profile geometry is synthesized using the Vortex–source distribution method following Glauert’s approach. The blade shape is developed using the Blade Element Momentum Theory. Efficiency [...] Read more.
This article presents a methodology for the synthesis of horizontal-axis wind turbines operating on the principle of lift. The profile geometry is synthesized using the Vortex–source distribution method following Glauert’s approach. The blade shape is developed using the Blade Element Momentum Theory. Efficiency is determined with Computational Fluid Dynamics. The methodology uses a multifactor numerical experiment, with the objective function defined as maximizing lift-to-drag ratio of the blade profile. Validation of the obtained power curves is performed with QBlade and XFoil and confirmed experimentally on a laboratory test bench. The proposed methodology demonstrates improved accuracy in predicting the power coefficient and the optimal operation regime of horizontal-axis wind turbines at low Reynolds numbers. Full article
Show Figures

Figure 1

27 pages, 5476 KB  
Article
The Harmonic Pitching NACA 0018 Airfoil in Low Reynolds Number Flow
by Jan Michna, Maciej Śledziewski and Krzysztof Rogowski
Energies 2025, 18(11), 2884; https://doi.org/10.3390/en18112884 - 30 May 2025
Cited by 1 | Viewed by 1898
Abstract
This study investigates the aerodynamic performance of a symmetric NACA 0018 airfoil under harmonic pitching motions at low Reynolds numbers, a regime characterized by the presence of laminar separation bubbles and their impact on aerodynamic forces. The analysis encompasses oscillation frequencies of 1 [...] Read more.
This study investigates the aerodynamic performance of a symmetric NACA 0018 airfoil under harmonic pitching motions at low Reynolds numbers, a regime characterized by the presence of laminar separation bubbles and their impact on aerodynamic forces. The analysis encompasses oscillation frequencies of 1 Hz, 2 Hz, and 13.3 Hz, with amplitudes of 4° and 8°, along with steady-state simulations conducted for angles of attack up to 20° to validate the numerical model. The results reveal that the γ-Reθ turbulence model provides improved predictions of aerodynamic forces at higher Reynolds numbers but struggles at lower Reynolds numbers, where laminar flow effects dominate. The inclusion of the 13.3 Hz frequency, relevant to Darrieus vertical-axis wind turbines, demonstrates the effectiveness of the model in capturing dynamic hysteresis loops and reduced oscillations, in contrast to the k-ω SST model. Comparisons with XFOIL further highlight the challenges in accurately modeling laminar-to-turbulent transitions and dynamic flow phenomena. These findings offer valuable insights into the aerodynamic behavior of thick airfoils under low Reynolds number conditions and contribute to the advancement of turbulence modeling, particularly in applications involving vertical-axis wind turbines. Full article
(This article belongs to the Section A3: Wind, Wave and Tidal Energy)
Show Figures

Figure 1

22 pages, 1599 KB  
Article
Airfoil Optimization and Analysis Using Global Sensitivity Analysis and Generative Design
by Pablo Rouco, Pedro Orgeira-Crespo, Guillermo David Rey González and Fernando Aguado-Agelet
Aerospace 2025, 12(3), 180; https://doi.org/10.3390/aerospace12030180 - 24 Feb 2025
Cited by 6 | Viewed by 2845
Abstract
This research investigates the optimization of airfoil design for fixed-wing drones, aiming to enhance aerodynamic efficiency and reduce drag. The research employs Kulfan CST and Bézier surface parameterization methods combined with global sensitivity analysis (GSA) and machine learning techniques to improve airfoil performance [...] Read more.
This research investigates the optimization of airfoil design for fixed-wing drones, aiming to enhance aerodynamic efficiency and reduce drag. The research employs Kulfan CST and Bézier surface parameterization methods combined with global sensitivity analysis (GSA) and machine learning techniques to improve airfoil performance under various operational conditions. Particle swarm optimization (PSO) is utilized to optimize the airfoil design, minimizing drag in cruise and ascent conditions while ensuring lift at takeoff. Computational fluid dynamics (CFD) simulations, primarily using XFOIL, validate the aerodynamic performance of the optimized airfoils. This study also explores the generative design approach using a neural network trained on 10 million airfoil simulations to predict airfoil geometry based on desired performance criteria. The results show important improvements in drag reduction, especially during low-speed cruise and ascent phases, contributing to extended flight endurance and efficiency. These results can be used for small unmanned aerial vehicles (UAVs) in real-world applications to develop better-performance UAVs under mission-specific constraints. Full article
(This article belongs to the Special Issue Aircraft Design and System Optimization)
Show Figures

Figure 1

18 pages, 5474 KB  
Article
Performance Estimation of Fixed-Wing UAV Propulsion Systems
by Mohamed Etewa, Ahmed F. Hassan, Ehab Safwat, Mohammed A. H. Abozied, Mohamed M. El-Khatib and Alejandro Ramirez-Serrano
Drones 2024, 8(9), 424; https://doi.org/10.3390/drones8090424 - 25 Aug 2024
Cited by 4 | Viewed by 6462
Abstract
The evaluation of propulsion systems used in UAVs is of paramount importance to enhance the flight endurance, increase the flight control performance, and minimize the power consumption. This evaluation, however, is typically performed experimentally after the preliminary hardware design of the UAV is [...] Read more.
The evaluation of propulsion systems used in UAVs is of paramount importance to enhance the flight endurance, increase the flight control performance, and minimize the power consumption. This evaluation, however, is typically performed experimentally after the preliminary hardware design of the UAV is completed, which tends to be expensive and time-consuming. In this paper, a comprehensive theoretical UAV propulsion system assessment is proposed to assess both static and dynamic performance characteristics via an integrated simulation model. The approach encompasses the electromechanical dynamics of both the motor and its controller. The proposed analytical model estimates the propeller and motor combination performance with the overarching goal of enhancing the overall efficiency of the aircraft propulsion system before expensive costs are incurred. The model embraces an advanced blade element momentum theory underpinned by the development of a novel mechanism to predict the propeller performance under low Reynolds number conditions. The propeller model utilizes XFOIL and various factors, including post-stall effects, 3D correction, Reynolds number fluctuations, and tip loss corrections to predict the corresponding aerodynamic loads. Computational fluid dynamics are used to corroborate the dynamic formulations followed by extensive experimental tests to validate the proposed estimation methodology. Full article
Show Figures

Figure 1

18 pages, 3489 KB  
Article
Development and Measurement of a Very Thick Aerodynamic Profile for Wind Turbine Blades
by Alois Peter Schaffarczyk, Brandon Arthur Lobo, Nicholas Balaresque, Volker Kremer, Janick Suhr and Zhongxia Wang
Wind 2024, 4(3), 190-207; https://doi.org/10.3390/wind4030010 - 12 Jul 2024
Cited by 2 | Viewed by 3284
Abstract
We designed 60% thick airfoil to improve the aerodynamic performance in the root region of wind turbine rotor blades, taking into account current constraints. After an extensive literature review and patent research, a design methodology (including the considerations of simple manufacturing) was set [...] Read more.
We designed 60% thick airfoil to improve the aerodynamic performance in the root region of wind turbine rotor blades, taking into account current constraints. After an extensive literature review and patent research, a design methodology (including the considerations of simple manufacturing) was set up, and extensive 2D- and 3D-CFD investigations with four codes (Xfoil, MSES, ANSYS fluent, and DLR-tau) were performed, including implementation inside a generic 10 MW test-blade (CIG10MW). Comparison with results from Blade Element Momentum (BEM) methods and the estimation of 3D effects due to the rotating blade were undertaken. One specific shape (with a pronounced flat-back) was selected and tested in the Deutsche WindGuard aeroacoustic Wind Tunnel (DWAA), in Bremerhaven, Germany. A total of 34 polars were measured, included two trailing edge shapes and aerodynamic devices such as vortex generators, gurney flaps, zig-zag tape, and a splitter plate. Considerable changes in lift and drag characteristics were observed due to the use of aerodynamic add-ons. With the studies presented here, we believe we have closed an important technological gap. Full article
Show Figures

Figure 1

14 pages, 1849 KB  
Article
Using Artificial Intelligence to Predict the Aerodynamic Properties of Wind Turbine Profiles
by Ziemowit Malecha and Adam Sobczyk
Computers 2024, 13(7), 167; https://doi.org/10.3390/computers13070167 - 8 Jul 2024
Cited by 5 | Viewed by 2431
Abstract
This study describes the use of artificial intelligence to predict the aerodynamic properties of wind turbine profiles. The goal was to determine the lift coefficient for an airfoil using its geometry as input. Calculations based on XFoil were taken as a target for [...] Read more.
This study describes the use of artificial intelligence to predict the aerodynamic properties of wind turbine profiles. The goal was to determine the lift coefficient for an airfoil using its geometry as input. Calculations based on XFoil were taken as a target for the predictions. The lift coefficient for a single case scenario was set as a value to find by training an algorithm. Airfoil geometry data were collected from the UIUC Airfoil Data Site. Geometries in the coordinate format were converted to PARSEC parameters, which became a direct feature for the random forest regression algorithm. The training dataset included 60% of the base dataset records. The rest of the dataset was used to test the model. Five different datasets were tested. The results calculated for the test part of the base dataset were compared with the actual values of the lift coefficients. The developed prediction model obtained a coefficient of determination ranging from 0.83 to 0.87, which is a good prognosis for further research. Full article
(This article belongs to the Special Issue Deep Learning and Explainable Artificial Intelligence)
Show Figures

Figure 1

18 pages, 3620 KB  
Article
Interactive Airfoil Optimization Using Parsec Parametrization and Adjoint Method
by Marek Belda and Tomáš Hyhlík
Appl. Sci. 2024, 14(8), 3495; https://doi.org/10.3390/app14083495 - 21 Apr 2024
Cited by 6 | Viewed by 3638
Abstract
In the development of interactive aerodynamic optimization tools, the need to reduce the computational complexity of flow calculations has arisen. Computational complexity can be reduced by estimating the flow variables using machine learning, but that approach has a number of hindrances. Avoiding these [...] Read more.
In the development of interactive aerodynamic optimization tools, the need to reduce the computational complexity of flow calculations has arisen. Computational complexity can be reduced by estimating the flow variables using machine learning, but that approach has a number of hindrances. Avoiding these hindrances through lowering the computational complexity by stating the assumptions of inviscid incompressible potential flow is the focus of this article. The assumptions used restrict the applicability of this approach to only specific cases, but in engineering practice, these cases are quite widespread. The assumptions allowed the coupling of the adjoint method with parsec parametrization and the panel method, yielding a highly computationally efficient and robust tool for optimizing an airfoil’s lift coefficient (Cy). The optimization of the NREL S809 airfoil was carried out, and the results were verified using the Xfoil 6.99 software. The Xfoil verification showed that by making minimal changes to the airfoil’s shape, the Cy and lift-to-drag ratios were significantly improved. The improvement magnitude was over 94% for a 0 deg angle of attack (AoA) and over 16% for 6.2 deg AoA. This indicates an improvement in performance that is similar to that of some genetic algorithms, but with computational costs that are many orders of magnitude lower. Full article
Show Figures

Figure 1

17 pages, 994 KB  
Article
A Preliminary Evaluation of Morphing Horizontal Tail Design for UAVs
by Fernando Montano, Ignazio Dimino and Alberto Milazzo
Aerospace 2024, 11(4), 266; https://doi.org/10.3390/aerospace11040266 - 29 Mar 2024
Cited by 3 | Viewed by 2547
Abstract
Morphing structures are a relatively new aircraft technology currently being investigated for a variety of applications, from civil to military. Despite the lack of literature maturity and its complexity, morphing wings offer significant aerodynamic benefits over a wide range of flight conditions, enabling [...] Read more.
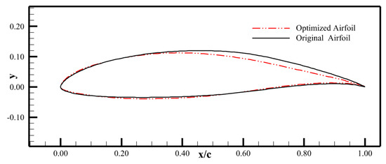
Morphing structures are a relatively new aircraft technology currently being investigated for a variety of applications, from civil to military. Despite the lack of literature maturity and its complexity, morphing wings offer significant aerodynamic benefits over a wide range of flight conditions, enabling reduced aircraft fuel consumption and airframe noise, longer range and higher efficiency. The aim of this study is to investigate the impact of morphing horizontal tail design on aircraft performance and flight mechanics. This study is conducted on a 1:5 scale model of a Preceptor N-3 Pup at its trim condition, of which the longitudinal dynamics is implemented in MATLAB release 2022. Starting from the original horizontal tail airfoil NACA 0012 with the elevator deflected at the trim value, this is modified by using the X-Foil tool to obtain a smooth morphing airfoil trailing edge shape with the same CLα. By comparing both configurations and their influence on the whole aircraft, the resulting improvements are evaluated in terms of stability in the short-period mode, reduction in the parasitic drag coefficient CD0, and increased endurance at various altitudes. Full article
Show Figures

Figure 1

16 pages, 10230 KB  
Article
Numerical Investigation and Optimization of a Morphing Airfoil Designed for Lower Reynolds Number
by Nebojša Lukić, Toni Ivanov, Jelena Svorcan and Aleksandar Simonović
Aerospace 2024, 11(4), 252; https://doi.org/10.3390/aerospace11040252 - 23 Mar 2024
Cited by 8 | Viewed by 2954
Abstract
A novel concept of morphing airfoils, capable of changing camber and thickness, is proposed. A variable airfoil shape, defined by six input parameters, is achieved by allowing the three spinal points (at fixed axial positions) to slide vertically, while the upper and lower [...] Read more.
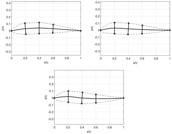
A novel concept of morphing airfoils, capable of changing camber and thickness, is proposed. A variable airfoil shape, defined by six input parameters, is achieved by allowing the three spinal points (at fixed axial positions) to slide vertically, while the upper and lower surfaces are determined by the lengths of the three corresponding ribs that are perpendicular to the spine. Thus, it is possible to find the most appropriate geometric configuration for a wide range of possible operating conditions often present with contemporary unmanned aerial vehicles. Shape optimizations for different Reynolds numbers and different cost functions are performed by coupling a genetic algorithm with simple panel method flow calculations. The obtained airfoils are presented and compared, whereas the proposed concept is validated by more advanced flow simulations. It appears that improvements in aerodynamic performance of nearly 20% can be expected at Re ranging from 0.05 × 106 to 0.1 × 106. The proposed methodology shows promise and can be applied to different types of lifting surfaces, including wing, tail or propeller blade segments. To check the viability of this method for producing airfoils that can be used in a practical sense, structural analysis of one of the obtained geometries using a simplified 1D finite element method as well as a more detailed 3D analysis are performed. The model is then 3D-printed on a fused deposition modeling (FDM) printer with a polyethylene terephthalate glycol (PETG) filament, and the capability of the airfoil to adequately morph between the two desired geometries is experimentally shown. Full article
(This article belongs to the Section Aeronautics)
Show Figures

Figure 1

26 pages, 11579 KB  
Article
Algorithm for Propeller Optimization Based on Differential Evolution
by Andry Sedelnikov, Evgenii Kurkin, Jose Gabriel Quijada-Pioquinto, Oleg Lukyanov, Dmitrii Nazarov, Vladislava Chertykovtseva, Ekaterina Kurkina and Van Hung Hoang
Computation 2024, 12(3), 52; https://doi.org/10.3390/computation12030052 - 6 Mar 2024
Cited by 12 | Viewed by 4045
Abstract
This paper describes the development of a methodology for air propeller optimization using Bezier curves to describe blade geometry. The proposed approach allows for more flexibility in setting the propeller shape, for example, using a variable airfoil over the blade span. The goal [...] Read more.
This paper describes the development of a methodology for air propeller optimization using Bezier curves to describe blade geometry. The proposed approach allows for more flexibility in setting the propeller shape, for example, using a variable airfoil over the blade span. The goal of optimization is to identify the appropriate geometry of a propeller that reduces the power required to achieve a given thrust. Because the proposed optimization problem is a constrained optimization process, the technique of generating a penalty function was used to convert the process into a nonconstrained optimization. For the optimization process, a variant of the differential evolution algorithm was used, which includes adaptive techniques of the evolutionary operators and a population size reduction method. The aerodynamic characteristics of the propellers were obtained using the similar to blade element momentum theory (BEMT) isolated section method (ISM) and the XFOIL program. Replacing the angle of geometric twist with the angle of attack of the airfoil section as a design variable made it possible to increase the robustness of the optimization algorithm and reduce the calculation time. The optimization technique was implemented in the OpenVINT code and has been used to design helicopter and tractor propellers for unmanned aerial vehicles. The development algorithm was validated experimentally and using CFD numerical method. The experimental tests confirm that the optimized propeller geometry is superior to commercial analogues available on the market. Full article
Show Figures

Figure 1

21 pages, 5053 KB  
Article
Airfoil Lift Coefficient Optimization Using Genetic Algorithm and IGP Parameterization: Volume 1
by María Elena Tejeda-del-Cueto, Manuel Alberto Flores-Alfaro, Miguel Toledo-Velázquez, Lorena del Carmen Santos-Cortes, José Hernández-Hernández and Marco Osvaldo Vigueras-Zúñiga
Aerospace 2024, 11(1), 44; https://doi.org/10.3390/aerospace11010044 - 30 Dec 2023
Cited by 2 | Viewed by 3640
Abstract
The objective of this study is to develop a genetic algorithm that uses the IGP parameterization to increase the lift coefficient (CL) of three airfoils to be used on wings of unmanned aerial vehicles (UAVs). The geometry of three baseline airfoils [...] Read more.
The objective of this study is to develop a genetic algorithm that uses the IGP parameterization to increase the lift coefficient (CL) of three airfoils to be used on wings of unmanned aerial vehicles (UAVs). The geometry of three baseline airfoils was modified by developing a genetic algorithm that operates with the IGP parameterization and performs the aerodynamic analysis using XFOIL in the MATLAB environment. Subsequently, a numerical model was made for each baseline and optimized airfoil using a commercial computational fluid dynamics (CFD) code to analyze the behavior of the lift coefficient. An increase in the average CL was obtained for the Eppler 68, MH 70, and Wortmann FX 60-126 airfoils for angles of attack ranging from 0 to 10, obtaining increments of 17.243%, 14.967%, and 10.708%, respectively. Additionally, an average 5.027% uncertainty was obtained in lift coefficient calculations between XFOIL and CFD. The utility of the IGP method and genetic algorithms for parameterizing and optimizing airfoils was demonstrated. In addition, airfoils could be tailored for a specific UAV depending on the mission profile. Volume 2 of this study will include experimental data from wind tunnel. Full article
Show Figures

Figure 1

25 pages, 9173 KB  
Article
Numerical and Experimental Studies on the Aerodynamics of NACA64 and DU40 Airfoils at Low Reynolds Numbers
by Chieh-Hsun Wu, Jing-Zong Chen, Yuan-Lung Lo and Chung-Lin Fu
Appl. Sci. 2023, 13(3), 1478; https://doi.org/10.3390/app13031478 - 22 Jan 2023
Cited by 3 | Viewed by 4023
Abstract
The aerodynamics of airfoils can be seen in a wide range of applications. To obtain the aerodynamic loads, geometrically-scaled airfoil sections are tested in wind tunnels. However, due to the limited space of the wind tunnel, the mismatch of Reynolds numbers may lead [...] Read more.
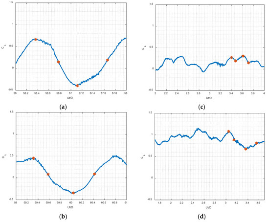
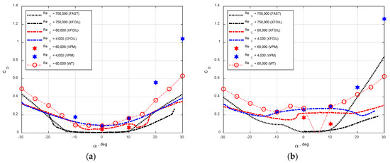
The aerodynamics of airfoils can be seen in a wide range of applications. To obtain the aerodynamic loads, geometrically-scaled airfoil sections are tested in wind tunnels. However, due to the limited space of the wind tunnel, the mismatch of Reynolds numbers may lead to different aerodynamic loads. Previous works showed that decreased lifts and increased drag coefficients are associated with lower Reynolds numbers, which are accompanied by the changes in ambient flow, such as increased sizes of the separation bubbles and wake vortices. Although insightful, few direct connections between loads, pressures, and ambient flow were presented, leaving a critical knowledge gap for aerodynamic modifications to improve the aerodynamic performances at low Reynolds numbers. To bridge this gap, this work utilizes numerical simulations and wind tunnel experiments to study the aerodynamics of a thin airfoil (NACA64) and a thick airfoil (DU40), at two chord Reynolds numbers, i.e., 4000 and 60,000. The two-dimensional (2D) vortex particle method (VPM) with varying-sized particles is used to simulate the unsteady flow and compared to the steady-state simulations by XFOIL. As the Reynolds number increases, it reveals that the higher lift coefficients are associated with the increased upstream suction and positive pressures on the upper and lower surfaces of the airfoils, respectively. These changes are explained by the increased and decreased normalized wind speeds on the upper and lower surfaces of the airfoils, respectively. Stronger pressure recoveries observed downstream of the reattachment points are the main cause of drag reductions at higher Reynolds numbers. The smaller and more irregular vortices in the roll-up shear layers and wakes observed at the higher Reynolds number are similar to the previous experimental findings, which are shown in this work to make the force fluctuations more irregular at higher frequencies. Possibly due to missing 3D effects, the results obtained from the 2D VPM are observed to ‘overestimate’ the effects of increasing the Reynolds number at ReC = 60,000. Furthermore, both VPM and XFOIL are found to work best in explaining the physics at low angles of attacks, i.e., 10°α10°, which are similar to the previous numerical works utilizing 2D methods. Full article
Show Figures

Figure 1

15 pages, 6537 KB  
Article
Robust Optimization of Natural Laminar Flow Airfoil Based on Random Surface Contamination
by Shunshun Wang and Zheng Guo
Appl. Sci. 2022, 12(17), 8757; https://doi.org/10.3390/app12178757 - 31 Aug 2022
Cited by 2 | Viewed by 3102
Abstract
Natural laminar-flow (NLF) airfoils are one of the most promising technologies for extending the range and endurance of aircrafts. However, there is a lack of methods for the optimization of airfoils based on the surface contamination that destroys the laminar flow. In order [...] Read more.
Natural laminar-flow (NLF) airfoils are one of the most promising technologies for extending the range and endurance of aircrafts. However, there is a lack of methods for the optimization of airfoils based on the surface contamination that destroys the laminar flow. In order to solve this problem, a robust optimization process is proposed using the Non-dominated Sorting genetic algorithm- II (NSGA-II) evolutionary algorithm, and Monte Carlo simulation combined with an aerodynamic calculation software Xfoil. Firstly, the airfoil is optimized normally and the aerodynamic performance of optimized airfoil under surface contamination is analyzed. Then, the original airfoil is robustly optimized under random surface contamination based on the assumption that its locations follow triangular and uniform probability distributions. Finally, all the optimized results and original airfoil are compared. It is found that robust optimization reduces the sensitivity of the airfoil to random surface contamination, hence, improving the robustness of the airfoil. The proposed methods make it possible to improve the aerodynamic performance of NLF airfoils considering surface contamination. Full article
(This article belongs to the Section Aerospace Science and Engineering)
Show Figures

Figure 1

22 pages, 19678 KB  
Article
Development and Validation of an Aeropropulsive and Aeroacoustic Simulation Model of a Quadcopter Drone
by Felice Fruncillo, Luigi Federico, Marco Cicala and Roberto Citarella
Drones 2022, 6(6), 143; https://doi.org/10.3390/drones6060143 - 9 Jun 2022
Cited by 9 | Viewed by 5065
Abstract
In the present work a dynamic simulation model for a quadcopter drone is developed and validated through experimental flight data. The aerodynamics of the rotors is modeled with the blade element theory combined with the Peters and He dynamic wake model, using an [...] Read more.
In the present work a dynamic simulation model for a quadcopter drone is developed and validated through experimental flight data. The aerodynamics of the rotors is modeled with the blade element theory combined with the Peters and He dynamic wake model, using an appropriate number of states. The aerodynamic forces and moments thus calculated feed the dynamic equations of a drone and an aeroacoustics model, to obtain an estimate of the noise generated during the flight. Loading and thickness noise are calculated as a time domain solution of the wave equation (Farassat 1A formulation), with mobile sources in stagnant flow. The results of numerical simulations are compared with experimental data recorded during flights performed at the Aerospace Italian Research Center (CIRA), both for the flight dynamics and the aeroacoustics models. To customize the model to the drone used, a laser scanner is used to obtain the geometric characteristics of the blades and the XFOIL program is used to calculate the blade profile aerodynamic coefficients. Full article
(This article belongs to the Section Drone Design and Development)
Show Figures

Figure 1

Back to TopTop