Next Article in Journal
A Novel Approach to Grade Cotton Aphid Damage Severity with Hyperspectral Index Reconstruction
Previous Article in Journal
User-Centered Design as a Method for Engaging Users in the Development of Geovisualization: A Use Case of Temperature Visualization
 
 
Font Type:
Arial Georgia Verdana
Font Size:
Aa Aa Aa
Line Spacing:
Column Width:
Background:
Article

Robust Optimization of Natural Laminar Flow Airfoil Based on Random Surface Contamination

College of Aerospace Science and Engineering, National University of Defense Technology, Changsha 410073, China
*
Author to whom correspondence should be addressed.
Appl. Sci. 2022, 12(17), 8757; https://doi.org/10.3390/app12178757
Submission received: 10 August 2022 / Revised: 26 August 2022 / Accepted: 29 August 2022 / Published: 31 August 2022
(This article belongs to the Section Aerospace Science and Engineering)

Abstract

:
Natural laminar-flow (NLF) airfoils are one of the most promising technologies for extending the range and endurance of aircrafts. However, there is a lack of methods for the optimization of airfoils based on the surface contamination that destroys the laminar flow. In order to solve this problem, a robust optimization process is proposed using the Non-dominated Sorting genetic algorithm- II (NSGA-II) evolutionary algorithm, and Monte Carlo simulation combined with an aerodynamic calculation software Xfoil. Firstly, the airfoil is optimized normally and the aerodynamic performance of optimized airfoil under surface contamination is analyzed. Then, the original airfoil is robustly optimized under random surface contamination based on the assumption that its locations follow triangular and uniform probability distributions. Finally, all the optimized results and original airfoil are compared. It is found that robust optimization reduces the sensitivity of the airfoil to random surface contamination, hence, improving the robustness of the airfoil. The proposed methods make it possible to improve the aerodynamic performance of NLF airfoils considering surface contamination.

1. Research Background

The increase in Reynolds number leads to the forward movement of the transition point on airfoils. According to experience formula, the friction drag coefficient of turbulent flow is 3.5 times than that of laminar flow at the Reynolds number 1.0 × 10 6 . Hence, the friction drag is reduced by delaying the laminar flow transition. The National Advisory Committee for Aeronautics (NACA) first proposed the concept of laminar flow airfoils, and developed the NACA-6 series airfoils, then began the development of NLF airfoils in the 1970s. After that, there were many studies on the design and optimization of NLF airfoils. For example, Yongbin Chen et al. [1] used multi-island, parallel, multi-objective evolutionary algorithms combined with the e N transition prediction method to optimize the NLF airfoil shape. Yayun Shi et al. [2] developed a discrete, adjoint-based optimization framework, and successfully minimized lift-constrained drag of NLF airfoils for a single-point design and a multi-point design. In addition, Zhong-Hua Han et al. [3] proposed an efficient global optimization method for NLF wings based on surrogate models, which used dual N factors for Tollmien–Schlichting and crossflow instabilities prediction. However, various uncertainties in the use of NLF airfoils directly affects the laminar flow transition on its surface, so it is difficult to achieve the expected performance in the actual use of NLF airfoils designed according to only a certain working condition. None of the above studies take the uncertainties into account. To solve the problem, robust optimization must be introduced.
Robust optimization is an optimization method considering the impact of uncertainty compared with the traditional optimization method. It mainly includes sample extraction method, sensitivity-based method, analytical method, and agent-model-based method, among which the sample extraction method has the best optimization effect, but is also computationally intensive in dealing with complex problems. There are many works in the field of robust aerodynamic optimization. Jun Tao et al. [4] introduced the principal component analysis (PCA) deep belief net-work (DBN) based surrogate model for the robust optimization of the whole aircraft, Xufang Zhang et al. [5] used the genetic algorithm (GA) algorithm to optimize DU93-W-210 airfoil with the assumption of Reynolds number and Mach number following normal distribution. Haoran LI et al. [6] used the polynomial chaos method to improve both the ice tolerance and the cruise performance of an airfoil, in recognition of the icing parameters’ uncertainty. Most of the robust optimizations for NLF airfoils only consider the uncertainty of the flight Mach number. For low-speed aircrafts whose Mach number is less than 0.3 and whose sensitivity to Mach number changes is not high, so optimizations only based on Mach number cannot play an important role. Instead, the roughness of the airfoil surface becomes an important factor in laminar flow transition. However, all the above studies do not take random surface contamination into consideration.
Surface contamination is usually referred to as the destruction of the laminar flow characteristics due to the lack of smoothness of airfoils. As shown in Figure 1, the surface characteristics of the unmanned aerial vehicle (UAV) wing demonstrate the obvious scratches and pits, which usually shift the laminar flow transition point forward and affect the aerodynamic efficiency of airfoils. There are several studies on this, for example, Mariana Kok [7] experimentally studied the effect of different types of leading edge roughness on a NACA-633-418 airfoil, Andrei Buzica [8] studied the effect of leading edge roughness on the aerodynamic characteristics of diamond-type wings, while Christian Bak [9] investigated the effects of roughness bands with different heights.
This paper tries to solve the problem of NLF airfoils optimization under surface contamination, and hopes to obtain an NLF airfoil that works better considering random contamination affects. The former part is the introduction of basic robust optimization technology including Xfoil with e N transition, and an optimization method, as well as the Monte Carlo method. The latter part compares the results of the normal optimization and robust optimizations.

2. Technical Implementation

2.1. Technical Idea

In this paper, NLF-1015 was selected as the initial airfoil. Then, the statistically aerodynamic characteristics of the airfoil under specific operating conditions were analyzed by the combination of an aerodynamic calculation module and uncertainty analysis module. After this, the optimization algorithm provided the new parameters and the airfoil was updated using the Class/Shape Transformation (CST) parameterization method. The analysis was then carried out by the aerodynamic module and uncertainty analysis module. Finally, the above processes were repeated until the ending condition was achieved. Figure 2 shows the optimization flow chart.

2.2. Case Validation

In this paper, Xfoil was used to perform aerodynamic calculations on the airfoils [10]. e N transition prediction method, which is a semi-empirical method based on the small disturbance theory to solve the O-S stability equation was used to calculate the transition point. It uses the momentum thickness Reynolds number R e q to determine the amplification factor n ˜ , whose expression is given in Equation (1), where R e q c r i t is the critical Reynolds number when the boundary layer is first unstable.
n ˜ = R e q c r i t R e q d n ˜ d R e q d R e q
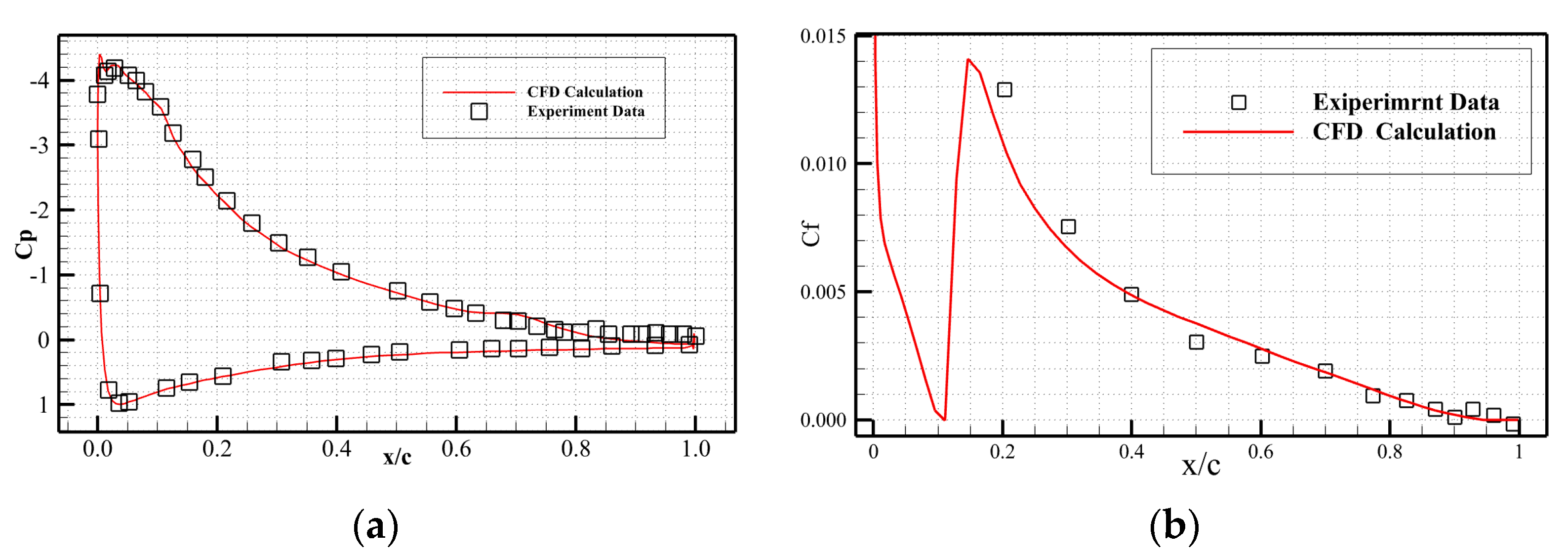
When the critical value N c r i t is reached, the laminar transition is considered to happen, the N c r i t value of this paper is taken as 9 which is generally considered to be close to the wind tunnel test results [11]. The free transition calculation of Aeropatiale-A airfoil at an angle of 13.3° is shown in Figure 3, the Reynolds number is 2.1 × 10 6 .The experimental data is from the ONERA center F2 wind tunnel [12]. Since Xfoil has a fast computational speed in aerodynamic calculation using the penal method, this paper chooses to use it combined with Monte Carlo analysis directly for robust optimization which could achieve high aerodynamic accuracy, as well as keep the computational cost within an affordable range.

2.3. Optimization Method

The NSGA-II algorithm used in this paper is an improvement of the NSGA evolutionary algorithm proposed by K. Deb and S. Agrawal [13], which is an efficient multi-objective optimization algorithm used in aerodynamic optimization [14,15]. The optimization processes are as follows: (1) generate an initial population containing N individuals randomly, (2) calculate the crowding distance among the initial population individuals and perform a non-dominated sorting, (3) select, crossover, mutate and establish a subpopulation of size N, (4) merge parent and offspring populations, calculate the crowding distance for non-dominated sorting to select the best N individuals, and generate a new population, (5) judge whether the setting number of generations is reached, if not continue the process, otherwise the algorithm ends and outputs the pareto optimal solution. The parameters used in the NSGA-II algorithm of this paper are shown in Table 1.

2.4. Parameterization Method

CST parameterization method is a frequently used airfoil parameterization method [16,17,18] firstly proposed by Kufman [19] in 2008. Its core idea is to modify the class functions by shape functions which is constructed by Bezier polynomials to describe the airfoil geometric shape, as shown in Equation (2).
y u = C ( x ) S u ( x ) + x y T E u y l = C ( x ) S l ( x ) + x y T E l
where y u and y l are the vertical coordinates of the upper and lower surface of airfoil respectively, the class function C(x) is: C ( x ) = x N 1 ( 1 x ) N 2 , for normal airfoils N1 and N2 are taken as 0.5 and 1. The shape function S ( x ) is defined as shown in (3), A u i and A l i are the coefficients to be determined, S i ( x ) are Bernstein polynomials as shown in Equation (3).
S u ( x ) = i = 0 N A u i S i ( x ) S l ( x ) = i = 0 N A l i S i ( x ) S i ( x ) = N ! i ! ( N i ) ! x i ( 1 x ) N i
It distinguishes the orders according to the different orders of Bernstein polynomials. The eighth-order method is used in this paper, and its’ fitting results to NLF-0215 airfoil and fitting accuracy are shown in Figure 4 and Figure 5, respectively. It can be seen that the differences between the fitting airfoil and the original airfoil are less than 1.0 × 10 3 times the chord length, which is an acceptable range.

2.5. Monte Carlo Method

The Monte Carlo method uses repeated statistical tests to solve physical and mathematical problems. It describes random variables by probability distribution. During a Monte Carlo simulation, samples are first randomly selected according to the setting probability distribution, then the statistical properties, such as the mean as well as the variance of the samples, are analyzed. It has two sample picking methods: simple random sampling and descriptive sampling. Simple random sampling randomly distributes the points according to the probability density within the set range, as shown in the left of Figure 6; x1 and x2 are the two independent variables. The descriptive sampling method divides the random variables in space according to setting probability firstly, and then distributes points in divided space according to uniform distribution. The descriptive sampling method can greatly reduce the number of points and improve efficiency compared with simple random sampling, as shown in the right of Figure 6.

3. Surface Contamination Simulation

We performed the related aerodynamic analysis to obtain further understanding about the effect of surface contamination. Figure 7 shows the NLF-1015 airfoil, which is a high-performance natural laminar flow airfoil designed for Reynolds number range 0.8 × 10 6 ~ 2.0 × 10 6 [20]. To verify the effects of surface contamination on its aerodynamic performance, three sets of roughness bands are laid on the upper and lower surface at 0.2, 0.4, and 0.6 times the chord length position. At the same time, we assume that laminar transition happens once the flow passes through the roughness bands.
Figure 8 shows the aerodynamic calculation results of the airfoil at Reynolds number 1.4 × 10 6 . It can be seen that the minimum drag coefficient of the airfoil becomes significantly larger with the forward movement of the roughness bands position, the aerodynamic efficiency becomes worse too. It directly proves directly that optimizing a NLF airfoil that can maintain high-performance under the influence of random surface contamination is an important issue.

4. Normal Optimization

4.1. Optimization Settings

In order to compare the differences between the results of robust optimization and traditional airfoil optimization, normal optimization is taken at first. A total of 30% of the absolute value is taken as the fluctuation range; the parameter ranges are shown in Table 2, where U 1 is the parameters of the upper surface and D 1 is the parameters of the lower surface.
The drag coefficient under the lift coefficient of 1.0 C d C l = 1.0 is set as the optimization target, and the maximum camber is constrained to less than 0.05 times the chord length and the maximum thickness more than 0.15 times the chord length, in order to ensure the structural strength of the 3D wing, as well as to ensure the pitching moment is not too small. The optimization problem is formulated as follows: finding a suitable set of parameters x so that,
O b j e c t i v e m i n C d C l = 1.0 ( x ) s . t . M a x C a m b e r < 0 . 5 M a x T h i c k n e s s > 0 . 15

4.2. Optimization Results

Figure 9 shows the convergence process of the normal optimization. It can be also seen that the aerodynamic performance of this optimization basically converges after 500 steps.
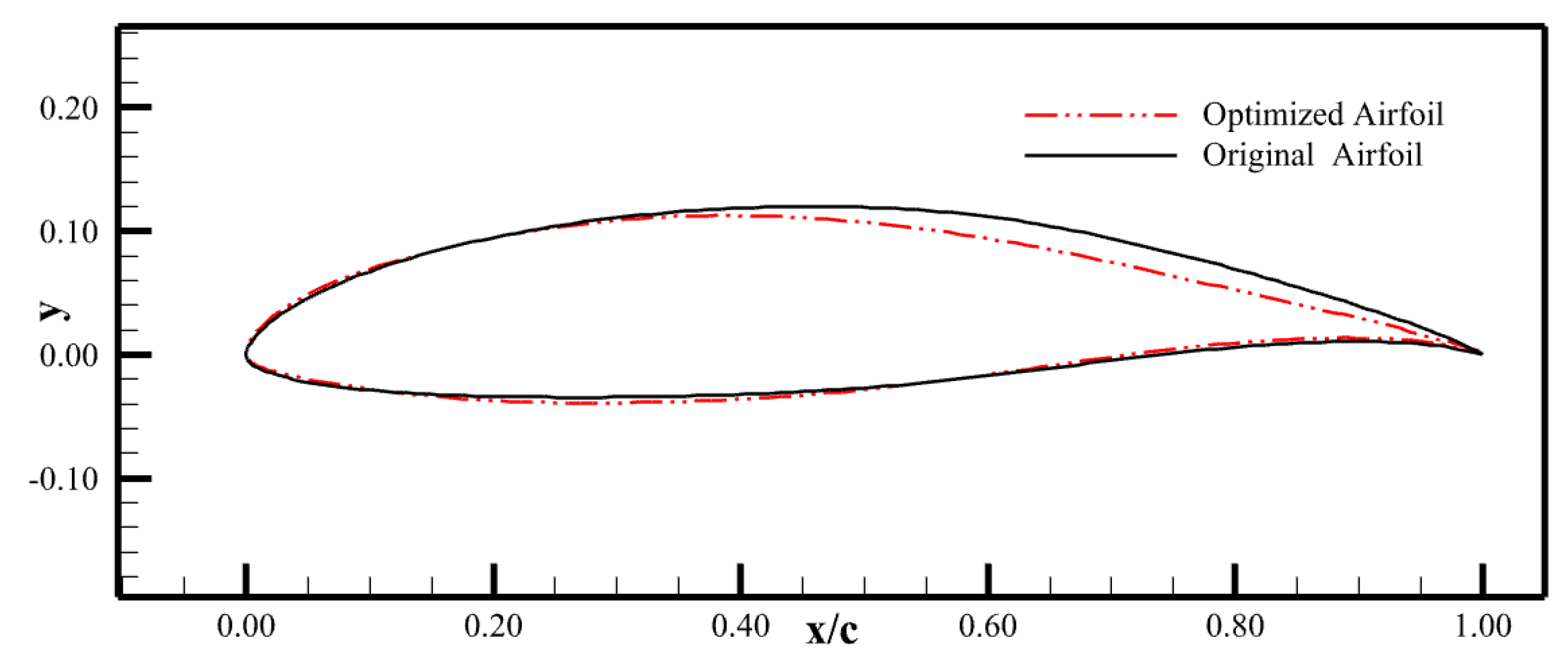
The shape changes before and after normal optimization are compared, as shown in Figure 10. It is found that the maximum camber and maximum thickness of the airfoil are basically unchanged, the position of maximum camber is shifted forward by 11%, and the position of maximum thickness is unchanged. The little there is change indicates that the original airfoil already has a good performance in a clean configuration.
Table 3 shows the comparison of the aerodynamic performance before and after normal optimization. C d C l = 1.0 is reduced by 8% and the pitching moment remains the same.
Further analysis of the airfoil characteristics before and after optimization is shown in Figure 11. It shows that the drag coefficient of the optimized airfoil is significantly reduced in the range of 0.5 to 1.1 in the clean configuration. As a comparison, it is found that the drag coefficient of the optimized airfoil increases compared with the original airfoil when the roughness bands is arranged at 0.4 times the chord length, which indicates that normal optimization is likely to make the aerodynamic performance worse under the same surface contamination.

5. Robust Optimization

5.1. Uncertainty Modeling

Uncertainty modeling is the first step of robust optimization, which includes identifying the uncertainty source and selecting the appropriate description. For the problem studied in this paper, the source of contamination on the airfoil surface is set as the roughness bands, the position of the roughness bands is set as the uncertainty variable of the problem, and the transition occurs once the roughness bands are passed. The probability distribution range of the roughness bands is set between 0~0.7 times the chord length, considering the fact the transition positions of laminar flow airfoil are mostly within 0.7 times the chord length. Case 1 assumes that the uncertainty variable follows a triangular distribution considering the linear superposition of perturbation which is caused by uniform surface contamination effects, while case 2 takes a uniform distribution in order to increase the diversity of the assumptions and the persuasiveness of the final results, as shown in Figure 12.
Figure 13 shows the results of 200 sets of roughness bands on the upper and lower airfoil surface sampled by Monte Carlo descriptive sampling method according to the triangular distribution, and the corresponding aerodynamic calculation results. It can be seen that the distribution of sample points is consistent with the assumed probability distribution. It is also found that the drag coefficient characteristics are strongly associated with the location of the transition point on the upper surface, which shows an obviously linear relationship.

5.2. Optimization Settings

The robust optimization parameter range and optimization algorithm setting are the same as normal optimization. The main differences are the uncertainties and the number of optimization targets. Robust optimization needs to optimize the mean and variance of the drag coefficient when the lift coefficient is 1.0, the maximum camber is set to less than 5% times the chord length, and the maximum thickness is not less than 15% times chord length, as well as ensure that the friction band distribution satisfies the setting probability distribution. The robust optimization can be expressed as follows: finding a suitable set of parameters x so that
O b j e c t i v e m i n E [ C d C l = 1.0 ( x ) ] ,   δ [ C d C l = 1.0 ( x ) ] s . t . X u p p e r Tran P ( X 1 = x 1 ) X l o w e r Tran P ( X 2 = x 2 ) M a x C a m b e r < 0 . 5 M a x T h i c k n e s s > 0 . 15
where X u p p e r Tran X l o w e r Tran are the position of upper and lower friction band, respectively. E [ C d C l = 1.0 ( x ) ]   δ [ C d C l = 1.0 ( x ) ] are mean and standard deviation of C d C l = 1.0 ( x ) . P ( X 1 = x 1 ) is the probability distribution of the upper airfoil friction band position x 1 , which takes the triangular distribution and the uniform distribution in case 1 and case 2, respectively, and x 2 is the same.

5.3. Triangular Distribution

The upper and lower airfoil roughness bands are triangularly distributed between 0~0.7 of the chord length on the airfoil in case 1. Figure 14 shows the optimization pareto front marked by the red dots. After trade-offs between the mean and variance of C d C l = 1.0 , the green point is selected as the final optimization results, owing to its’ smallest sum.
The change in airfoil shape before and after robust optimization can be seen in Figure 15. The thickness remains the same, the thickness position is shifted forward by 21%, the maximum camber is reduced by 13%, the camber position is shifted forward by 61%, and the leading edge radius is slightly increased.
The results of the uncertainty analysis for the original airfoil, the normal optimized airfoil, and the robust optimized airfoil are compared, as shown in Table 4. It can be seen that the mean value of robust optimized airfoil’s C d C l = 1.0 is slightly decreased compared to the original airfoil and the standard deviation is reduced by 47%, while the normal optimization airfoil only reduces the minimum value of C d C l = 1.0 , while the mean and standard deviation are worse. This indicates that the robust optimized airfoil is less sensitive to the random effects of surface contamination.
Further aerodynamic analysis of the airfoil is shown in Figure 16, which shows that the aerodynamic performance of the robust optimized airfoil is inferior to that of original airfoil in a clean configuration, but after setting the friction band located at 0.4 times the chord length, the results shows that the robust optimized airfoil is better than the original airfoil in terms of both the range of the low drag region and the magnitude of the drag coefficient. This is because the trend of robust optimization considering the surface contamination is to increase the aerodynamic efficiency at the more forward transition point. Actually, the upper and lower airfoil transition after robust optimization is at 0.45 and 0.6 times the chord length, respectively, at a lift coefficient of 1.0, which is closer to the leading edge than the original airfoil.

5.4. Uniform Distribution

The upper and lower airfoil roughness bands are set to a uniform distribution between 0~0.7 of the chord length on the airfoil. Figure 17 shows the optimization results with pareto front marked by the red dots. After trade-offs between the mean and variance of C d C l = 1.0 , the green point is finally selected as the optimization result, owing to its’ smallest sum.
Comparing the change in airfoil shape before and after robust optimization as shown in Figure 18, the thickness remains the same, thickness position is shifted forward by 12%, the maximum camber is reduced by 20%, and the maximum camber position is shifted forward by 12%.
The results of the uncertainty analysis for the original airfoil, the normal optimized airfoil, and the robust optimized airfoil are compared, as shown in Table 5. It can be seen that the C d C l = 1.0 mean value of the robust optimization result is reduced by 7% compared to the original airfoil and the standard deviation is reduced by 28%, while the normal optimization’s mean and standard deviation become worse.
Further aerodynamic analysis of the robust optimization airfoil is shown in Figure 19 which shows that the aerodynamic performance of the robust optimized airfoil is slightly worse than that of the original airfoil in a clean configuration. After setting the friction band at 0.4 times the chord length, the robustly optimized airfoil performs better than the original airfoil in both the range of low drag region and the drag coefficient.

6. Conclusions

This paper firstly proposes a NLF airfoil robust optimization method under random surface contamination and obtains several new findings, as listed below:
(1)
The normal optimization can reduce the minimum value of the drag coefficient under the set working condition considering the surface contamination, but its mean and standard deviation deteriorate;
(2)
Under the assumption that the surface contamination is triangularly distributed, the mean value of drag reduces slightly, and standard deviation is reduced by 47% after robust optimization;
(3)
Under the assumption of a uniform distribution of surface contamination, the mean value of the drag coefficient is reduced by 7%, and the standard deviation is reduced by 28% after robust optimization.
In general, the airfoil after robust optimization adapts to the random surface contamination better than the original airfoil and normally optimized airfoil, which basically achieves the objective of this paper. At the same time, it should be noted that the paper does not quantify the roughness of the friction band and, instead, assumes that laminar transition happens once the flow passes through the friction band. Considering that the surface roughness is different for wings made by different materials and techniques, this assumption does not fully reflect the reality; this will be the direction of future research.

Author Contributions

Conceptualization, S.W. and Z.G.; Data curation, S.W.; Formal analysis, S.W. All authors have read and agreed to the published version of the manuscript.

Funding

This research received no external funding.

Institutional Review Board Statement

Not applicable.

Informed Consent Statement

Not applicable.

Data Availability Statement

Not applicable.

Conflicts of Interest

The authors declare no conflict of interest.

References

  1. Chen, Y.; Tang, Z. Natural laminar flow airfoil shape design at transonic regimes with multi-objective evolutionary algorithms. Proc. Inst. Mech. Eng. Part G J. Aerosp. Eng. 2017, 233, 991–999. [Google Scholar] [CrossRef]
  2. Shi, Y.; Mader, C.A.; He, S.; Halila, G.L.O.; Martins, J.R.R.A. Natural Laminar-Flow Airfoil Optimization Design Using a Discrete Adjoint Approach. AIAA J. 2020, 58, 4702–4722. [Google Scholar] [CrossRef]
  3. Zhong-Hua, H.; Jing, C.; Ke-Shi, Z.; Xu, Z.-M.; Zhu, Z.; Song, W.P. Aerodynamic Shape Optimization of Natural-Laminar-Flow Wing Using Surrogate-Based Approach. AIAA J. 2018, 56, 2579–2593. [Google Scholar]
  4. Tao, J.; Sun, G.; Guo, L.; Wang, X. Application of a PCA-DBN-based surrogate model to robust aerodynamic design optimization. Chin. J. Aeronaut. 2020, 33, 1573–1588. [Google Scholar] [CrossRef]
  5. Zhang, X.; Wu, Z.; He, W. An effective approach for robust design optimization of wind turbine airfoils with random aerodynamic variables. Adv. Mech. Eng. 2019, 11, 1687–8132. [Google Scholar] [CrossRef]
  6. Li, H.; Zhang, Y.; Chen, H. Optimization design of airfoils under atmospheric icing conditions for UAV. Chin. J. Aeronaut. 2022, 35, 118–133. [Google Scholar] [CrossRef]
  7. Kok, M.; Mertens, T.; Raps, D.; Young, T.M. Influence of surface characteristics on insect residue adhesion to aircraft leading edge surfaces. Prog. Org. Coat. 2013, 76, 1567–1575. [Google Scholar] [CrossRef]
  8. Buzica, A.; Knoth, F.; Breitsamter, C.; Knoth, F.; Breitsamter, C. Leading-Edge Roughness Affecting Diamond-Wing Aerodynamic Characteristics. Aerospace 2018, 5, 98. [Google Scholar] [CrossRef]
  9. Bak, C.; Gaunaa, M.; Olsen, A.S.; Kruse, E.K. What is the critical height of leading-edge roughness for aerodynamics. J. Phys. Conf. Ser. 2016, 753, 022023. [Google Scholar] [CrossRef]
  10. Drela, M. XFOIL: An Analysis and Design System for Low Reynolds Number Airfoils. In Proceedings of the Conference on Low Reynolds Number Airfoil Aerodynamics, University of Notre Dame, Notre Dame, IN, USA, 5–7 June 1989. [Google Scholar]
  11. Drela, M.; Giles, M.B. Viscous-inviscid analysis of transonic and low Reynolds number airfoils. Am. Inst. Aeronaut. Astronaut. 1987, 25, 1347–1355. [Google Scholar] [CrossRef]
  12. Langtry, R.B. A correlation-Based Transition Model Using Local Variables for Unstructured Parallelized CFD Codes; Stuttgart University Report; Stuttgart University: Stuttgart, Germany, 2006. [Google Scholar]
  13. Deb, K.; Pratap, A.; Agarwal, S.; Meyarivan, T. A fast and elitist multiobjective genetic algorithm: NSGA-II. IEEE Trans. Evolut. Comput. 2002, 6, 182–197. [Google Scholar] [CrossRef] [Green Version]
  14. Huan, Z.; Zhenghong, G.; Fang, X.; Yidian, Z. Review of Robust Aerodynamic Design Optimization for Air Vehicles. Arch. Comput. Methods Eng. 2018, 26, 685–732. [Google Scholar] [CrossRef]
  15. Bakar, A.; Li, K.; Liu, H.; Xu, Z.; Alessandrini, M.; Wen, D. Multi-Objective Optimization of Low Reynolds Number Airfoil Using Convolutional Neural Network and Non-Dominated Sorting Genetic Algorithm. Aerospace 2022, 19, 35. [Google Scholar] [CrossRef]
  16. Wang, Y.; Deng, L.; Wan, Y.; Yang, Z.; Yang, W.; Chen, C.; Zhao, D.; Wang, F.; Guo, Y. An Intelligent Method for Predicting the Pressure Coefficient Curve of Airfoil-Based Conditional Generative Adversarial Networks. IEEE Trans. Neural Netw. Learn. Syst. 2021, 1–15. [Google Scholar] [CrossRef] [PubMed]
  17. Xiaojing, W.; Zhang, W.; Peng, X.; Wang, Z. Benchmark aerodynamic shape optimization with the POD-based CST airfoil parametric method. Aerosp. Sci. Technol. 2019, 9, 632–640. [Google Scholar]
  18. Akram, T.; Kim, M.-H. Aerodynamic Shape Optimization of NREL S809 Airfoil for Wind Turbine Blades Using Reynolds-Averaged Navier Stokes Model—Part II. Appl. Sci. 2021, 11, 2211. [Google Scholar] [CrossRef]
  19. Kulfan, B.M. A Universal Parametric Geometry Representation Method “CST”. Journey Aircr. 2008, 45, 142–158. [Google Scholar] [CrossRef]
  20. Mauchmer, M.D.; Somers, D.M. Design and experimental results for a high-altitude, long-endurance airfoil. J. Aircraft 1989, 26, 148–153. [Google Scholar] [CrossRef]
Figure 1. Wing surface defects. (a) wing of conventional configuration UAV; (b) wing of flying wing UAV.
Figure 1. Wing surface defects. (a) wing of conventional configuration UAV; (b) wing of flying wing UAV.
Applsci 12 08757 g001
Figure 2. Flow chart of robust optimization.
Figure 2. Flow chart of robust optimization.
Applsci 12 08757 g002
Figure 3. Verification of pressure and surface friction distribution. (a) Pressure distribution; (b) Friction coefficient distribution.
Figure 3. Verification of pressure and surface friction distribution. (a) Pressure distribution; (b) Friction coefficient distribution.
Applsci 12 08757 g003
Figure 4. NLF-1015 airfoil fitting results of CST method.
Figure 4. NLF-1015 airfoil fitting results of CST method.
Applsci 12 08757 g004
Figure 5. Fitting accuracy of the 8th-order CST parameterization method.
Figure 5. Fitting accuracy of the 8th-order CST parameterization method.
Applsci 12 08757 g005
Figure 6. Comparison of sampling methods of Monte Carlo analysis. (a) Simple random sampling; (b) Descriptive sampling.
Figure 6. Comparison of sampling methods of Monte Carlo analysis. (a) Simple random sampling; (b) Descriptive sampling.
Applsci 12 08757 g006
Figure 7. NLF-1015 airfoil and roughness bands’ distribution.
Figure 7. NLF-1015 airfoil and roughness bands’ distribution.
Applsci 12 08757 g007
Figure 8. Aerodynamic performance of NLF-1015 under different roughness bands.
Figure 8. Aerodynamic performance of NLF-1015 under different roughness bands.
Applsci 12 08757 g008
Figure 9. Normal optimization convergence process.
Figure 9. Normal optimization convergence process.
Applsci 12 08757 g009
Figure 10. Comparison of shape before and after normal optimization.
Figure 10. Comparison of shape before and after normal optimization.
Applsci 12 08757 g010
Figure 11. Comparison of aerodynamic performance after normal optimization.
Figure 11. Comparison of aerodynamic performance after normal optimization.
Applsci 12 08757 g011
Figure 12. Roughness bands location probability distribution.
Figure 12. Roughness bands location probability distribution.
Applsci 12 08757 g012
Figure 13. Monte Carlo sample points and aerodynamic results. (a) Monte Carlo sample points’ distribution; (b) Distribution of drag coefficient.
Figure 13. Monte Carlo sample points and aerodynamic results. (a) Monte Carlo sample points’ distribution; (b) Distribution of drag coefficient.
Applsci 12 08757 g013
Figure 14. Robust optimization pareto front based on triangular probability distribution.
Figure 14. Robust optimization pareto front based on triangular probability distribution.
Applsci 12 08757 g014
Figure 15. Comparison of airfoils before and after robust optimization based on triangular probability distribution.
Figure 15. Comparison of airfoils before and after robust optimization based on triangular probability distribution.
Applsci 12 08757 g015
Figure 16. Comparison of aerodynamic performance after robust optimization based on triangular probability distribution.
Figure 16. Comparison of aerodynamic performance after robust optimization based on triangular probability distribution.
Applsci 12 08757 g016
Figure 17. Robust optimization pareto front based on uniform probability distribution.
Figure 17. Robust optimization pareto front based on uniform probability distribution.
Applsci 12 08757 g017
Figure 18. Comparison of airfoils before and after robust optimization after robust optimization based on uniform probability distribution.
Figure 18. Comparison of airfoils before and after robust optimization after robust optimization based on uniform probability distribution.
Applsci 12 08757 g018
Figure 19. Comparison of aerodynamic performance after robust optimization based on uniform probability distribution.
Figure 19. Comparison of aerodynamic performance after robust optimization based on uniform probability distribution.
Applsci 12 08757 g019
Table 1. Parameter settings of algorithm.
Table 1. Parameter settings of algorithm.
ParameterValue
Population size12
Crossover rate0.9
Number of population generations200
Probability of variation0.01
Table 2. Optimized parameter settings.
Table 2. Optimized parameter settings.
ParameterInitial ValueRangeParameterInitial ValueRange
U 1 0.160.11~0.21 D 1 −0.12−0.16~−0.08
U 2 0.350.25~0.45 D 2 −0.06−0.08~−0.03
U 3 0.090.06~0.12 D 3 −0.16−0.20~−0.12
U 4 0.620.42~0.82 D 4 0.00−0.05~0.05
U 5 −0.11−0.14~−0.08 D 5 −0.13−0.20~0.00
U 6 0.840.60~1.00 D 6 −0.15−0.20~−0.10
U 7 0.060.04~0.08 D 7 0.110.07~0.15
U 8 0.490.34~0.65 D 8 −0.06−0.08~−0.04
U 9 0.420.29~0.55 D 9 0.300.20~0.40
Table 3. Optimized results.
Table 3. Optimized results.
Airfoils C d C l = 1.0 C m C l = 1.0
Optimized airfoil0.00585−0.20
Original airfoil0.00635−0.20
Table 4. Comparison of optimization results.
Table 4. Comparison of optimization results.
AirfoilsMeanStandard DeviationMaximum ValueMinimum Value
Original0.00860.00190.01360.0064
Normal optimization0.00900.00220.01550.0055
Robust optimization0.00850.00100.01250.0078
Table 5. Comparison of optimization results.
Table 5. Comparison of optimization results.
AirfoilsMeanStandard DeviationMaximum ValueMinimum Value
Original0.01020.00250.01510.0063
Normal optimization0.01080.00270.01590.0066
Robust optimization0.00950.00180.00130.0069
Publisher’s Note: MDPI stays neutral with regard to jurisdictional claims in published maps and institutional affiliations.

Share and Cite

MDPI and ACS Style

Wang, S.; Guo, Z. Robust Optimization of Natural Laminar Flow Airfoil Based on Random Surface Contamination. Appl. Sci. 2022, 12, 8757. https://doi.org/10.3390/app12178757

AMA Style

Wang S, Guo Z. Robust Optimization of Natural Laminar Flow Airfoil Based on Random Surface Contamination. Applied Sciences. 2022; 12(17):8757. https://doi.org/10.3390/app12178757

Chicago/Turabian Style

Wang, Shunshun, and Zheng Guo. 2022. "Robust Optimization of Natural Laminar Flow Airfoil Based on Random Surface Contamination" Applied Sciences 12, no. 17: 8757. https://doi.org/10.3390/app12178757

APA Style

Wang, S., & Guo, Z. (2022). Robust Optimization of Natural Laminar Flow Airfoil Based on Random Surface Contamination. Applied Sciences, 12(17), 8757. https://doi.org/10.3390/app12178757

Note that from the first issue of 2016, this journal uses article numbers instead of page numbers. See further details here.

Article Metrics

Back to TopTop