Sign in to use this feature.

Years

Between: -

Subjects

remove_circle_outline
remove_circle_outline
remove_circle_outline
remove_circle_outline
remove_circle_outline
remove_circle_outline
remove_circle_outline
remove_circle_outline
remove_circle_outline

Journals

Article Types

Countries / Regions

Search Results (53)

Search Parameters:
Keywords = Weibull mixture model

Order results
Result details
Results per page
Select all
Export citation of selected articles as:
35 pages, 4673 KB  
Article
Advances in Discrete Lifetime Modeling: A Novel Discrete Weibull Mixture Distribution with Applications to Medical and Reliability Studies
by Doha R. Salem, Mai A. Hegazy, Hebatalla H. Mohammad, Zakiah I. Kalantan, Gannat R. AL-Dayian, Abeer A. EL-Helbawy and Mervat K. Abd Elaal
Symmetry 2025, 17(12), 2140; https://doi.org/10.3390/sym17122140 - 12 Dec 2025
Viewed by 276
Abstract
In recent years, there has been growing interest in discrete probability distributions due to their ability to model the complex behavior of real-world count data. In this paper, a new discrete mixture distribution based on two Weibull components is introduced, constructed using the [...] Read more.
In recent years, there has been growing interest in discrete probability distributions due to their ability to model the complex behavior of real-world count data. In this paper, a new discrete mixture distribution based on two Weibull components is introduced, constructed using the general discretization approach. Several important statistical properties of the proposed distribution, including the survival function, hazard rate function, alternative hazard rate function, moments, quantile function, and order statistics are derived. It was concluded from the descriptive measures that the discrete mixture of two Weibull distributions transitions from being positively skewed with heavy tails to a more symmetric and light-tailed form. This demonstrates the high flexibility of the discrete mixture of two Weibull distributions in capturing a wide range of shapes as its parameter values vary. Estimation of the parameters is performed via maximum likelihood under Type II censoring scheme. A simulation study assesses the performance of the maximum likelihood estimators. Furthermore, the applicability of the proposed distribution is demonstrated using two real-life datasets. In summary, this paper constructs the discrete mixture of two Weibull distributions, investigates its statistical characteristics, and estimates its parameters, demonstrating its flexibility and practical applicability. These results highlight its potential as a powerful tool for modeling complex discrete data. Full article
Show Figures

Figure 1

24 pages, 1766 KB  
Article
Mixture Probability Distributions for Low-Flow Frequency Analysis in Mexico: Implications for Environmental Impact Assessment, Drought Management, and Regional Water Policy
by Carlos Escalante-Sandoval
Environments 2025, 12(12), 450; https://doi.org/10.3390/environments12120450 - 21 Nov 2025
Viewed by 765
Abstract
Reliable estimation of low-flow statistics is essential for water quality regulation, ecological protection, and drought management. This study evaluates traditional univariate and two-component Mixture Probability Distributions for modeling 7-day annual minimum flows (7Q) using records from 293 gauging stations across Mexico’s 37 hydrological [...] Read more.
Reliable estimation of low-flow statistics is essential for water quality regulation, ecological protection, and drought management. This study evaluates traditional univariate and two-component Mixture Probability Distributions for modeling 7-day annual minimum flows (7Q) using records from 293 gauging stations across Mexico’s 37 hydrological planning regions, each with at least 20 years of data. Candidate models include Lognormal-3, Gamma-3, Gumbel, Weibull-3, and mixtures (Gumbel–Gumbel, Gumbel–Weibull-3, Weibull-3–Gumbel, Weibull-3–Weibull-3). Parameters are estimated by maximum likelihood, goodness-of-fit is assessed with Kolmogorov–Smirnov and Anderson–Darling tests. Sampling uncertainty is quantified via nonparametric bootstrap, providing 95% confidence intervals for design return levels, including 7Q10. Mixture models are selected as the best fit at 253 of 293 stations (86.3%), with Weibull-3–Weibull-3 dominating (45.1% of all stations) followed by Gumbel–Weibull-3 and Weibull-3–Gumbel; univariate models account for only 13.7% of cases, mainly Lognormal-3, and Gumbel alone is never preferred. Gumbel-only and symmetric G–G mixtures yield negative low-flow return levels at some sites and are therefore considered physically implausible. In contrast, mixtures containing Weibull-3 components ensure non-negative support, provide superior fit to the lower tail, and generally produce narrower bootstrap confidence intervals than the best univariate alternatives, indicating more stable and defensible 7Q10 estimates and providing an additional criterion to distinguish between models with similar goodness-of-fit statistics. These findings have direct implications for Environmental Impact Assessment, effluent permitting, ecological flow setting, drought planning, and regional water policy. The results support integrating Weibull-based mixtures—especially Weibull-3–Weibull-3 and Gumbel–Weibull-3—into Mexico’s national framework for low-flow frequency analysis and regulatory design. Full article
Show Figures

Figure 1

23 pages, 8886 KB  
Article
Characteristics and Microstructure of Self-Compacting Lightweight Aggregate Concrete with Manufactured Sand Under Freeze–Thaw Environment
by Shuyun Zhang, Baiya Li, Meng Chen and Huijuan Dai
Buildings 2025, 15(22), 4123; https://doi.org/10.3390/buildings15224123 - 16 Nov 2025
Viewed by 480
Abstract
To promote the sustainable application of self-compacting lightweight aggregate concrete (SCLC) in cold regions and mitigate river sand shortages by substitution, this study investigates the impact of manufactured sand (MS) content on its freeze–thaw resistance. However, the micro-damage mechanism and a reliable damage [...] Read more.
To promote the sustainable application of self-compacting lightweight aggregate concrete (SCLC) in cold regions and mitigate river sand shortages by substitution, this study investigates the impact of manufactured sand (MS) content on its freeze–thaw resistance. However, the micro-damage mechanism and a reliable damage model for MS-SCLC under freeze–thaw conditions remain lacking. Five groups of SCLC with varied manufactured sand content (0%, 30%, 60%, 80%, and 100%) were prepared. This study examined the behavior of SCLC under freeze–thaw conditions, with a focus on its frost durability and microstructural evolution. Furthermore, an SCLC freeze–thaw damage model for the manufactured sand content was established based on the Weibull distribution. Increasing the manufactured sand content conferred benefits on the compressive strength loss rate and relative dynamic elastic modulus; however, it had adverse consequences for the apparent morphology and mass loss rate. In conclusion, the SCLC mixture containing 60% manufactured sand displayed superior frost resistance, demonstrating a mass loss rate of 4.79%, a relative dynamic elastic modulus of 0.624, and a compressive strength loss rate of 38.46% after 200 freeze–thaw cycles. The identified optimal MS content (60%) and the established Weibull-based damage model provide crucial quantitative guidance for designing durable MS-SCLC structures in freeze–thaw environments. Full article
(This article belongs to the Section Building Materials, and Repair & Renovation)
Show Figures

Figure 1

26 pages, 4641 KB  
Article
Dynamic Spatio-Temporal Modeling for Vessel Traffic Flow Prediction with FSTformer
by Dong Zhang, Haichao Xu, Yongfeng Guo, Shaoxi Li, Yinyin Lu and Mingyang Pan
J. Mar. Sci. Eng. 2025, 13(9), 1822; https://doi.org/10.3390/jmse13091822 - 20 Sep 2025
Cited by 1 | Viewed by 890
Abstract
With the rapid growth of global shipping, accurate vessel traffic prediction is essential for waterway management and navigation safety. This study proposes the Fusion Spatio-Temporal Transformer (FSTformer) to address non-Gaussianity, non-stationarity, and spatiotemporal heterogeneity in traffic flow prediction. FSTformer incorporates a Weibull–Gaussian Transformation [...] Read more.
With the rapid growth of global shipping, accurate vessel traffic prediction is essential for waterway management and navigation safety. This study proposes the Fusion Spatio-Temporal Transformer (FSTformer) to address non-Gaussianity, non-stationarity, and spatiotemporal heterogeneity in traffic flow prediction. FSTformer incorporates a Weibull–Gaussian Transformation for distribution normalization, a hybrid Transformer encoder with Heterogeneous Mixture-of-Experts (HMoE) to model complex dependencies, and a Kernel MSE loss function to enhance robustness. Experiments on AIS data from the Fujiangsha waters of the Yangtze River show that FSTformer consistently outperforms baseline models across multiple horizons. Compared with the best baseline (STEAformer), it reduces MAE, RMSE, and MAPE by 3.9%, 1.8%, and 6.3%, respectively. These results demonstrate that FSTformer significantly improves prediction accuracy and stability, offering reliable technical support for intelligent shipping and traffic scheduling in complex waterways. Full article
(This article belongs to the Section Ocean Engineering)
Show Figures

Figure 1

24 pages, 7349 KB  
Article
Return Level Prediction with a New Mixture Extreme Value Model
by Emrah Altun, Hana N. Alqifari and Kadir Söyler
Mathematics 2025, 13(17), 2705; https://doi.org/10.3390/math13172705 - 22 Aug 2025
Viewed by 987
Abstract
The generalized Pareto distribution is frequently used for modeling extreme values above an appropriate threshold level. Since the process of determining the appropriate threshold value is difficult, a mixture of extreme value models rises to prominence. In this study, mixture extreme value models [...] Read more.
The generalized Pareto distribution is frequently used for modeling extreme values above an appropriate threshold level. Since the process of determining the appropriate threshold value is difficult, a mixture of extreme value models rises to prominence. In this study, mixture extreme value models based on exponentiated Pareto distribution are proposed. The Weibull, gamma, and log-normal models are used as bulk densities. The parameter estimates of the proposed models are obtained using the maximum likelihood approach. Two different approaches based on maximization of the log-likelihood and Kolmogorov–Smirnov p-value are used to determine the appropriate threshold value. The effectiveness of these methods is compared using simulation studies. The proposed models are compared with other mixture models through an application study on earthquake data. The GammaEP web application is developed to ensure the reproducibility of the results and the usability of the proposed model. Full article
(This article belongs to the Special Issue Mathematical Modelling and Applied Statistics)
Show Figures

Figure 1

24 pages, 1566 KB  
Article
Finite Mixture Models: A Key Tool for Reliability Analyses
by Marko Nagode, Simon Oman, Jernej Klemenc and Branislav Panić
Mathematics 2025, 13(10), 1605; https://doi.org/10.3390/math13101605 - 14 May 2025
Viewed by 1234
Abstract
As system complexity increases, accurately capturing true system reliability becomes increasingly challenging. Rather than relying on exact analytical solutions, it is often more practical to use approximations based on observed time-to-failure data. Finite mixture models provide a flexible framework for approximating arbitrary probability [...] Read more.
As system complexity increases, accurately capturing true system reliability becomes increasingly challenging. Rather than relying on exact analytical solutions, it is often more practical to use approximations based on observed time-to-failure data. Finite mixture models provide a flexible framework for approximating arbitrary probability density functions and are well suited for reliability modelling. A critical factor in achieving accurate approximations is the choice of parameter estimation algorithm. The REBMIX&EM algorithm, implemented in the rebmix R package, generally performs well but struggles when components of the finite mixture model overlap. To address this issue, we revisit key steps of the REBMIX algorithm and propose improvements. With these improvements, we derive parameter estimators for finite mixture models based on three parametric families commonly applied in reliability analysis: lognormal, gamma, and Weibull. We conduct a comprehensive simulation study across four system configurations, using lognormal, gamma, and Weibull distributions with varying parameters as system component time-to-failure distributions. Performance is benchmarked against five widely used R packages for finite mixture modelling. The results confirm that our proposal improves both estimation accuracy and computational efficiency, consistently outperforming existing packages. We also demonstrate that finite mixture models can approximate analytical reliability solutions with fewer components than the actual number of system components. Our proposals are also validated using a practical example from Backblaze hard drive data. All improvements are included in the open-source rebmix R package, with complete source code provided to support the broader adoption of the R programming language in reliability analysis. Full article
(This article belongs to the Section E1: Mathematics and Computer Science)
Show Figures

Figure 1

34 pages, 1976 KB  
Article
A Comparative Study of COVID-19 Dynamics in Major Turkish Cities Using Fractional Advection–Diffusion–Reaction Equations
by Larissa Margareta Batrancea, Dilara Altan Koç, Ömer Akgüller, Mehmet Ali Balcı and Anca Nichita
Fractal Fract. 2025, 9(4), 201; https://doi.org/10.3390/fractalfract9040201 - 25 Mar 2025
Viewed by 621
Abstract
Robust epidemiological models are essential for managing COVID-19, especially in diverse urban settings. In this study, we present a fractional advection–diffusion–reaction model to analyze COVID-19 spread in three major Turkish cities: Ankara, Istanbul, and Izmir. The model employs a Caputo-type time-fractional derivative, with [...] Read more.
Robust epidemiological models are essential for managing COVID-19, especially in diverse urban settings. In this study, we present a fractional advection–diffusion–reaction model to analyze COVID-19 spread in three major Turkish cities: Ankara, Istanbul, and Izmir. The model employs a Caputo-type time-fractional derivative, with its order dynamically determined by the Hurst exponent, capturing the memory effects of disease transmission. A nonlinear reaction term models self-reinforcing viral spread, while a Gaussian forcing term simulates public health interventions with adjustable spatial and temporal parameters. We solve the resulting fractional PDE using an implicit finite difference scheme that ensures numerical stability. Calibration with weekly case data from February 2021 to March 2022 reveals that Ankara has a Hurst exponent of 0.4222, Istanbul 0.1932, and Izmir 0.6085, indicating varied persistence characteristics. Distribution fitting shows that a Weibull model best represents the data for Ankara and Istanbul, whereas a two-component normal mixture suits Izmir. Sensitivity analysis confirms that key parameters, including the fractional order and forcing duration, critically influence outcomes. These findings provide valuable insights for public health policy and urban planning, offering a tailored forecasting tool for epidemic management. Full article
Show Figures

Figure 1

30 pages, 2840 KB  
Article
Development and Engineering Applications of a Novel Mixture Distribution: Exponentiated and New Topp–Leone-G Families
by Hebatalla H. Mohammad, Sulafah M. S. Binhimd, Abeer A. EL-Helbawy, Gannat R. AL-Dayian, Fatma G. Abd EL-Maksoud and Mervat K. Abd Elaal
Symmetry 2025, 17(3), 399; https://doi.org/10.3390/sym17030399 - 7 Mar 2025
Viewed by 865
Abstract
In this paper, two different families are mixed: the exponentiated and new Topp–Leone-G families. This yields a new family, which we named the mixture of the exponentiated and new Topp–Leone-G family. Some statistical properties of the proposed family are obtained. Then, the mixture [...] Read more.
In this paper, two different families are mixed: the exponentiated and new Topp–Leone-G families. This yields a new family, which we named the mixture of the exponentiated and new Topp–Leone-G family. Some statistical properties of the proposed family are obtained. Then, the mixture of two exponentiated new Topp–Leone inverse Weibull distribution is introduced as a sub-model from the mixture of exponentiated and new Topp–Leone-G family. Some related properties are studied, such as the quantile function, moments, moment generating function, and order statistics. Furthermore, the maximum likelihood and Bayes approaches are employed to estimate the unknown parameters, reliability and hazard rate functions of the mixture of exponentiated and new Topp–Leone inverse Weibull distribution. Bayes estimators are derived under both the symmetric squared error loss function and the asymmetric linear exponential loss function. The performance of maximum likelihood and Bayes estimators is evaluated through a Monte Carlo simulation. The applicability and flexibility of the MENTL-IW distribution are demonstrated by well-fitting two real-world engineering datasets. The results demonstrate the superior performance of the MENTL-IW distribution compared to other competing models. Full article
(This article belongs to the Section Engineering and Materials)
Show Figures

Figure 1

38 pages, 12587 KB  
Article
Employing Neural Networks, Fuzzy Logic, and Weibull Analysis for the Evaluation of Recycled Brick Powder in Concrete Compositions
by Mohammad Mohtasham Moein, Komeil Rahmati, Ali Mohtasham Moein, Ashkan Saradar, Sam E. Rigby and Amin Akhavan Tabassi
Buildings 2024, 14(12), 4062; https://doi.org/10.3390/buildings14124062 - 21 Dec 2024
Cited by 2 | Viewed by 1361
Abstract
Using construction and demolition (C&D) waste in concrete production is a promising step toward environmental resilience amid the construction industry’s ecological footprint. The extensive history of using bricks in the construction of buildings has resulted in a considerable amount of waste associated with [...] Read more.
Using construction and demolition (C&D) waste in concrete production is a promising step toward environmental resilience amid the construction industry’s ecological footprint. The extensive history of using bricks in the construction of buildings has resulted in a considerable amount of waste associated with this commonly used material. This study aimed to assess the quality of concrete by examining the effect of replacing cement with varying percentages of recycled brick powder (RBP—0% to 50%). The primary objectives include evaluating the mechanical properties of concrete and establishing the feasibility of using RBP as a partial cement substitute. The investigation of target concrete can be divided into two phases: (i) laboratory investigation, and (ii) numerical investigation. In the laboratory phase, the performance of concrete with RBP was assessed under short-term dynamic and various static loads. The drop-weight test recommended by the ACI 544 committee was used to assess the short-term dynamic behavior (352 concrete discs). Furthermore, the behavior under static load was analyzed through compressive, flexural, and tensile strength tests. During the numerical phase, artificial neural network models (ANN) and fuzzy logic models (FL) were used to predict the results of 28-day compressive strength. The impact life with different failure probabilities was predicted based on the impact resistance results, by combining the Weibull distribution model. Additionally, an impact damage evolution equation was presented for mixtures containing RBP. The results show that the use of RBP up to 15% caused a slight decrease in compressive, flexural, and tensile strength (about 3–5%). Also, by replacing RBP up to 15%, the first crack strength decreased by 7.15% and the failure strength decreased by 6.46%. The average error for predicting 28-day compressive strength by FL and ANN models was recorded as 4.66% and 0.87%, respectively. In addition, the results indicate that the impact data follow the two-parameter Weibull distribution, and the R2 value for different mixtures was higher than 0.9275. The findings suggest that incorporating RBP in concrete can contribute to sustainable construction practices by reducing the reliance on cement and utilizing waste materials. This approach not only addresses environmental concerns but also enhances the quality assessment of concrete, offering potential cost savings and resource efficiency for the construction industry. Real-world applications include using RBP-enhanced concrete in non-structural elements, such as pavements, walkways, and landscaping features, where high strength is not the primary requirement. Full article
Show Figures

Figure 1

18 pages, 15267 KB  
Article
Estimation of Forest Stand Volume in Coniferous Plantation from Individual Tree Segmentation Aspect Using UAV-LiDAR
by Xinshao Zhou, Kaisen Ma, Hua Sun, Chaokui Li and Yonghong Wang
Remote Sens. 2024, 16(15), 2736; https://doi.org/10.3390/rs16152736 - 26 Jul 2024
Cited by 8 | Viewed by 3611
Abstract
The main problems of forest parameter extraction and forest stand volume estimation using unmanned aerial vehicle light detection and ranging (UAV-LiDAR) technology are the lack of precision in individual tree segmentation and the inability to directly obtain the diameter at breast height (DBH) [...] Read more.
The main problems of forest parameter extraction and forest stand volume estimation using unmanned aerial vehicle light detection and ranging (UAV-LiDAR) technology are the lack of precision in individual tree segmentation and the inability to directly obtain the diameter at breast height (DBH) parameter. To address such limitations, the study proposed an improved individual tree segmentation method combined with a DBH prediction model to obtain the tree height (H) and DBH for calculating the volume of trees, thus realizing the accurate estimation of forest stand volume from individual tree segmentation aspect. The method involves the following key steps: (1) The local maximum method with variable window combined with the Gaussian mixture model were used to detect the treetop position using the canopy height model for removing pits. (2) The measured tree DBH and H parameters of the sample trees were used to construct an optimal DBH-H prediction model. (3) The duality standing tree volume model was used to calculate the forest stand volume at the individual tree scale. The results showed that: (1) Individual tree segmentation based on the improved Gaussian mixture model with optimal accuracy, detection rate r, accuracy rate p, and composite score F were 89.10%, 95.21%, and 0.921, respectively. The coefficient of determination R2 of the accuracy of the extracted tree height parameter was 0.88, and the root mean square error RMSE was 0.84 m. (2) The Weibull model had the optimal model fit for DBH-H with predicted DBH parameter accuracy, the R2 and RMSE were 0.84 and 2.28 cm, respectively. (3) Using the correctly detected trees from the individual tree segmentation results combined with the duality standing tree volume model estimated the forest stand volume with an accuracy AE of 90.86%. In conclusion, using UAV-LiDAR technology, based on the individual tree segmentation method and the DBH-H model, it is possible to realize the estimation of forest stand volume at the individual tree scale, which helps to improve the estimation accuracy. Full article
(This article belongs to the Section Forest Remote Sensing)
Show Figures

Figure 1

15 pages, 2612 KB  
Article
Valorization of Agricultural By-Products (Fragaria vesca) through the Production of Value-Added Micro/Nanostructures Using Electrohydrodynamic Techniques
by Ana Francisca Couto and Berta N. Estevinho
Foods 2024, 13(8), 1162; https://doi.org/10.3390/foods13081162 - 11 Apr 2024
Cited by 6 | Viewed by 1893
Abstract
An innovative approach for the production of bio-micro/nanostructures with high-value compounds from agricultural by-products was studied. This research aimed to valorize bioactive compounds existing in the by-products of the plants of Fragaria vesca (wild strawberry). The particle characteristics, morphology, size, release properties, and [...] Read more.
An innovative approach for the production of bio-micro/nanostructures with high-value compounds from agricultural by-products was studied. This research aimed to valorize bioactive compounds existing in the by-products of the plants of Fragaria vesca (wild strawberry). The particle characteristics, morphology, size, release properties, and antioxidant activity of micro/nanostructures containing the extract of by-products of the plants of Fragaria vesca or quercetin (one of the main polyphenols in the plant) were analyzed. The electrohydrodynamic (EHD) technique was utilized for encapsulation. The results showed that the morphology and size of the structures were influenced by the concentration of zein, with 10% w/v zein concentration leading to irregular and non-uniform nanostructures, while 20% w/v zein concentration resulted in a mixture of microparticles and thin fibers with an irregular surface. The type and concentration of the core material did not significantly affect the morphology of the micro/nanostructures. In vitro release studies demonstrated the controlled release of the core materials from the zein micro/nanostructures. The release profiles were analyzed using the Korsmeyer–Peppas and Weibull models, which provided insights into the release mechanisms and kinetics. The most relevant release mechanism is associated with “Fickian Diffusion”. The antioxidant activity of the structures was evaluated using an ABTS radical-scavenging assay, indicating their potential as antioxidants. In conclusion, the EHD technique enabled the successful encapsulation of Fragaria vesca by-product extract and quercetin with zein, resulting in micro/nanostructures with different morphologies. Full article
Show Figures

Figure 1

16 pages, 6090 KB  
Article
Evaluation of the Fatigue Performance of Full-Depth Reclamation with Portland Cement Material Based on the Weibull Distribution Model
by Yongxiang Li, Longwei Zhao, Junfeng Gao, Yanyan Ru and Haiwei Zhang
Coatings 2024, 14(4), 437; https://doi.org/10.3390/coatings14040437 - 7 Apr 2024
Cited by 5 | Viewed by 1817
Abstract
The full-depth reclamation with Portland cement (FDR-PC) technology embodies an environmentally friendly approach to solving the damage to old asphalt pavement. Fatigue failure emerges as the predominant mode of degradation for FDR-PC pavement. The fatigue characteristics of the full-depth reclamation with Portland cement [...] Read more.
The full-depth reclamation with Portland cement (FDR-PC) technology embodies an environmentally friendly approach to solving the damage to old asphalt pavement. Fatigue failure emerges as the predominant mode of degradation for FDR-PC pavement. The fatigue characteristics of the full-depth reclamation with Portland cement cold recycled mixtures were evaluated through four-point bending tests. Three contents (4%, 5%, 6%) of cement and three base-to-surface ratios (10:0, 8:2, 6:4) were utilized. The fatigue equations were derived for the mixtures using a two-parameter Weibull distribution. The results indicate that all correlation coefficients of the Weibull distribution model surpass 0.88, effectively projecting the lifespan of FDR-PC. With increases in cement contents and base-to-surface ratios, the fatigue life of the mixture extends, though with an augmentation of stress sensitivity. Comparative analysis with the fatigue equation model parameters of the current Chinese specifications for the design of highway asphalt pavement reveals that mixtures with a 4% cement content and combinations of a 5% cement content with a low base-to-surface ratio meet the requirements for inorganic-binder-stabilized soil. Additionally, mixtures with a 5% cement content and a high base-to-surface ratio, along with those with a 6% cement content, fulfill the specifications for inorganic-binder-stabilized granular materials. Full article
(This article belongs to the Special Issue Novel Cleaner Materials for Pavements)
Show Figures

Figure 1

35 pages, 2277 KB  
Article
Measuring the Risk of Vulnerabilities Exploitation
by Maria de Fátima Brilhante, Dinis Pestana, Pedro Pestana and Maria Luísa Rocha
AppliedMath 2024, 4(1), 20-54; https://doi.org/10.3390/appliedmath4010002 - 24 Dec 2023
Cited by 4 | Viewed by 3240
Abstract
Modeling the vulnerabilities lifecycle and exploitation frequency are at the core of security of networks evaluation. Pareto, Weibull, and log-normal models have been widely used to model the exploit and patch availability dates, the time to compromise a system, the time between compromises, [...] Read more.
Modeling the vulnerabilities lifecycle and exploitation frequency are at the core of security of networks evaluation. Pareto, Weibull, and log-normal models have been widely used to model the exploit and patch availability dates, the time to compromise a system, the time between compromises, and the exploitation volumes. Random samples (systematic and simple random sampling) of the time from publication to update of cybervulnerabilities disclosed in 2021 and in 2022 are analyzed to evaluate the goodness-of-fit of the traditional Pareto and log-normal laws. As censoring and thinning almost surely occur, other heavy-tailed distributions in the domain of attraction of extreme value or geo-extreme value laws are investigated as suitable alternatives. Goodness-of-fit tests, the Akaike information criterion (AIC), and the Vuong test, support the statistical choice of log-logistic, a geo-max stable law in the domain of attraction of the Fréchet model of maxima, with hyperexponential and general extreme value fittings as runners-up. Evidence that the data come from a mixture of differently stretched populations affects vulnerabilities scoring systems, specifically the common vulnerabilities scoring system (CVSS). Full article
Show Figures

Figure 1

27 pages, 12499 KB  
Article
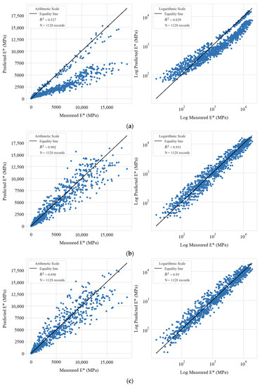
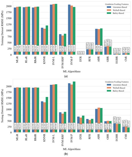
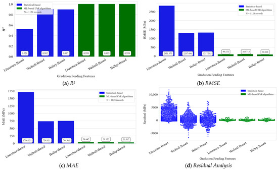
Boosting Hot Mix Asphalt Dynamic Modulus Prediction Using Statistical and Machine Learning Regression Modeling Techniques
by Ahmed M. Awed, Ahmed N. Awaad, Mosbeh R. Kaloop, Jong Wan Hu, Sherif M. El-Badawy and Ragaa T. Abd El-Hakim
Sustainability 2023, 15(19), 14464; https://doi.org/10.3390/su151914464 - 3 Oct 2023
Cited by 8 | Viewed by 2885
Abstract
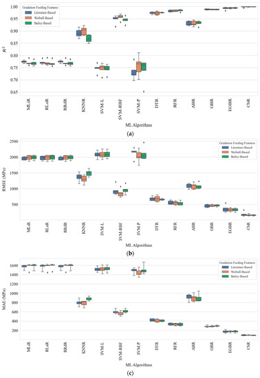
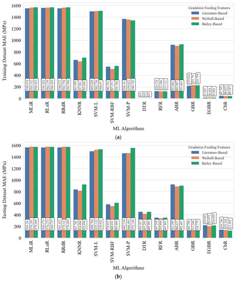
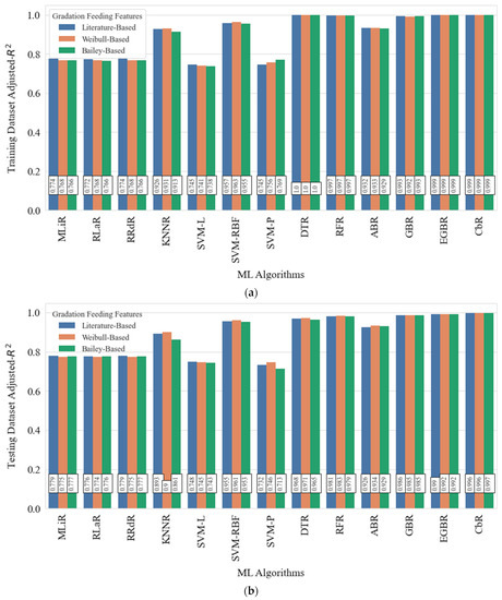
The prediction of asphalt mixture dynamic modulus (E*) was investigated based on 1128 E* measurements, using three regression and thirteen machine learning models. Asphalt binder properties and mixture volumetrics were characterized using the same feeding features in the NCHRP 1-37A Witczak [...] Read more.
The prediction of asphalt mixture dynamic modulus (E*) was investigated based on 1128 E* measurements, using three regression and thirteen machine learning models. Asphalt binder properties and mixture volumetrics were characterized using the same feeding features in the NCHRP 1-37A Witczak model. However, three aggregate gradation characterization approaches were involved in both modelling techniques: the NCHRP 1-37A gradation parameters, Weibull distribution factors, and Bailey method parameters. This study evaluated the performance of these models based on various performance indicators, using both statistical and machine learning regression modeling techniques. K-fold cross-validation and learning curve analysis were conducted to assess the models’ generalization capabilities. The conclusions of this study demonstrate the superiority of the ML models, particularly the Catboost ensemble learning regression (CbR). Hyperparameter optimization and residual analysis were performed to fine-tune and confirm the heteroscedasticity of the CbR model. The Bailey-based CbR model showed the highest coefficient of determination (R2) of 0.998 and the lowest root mean square error (RMSE) of 220 MPa. Moreover, SHAP values interpreted the CbR model and showed the relative importance of its feeding features. Based on the findings of this study, the CbR model is suggested to accurately predict E* for a variety of asphalt mixtures. This information can be used to improve pavement design and construction, leading to more durable and long-lasting pavements. Full article
Show Figures

Figure 1

14 pages, 6397 KB  
Article
Ignition Delay Time Modeling in Wire-EDM
by Paulo Matheus Borges Esteves, Micha Hensen, Michal Kuffa and Konrad Wegener
J. Manuf. Mater. Process. 2023, 7(5), 177; https://doi.org/10.3390/jmmp7050177 - 1 Oct 2023
Cited by 2 | Viewed by 2667
Abstract
This study presents a comprehensive investigation and modeling of the ignition delay time (td) in wire-EDM (WEDM). The research focuses on the influence of gap distance, discharge energy, and piece height on the stochastic distributions of td, providing [...] Read more.
This study presents a comprehensive investigation and modeling of the ignition delay time (td) in wire-EDM (WEDM). The research focuses on the influence of gap distance, discharge energy, and piece height on the stochastic distributions of td, providing important insights into the complex properties of these distributions. Observations indicate that these parameters exert significant yet intricate influences on td, with a particular emphasis on the gap distance. A critical value was identified, around 8μm to 10μm, that divides the stochastic behavior. To capture the binomial nature of td, a mixture probability model consisting of two Weibull distribution curves was developed and validated through extensive experimentation and a data analysis. The model demonstrated strong agreement with observed cumulative probability curves, indicating its accuracy and reliability in predicting td. Further, a sensitivity analysis revealed regions of fast change, emphasizing the challenges and importance of careful parameter selection in control of WEDM processes. The findings of this study contribute to a deeper understanding of WEDM processes and provide a modeling approach for predicting td. Future research directions include refining the model by incorporating additional input parameters, investigating the influence of other process variables on td. Full article
Show Figures

Figure 1

Back to TopTop