Boosting Hot Mix Asphalt Dynamic Modulus Prediction Using Statistical and Machine Learning Regression Modeling Techniques
Abstract
:1. Introduction
2. Literature Review
| Ref. | Model | Binder Properties | Mix Properties | Test Conditions | Training | Validation | Testing | Scale | Sensitivity | Goodness-of-Fit Statistics | |||||||||||||
|---|---|---|---|---|---|---|---|---|---|---|---|---|---|---|---|---|---|---|---|---|---|---|---|
| Volumetric Parameters | Gradation Parameters | ||||||||||||||||||||||
| δ | G* | η | PGL | PGH | AC | VMA | VFA | Va | Vbeff | ρ3/8 | ρ3/4 | ρ4 | ρ200 | Freq. | Temp. | ||||||||
| [14] | ANN | - | - | √ | - | - | - | - | - | √ | √ | √ | √ | √ | √ | fc | - | 90% | 3% | 7% | log | N = 7400, R2 = 0.978 | |
| [14] | ANN | √ | √ | - | - | - | - | - | - | √ | √ | √ | √ | √ | √ | - | - | 90% | 3% | 7% | log | N = 7400, R2 = 0.959 | |
| [6] | DCNN | - | - | √ | - | - | - | - | - | √ | √ | √ | √ | √ | √ | fc | - | 80% | - | 20% | log | N = 6060, R2 = 0.95, Se/Sy = 0.21 | |
| [6] | DCNN | √ | √ | - | - | - | - | - | - | √ | √ | √ | √ | √ | √ | - | - | 80% | - | 20% | log | N = 6060, R2 = 0.96, Se/Sy = 0.19 | |
| [6] | DCNN | - | - | √ | - | - | - | - | - | √ | √ | √ | √ | √ | √ | fc | 20% | - | 80% | log | N = 1071, R2 = 0.98, Se/Sy = 0.13 | ||
| [6] | DCNN | √ | √ | - | - | - | - | - | - | √ | √ | √ | √ | √ | √ | - | 20% | - | 80% | log | N = 1071, R2 = 0.99, Se/Sy = 0.10 | ||
| [15] | BTE * | - | √ | - | - | - | √ | - | - | - | - | - | - | - | - | - | 85% | - | 15% | log | √ | N = 1656, R2 = 0.954 | |
| [7] | ANN | - | - | √ | - | - | - | - | - | √ | √ | √ | √ | √ | √ | fc | 93% | - | 7% | Ar | N = 7400, R2 = 0.98, Se/Sy = 0.14 | ||
| [7] | ANN | √ | √ | - | - | - | - | - | - | √ | √ | √ | √ | √ | √ | - | 93% | - | 7% | Ar | N = 7400, R2 = 0.96, Se/Sy = 0.21 | ||
| [23] | SVM | - | - | - | - | - | - | - | - | - | - | - | - | - | - | fr | √ | 99% | - | 1% | Ar | N = 80, R2 = 0.956 | |
| [24] | PCA-GEP | - | √ | - | - | - | √ | - | √ | √ | - | √ | √ | √ | - | fc | √ | - | - | - | log | N = 7400, R2 = 0.925 | |
| [8] | DRNN | √ | √ | √ | - | - | - | √ | √ | √ | √ | √ | √ | √ | √ | fr | √ | 80% | - | 20% | log | N = 4650, R2 = 0.98, Se/Sy = 0.11 | |
| [25] | BBP | - | - | - | √ | - | - | √ | - | - | - | - | - | - | - | fr | √ | 98% | - | 2% | log | √ | N = 4122, R2 = 0.97, MAPE = 2.3% |
| [25] | BBP a | - | - | - | √ | √ | √ | √ | - | - | √ | - | - | - | - | fr | √ | 98% | - | 2% | log | √ | N = 4122, R2 = 0.98, MAPE = 2.0% |
| [17] | BAS-RF | √ | √ | - | - | - | - | - | - | √ | √ | - | √ | √ | √ | - | - | - | - | - | Ar | N = NA, R2 = 0.98 | |
| [26] | RF a,b | - | - | - | √ | √ | √ | √ | √ | √ | √ | √ | √ | √ | √ | fr | √ | - | - | - | log | √ | N =4022, R2 = 0.95 |
| [27] | ANN | √ | √ | - | - | - | - | - | - | √ | √ | √ | √ | √ | √ | - | - | 85% | - | 15% | log | N = 1656, R2 = 0.99 | |
| [27] | ANN | - | √ | - | - | - | - | √ | √ | - | - | - | - | - | - | - | - | 85% | - | 15% | log | N = 1656, R2 = 0.99 | |
| [28] | RF | √ | √ | - | - | - | - | - | - | √ | √ | √ | - | √ | √ | - | - | 70% | - | 30% | Ar | N = 144, R2 = 0.98 | |
| [29] | BAS | √ | √ | - | - | - | - | - | - | √ | √ | √ | - | √ | √ | - | - | 70% | - | 30% | Ar | N = 144, R2 = 0.92 | |
| [30] | GDTB | - | - | √ | - | - | - | - | - | √ | √ | √ | √ | √ | √ | fc | - | 90% | 3% | 7% | log | N = 7400, R2 = 0.98, Se/Sy = 0.14, MAPE = 2.1% | |
| [30] | GDTB | √ | √ | - | - | - | - | - | - | √ | √ | √ | √ | √ | √ | - | - | 90% | 3% | 7% | log | N = 7400, R2 = 0.98, Se/Sy = 0.13, MAPE = 3.9% | |
| [31] | ANNPSO | √ | √ | - | - | - | - | - | - | √ | √ | √ | - | √ | √ | - | - | - | - | - | Ar | N = 144, R2 = 0.989 | |
| [32] | ANN | √ | √ | - | - | - | - | - | - | √ | √ | √ | - | √ | √ | - | - | 75% | - | 25% | Ar | N = 1320, R2 = 0.98 | |
3. Research Motivation and Objectives
- Compare the E* prediction accuracy of the most widely used NCHRP 1-37A Witczak model with new developed statistical regression models based on advanced aggregate gradation feeding features.
- Investigate various ML techniques to enhance the E* prediction based on the same alternatives of feeding variables.
- Conduct a sensitivity analysis on the optimized and most accurate ML-based model to its feeding input parameters.
- The approach of using Weibull distribution factors and Bailey method parameters is novel, as both methods employ full aggregate gradation sieve sizes instead of using only four gradation ones. Furthermore, the use of a comprehensive and reliable dataset of measured E* values and feeding parameters promotes trustworthy and dependable predictions of E* based on optimized and accurate ML-based model.
4. Material and Testing Measurements
5. Methodology
- Data preparation: by cleaning, removing outliers, and scaling.
- Feature engineering: by generating new feeding features from the measured data, using the Bailey method and Weibull distribution to characterize aggregate gradation in a better way.
- Modelling phase: by developing both statistical and ML-based models using three different representations of aggregate gradation feeding features; each representation contains different feeding features representing aggregate gradation.
- Model training on the selected dataset.
- Model evaluation on a holdout test dataset, using different types of evaluation techniques such as R2, root mean square error (RMSE), mean absolute error (MAE), and k-fold cross-validation.
- Model selection and optimization: by choosing the outperforming model and adjusting its hyperparameters.
- Feature importance: by analyzing the model results, using the SHAP values to find out the most important feeding features affecting the model predictions.
- Model deployment: by deploying the optimized model. This involves making the model available to users so that they can use it to predict E* for new asphalt mixtures.
5.1. Statistical Models
- Statistical regression model incorporating Bailey method parameters (:
- ii.
- Statistical regression model incorporating Weibull distribution factors (:
5.2. ML-Based Modeling Techniques
5.2.1. Linear Regression (LiR)
Multiple Linear Regression (MLiR)
Regularized Linear Regression (RLiR)
- Regularized Ridge Regression (RRdR):
- Regularized Lasso Regression (RLaR):
5.2.2. K-Nearest Neighbors Regression (KNNR)
5.2.3. Decision Tree Regression (DTR)
5.2.4. Support Vector Machine (SVM)
5.2.5. Ensemble Learning
Bagging Ensemble Learning
Boosting Ensemble Learning
5.3. Model Performance Indicators
5.4. Threats to Validity
- i.
- Selection bias: The dataset was randomly divided into training and testing sets, but it is important to note that the training set may not be fully representative of the population of interest. This could lead to selection bias, which could affect the validity of the results. To mitigate this risk, the authors stratified the training and testing sets by temperature, which is an important factor that affects E*.
- ii.
- Overfitting: The models were trained on the training set, and their performance was evaluated on the testing set. However, there is a risk that the models could overfit the training data, which means that they may not perform well on new data. To mitigate this risk, the authors used a k-fold cross-validation technique.
- iii.
- Imbalanced data: The E* dataset was imbalanced and skewed to the right. This could lead to the models being biased towards the more common values of E*. To mitigate this risk, the authors used ensemble models, such as random forests and gradient-boosted trees. Ensemble models combine multiple decision trees, which can help to mitigate the impact of imbalanced data on individual trees and improve overall performance.
- i.
- The proposed approach can learn complex relationships between the input and output variables as presented by the proposed feeding features for predicting the E* of asphalt mixtures.
- ii.
- The proposed approach can be used to model a wide range of input variables, including both continuous and categorical variables. This makes it more flexible and versatile than traditional regression models.
- iii.
- The proposed approach can be used to handle imbalanced data.
- iv.
- The proposed approach can be used to improve the interpretability of ML-based models.
- v.
- The findings of this research study are essential for practitioners and engineers who are dealing with asphalt mixtures. The proposed models could be used by asphalt engineers to design asphalt mixtures with a desired E*.
- i.
- ML-based regression algorithms can be computationally expensive to train, especially for large datasets.
- ii.
- ML-based regression models are difficult to interpret, as they can learn complex patterns in the data that are not easily understood by humans.
- i.
- The proposed approach has only been evaluated on a single dataset. It is important to evaluate and validate the approach on other datasets to ensure that it is generalizable.
- ii.
- The proposed approach has only been used to predict the E* of asphalt mixtures. It is important to evaluate the approach for other applications.
6. Results and Discussion
6.1. Statistical Regression Models
6.2. ML-Based Regression Models
6.3. K-Fold Cross-Validation


6.4. Learning Curve

6.5. Comparing the Statistical and ML-Based Models
6.6. Model Selection and Hyperparameter Optimization
6.6.1. Hyperparameter Tuning
6.6.2. Residual Analysis
6.6.3. Model Interpretation and Feeding Feature Sensitivity
7. Conclusions and Recommendations
- On the first hand, two statistical regression models incorporating the Bailey method parameters and Weibull distribution factors were developed to predict E* with alternative characterizations of aggregate gradations. The predictions of both proposed models were compared to E* predictions of the NCHRP 1-37A Witczak model. As predicted, the performance of statistical models varied. While the literature-based 1-37A model did not provide satisfactory results, the Weibull-based and Bailey-based models showed significant improvement in predicting E*. The Weibull-based model slightly outperformed the Bailey-based model in terms of adjusted R2.
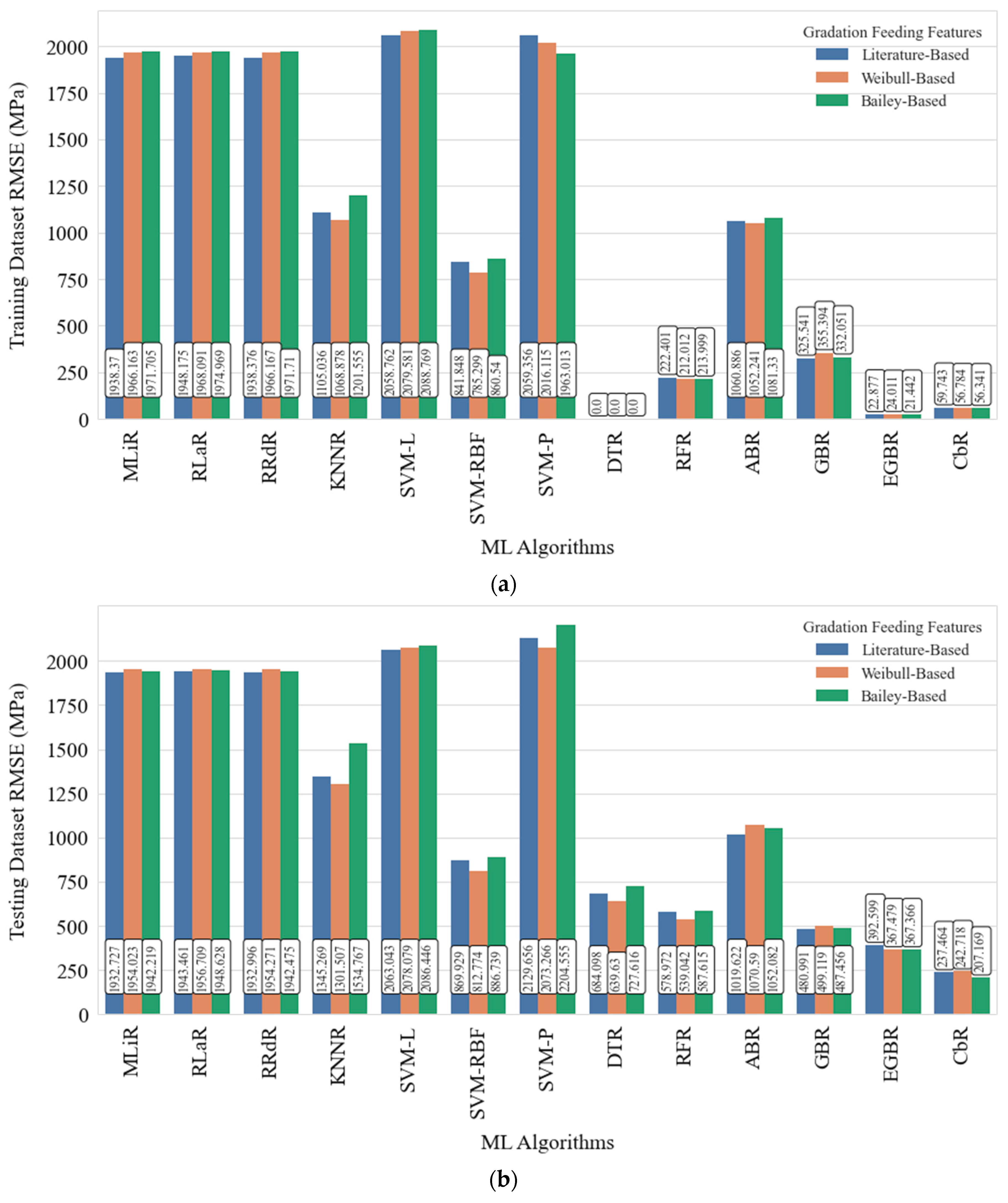
- On the other hand, 13 ML-based regression algorithms were trained involving the three approaches to aggregate gradation characterizations. The performance of each algorithm was evaluated using goodness-of-fit statistics and k-fold cross-validation techniques. The optimized algorithm underwent hyperparameter tuning and was subjected to the residual analysis and feature importance study.
- Notably, the results indicated that the ML-based models outperformed the statistical models in predicting the E* of asphalt mixtures. Among the ML-based algorithms, ensemble models, particularly boosting techniques such as EGBR and CbR, exhibited superior performance. These models achieved the adjusted R2 values higher than 0.999, using the training dataset.
- The CbR models showed robustness, with minimal differences in accuracy between the training and testing datasets. Furthermore, the k-fold cross-validation analysis revealed that the CbR model had the least variance among the investigated algorithms, indicating their stability and consistency in predicting E*. Additionally, the learning curve analysis demonstrated that the CbR models achieved an optimal balance between bias and variance, indicating their ability to generalize well to unseen data.
- Based on the comprehensive evaluation, the CbR models, particularly the Bailey-based CbR model, were recommended as the most accurate and reliable models for predicting the E* of asphalt mixtures. Hyperparameter optimization was performed to fine-tune the model, while the residual analysis confirmed that the residuals of the optimized model exhibited no identified patterns or heteroscedasticity, supporting the assumption of randomness in the predictive model.
- Moreover, the SHAP values were applied to interpret the optimized Bailey-based CbR model and determine the relative importance of the feeding features. The results highlighted that temperature was the most critical feeding feature, followed by frequency and binder viscosity. The impact of the Bailey method parameters representing aggregate gradation on E* predictions was comparable to that of mixture volumetrics.
Author Contributions
Funding
Data Availability Statement
Conflicts of Interest
References
- Ghos, S.; Ali, S.A.; Zaman, M.; Chen, D.H.; Hobson, K.R.; Behm, M. Evaluation of Transverse Cracking in Flexible Pavements Using Field Investigation and AASHTOWare Pavement ME Design. Int. J. Pavement Res. Technol. 2022, 15, 561–576. [Google Scholar] [CrossRef]
- Kim, Y.R.; Seo, Y.; King, M.; Momen, M. Dynamic modulus testing of asphalt concrete in indirect tension mode. In Transportation Research Record; SAGE PublicationsSage CA: Los Angeles, CA, USA, 2004; pp. 163–173. [Google Scholar]
- Fadhil, T.H.; Ahmed, T.M.; Al Mashhadany, Y.I. Application of artificial neural networks as design tool for hot mix asphalt. Int. J. Pavement Res. Technol. 2021, 15, 269–283. [Google Scholar] [CrossRef]
- El-Badawy, S.; Abd El-Hakim, R.; Awed, A. Comparing Artificial Neural Networks with Regression Models for Hot-Mix Asphalt Dynamic Modulus Prediction. J. Mater. Civ. Eng. 2018, 30, 04018128. [Google Scholar] [CrossRef]
- Sakhaeifar, M.S.; Richard Kim, Y.; Kabir, P. New predictive models for the dynamic modulus of hot mix asphalt. Constr. Build. Mater. 2015, 76, 221–231. [Google Scholar] [CrossRef]
- Moussa, G.S.; Owais, M. Pre-trained deep learning for hot-mix asphalt dynamic modulus prediction with laboratory effort reduction. Constr. Build. Mater. 2020, 265, 120239. [Google Scholar] [CrossRef]
- Ceylan, H.; Schwartz, C.W.; Kim, S.; Gopalakrishnan, K. Accuracy of Predictive Models for Dynamic Modulus of Hot-Mix Asphalt. J. Mater. Civ. Eng. 2009, 21, 286–293. [Google Scholar] [CrossRef]
- Moussa, G.S.; Owais, M. Modeling Hot-Mix asphalt dynamic modulus using deep residual neural Networks: Parametric and sensitivity analysis study. Constr. Build. Mater. 2021, 294, 123589. [Google Scholar] [CrossRef]
- Hou, H.; Wang, T.; Wu, S.; Xue, Y.; Tan, R.; Chen, J.; Zhou, M. Investigation on the pavement performance of asphalt mixture based on predicted dynamic modulus. Constr. Build. Mater. 2016, 106, 11–17. [Google Scholar] [CrossRef]
- Solatifar, N. Performance evaluation of dynamic modulus predictive models for asphalt mixtures. J. Rehab. Civ. Eng. 2020, 8, 87–97. [Google Scholar] [CrossRef]
- El-Badawy, S.; Bayomy, F.; Awed, A. Performance of MEPDG dynamic modulus predictive models for asphalt concrete mixtures: Local calibration for Idaho. J. Mater. Civ. Eng. 2012, 24, 1412–1421. [Google Scholar] [CrossRef]
- Khattab, A.M.; El-Badawy, S.M.; Al Hazmi, A.A.; Elmwafi, M. Evaluation of Witczak E* predictive models for the implementation of AASHTOWare-Pavement ME Design in the Kingdom of Saudi Arabia. Constr. Build. Mater. 2014, 64, 360–369. [Google Scholar] [CrossRef]
- Zhang, D.; Birgisson, B.; Luo, X. A new dynamic modulus predictive model for asphalt mixtures based on the law of mixtures. Constr. Build. Mater. 2020, 255, 119348. [Google Scholar] [CrossRef]
- Gong, H.; Sun, Y.; Dong, Y.; Han, B.; Polaczyk, P.; Hu, W.; Huang, B. Improved estimation of dynamic modulus for hot mix asphalt using deep learning. Constr. Build. Mater. 2020, 263, 119912. [Google Scholar] [CrossRef]
- Barugahare, J.; Amirkhanian, A.N.; Xiao, F.; Amirkhanian, S.N. Predicting the dynamic modulus of hot mix asphalt mixtures using bagged trees ensemble. Constr. Build. Mater. 2020, 260, 120468. [Google Scholar] [CrossRef]
- Mohammadi Golafshani, E.; Behnood, A.; Karimi, M.M. Predicting the dynamic modulus of asphalt mixture using hybridized artificial neural network and grey wolf optimizer. Int. J. Pavement Eng. 2021. [Google Scholar] [CrossRef]
- Huang, J.; Shiva Kumar, G.; Ren, J.; Zhang, J.; Sun, Y. Accurately predicting dynamic modulus of asphalt mixtures in low-temperature regions using hybrid artificial intelligence model. Constr. Build. Mater. 2021, 297, 123655. [Google Scholar] [CrossRef]
- Solatifar, N.; Kavussi, A.; Abbasghorbani, M. Dynamic Modulus Predictive Models for In-Service Asphalt Layers in Hot Climate Areas. J. Mater. Civ. Eng. 2021, 33, 04020438. [Google Scholar] [CrossRef]
- Wang, C.; Tan, S.; Chen, Q.; Han, J.; Song, L.; Fu, Y. Dynamic Modulus Prediction of a High-Modulus Asphalt Mixture. Adv. Civ. Eng. 2021, 2021, 9944415. [Google Scholar] [CrossRef]
- Ali, Y.; Hussain, F.; Irfan, M.; Buller, A.S. An eXtreme Gradient Boosting model for predicting dynamic modulus of asphalt concrete mixtures. Constr. Build. Mater. 2021, 295, 123642. [Google Scholar] [CrossRef]
- Behnood, A.; Daneshvar, D. A machine learning study of the dynamic modulus of asphalt concretes: An application of M5P model tree algorithm. Constr. Build. Mater. 2020, 262, 120544. [Google Scholar] [CrossRef]
- Bari, J.; Witczak, M.W. Development of a New Revised Version of the Witczak E Predictive Model for Hot Mix Asphalt Mixtures; Arizona State University: Tempe, AZ, USA, 2006; Volume 75, pp. 381–424. [Google Scholar]
- Aggarwal, P. Predicting dynamic modulus for bituminous concrete using support vector machine. In Proceedings of the 2017 International Conference on Infocom Technologies and Unmanned Systems: Trends and Future Directions, ICTUS, Dubai, United Arab Emirates, 18–20 December 2017; Institute of Electrical and Electronics Engineers Inc.: Piscataway, NJ, USA, 2018; pp. 751–755. [Google Scholar]
- Eleyedath, A.; Swamy, A.K. Prediction of dynamic modulus of asphalt concrete using hybrid machine learning technique. Int. J. Pavement Eng. 2022, 23, 2083–2098. [Google Scholar] [CrossRef]
- Behnood, A.; Mohammadi Golafshani, E. Predicting the dynamic modulus of asphalt mixture using machine learning techniques: An application of multi biogeography-based programming. Constr. Build. Mater. 2021, 266, 120983. [Google Scholar] [CrossRef]
- Daneshvar, D.; Behnood, A. Estimation of the dynamic modulus of asphalt concretes using random forests algorithm. Int. J. Pavement Eng. 2022, 23, 250–260. [Google Scholar] [CrossRef]
- Barugahare, J.; Amirkhanian, A.N.; Xiao, F.; Amirkhanian, S.N. ANN-based dynamic modulus models of asphalt mixtures with similar input variables as Hirsch and Witczak models. Int. J. Pavement Eng. 2022, 23, 1328–1338. [Google Scholar] [CrossRef]
- Xu, W.; Huang, X.; Yang, Z.; Zhou, M.; Huang, J. Developing Hybrid Machine Learning Models to Determine the Dynamic Modulus (E*) of Asphalt Mixtures Using Parameters in Witczak 1-40D Model: A Comparative Study. Materials 2022, 15, 1791. [Google Scholar] [CrossRef]
- Huang, J.; Zhou, M.; Sabri, M.M.S.; Yuan, H. A Novel Neural Computing Model Applied to Estimate the Dynamic Modulus (DM) of Asphalt Mixtures by the Improved Beetle Antennae Search. Sustainability 2022, 14, 5938. [Google Scholar] [CrossRef]
- Gong, H.; Sun, Y.; Dong, Y.; Hu, W.; Han, B.; Polaczyk, P.; Huang, B. An efficient and robust method for predicting asphalt concrete dynamic modulus. Int. J. Pavement Eng. 2022, 23, 2565–2576. [Google Scholar] [CrossRef]
- Huang, J.; Zhang, J.; Li, X.; Qiao, Y.; Zhang, R.; Kumar, G.S. Investigating the effects of ensemble and weight optimization approaches on neural networks’ performance to estimate the dynamic modulus of asphalt concrete. Road Mater. Pavement Des. 2022, 24, 1939–1959. [Google Scholar] [CrossRef]
- Rezazadeh Eidgahee, D.; Jahangir, H.; Solatifar, N.; Fakharian, P.; Rezaeemanesh, M. Data-driven estimation models of asphalt mixtures dynamic modulus using ANN, GP and combinatorial GMDH approaches. Neural Comput. Appl. 2022, 34, 17289–17314. [Google Scholar] [CrossRef]
- Awed, A.M. Material Characterization of HMA for MEPDG Implementation in Idaho. Master’s Thesis, University of Idaho, Moscow, ID, USA, 2010. [Google Scholar]
- Bayomy, F.; El-Badawy, S.; Awed, A. Implementation of the MEPDG for Flexible Pavements in Idaho; Idaho Transportation Department: Boise, ID, USA, 2012. [Google Scholar]
- Masad, E.; Rezaei, A.; Chowdhury, A. Field Evaluation of Asphalt Mixture Skid Resistance and Its Relationship to Aggregate Characteristics [2011]; Texas Transportation Institute: Bryan, TX, USA, 2011. [Google Scholar]
- Kassem, E.; Awed, A.; Masad, E.; Little, D. Development of predictive model for skid loss of asphalt pavements. J. Mater. Civ. Eng. 2015, 2372, 83–96. [Google Scholar] [CrossRef]
- Awed, A.; Kassem, E.; Masad, E.; Little, D. Method for Predicting the Laboratory Compaction Behavior of Asphalt Mixtures. J. Mater. Civ. Eng. 2015, 27, 04015016. [Google Scholar] [CrossRef]
- Vavrik, W.R.; Pine, W.J.; Huber, G.; Carpenter, S.H.; Bailey, R. The Bailey method of gradation evaluation: The influence of aggregate gradation and packing characteristics on voids in the mineral aggregate. In Asphalt Paving Technology: Association of Asphalt Paving Technologists (AAPT)—Proceedings of the Technical Sessions; Association of Asphalt Paving Technologists (AAPT): Gainesville, Florida, USA, 2002; Volume 70, pp. 132–175. [Google Scholar]
- Thompson, G. Investigation of the Bailey Method for the Design and Analysis of Dense-Graded HMAC Using Oregon Aggregates; Oregon Department of Transportation Research Unit: Salem, OR, USA, 2006. [Google Scholar]
- Géron, A. Hands-On Machine Learning with Scikit-Learn, Keras, and TensorFlow, 2nd ed.; O’Reilly Media, Inc.: Sebastopol, CA, USA, 2011; Volume 44, ISBN 9788578110796. [Google Scholar]
- Hamel, L. Elements of Statistical Learning Theory. In Knowledge Discovery with Support Vector Machines; Wiley: London, UK, 2009; pp. 171–181. [Google Scholar] [CrossRef]
- Ziegel, E.R. The Elements of Statistical Learning. Technometrics 2003, 45, 267–268. [Google Scholar] [CrossRef]
- What is the k-Nearest Neighbors Algorithm?|IBM, (n.d.). Available online: https://www.ibm.com/eg-en/topics/knn (accessed on 31 August 2022).
- Rokach, L.; Maimon, O. Decision Trees. In Data Mining and Knowledge Discovery Handbook; Springer: Berlin/Heidelberg, Germany, 2006; pp. 165–192. [Google Scholar]
- What is a Decision Tree|IBM, (n.d.). Available online: https://www.ibm.com/eg-en/topics/decision-trees (accessed on 31 August 2022).
- Zhang, X.-D. Support Vector Machines (SVM). In Gesture; Springer: Boston, MA, USA, 2001; Volume 23, pp. 349–361. ISBN 9789811527708. [Google Scholar]
- Rani, A.; Kumar, N.; Kumar, J.; Sinha, N.K. Machine learning for soil moisture assessment. In Deep Learning for Sustainable Agriculture; Academic Press: Cambridge, MA, USA, 2022; pp. 143–168. ISBN 9780323852142. [Google Scholar]
- Dietterich, T.G. Ensemble methods in machine learning. In Lecture Notes in Computer Science (Including Subseries Lecture Notes in Artificial Intelligence and Lecture Notes in Bioinformatics); Springer: Berlin/Heidelberg, Germany, 2000; pp. 1–15. [Google Scholar]
- Tibshirani, R. Regression shrinkage and selection via the lasso: A retrospective. J. R. Stat. Soc. Ser. B Stat. Methodol. 2011, 73, 273–282. [Google Scholar] [CrossRef]
- Hoerl, A.E.; Kennard, R.W. Ridge Regression: Biased Estimation for Nonorthogonal Problems. Technometrics 2000, 42, 80. [Google Scholar] [CrossRef]
- Sharma, D.K.; Aayush; Sharma, A.; Kumar, J. KNNR: K-nearest neighbour classification based routing protocol for opportunistic networks. In Proceedings of the 2017 10th International Conference on Contemporary Computing, IC3, Noida, India, 10–12 August 2017; Institute of Electrical and Electronics Engineers Inc.: Piscataway, NJ, USA, 2018; pp. 1–6. [Google Scholar]
- Schölkopf, B. SVMs—A practical consequence of learning theory. IEEE Intell. Syst. Their Appl. 1998, 13, 18–21. [Google Scholar] [CrossRef]
- Loh, W.Y. Classification and regression trees, Wiley Interdiscip. Rev. Data Min. Knowl. Discov. 2011, 1, 14–23. [Google Scholar] [CrossRef]
- Breiman, L. Random forests. Mach. Learn. 2001, 45, 5–32. [Google Scholar] [CrossRef]
- Solomatine, D.P.; Shrestha, D.L. AdaBoost.RT: A boosting algorithm for regression problems. In Proceedings of the 2004 IEEE International Joint Conference on Neural Networks (IEEE Cat. No. 04CH37541), Budapest, Hungary, 25–29 July 2004; Volume 2, pp. 1163–1168. [Google Scholar]
- Zemel, R.S.; Pitassi, T. A gradient-based boosting algorithm for regression problems. In Advances in Neural Information Processing Systems 13 (NIPS 2000); MIT Press: Cambridge, MA, USA, 2001. [Google Scholar]
- Chen, T.; Guestrin, C. Xgboost: A scalable tree boosting system. In Proceedings of the 22nd Acm Sigkdd International Conference on Knowledge Discovery and Data Mining, San Francisco, CA, USA, 13–17 August 2016; pp. 785–794. [Google Scholar]
- Prokhorenkova, L.; Gusev, G.; Vorobev, A.; Dorogush, A.V.; Gulin, A. Catboost: Unbiased boosting with categorical features. In Advances in Neural Information Processing Systems; Neural Information Processing Systems Foundation: La Jolla, CA, USA, 2018; pp. 6638–6648. [Google Scholar]
- Hastie, T.; Tibshirani, R.; James, G.; Witten, D. An Introduction to Statistical Learning, 2nd ed.; Springer: Cham, Switzerland, 2021; Volume 102, ISBN 9780387781884. [Google Scholar]
- Introduction to k-Fold Cross-Validation in Python—SQLRelease, (n.d.). Available online: https://sqlrelease.com/introduction-to-k-fold-cross-validation-in-python (accessed on 29 May 2023).
- Vanderplas, J.T. Chapter 5: Machine Learning. In Python Data Science Handbook; O’Reilly Media, Inc.: Sebastopol, CA, USA, 2016. [Google Scholar]
- Lundberg, S.M.; Lee, S.I. A unified approach to interpreting model predictions. In Advances in Neural Information Processing Systems; Neural Information Processing Systems Foundation: La Jolla, CA, USA, 2017; pp. 4766–4775. [Google Scholar]















| Ref. | Binder Properties | Mix Properties | Test Conditions | Calibration | Validation | Scale | Statistics of Goodness-of-Fit | ||||||||||
|---|---|---|---|---|---|---|---|---|---|---|---|---|---|---|---|---|---|
| Volumetric Parameters | Gradation Parameters | ||||||||||||||||
| δ | G* | η | VMA | VFA | Va | Vbeff | ρ3/8 | ρ3/4 | ρ4 | ρ200 | Freq | Temp | |||||
| [5] | - | √ | - | √ | - | √ | √ | √ | √ | √ | 90% | 10% | N = 223, R2 = 0.95, Se/Sy = 0.22 | ||||
| [6] | - | - | √ | - | - | √ | √ | √ | √ | √ | √ | fc | - | 80% | 20% | log | N = 6060, R2 = 0.54, Se/Sy = 0.68 |
| [6] | √ | √ | - | - | - | √ | √ | √ | √ | √ | √ | - | - | 80% | 20% | log | N = 6060, R2 = 0.73, Se/Sy = 0.52 |
| [6] | - | - | √ | - | - | √ | √ | √ | √ | √ | √ | fc | 20% | 80% | log | N = 1071, R2 = 0.85, Se/Sy = 0.38 | |
| [6] | √ | √ | - | - | - | √ | √ | √ | √ | √ | √ | - | 20% | 80% | log | N = 1071, R2 = 0.53, Se/Sy = 0.69 | |
| [7] | - | - | √ | - | - | √ | √ | √ | √ | √ | √ | fc | 93% | 7% | Ar | N = 7400, R2 = 0.68, Se/Sy = 0.57 | |
| [7] | √ | √ | - | - | - | √ | √ | √ | √ | √ | √ | - | 93% | 7% | Ar | N = 7400, R2 = 0.77, Se/Sy = 0.48 | |
| [8] | - | - | √ | - | - | √ | √ | √ | √ | √ | √ | fr | - | - | - | log | N = 4650, R2 = 0.84, Se/Sy = 0.39 |
| [8] | √ | √ | - | - | - | √ | √ | √ | √ | √ | √ | fr | - | - | - | log | N = 4650, R2 = 0.92, Se/Sy = 0.29 |
| [8] | √ | - | - | √ | √ | - | - | - | - | - | - | - | - | - | - | log | N = 4650, R2 = 0.68, Se/Sy = 0.57 |
| Feeding Features | Feature Description | Mean | Standard Deviation | Minimum | Maximum | |
|---|---|---|---|---|---|---|
| Testing Conditions | T | Temperature (ºC) | 29.43 | 18.65 | 4.40 | 54.40 |
| fC | Frequency (Hz) | 6.93 | 8.79 | 0.10 | 25.00 | |
| Binder | ηf,T | Viscosity (cP) | 3.1 × 109 | 14.8 × 109 | 0.0001 × 109 | 84.8 × 109 |
| Aggregate | ρ3/4 | Retained on the 3/4 in. sieve (%) | 0.96 | 2.49 | 0.00 | 14.00 |
| ρ3/8 | Retained on the 3/8 in. sieve (%) | 24.31 | 7.38 | 13.00 | 36.00 | |
| ρ4 | Retained on No. 4 sieve (%) | 49.84 | 5.84 | 42.00 | 63.00 | |
| ρ200 | Passing No. 200 sieve (%) | 5.42 | 1.62 | 3.50 | 8.20 | |
| λ | Weibull distribution factors | 6.04 | 1.15 | 4.65 | 8.67 | |
| κ | 0.89 | 0.07 | 0.72 | 1.07 | ||
| CA Ratio | Bailey method parameters | 0.82 | 0.15 | 0.53 | 1.31 | |
| FAc Ratio | 0.37 | 0.11 | 0.23 | 0.57 | ||
| FAf Ratio | 2.05 | 0.37 | 1.60 | 2.90 | ||
| Mixture Volumetrics | Va | Volume of the air voids in the mixture (%) | 7.47 | 0.89 | 5.94 | 9.58 |
| Vbeff | Volume of effective bitumen content (%) | 10.75 | 1.26 | 9.00 | 16.00 | |
| E* | Measured E* (MPa) | 3489.94 | 4117.70 | 14.90 | 18,974.00 | |
| Ref. | Algorithm | Nonlinear | Data Transformation Is Required? | Hyperparameters | Category |
|---|---|---|---|---|---|
| [42] | MLiR | √ | - | Linear | |
| [49] | RLaR | √ | Alpha | Linear | |
| [50] | RRdR | √ | Alpha | Linear | |
| [51] | KNNR | √ | √ | K | KNN |
| [52] | SVM-L | √ | C | SVM | |
| [52] | SVM-RBF | √ | √ | C | SVM |
| [52] | SVM-P | √ | √ | C, gamma, and d | SVM |
| [53] | DTR | √ | Criterion, depth, and nodes | DT | |
| [54] | RFR | √ | Criterion, N, and depth | Bagging | |
| [55] | ABR | √ | Base, Lr, and N | Boosting | |
| [56] | GBR | √ | Loss, Lr, criterion, N, and depth | Boosting | |
| [57] | EGBR | √ | N, Lr, alpha, lambda, CC, and CW | Boosting | |
| [58] | CbR | √ | Depth, Lr, and number of iterations | Boosting |
| Statistical Regression Model | R2 (Arithmetic) | RMSE | MAE |
|---|---|---|---|
| Literature-Based 1-37A Prediction Model | 0.52 | 2831.37 | 1706.03 |
| Weibull-Based Prediction Model | 0.90 | 1287.49 | 734.03 |
| Bailey-Based Prediction Model | 0.89 | 1317.58 | 744.46 |
Disclaimer/Publisher’s Note: The statements, opinions and data contained in all publications are solely those of the individual author(s) and contributor(s) and not of MDPI and/or the editor(s). MDPI and/or the editor(s) disclaim responsibility for any injury to people or property resulting from any ideas, methods, instructions or products referred to in the content. |
© 2023 by the authors. Licensee MDPI, Basel, Switzerland. This article is an open access article distributed under the terms and conditions of the Creative Commons Attribution (CC BY) license (https://creativecommons.org/licenses/by/4.0/).
Share and Cite
Awed, A.M.; Awaad, A.N.; Kaloop, M.R.; Hu, J.W.; El-Badawy, S.M.; Abd El-Hakim, R.T. Boosting Hot Mix Asphalt Dynamic Modulus Prediction Using Statistical and Machine Learning Regression Modeling Techniques. Sustainability 2023, 15, 14464. https://doi.org/10.3390/su151914464
Awed AM, Awaad AN, Kaloop MR, Hu JW, El-Badawy SM, Abd El-Hakim RT. Boosting Hot Mix Asphalt Dynamic Modulus Prediction Using Statistical and Machine Learning Regression Modeling Techniques. Sustainability. 2023; 15(19):14464. https://doi.org/10.3390/su151914464
Chicago/Turabian StyleAwed, Ahmed M., Ahmed N. Awaad, Mosbeh R. Kaloop, Jong Wan Hu, Sherif M. El-Badawy, and Ragaa T. Abd El-Hakim. 2023. "Boosting Hot Mix Asphalt Dynamic Modulus Prediction Using Statistical and Machine Learning Regression Modeling Techniques" Sustainability 15, no. 19: 14464. https://doi.org/10.3390/su151914464
APA StyleAwed, A. M., Awaad, A. N., Kaloop, M. R., Hu, J. W., El-Badawy, S. M., & Abd El-Hakim, R. T. (2023). Boosting Hot Mix Asphalt Dynamic Modulus Prediction Using Statistical and Machine Learning Regression Modeling Techniques. Sustainability, 15(19), 14464. https://doi.org/10.3390/su151914464

