Sign in to use this feature.

Years

Between: -

Subjects

remove_circle_outline
remove_circle_outline
remove_circle_outline
remove_circle_outline
remove_circle_outline
remove_circle_outline
remove_circle_outline
remove_circle_outline
remove_circle_outline

Journals

Article Types

Countries / Regions

Search Results (122)

Search Parameters:
Keywords = VLBI

Order results
Result details
Results per page
Select all
Export citation of selected articles as:
20 pages, 701 KB  
Article
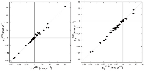
Parallaxes and Proper Motions of Long Period Variable Stars Determined from VLBI and Gaia DR3
by Akiharu Nakagawa, Tomoharu Kurayama, Hiroshi Sudou and Gabor Orosz
Galaxies 2026, 14(2), 26; https://doi.org/10.3390/galaxies14020026 - 30 Mar 2026
Viewed by 463
Abstract
Annual parallaxes of Galactic long period variable stars (LPVs) are essential for determining their distances and intrinsic properties, but their measurement remains challenging because of their large stellar sizes, circumstellar matter, and time-variable surface brightness asymmetry. In this study, we compare astrometric measurements [...] Read more.
Annual parallaxes of Galactic long period variable stars (LPVs) are essential for determining their distances and intrinsic properties, but their measurement remains challenging because of their large stellar sizes, circumstellar matter, and time-variable surface brightness asymmetry. In this study, we compare astrometric measurements obtained from very long baseline interferometry (VLBI) and Gaia Data Release 3 (DR3) for 43 Galactic LPVs. The parallaxes from the two methods are generally consistent within uncertainties for about half of the sample, although Gaia DR3 parallaxes tend to be slightly smaller than the VLBI values. This is consistent with previously reported systematic offsets. The behavior of parallax uncertainties differs between the two techniques: VLBI parallax errors increase with increasing parallax, whereas Gaia DR3 errors remain nearly constant. Consequently, VLBI measurements are more effective for LPVs with parallaxes smaller than approximately 2 mas, corresponding to distances beyond 500 pc. Proper motions are also compared, showing general agreement with a 2-sigma dispersion of approximately 13 km s−1, consistent with typical AGB outflow velocities. These results demonstrate the complementarity between VLBI and Gaia astrometry. We also find that the dispersion of parallax residuals becomes slightly larger for sources with pulsation periods around one year, suggesting a coupling of timescales between the stellar pulsation and the annual parallax. Full article
(This article belongs to the Special Issue Recent Advances in Radio Astronomy)
Show Figures

Figure 1

31 pages, 6428 KB  
Article
Investigation of Plate Movements on the Antarctic Continent and Its Surroundings Using GNSS Data and Global Plate Models
by Abdullah Kellevezir, Ekrem Tuşat and Mustafa Tevfik Özlüdemir
Geosciences 2026, 16(3), 119; https://doi.org/10.3390/geosciences16030119 - 13 Mar 2026
Viewed by 568
Abstract
The Earth’s lithosphere, the rigid outermost layer of the planet, is composed of numerous tectonic plates of varying sizes that move over the underlying asthenosphere. The motion and interaction of these plates give rise to a wide range of geodynamic processes. Accurate monitoring [...] Read more.
The Earth’s lithosphere, the rigid outermost layer of the planet, is composed of numerous tectonic plates of varying sizes that move over the underlying asthenosphere. The motion and interaction of these plates give rise to a wide range of geodynamic processes. Accurate monitoring of these processes is essential for maintaining a stable, up-to-date, and reliable terrestrial reference frame. This study investigates the horizontal and vertical motions of the Antarctic Plate resulting from its interactions with adjacent plates. Tectonic plate movements can be determined using several space-geodetic techniques, including Global Navigation Satellite Systems (GNSS), Very Long Baseline Interferometry (VLBI), Satellite Laser Ranging (SLR), and Interferometric Synthetic Aperture Radar (InSAR). Among these methods, GNSS is currently the most widely used, as plate motions can be derived from continuous observations recorded at permanent stations and processed using scientific or commercial software. Within the scope of this research, GNSS data collected between 2020 and 2023 were processed using the GAMIT/GLOBK V.10.7 software package to estimate the coordinates and velocities of stations located on the Antarctic, South American, African, and Australian Plates in the ITRF14 reference frame. Furthermore, plate-fixed solutions were generated to analyze the relative motion of the Antarctic Plate with respect to neighboring plates. The results indicate that the Antarctic Plate moves at an average velocity of approximately 4–18 mm/year in the ITRF14 frame. The plate diverges from both the African and Australian Plates and exhibits predominantly strike-slip motion relative to the South American Plate. A comparison with existing global plate motion models demonstrates that the obtained velocities are consistent within 0–5 mm/year. Full article
(This article belongs to the Section Geophysics)
Show Figures

Figure 1

25 pages, 718 KB  
Review
Measuring Supermassive Black Hole Masses with H2O Megamasers: Observations, Methods, and Implications for Black Hole Demographics
by Cheng-Yu Kuo
Universe 2025, 11(12), 415; https://doi.org/10.3390/universe11120415 - 12 Dec 2025
Viewed by 761
Abstract
Measuring supermassive black hole (SMBH) masses is fundamental to understanding active galactic nuclei (AGN) and their coevolution with host galaxies. Among existing techniques, H2O megamaser observations with Very Long Baseline Interferometry (VLBI) provide the most direct and geometric determinations of SMBH [...] Read more.
Measuring supermassive black hole (SMBH) masses is fundamental to understanding active galactic nuclei (AGN) and their coevolution with host galaxies. Among existing techniques, H2O megamaser observations with Very Long Baseline Interferometry (VLBI) provide the most direct and geometric determinations of SMBH masses by tracing molecular gas in sub-parsec Keplerian disks. Over the past two decades, the Megamaser Cosmology Project (MCP) has surveyed thousands of nearby AGNs and obtained high-sensitivity VLBI maps of dozens of maser disks that lead to accurate SMBH masses with uncertainties typically below 10%. In this paper, we present a comprehensive review that summarizes the essential elements required to obtain accurate black hole masses with the H2O megamaser technique—including the physical conditions for maser excitation, observational requirements, disk modeling, and sources of SMBH mass uncertainty—and we discuss the implications of maser-based measurements for exploring SMBH demographics. In particular, we will show that maser-derived black hole masses, largely free from the systematic biases of stellar or gas-dynamical methods, provide critical anchors at the low-mass end of the SMBH population (MBH∼107M), and reveal possible deviations from the canonical MBHσ relation. With forthcoming spectroscopic surveys and advances in millimeter/submillimeter VLBI, the maser technique promises to extend precise dynamical mass measurements to both larger local samples and high-redshift galaxies. Full article
(This article belongs to the Special Issue Supermassive Black Hole Mass Measurements)
Show Figures

Figure 1

22 pages, 10394 KB  
Article
Applications of the Irbene Single-Baseline Radio Interferometer
by Ivar Shmeld, Vladislavs Bezrukovs, Jānis Šteinbergs, Karina Šķirmante, Artis Aberfelds, Sergey A. Belov, Ross A. Burns, Dmitrii Y. Kolotkov, Valery M. Nakariakov, Dmitrijs Bezrukovs, Matīss Purviņš, Aija Kalniņa, Arturs Orbidans, Marcis Bleiders and Marina Konuhova
Galaxies 2025, 13(6), 126; https://doi.org/10.3390/galaxies13060126 - 3 Nov 2025
Viewed by 1766
Abstract
The Irbene single-baseline radio interferometer (ISBI), operated by the Ventspils International Radio Astronomy Centre (VIRAC), offers a rare and versatile configuration in modern radio astronomy. Combining the 32-m and 16-m fully steerable parabolic radio telescopes separated by an 800-m baseline, this system possesses [...] Read more.
The Irbene single-baseline radio interferometer (ISBI), operated by the Ventspils International Radio Astronomy Centre (VIRAC), offers a rare and versatile configuration in modern radio astronomy. Combining the 32-m and 16-m fully steerable parabolic radio telescopes separated by an 800-m baseline, this system possesses a unique capability for high-sensitivity, time-domain interferometric observations. Unlike large interferometric arrays optimized for sub-arcsecond resolution imaging, the Irbene system is tailored for studies that require high temporal resolution and a strong signal-to-noise ratio. This paper reviews key scientific applications of the Irbene interferometer, including simultaneous methanol maser and radio continuum variability studies, high-cadence monitoring of quasi-periodic pulsations (QPPs) in stellar flares, ionospheric diagnostics using GNSS signals, orbit determination of navigation satellites and forward scatter radar techniques for space object detection. These diverse applications demonstrate the scientific potential of compact interferometric systems in an era dominated by large-scale observatories. Full article
Show Figures

Figure 1

26 pages, 1111 KB  
Article
Radiometric Interferometry for Deep Space Navigation Using Geostationary Satellites
by Moshe Golani, Yoram Rozen and Hector Rotstein
Aerospace 2025, 12(11), 982; https://doi.org/10.3390/aerospace12110982 - 31 Oct 2025
Viewed by 1022
Abstract
Deep space navigation, defined as spacecraft position tracking beyond the lunar orbit, presents significant challenges due to the extremely weak Global Navigation Satellite System (GNSS) signals and severe signal attenuation over interplanetary distances. Traditional terrestrial systems, such as NASA’s Deep Space Network (DSN) [...] Read more.
Deep space navigation, defined as spacecraft position tracking beyond the lunar orbit, presents significant challenges due to the extremely weak Global Navigation Satellite System (GNSS) signals and severe signal attenuation over interplanetary distances. Traditional terrestrial systems, such as NASA’s Deep Space Network (DSN) and ESA’s ESTRACK, rely on Very Long Baseline Interferometry (VLBI) for angular positioning. However, these systems are limited by relatively short baselines, atmospheric distortions requiring extensive calibration, and reduced line-of-sight (LOS) availability due to Earth’s rotation. Because VLBI angle measurements require at least two simultaneously visible stations, the measurement duty cycle is inherently constrained. This research proposes a complementary deep space navigation approach using space-based interferometry, in which radio signals from the spacecraft are received and cross-correlated onboard Geostationary Earth Orbit (GEO) satellites. By replacing terrestrial VLBI stations with dual GEO platforms, the method significantly extends the effective baseline, removes atmospheric phase errors, and provides near-continuous visibility to deep space targets. Unlike Earth-based systems, GEO-based interferometry maintains persistent mutual visibility between stations, enabling higher measurement availability and more flexible mission support. A complete system model is presented, including the principles of dual-frequency phase-based angular tracking and a structured error budget analysis. Theoretical error analysis indicates that the GEO-based system achieves a total angular error better than 4 nanoradians—within the same order of magnitude as terrestrial VLBI. In particular, the space-based architecture nearly doubles the geometric availability for interferometric tracking while eliminating the need for atmospheric calibration. These results support the feasibility of the GEO-based VLBI concept and motivate continued research, including detailed simulations, hardware implementation, and field validation. Full article
Show Figures

Figure 1

18 pages, 16328 KB  
Review
Radio Astronomy with NASA’s Deep Space Network
by T. Joseph W. Lazio and Stephen M. Lichten
Galaxies 2025, 13(6), 123; https://doi.org/10.3390/galaxies13060123 - 31 Oct 2025
Viewed by 2433
Abstract
The Deep Space Network (DSN) is the spacecraft tracking and communication infrastructure for NASA’s deep space missions. At three sites, approximately equally separated in (terrestrial) longitude, there are multiple radio antennas outfitted with cryogenic microwave receiving systems both for receiving transmissions from deep [...] Read more.
The Deep Space Network (DSN) is the spacecraft tracking and communication infrastructure for NASA’s deep space missions. At three sites, approximately equally separated in (terrestrial) longitude, there are multiple radio antennas outfitted with cryogenic microwave receiving systems both for receiving transmissions from deep space spacecraft and for conducting radio astronomical observations, particularly in the L band (1350 MHz–1800 MHz), X band (8200 MHz–8600 MHz), and K band (18 GHz–27 GHz). In particular, the 70 m antennas at the Canberra and Madrid DSN Complexes are well-equipped to participate in international very long baseline interferometry (VLBI) observations. Over the past five years, there has been an effort to refurbish and modernize equipment such as receiving and signal transport systems for radio astronomical observations. We summarize current capabilities, on-going refurbishment activities, and possible future opportunities. Full article
(This article belongs to the Special Issue Recent Advances in Radio Astronomy)
Show Figures

Figure 1

16 pages, 630 KB  
Article
Identifying Companions in Pulsar Binary Systems via Gaia Data
by Yueqi Song, Li Guo, Zhen Yan, Qiqi Wu, Guangli Wang and Ying Wang
Universe 2025, 11(11), 358; https://doi.org/10.3390/universe11110358 - 28 Oct 2025
Viewed by 764
Abstract
In the optical band, very few pulsars can be directly detected, but some of the pulsar binary companions can be observed. This study leverages high-precision astrometric data from Gaia Data Release 3 (DR3) to identify pulsar companions in binary systems. Cross-matching the Australia [...] Read more.
In the optical band, very few pulsars can be directly detected, but some of the pulsar binary companions can be observed. This study leverages high-precision astrometric data from Gaia Data Release 3 (DR3) to identify pulsar companions in binary systems. Cross-matching the Australia Telescope National Facility (ATNF) Pulsar Catalogue with Gaia DR3 yielded 58 astrometric pairs, including 9 newly confirmed companions—primarily in the southern hemisphere—expanding the known pulsar distribution there. Among newly confirmed companions, eight are redback pulsars, offering insights into millisecond pulsar evolution and companion composition. All 58 companions are classified as main-sequence stars, neutron stars, white dwarfs, or ultra-light companion stars, with ∼40% being spider pulsars. Gaia’s exceptional astrometric precision advances pulsar studies, enabling gravitational wave detection via Pulsar Timing Arrays (PTAs) and improved reference frame link. Future multi-wavelength research will benefit from Gaia DR4, International Pulsar Timing Array (IPTA) collaborations (including Five-hundred-meter Aperture Spherical radio Telescope (FAST)), and Very Long Baseline Interferometry (VLBI) networks like the Chinese VLBI Network (CVN). Full article
(This article belongs to the Section Compact Objects)
Show Figures

Figure 1

21 pages, 4883 KB  
Article
VERA’s 20 yr Evolution in Science and Technology
by Mareki Honma, Tomoya Hirota, Tomoaki Oyama and Akiharu Nakagawa
Galaxies 2025, 13(6), 120; https://doi.org/10.3390/galaxies13060120 - 27 Oct 2025
Cited by 1 | Viewed by 1438
Abstract
We review the past 20 yr evolution of VERA (VLBI Exploration of Radio Astrometry) in both science and techinology. VERA is a VLBI array in Japan which consists of four 20 m-diameter telescopes, originally dedicated to phase-referencing VLBI astrometry. Its main observing bands [...] Read more.
We review the past 20 yr evolution of VERA (VLBI Exploration of Radio Astrometry) in both science and techinology. VERA is a VLBI array in Japan which consists of four 20 m-diameter telescopes, originally dedicated to phase-referencing VLBI astrometry. Its main observing bands are K (22 GHz) and Q (43 GHz) for conducting astrometry observations of H2O and SiO maser sources. In its 20 yr history, VERA has conducted astrometry observations of ∼100 maser sources, revealing the three-dimensional structure of the Milky Way Galaxy. Its long-term observations of Sgr A* resulted in the first parallax detection of the super-massive black hole at the Galaxy center. Observations of maser sources also revealed physical properties of star-forming regions and provided calibration of AGB stars’ distances and their Period–Luminosity relation. In parallel, several upgrades have been carried out in receivers as well as digital back-ends and correlator to extend the frequency bands and the data rate. Full article
(This article belongs to the Special Issue Recent Advances in Radio Astronomy)
Show Figures

Figure 1

16 pages, 5068 KB  
Technical Note
VGOS Dual Linear Polarization Data Processing Techniques Applied to Differential Observation of Satellites
by Jiangying Gan, Fengchun Shu, Xuan He, Yidan Huang, Fengxian Tong and Yan Sun
Remote Sens. 2025, 17(13), 2319; https://doi.org/10.3390/rs17132319 - 7 Jul 2025
Viewed by 1160
Abstract
The Very Long Baseline Interferometry Global Observing System (VGOS), a global network of stations equipped with small-diameter, fast-slewing antennas and broadband receivers, is primarily utilized for geodesy and astrometry. In China, the Shanghai and Urumqi VGOS stations have been developed to perform radio [...] Read more.
The Very Long Baseline Interferometry Global Observing System (VGOS), a global network of stations equipped with small-diameter, fast-slewing antennas and broadband receivers, is primarily utilized for geodesy and astrometry. In China, the Shanghai and Urumqi VGOS stations have been developed to perform radio source observation regularly. However, these VGOS stations have not yet been used to observe Earth satellites or deep-space probes. In addition, suitable systems for processing VGOS satellite data are unavailable. In this study, we explored a data processing pipeline and method suitable for VGOS data observed in the dual linear polarization mode and applied to the differential observation of satellites. We present the VGOS observations of the Chang’e 5 lunar orbiter as a pilot experiment for VGOS observations of Earth satellites to verify our processing pipeline. The interferometric fringes were obtained by the cross-correlation of Chang’e 5 lunar orbiter signals. The data analysis yielded a median delay precision of 0.16 ns with 30 s single-channel integration and a baseline closure delay standard deviation of 0.14 ns. The developed data processing pipeline can serve as a foundation for future Earth-orbiting satellite observations, potentially supporting space-tie satellite missions aimed at constructing the terrestrial reference frame (TRF). Full article
(This article belongs to the Special Issue Space Geodesy and Time Transfer: From Satellite to Science)
Show Figures

Figure 1

22 pages, 8175 KB  
Article
Research on Universal Time/Length of Day Combination Algorithm Based on Effective Angular Momentum Dataset
by Xishun Li, Yuanwei Wu, Dang Yao, Jia Liu, Kai Nan, Zewen Zhang, Weilong Wang, Xuchong Duan, Langming Ma, Haiyan Yang, Haihua Qiao, Xuhai Yang, Xiaohui Li and Shougang Zhang
Remote Sens. 2025, 17(7), 1157; https://doi.org/10.3390/rs17071157 - 25 Mar 2025
Viewed by 1740
Abstract
Given that effective angular momentum (EAM) data demonstrate a strong correlation with length of day (LOD) data and are extensively utilized in the prediction of the universal time (UT1), this research integrated the EAM into the design of a Kalman filter. At the [...] Read more.
Given that effective angular momentum (EAM) data demonstrate a strong correlation with length of day (LOD) data and are extensively utilized in the prediction of the universal time (UT1), this research integrated the EAM into the design of a Kalman filter. At the solution combination level, the UT1, LOD, and EAM were merged to derive a UT1/LOD sequence featuring higher accuracy and enhanced continuity. To begin with, a comprehensive evaluation of the three datasets was conducted to identify the systematic biases and periodic components of the LOD. Subsequently, geodetic angular momentum (GAM) data were employed to rectify the EAM data spanning from 2019 to 2022. Finally, the corrected EAM was combined with the UT1 and LOD through Kalman modeling. To evaluate the capability of this EAM-aided Kalman filter, Jet Propulsion Laboratory (JPL) and Wuhan University (WHU) LOD data, International Very Long Baseline Interferometry (VLBI) Service for Geodesy and Astrometry (IVS) intensive and National Time Service Center (NTSC) UT1 data, and German Research Centre for Geosciences (GFZ) EAM data were used for combination experiments. The final estimations of the UT1 and LOD were compared with the International Earth Rotation Service (IERS) Earth-orientation parameter (EOP) 20 C04 series. From July to September 2021, the root mean square (RMS) of the combined UT1 series was reduced from 38 µs to 26 µs for the IVS intensive UT1, with an improvement of 30%. The RMS of the combined UT1 series was reduced from 102 µs to 47 µs for the NTSC UT1 measurement, with an improvement of 54%. The bias of the LOD was effectively corrected and the RMS of the LOD improved by 60–70% and the standard deviation of the LOD improved by 11–30%. Further, the final estimated uncertainties of the UT1 and LOD are, in general, consistent with the estimated RMS, indicating a reasonable estimation of uncertainties. Comparative experiments with and without the EAM show that using EAM data can effectively reduce the extreme values, especially for the NTSC UT1 series with large uncertainties. In summary, this EAM-aided Kalman filter can produce UT1 and LOD series with improved accuracy, and with reasonable uncertainties. Full article
(This article belongs to the Section Environmental Remote Sensing)
Show Figures

Figure 1

28 pages, 13572 KB  
Article
High-Redshift Quasars at z ≥ 3—III: Parsec-Scale Jet Properties from Very Long Baseline Interferometry Observations
by Shaoguang Guo, Tao An, Yuanqi Liu, Chuanzeng Liu, Zhijun Xu, Yulia Sotnikova, Timur Mufakharov and Ailing Wang
Universe 2025, 11(3), 91; https://doi.org/10.3390/universe11030091 - 8 Mar 2025
Cited by 3 | Viewed by 1546
Abstract
High-redshift active galactic nuclei (AGN) provide key insights into early supermassive black hole growth and cosmic evolution. This study investigates the parsec-scale properties of 86 radio-loud quasars at z ≥ 3 using very long baseline interferometry (VLBI) observations. Our results show predominantly compact [...] Read more.
High-redshift active galactic nuclei (AGN) provide key insights into early supermassive black hole growth and cosmic evolution. This study investigates the parsec-scale properties of 86 radio-loud quasars at z ≥ 3 using very long baseline interferometry (VLBI) observations. Our results show predominantly compact core and core-jet morphologies, with 35% having unresolved cores, 59% with core–jet structures, and only 6% with core–double jet morphology. Brightness temperatures are generally lower than expected for highly radiative sources. The jets’ proper motions are surprisingly slow compared to those of lower-redshift samples. We observe a high fraction of young and/or confined peak-spectrum sources, providing insights into early AGN evolution in dense environments during early cosmic epochs. The observed trends may reflect genuine evolutionary changes in AGN structure over cosmic time, or selection effects favoring more compact sources at higher redshifts. These results stress the complexity of high-redshift radio-loud AGN populations and emphasize the need for multi-wavelength, high-resolution observations to fully characterize their properties and evolution through cosmic history. Full article
(This article belongs to the Special Issue Advances in Studies of Galaxies at High Redshift)
Show Figures

Figure 1

10 pages, 281 KB  
Article
Solid Identification of Extragalactic Gamma-Ray Source Using High-Resolution Radio Interferometric Observation
by Krisztina Éva Gabányi, Sándor Frey, Krisztina Perger and Emma Kun
Universe 2025, 11(3), 83; https://doi.org/10.3390/universe11030083 - 1 Mar 2025
Cited by 3 | Viewed by 1789
Abstract
The dominant fraction of the extragalactic γ-ray sources are blazars, active galactic nuclei with jets inclined ata small angle to the line of sight. Apart from blazars, a few dozen narrow-line Seyfert 1 galaxies (NLS1) and a number of radio galaxies are [...] Read more.
The dominant fraction of the extragalactic γ-ray sources are blazars, active galactic nuclei with jets inclined ata small angle to the line of sight. Apart from blazars, a few dozen narrow-line Seyfert 1 galaxies (NLS1) and a number of radio galaxies are associated with γ-ray sources. The identification of γ-ray sources requires multiwavelength follow-up observations since several candidates could reside within the relatively large γ-ray localisation area. The γ-ray source 4FGL 0959.6+4606 was originally associated with a radio galaxy. However, follow-up multiwavelength work suggested a nearby NLS1 as the more probable origin of the γ-ray emission. We performed high-resolution very long baseline interferometry (VLBI) observation at 5 GHz of both proposed counterparts of 4FGL 0959.6+4606. We clearly detected the NLS1 source SDSS J095909.51+460014.3 with relativistically boosted jet emission. On the other hand, we did not detect milliarcsecond-scale compact emission in the radio galaxy 2MASX J09591976+4603515. Our VLBI imaging results suggest that the NLS1 object is the origin of the γ-ray emission in 4FGL 0959.6+4606. Full article
Show Figures

Figure 1

15 pages, 3516 KB  
Technical Note
Accuracy Evaluation of Multi-Technique Combination Nonlinear Terrestrial Reference Frame and EOP Based on Singular Spectrum Analysis
by Qiuxia Li, Xiaoya Wang and Yabo Li
Remote Sens. 2025, 17(5), 821; https://doi.org/10.3390/rs17050821 - 26 Feb 2025
Viewed by 978
Abstract
With the application and promotion of space geodesy, the popularization of remote sensing technology, and the development of artificial intelligence, a more accurate and stable Terrestrial Reference Frame (TRF) has become more urgent. For example, sea level change detection, crustal deformation monitoring, and [...] Read more.
With the application and promotion of space geodesy, the popularization of remote sensing technology, and the development of artificial intelligence, a more accurate and stable Terrestrial Reference Frame (TRF) has become more urgent. For example, sea level change detection, crustal deformation monitoring, and driverless cars, among others, require the accuracy of the terrestrial reference frame to be better than 1 mm in positioning and 0.1 mm/a in velocity, respectively. However, the current frequently used ITRF2014 and ITRF2020 do not satisfy such requirements. Therefore, this paper analyzes the coordinate residual time series data of linear TRFs and finds there are still some unlabeled jumps and time-dependent periodic signals, especially in the GNSS coordinate residuals, which can lead to incorrect station epoch coordinates and velocities, further affecting the accuracy and stability of the TRF. The unlabeled jumps could be detected by the sequential t-test analysis of regime shifts (STARS) combined with the generalized extreme Studentized deviate (GESD) algorithms introduced in our earlier paper. These nonlinear time-dependent periodic signals could be modeled better by singular spectrum analysis (SSA) with respect to least squares fitting; the fitting period is no longer composed of semi-annual and annual items, as with ITRF2014. The periods of continuous coordinate residual time series data longer than 5 years are obtained by FFT. The results show that there are no period signals for individual SLR/VLBI sites, and there are still other period terms, such as 34 weeks, 20.8 weeks and 17.3 weeks, in addition to semi-annual and annual items for some GNSS sites. Moreover, after SSA corrections, the re-calculated TRF and the corresponding EOP could be obtained, based on data from the Chinese Earth Rotation and Reference System Service (CERS) TRF and the Earth Orientation Parameter (EOPs) multi-technique determination software package (CERS TRF&EOP V2.0) developed by the Shanghai Astronomical Observatory (SHAO). Their accuracy could be evaluated with respect to the ITRF2014 and the IERS 14 C04, respectively. The results show that the accuracy and stability of the newly established a nonlinear TRF and EOP based on SSA have been greatly improved and better than a linear TRF and EOP. SSA is better than least squares fitting, especially for those coordinate residual time series with varying amplitude and phase. For GPS, comparing with the ITRF2014, the station coordinate accuracy of 10.8% is better than 1 mm, and the station velocity accuracy of 4.4% is better than 0.1 mm/year. There are 3.1% VLBI stations, for which coordinate accuracy is better than 1 mm and velocity accuracy is better than 0.1 mm/year. However, there are no stations with coordinates and velocities better than 1 mm and 0.1 mm/year for the SLR and DORIS. The WRMS values of polar motion x, polar motion y, LOD, and UT1-UTC are reduced by 2.4%, 3.2%, 2.7%, and 0.96%, respectively. The EOP’s accuracy in SOL-B, in addition to LOD, is better than that of the JPL. Full article
(This article belongs to the Special Issue Space-Geodetic Techniques (Third Edition))
Show Figures

Figure 1

17 pages, 476 KB  
Article
Linking Planetary Ephemeris Reference Frames to ICRF via Millisecond Pulsars
by Li Guo, Yueqi Song, Zhen Yan, Liang Li and Guangli Wang
Universe 2025, 11(2), 54; https://doi.org/10.3390/universe11020054 - 7 Feb 2025
Cited by 2 | Viewed by 1475
Abstract
The positions of millisecond pulsars (MSPs) can be determined with sub-milliarcsecond (mas) accuracy using both Very Long Baseline Interferometry (VLBI) and timing, referenced to the International Celestial Reference Frame (ICRF) and planetary ephemerides frame, respectively, representing kinematic and dynamical reference frames. The two [...] Read more.
The positions of millisecond pulsars (MSPs) can be determined with sub-milliarcsecond (mas) accuracy using both Very Long Baseline Interferometry (VLBI) and timing, referenced to the International Celestial Reference Frame (ICRF) and planetary ephemerides frame, respectively, representing kinematic and dynamical reference frames. The two frames can be connected through observations of common celestial objects, MSPs observed with VLBI and timing. However, previous attempts to establish this connection were unreliable due to the limited number of MSPs observed by both techniques. Currently, 23 MSPs have been precisely measured using both multiple timing and VLBI networks. Among them, 17 MSPs are used to link the two reference frames, marking a significant three-fold increase in the number of common MSPs used for frame linking. Nevertheless, six MSPs located near the ecliptic plane are excluded from frame linkage due to positional differences exceeding 20 mas measured by VLBI and timing. This discrepancy is primarily attributed to errors introduced in fitting positions in timing methods. With astrometric parameters obtained via both VLBI and timing for these MSPs, the precision of linking DE436 and ICRF3 has surpassed 0.4 mas. Furthermore, thanks to the improved timing precision of MeerKAT, even with data from just 13 MSPs observed by both MeerKAT and VLBI, the precision of linking DE440 and ICRF3 can also exceed 0.4 mas. The reliability of this linkage depends on the precision of pulsar astrometric parameters, their spatial distribution, and discrepancies in pulsar positions obtained by the two techniques. Notably, proper motion differences identified by the two techniques are the most critical factors influencing the reference frame linking parameters. The core shift of the calibrators in VLBI pulsar observations is one of the factors causing proper motion discrepancies, and multi-wavelength observations are expected to solve it. With the improvement in timing accuracy and the application of new observation modes like multi-view and multi-band observations in VLBI, the linkage accuracy of the dynamical and kinematic reference frames is expected to reach 0.3 mas. Full article
Show Figures

Figure 1

18 pages, 1623 KB  
Article
Enhanced Stochastic Models for VLBI Invariant Point Estimation and Axis Offset Analysis
by Chang-Ki Hong and Tae-Suk Bae
Remote Sens. 2025, 17(1), 43; https://doi.org/10.3390/rs17010043 - 26 Dec 2024
Cited by 1 | Viewed by 1379
Abstract
The accuracy and stability of Very Long Baseline Interferometry (VLBI) systems are essential for maintaining global geodetic reference frames such as the International Terrestrial Reference Frame (ITRF). This study focuses on the precise determination of the VLBI Invariant Point (IVP) and the detection [...] Read more.
The accuracy and stability of Very Long Baseline Interferometry (VLBI) systems are essential for maintaining global geodetic reference frames such as the International Terrestrial Reference Frame (ITRF). This study focuses on the precise determination of the VLBI Invariant Point (IVP) and the detection of antenna axis offset. Ground-based surveys were conducted at the Sejong Space Geodetic Observatory using high-precision instruments, including total station, to measure slant distances, as well as horizontal and vertical angles from fixed pillars to reflectors attached to the VLBI instrument. The reflectors comprised both prisms and reflective sheets to enhance redundancy and data reliability. A detailed stochastic model incorporating variance component estimation was employed to manage the varying precision of the observations. The analysis revealed significant measurement variability, particularly in slant distance measurements involving prisms. Iterative refinement of the variance components improved the reliability of the IVP and antenna axis offset estimates. The study identified an antenna axis offset of 5.6 mm, which was statistically validated through hypothesis testing, confirming its significance at a 0.01 significance level. This is a significance level corresponding to approximately a 2.576 sigma threshold, which represents a 99% confidence level. This study highlights the importance of accurate stochastic modeling in ensuring the precision and reliability of the estimated VLBI IVP and antenna axis offset. Additionally, the results can serve as a priori information for VLBI data analysis. Full article
Show Figures

Figure 1

Back to TopTop