Non-Minimally Coupled Electromagnetic Fields and Observable Implications for Primordial Black Holes
Abstract
1. Introduction
2. The Model
Photon Dispersion Relation
3. Sultana–Dyer Black Hole
- The above line element corresponds to a black hole of mass M in a spatially flat FLRW universe with scale factor . This corresponds to black holes in the matter-dominated epoch.
- Sultana–Dyer is sourced by two non-interacting perfect fluids—null dust and normal dust. The stress–energy tensor is , where describes the normal dust with density and and describes a null dust with density and .
- The Kretschmann scalar for the line element (14) isIt implies that curvature singularities occur at and . The singularity at is spacelike for , timelike for , and null for [53]. The singularity at is spacelike and surrounded by the event horizon.
- The energy density of the dust is positive only in the regionAt , the energy conditions for are satisfied everywhere. In other words, after this time , those particles closest to the event horizon become superluminal [37]. As we will see, this condition translates to a constraint on .
- To understand the properties of the horizons, we rewrite the time coordinate asin the line element (14). This leads toFrom the above line element, it is evident that the Sultana–Dyer metric is a black hole obtained by the conformal transformation of the Schwarzschild black hole. As the conformal transformation preserves the causal structure, remains the event horizon. Interestingly, since the line element is conformally invariant, there exists a conformal Killing vector , which is the Killing vector on Schwarzschild space-time and satisfies the following relation [54],where . The apparent horizon is given by [49,54]where . From the energy condition (16), it is clear that , implying that the apparent horizon lies inside the event horizon and asymptotically tends to the event horizon.
- Writing the line element (14) in non-geometrized units leads to
Conserved Quantities from Symmetries of the Metric
4. Modified Dispersion Relations
4.1. Time-Independent Black Hole Space-Times
4.2. Sultana–Dyer Black Hole
4.2.1. Quadratic Dispersion Relation in an SD BH (SD-I)
4.2.2. Quartic Dispersion Relation in an SD BH (SD-II and SD-III)
5. Deflection Angle
- Photon arrival time at the detector.
- Photon deflection angle at the detector.
5.1. Schwarzschild Space-Time
5.2. Sultana–Dyer Black Hole
5.3. Bounds on
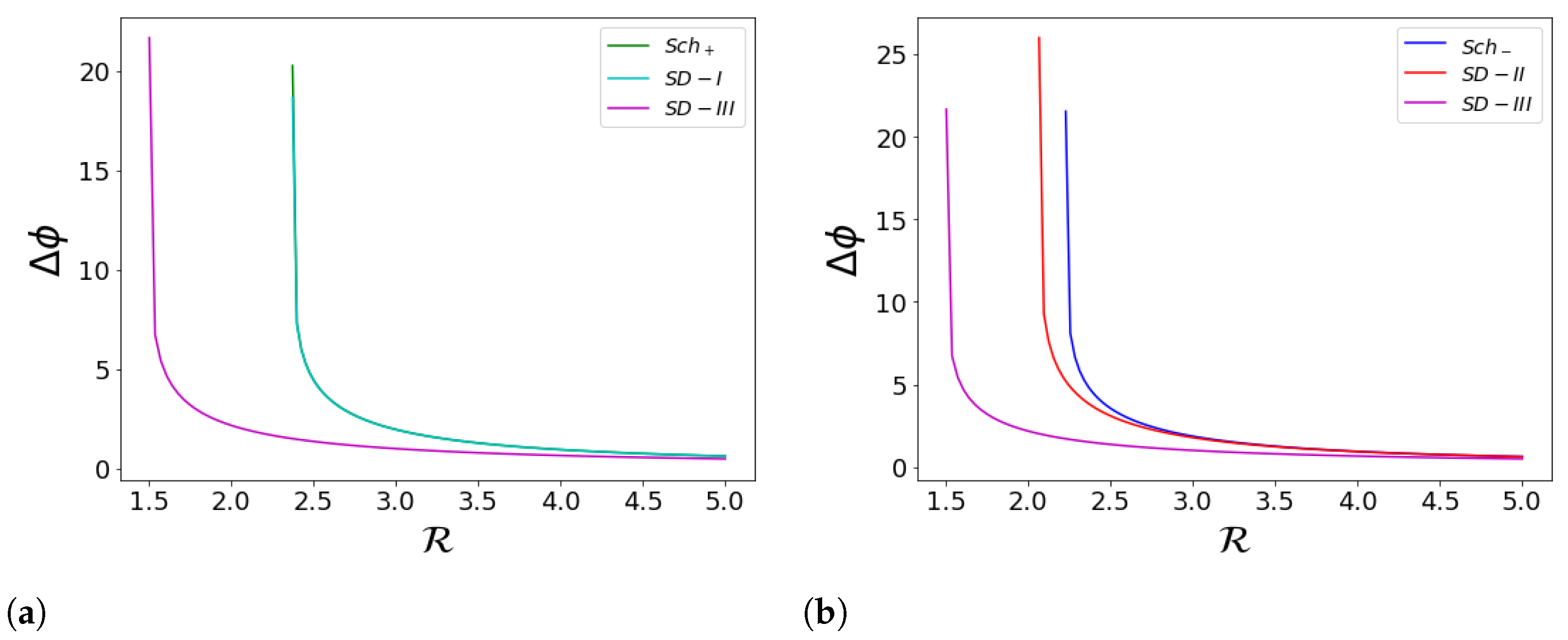
6. Comparing Total Deflection Angles in Schwarzschild and Sultana–Dyer Black Holes
7. Conclusions and Discussions
Author Contributions
Funding
Data Availability Statement
Acknowledgments
Conflicts of Interest
Abbreviations
| BH | black hole |
| NMC | non-minimal coupling |
| SD | Sultana–Dyer |
| EM | electromagnetic |
| VLBI | very large baseline interferometry |
Appendix A. Photon Dispersion Relations in Kerr Space-Time
Appendix B. Sultana–Dyer Black Hole: Tetrads and Riemann Tensor
Appendix C. Constraint on λ from Energy–Momentum Tensor
| 1 | In principle, all astrophysical black holes are non-stationary. However, the timescales of various astrophysical processes are so large that these black holes can be effectively modeled as isolated, stationary black holes in general relativity. In contrast, for primordial black holes (PBH) formed during the early Universe, these assumptions are not valid [42,43,44]. |
References
- Ni, W.T. Equivalence Principles and Electromagnetism. Phys. Rev. Lett. 1977, 38, 301–304. [Google Scholar] [CrossRef]
- Gonner, H.F.M. Theories of gravitation with nonminimal coupling of matter and the gravitational field. Found. Phys. 1984, 14, 865–881. [Google Scholar] [CrossRef]
- Will, C.M. The Confrontation between General Relativity and Experiment. Living Rev. Relativ. 2014, 17, 4. [Google Scholar] [CrossRef] [PubMed]
- Abbott, B.P.; Abbott, R.; Abbott, T.; Abernathy, M.R.; Acernese, F.; Ackley, K.; Adams, C.; Adams, T.; Addesso, P.; Adhikari, R.X.; et al. Observation of Gravitational Waves from a Binary Black Hole Merger. Phys. Rev. Lett. 2016, 116, 061102. [Google Scholar] [CrossRef] [PubMed]
- The Event Horizon Telescope Collaboration. First M87 Event Horizon Telescope Results. I. The Shadow of the Supermassive Black Hole. Astrophys. J. Lett. 2019, 875, L1. [Google Scholar] [CrossRef]
- Damour, T. Binary Systems as Test-beds of Gravity Theories. In Physics of Relativistic Objects in Compact Binaries: From Birth to Coalescence; Springer: Berlin/Heidelberg, Germany, 2007. [Google Scholar]
- Wagner, T.A.; Schlamminger, S.; Gundlach, J.H.; Adelberger, E.G. Torsion-balance tests of the weak equivalence principle. Class. Quantum Gravity 2012, 29, 184002. [Google Scholar] [CrossRef]
- Shankaranarayanan, S.; Johnson, J.P. Modified theories of gravity: Why, how and what? Gen. Relativ. Gravit. 2022, 54, 44. [Google Scholar] [CrossRef]
- Vilkovisky, G.A. Effective action in quantum gravity. Class. Quantum Gravity 1992, 9, 895–903. [Google Scholar] [CrossRef]
- Donoghue, J.F. General relativity as an effective field theory: The leading quantum corrections. Phys. Rev. D 1994, 50, 3874–3888. [Google Scholar] [CrossRef]
- Ruhdorfer, M.; Serra, J.; Weiler, A. Effective Field Theory of Gravity to All Orders. J. High Energy Phys. 2020, 5, 083. [Google Scholar] [CrossRef]
- Prasanna, A. A new invariant for electromagnetic fields in curved space-time. Phys. Lett. A 1971, 37, 331–332. [Google Scholar] [CrossRef]
- Okumura, T.; Azuma, T.; Bennett, D.A.; Chiu, I.; Doriese, W.B.; Durkin, M.S.; Fowler, J.W.; Gard, J.D.; Hashimoto, T.; Hayakawa, R.; et al. Proof-of-Principle Experiment for Testing Strong-Field Quantum Electrodynamics with Exotic Atoms: High Precision X-Ray Spectroscopy of Muonic Neon. Phys. Rev. Lett. 2023, 130, 173001. [Google Scholar] [CrossRef] [PubMed]
- Drummond, I.T.; Hathrell, S.J. QED Vacuum Polarization in a Background Gravitational Field and Its Effect on the Velocity of Photons. Phys. Rev. D 1980, 22, 343. [Google Scholar] [CrossRef]
- Daniels, R.D.; Shore, G.M. ‘Faster than light’ photons and charged black holes. Nucl. Phys. B 1994, 425, 634–650. [Google Scholar] [CrossRef]
- Daniels, R.D.; Shore, G.M. ’Faster than light’ photons and rotating black holes. Phys. Lett. B 1996, 367, 75–83. [Google Scholar] [CrossRef]
- Latorre, J.I.; Pascual, P.; Tarrach, R. Speed of light in nontrivial vacua. Nucl. Phys. B 1995, 437, 60–82. [Google Scholar] [CrossRef]
- Dereli, T.; Sert, O. Non-minimal ln(R)F2 Couplings of Electromagnetic Fields to Gravity: Static, Spherically Symmetric Solutions. Eur. Phys. J. C 2011, 71, 1589. [Google Scholar] [CrossRef]
- Horndeski, G.W. Conservation of Charge and the Einstein-Maxwell Field Equations. J. Math. Phys. 1976, 17, 1980–1987. [Google Scholar] [CrossRef]
- Buchdahl, H.A. Theories of gravitation with nonminimal coupling of matter and the gravitational field. J. Phys. A 1979, 12, 1037–1043. [Google Scholar] [CrossRef]
- Shore, G.M. A Local effective action for photon gravity interactions. Nucl. Phys. B 2002, 646, 281–300. [Google Scholar] [CrossRef][Green Version]
- Balakin, A.B.; Lemos, J.P.S. Non-minimal coupling for the gravitational and electromagnetic fields: A General system of equations. Class. Quantum Gravity 2005, 22, 1867–1880. [Google Scholar] [CrossRef]
- Linnemann, N.; Read, J. Curvature coupling, electromagnetic wave propagation, and the consistency of the geometrical optics limit. arXiv 2021, arXiv:2110.00648. [Google Scholar]
- Bergliaffa, S.E.P.; Filho, E.E.d.S.; Maier, R. Strong Lensing and Nonminimally Coupled Electromagnetism. Phys. Rev. D 2020, 101, 124038. [Google Scholar] [CrossRef]
- Giani, L.; Frion, E.; Piattella, O.F. Impact of inhomogeneities on slowly rolling quintessence: Implications for the local variations of the fine-structure constant. Class. Quantum Gravity 2021, 38, 175010. [Google Scholar] [CrossRef]
- Kushwaha, A.; Shankaranarayanan, S. Helical magnetic fields from Riemann coupling. Phys. Rev. D 2020, 102, 103528. [Google Scholar] [CrossRef]
- Kushwaha, A.; Shankaranarayanan, S. Helical magnetic fields from Riemann coupling lead to baryogenesis. Phys. Rev. D 2021, 104, 063502. [Google Scholar] [CrossRef]
- Bedran, M.L.; Lesche, B. An example of affine collineation in the Robertson–Walker metric. J. Math. Phys. 1986, 27, 2360–2361. [Google Scholar] [CrossRef]
- Lafrance, R.; Myers, R.C. Gravity’s rainbow. Phys. Rev. D 1995, 51, 2584–2590. [Google Scholar] [CrossRef]
- Cheung, C.; Remmen, G.N. Infrared Consistency and the Weak Gravity Conjecture. J. High Energy Phys. 2014, 12, 87. [Google Scholar] [CrossRef]
- Bellazzini, B.; Isabella, G.; Lewandowski, M.; Sgarlata, F. Gravitational causality and the self- stress of photons. J. High Energy Phys. 2022, 5, 154. [Google Scholar] [CrossRef]
- de Rham, C.; Tolley, A.J. Causality in curved spacetimes: The speed of light and gravity. Phys. Rev. D 2020, 102, 084048. [Google Scholar] [CrossRef]
- Accettulli Huber, M.; Brandhuber, A.; De Angelis, S.; Travaglini, G. Eikonal phase matrix, deflection angle and time delay in effective field theories of gravity. Phys. Rev. D 2020, 102, 046014. [Google Scholar] [CrossRef]
- Camanho, X.O.; Edelstein, J.D.; Maldacena, J.; Zhiboedov, A. Causality Constraints on Corrections to the Graviton Three-Point Coupling. J. High Energy Phys. 2016, 2, 20. [Google Scholar] [CrossRef]
- Carr, B.; Kuhnel, F. Primordial Black Holes as Dark Matter: Recent Developments. Ann. Rev. Nucl. Part. Sci. 2020, 70, 355–394. [Google Scholar] [CrossRef]
- Carr, B.; Kohri, K.; Sendouda, Y.; Yokoyama, J. Constraints on primordial black holes. Rep. Prog. Phys. 2021, 84, 116902. [Google Scholar] [CrossRef] [PubMed]
- Sultana, J.; Dyer, C.C. Cosmological black holes: A black hole in the Einstein-de Sitter universe. Gen. Relativ. Gravit. 2005, 37, 1347–1370. [Google Scholar] [CrossRef]
- Prasanna, A.R.; Mohanty, S. Constraints on nonminimally coupled curved space electrodynamics from astrophysical observations. Class. Quantum Gravity 2003, 20, 3023–3028. [Google Scholar] [CrossRef]
- Misiaszek, M.; Rossi, N. Direct Detection of Dark Matter: A Critical Review. Symmetry 2024, 16, 201. [Google Scholar] [CrossRef]
- Villanueva-Domingo, P.; Mena, O.; Palomares-Ruiz, S. A Brief Review on Primordial Black Holes as Dark Matter. Front. Astron. Space Sci. 2021, 8, 87. [Google Scholar] [CrossRef]
- Hawking, S. Gravitationally collapsed objects of very low mass. Mon. Not. R. Astron. Soc. 1971, 152, 75. [Google Scholar] [CrossRef]
- Carr, B.J.; Hawking, S.W. Black holes in the early Universe. Mon. Not. R. Astron. Soc. 1974, 168, 399–415. [Google Scholar] [CrossRef]
- Chapline, G.F. Cosmological effects of primordial black holes. Nature 1975, 253, 251–252. [Google Scholar] [CrossRef]
- Novikov, I.D.; Polnarev, A.G.; Starobinskii, A.A.; Zeldovich, I.B. Primordial black holes. Astron. Astrophys. 1979, 80, 104–109. [Google Scholar]
- Scholtz, J.; Unwin, J. What if Planet 9 is a Primordial Black Hole? Phys. Rev. Lett. 2020, 125, 051103. [Google Scholar] [CrossRef]
- Wave, G.G. The Next Generation Global Gravitational Wave Observatory: The Science Book. arXiv 2021, arXiv:2111.06990. [Google Scholar]
- Xavier, S.; Sunny, A.; Shankaranarayanan, S. Exact model for evaporating primordial black holes in a cosmological spacetime. Phys. Rev. D 2022, 105, 104038. [Google Scholar] [CrossRef]
- Sunny, A.; Xavier, S.; Shankaranarayanan, S. Slowly rotating black hole solutions in f(R) gravity: A need for enhancement of the no-hair conjecture. arXiv 2023, arXiv:2303.04684. [Google Scholar]
- Faraoni, V.; Vitagliano, V. Horizon thermodynamics and spacetime mappings. Phys. Rev. D 2014, 89, 064015. [Google Scholar] [CrossRef]
- Faraoni, V. Embedding black holes and other inhomogeneities in the universe in various theories of gravity: A short review. Universe 2018, 4, 109. [Google Scholar] [CrossRef]
- Misner, C.W.; Thorne, K.S.; Wheeler, J.A. Gravitation; W. H. Freeman: San Francisco, CA, USA, 1973. [Google Scholar]
- Johnson, J.P.; Jana, S.; Shankaranarayanan, S. Test of Einstein’s equivalence principle in future VLBI observations. Phys. Rev. D 2024, 109, L021501. [Google Scholar] [CrossRef]
- Faraoni, V.; Jacques, A. Cosmological expansion and local physics. Phys. Rev. D 2007, 76, 063510. [Google Scholar] [CrossRef]
- Saida, H.; Harada, T.; Maeda, H. Black hole evaporation in an expanding universe. Class. Quantum Gravity 2007, 24, 4711–4732. [Google Scholar] [CrossRef]
- Visser, M. The Kerr spacetime: A Brief introduction. arXiv 2007, arXiv:0706.0622. [Google Scholar]
- Wald, R.M. General Relativity; Chicago University Press: Chicago, IL, USA, 1984. [Google Scholar] [CrossRef]
- Shore, G.M. Quantum gravitational optics. Contemp. Phys. 2003, 44, 503–521. [Google Scholar] [CrossRef]
- Donoghue, J.F.; El-Menoufi, B.K. Covariant non-local action for massless QED and the curvature expansion. J. High Energy Phys. 2015, 10, 44. [Google Scholar] [CrossRef]
- Goon, G.; Hinterbichler, K. Superluminality, black holes and EFT. J. High Energy Phys. 2017, 2, 134. [Google Scholar] [CrossRef]
- Jana, S.; Shankaranarayanan, S. Constraints on the non-minimal coupling of electromagnetic fields from astrophysical observations. In Proceedings of the 16th Marcel Grossmann Meeting on Recent Developments in Theoretical and Experimental General Relativity, Astrophysics and Relativistic Field Theories, Virtual Event, 5–10 July 2023. [Google Scholar] [CrossRef]
- Stairs, I.H.; Nice, D.J.; Thorsett, S.E.; Taylor, J.H. Recent arecibo timing of the relativistic binary PSR B1534 + 12. arXiv 1999, arXiv:astro-ph/9903289. [Google Scholar]
- Stairs, I.H.; Thorsett, S.E.; Taylor, J.H.; Wolszczan, A. Studies of the relativistic binary pulsar psr b1534 + 12: I. timing analysis. Astrophys. J. 2002, 581, 501–508. [Google Scholar] [CrossRef]
- Akiyama, K.; Alberdi, A.; Alef, W.; Algaba, J.C.; Anantua, R.; Asada, K.; Azulay, R.; Bach, U.; Baczko, A.K.; Ball, D.; et al. First Sagittarius A* Event Horizon Telescope Results. I. The Shadow of the Supermassive Black Hole in the Center of the Milky Way. Astrophys. J. Lett. 2022, 930, L12. [Google Scholar] [CrossRef]
- Reid, M.; Loindard, L.; Maccarone, T.; Melis, C. Science Opportunities with Long Baseline Radio Interferometry and Micro-arcsecond Astrometry. Bull. AAS 2019, 51, 235. [Google Scholar]
- Robishaw, T.; Heiles, C. The Measurement of Polarization in Radio Astronomy. arXiv 2018, arXiv:1806.07391. [Google Scholar]



| Black Hole Mass | (cm) | (cm2) | (cm2) |
|---|---|---|---|
| Supermassive | ∼ | ∼ | ∼ |
| Solar-mass | |||
Disclaimer/Publisher’s Note: The statements, opinions and data contained in all publications are solely those of the individual author(s) and contributor(s) and not of MDPI and/or the editor(s). MDPI and/or the editor(s) disclaim responsibility for any injury to people or property resulting from any ideas, methods, instructions or products referred to in the content. |
© 2024 by the authors. Licensee MDPI, Basel, Switzerland. This article is an open access article distributed under the terms and conditions of the Creative Commons Attribution (CC BY) license (https://creativecommons.org/licenses/by/4.0/).
Share and Cite
Jana, S.; Shankaranarayanan, S. Non-Minimally Coupled Electromagnetic Fields and Observable Implications for Primordial Black Holes. Universe 2024, 10, 270. https://doi.org/10.3390/universe10070270
Jana S, Shankaranarayanan S. Non-Minimally Coupled Electromagnetic Fields and Observable Implications for Primordial Black Holes. Universe. 2024; 10(7):270. https://doi.org/10.3390/universe10070270
Chicago/Turabian StyleJana, Susmita, and S. Shankaranarayanan. 2024. "Non-Minimally Coupled Electromagnetic Fields and Observable Implications for Primordial Black Holes" Universe 10, no. 7: 270. https://doi.org/10.3390/universe10070270
APA StyleJana, S., & Shankaranarayanan, S. (2024). Non-Minimally Coupled Electromagnetic Fields and Observable Implications for Primordial Black Holes. Universe, 10(7), 270. https://doi.org/10.3390/universe10070270

