Sign in to use this feature.

Years

Between: -

Subjects

remove_circle_outline
remove_circle_outline
remove_circle_outline
remove_circle_outline
remove_circle_outline
remove_circle_outline

Journals

Article Types

Countries / Regions

Search Results (20)

Search Parameters:
Keywords = Tobacco tar

Order results
Result details
Results per page
Select all
Export citation of selected articles as:
22 pages, 3810 KB  
Article
Nanofibrous Polymer Filters for Removal of Metal Oxide Nanoparticles from Industrial Processes
by Andrzej Krupa, Arkadiusz Tomasz Sobczyk and Anatol Jaworek
Membranes 2025, 15(10), 291; https://doi.org/10.3390/membranes15100291 - 25 Sep 2025
Viewed by 1442
Abstract
Filtration of submicron particles and nanoparticles is an important problem in nano-industry and in air conditioning and ventilation systems. The presence of submicron particles comprising fungal spores, bacteria, viruses, microplastic, and tobacco-smoke tar in ambient air is a severe problem in air conditioning [...] Read more.
Filtration of submicron particles and nanoparticles is an important problem in nano-industry and in air conditioning and ventilation systems. The presence of submicron particles comprising fungal spores, bacteria, viruses, microplastic, and tobacco-smoke tar in ambient air is a severe problem in air conditioning systems. Many nanotechnology material processes used for catalyst, solar cells, gas sensors, energy storage devices, anti-corrosion and hydrophobic surface coating, optical glasses, ceramics, nanocomposite membranes, textiles, and cosmetics production also generate various types of nanoparticles, which can retain in a conveying gas released into the atmosphere. Particles in this size range are particularly difficult to remove from the air by conventional methods, e.g., electrostatic precipitators, conventional filters, or cyclones. For these reasons, nanofibrous filters produced by electrospinning were developed to remove fine particles from the post-processing gases. The physical basis of electrospinning used for nanofilters production is an employment of electrical forces to create a tangential stress on the surface of a viscous liquid jet, usually a polymer solution, flowing out from a capillary nozzle. The paper presents results for investigation of the filtration process of metal oxide nanoparticles: TiO2, MgO, and Al2O3 by electrospun nanofibrous filter. The filter was produced from polyvinylidene fluoride (PVDF). The concentration of polymer dissolved in dimethylacetamide (DMAC) and acetone mixture was 15 wt.%. The flow rate of polymer solution was 1 mL/h. The nanoparticle aerosol was produced by the atomization of a suspension of these nanoparticles in a solvent (methanol) using an aerosol generator. The experimental results presented in this paper show that nanofilters made of PVDF with surface density of 13 g/m2 have a high filtration efficiency for nano- and microparticles, larger than 90%. The gas flow rate through the channel was set to 960 and 670 l/min. The novelty of this paper was the investigation of air filtration from various types of nanoparticles produced by different nanotechnology processes by nanofibrous filters and studies of the morphology of nanoparticle deposited onto the nanofibers. Full article
Show Figures

Figure 1

18 pages, 11632 KB  
Article
Tobacco Residues Deposition at the Surface of Cobalt–Chromium Dental Alloys and the Effect of Cigarette Smoke Extract on Human Mesenchymal Stem Cells: An In Vitro Study
by Willi-Andrei Uriciuc, Bianca Adina Bosca, Mihaela Tertis, Adrian-Bogdan Țigu, Radu-Cristian Moldovan, Maria Suciu, Lucian Barbu-Tudoran, Tamara Liana Topală, Liana Crisan, Cătălin Ovidiu Popa and Aranka Ilea
Coatings 2025, 15(3), 279; https://doi.org/10.3390/coatings15030279 - 26 Feb 2025
Cited by 2 | Viewed by 1741
Abstract
The current study began with the following question: Is smoking a balanced factor between human body systems? One of the particular features of the oral cavity is its localization at the gateway of respiratory and digestive. Morphologically, the oral cavity encompasses a complex [...] Read more.
The current study began with the following question: Is smoking a balanced factor between human body systems? One of the particular features of the oral cavity is its localization at the gateway of respiratory and digestive. Morphologically, the oral cavity encompasses a complex association of soft tissues, hard tissues, salivary glands, and taste receptors. The main purpose of this study was to analyze the tobacco residues (TAR) deposited on dental materials and the alterations of artificial saliva that comes into contact with tobacco smoke, by obtaining a solution of cigarette smoke extracts (CSE) after 5, 10, 15, and 20 tobacco cigarettes. According to LC-MS analysis and FT-IR spectra, carbonyl compounds, phenols, and carboxylic acids are present in CSE, which could explain the pH decrease and acid characteristic. Moreover, the CSE solution was added to the culture medium of Mesenchymal Stem Cells (MSCs) to evaluate the cytotoxicity. The MTT study revealed decreased MSC viability; morphological changes and cell death were more intense at higher doses of CSE added to the culture medium. Scanning Electron Microscopy (SEM) indicated cellular ruffling and irregular cell surface under higher concentrations of CSE-15 and CSE-20 in culture media, which is a characteristic feature demonstrating the membrane stress. In conclusion, the present study, with its limitations, showed the negative cellular effects of tobacco cigarette smoking and the impact of this habit on the oral cavity homeostasis. Full article
(This article belongs to the Section Surface Coatings for Biomedicine and Bioengineering)
Show Figures

Figure 1

16 pages, 1305 KB  
Article
The Effects of Filter Ventilation and Expanded Tobacco on the Tar, Nicotine and Carbon Monoxide Yields from Cigarettes Sold in Australia
by Wendy R. Winnall, Ashleigh Haynes, Walther Klerx, Ingrid M. E. Bakker-‘t Hart, Caroline Versluis, Niels M. Leijten, Emily Brennan, Reinskje Talhout and Melanie A. Wakefield
Int. J. Environ. Res. Public Health 2025, 22(1), 50; https://doi.org/10.3390/ijerph22010050 - 31 Dec 2024
Viewed by 6814
Abstract
Cigarette brand variant names and characteristics such as the taste and feel of the smoke can mislead consumers into believing some products are less harmful. We assessed the characteristics of three common cigarette variants sold in Australia, “gold”, “blue” and “red”, to determine [...] Read more.
Cigarette brand variant names and characteristics such as the taste and feel of the smoke can mislead consumers into believing some products are less harmful. We assessed the characteristics of three common cigarette variants sold in Australia, “gold”, “blue” and “red”, to determine which characteristics differed by color, and which affected tar, nicotine and carbon monoxide (TNCO) yields. TNCO yields, physical parameters, expanded tobacco and filter ventilation were measured in cigarette color variants from eight brands. Filter ventilation and expanded tobacco were common across brands and variants. Compared to blue and red variants, gold variants had slightly shorter tobacco rods and greater filter ventilation. Gold variants had lower TNCO when measured using the industry-favored International Organization for Standardization (ISO) protocol. ISO-measured TNCO yields were associated with filter ventilation and tobacco rod length, but not use of expanded tobacco. When measured using the Health Canada Intensive (HCI) protocol, which better emulates human smoking behavior, TNCO emissions were markedly higher, and the emission differences by extent of filter ventilation were minimized, indicating that ISO measurements are misleading. These findings confirm that cigarette color names, and the filter ventilation levels they signify, remain misleading more than a decade after plain packaging eliminated pack colors in Australia, as higher levels of filter ventilation are not associated with reduced TNCO emissions measured using the HCI protocol. Consumer education and communication campaigns could amplify the impacts of Australia’s newly passed tobacco legislation banning color and other variant names that imply reduced harm. Full article
Show Figures

Figure 1

13 pages, 791 KB  
Article
Effect of Capsule Burst in Cigarette Filters on the Compound Composition of Mainstream Cigarette Smoke
by Hyeon-Su Lim, Ji-Sang You and Heung-Bin Lim
Toxics 2023, 11(11), 901; https://doi.org/10.3390/toxics11110901 - 3 Nov 2023
Cited by 3 | Viewed by 6958
Abstract
The number of cigarette capsule users is increasing; however, a comprehensive epidemiological investigation comparing the harmfulness of capsule and non-capsule cigarettes, particularly concerning the composition of flavor components and mainstream smoke, is lacking. The present study aimed to investigate the effect of capsule [...] Read more.
The number of cigarette capsule users is increasing; however, a comprehensive epidemiological investigation comparing the harmfulness of capsule and non-capsule cigarettes, particularly concerning the composition of flavor components and mainstream smoke, is lacking. The present study aimed to investigate the effect of capsule burst on the compound composition of mainstream smoke by quantifying the Hoffmann list and flavor (geraniol, eugenol, menthofuran, and pulegone) in mainstream smoke with and without crushing the capsules. The findings indicate that while tar values tended to increase when the capsules were burst, there was no significant change observed in the other Hoffmann list components, such as nicotine, benzo[α]pyrene, tobacco-specific nitrosamines, aromatic amines, and phenolics. However, when the capsules burst, menthofuran and pulegone, which were present in the capsule and could cause toxicity, were found in the mainstream smoke via the International Standard Organization (1.5–4.0 μg/cig and 5.13–6.00 μg/cig smoking regime) and Health Canada Intense (12.8–18.2 μg/cig and 22.77–24.67 μg/cig smoking regime). Therefore, understanding the capsule composition is important, as the toxic components of the capsules can be inhaled as smoke, posing a potential health risk. Full article
(This article belongs to the Special Issue 2nd Edition: Tobacco Smoke Exposure and Tobacco Product Use)
Show Figures

Figure 1

17 pages, 3189 KB  
Article
Protective Effect of the Hydrophilic Extract of Polypodium leucotomos, Fernblock®, against the Synergistic Action of UVA Radiation and Benzo[a]pyrene Pollutant
by María Gallego-Rentero, Jimena Nicolás-Morala, Miguel Alonso-Juarranz, Elisa Carrasco, Mikel Portillo-Esnaola, Azahara Rodríguez-Luna and Salvador González
Antioxidants 2022, 11(11), 2185; https://doi.org/10.3390/antiox11112185 - 4 Nov 2022
Cited by 6 | Viewed by 3097
Abstract
Oxidative stress is a harmful effect induced on the skin by polycyclic aromatic hydrocarbons (PAH), including benzo[a]pyrene (BaP) air pollutants. This effect is amplified by the additive damaging effect of the sun, especially through the UVA light component. Besides being one of the [...] Read more.
Oxidative stress is a harmful effect induced on the skin by polycyclic aromatic hydrocarbons (PAH), including benzo[a]pyrene (BaP) air pollutants. This effect is amplified by the additive damaging effect of the sun, especially through the UVA light component. Besides being one of the main compounds that make up air pollution, BaP can also be found in tar, tobacco smoke, and various foods. In addition to its direct carcinogenic potential, BaP can act as a photosensitizer absorbing sunlight in the UVA range and thus generating ROS and 8-hydroxy-2′-deoxyguanosine (8-OHdG). Fernblock® (FB) is an aqueous extract from the leaves of Polypodium leucotomos that has been proven to exert photoprotective and antioxidant effects on skin cells. In this study, we evaluate the potential of FB to prevent the damage induced by a combination of BaP and UVA light on human keratinocyte and mouse melanocyte cell lines (HaCaT and B16-F10, respectively). In particular, we have analyzed the capacity of FB to counteract the alterations caused on cellular morphology, viability, oxidative stress and melanogenic signaling pathway activation. Our data indicate that FB prevented cell damage and reduced oxidative stress and melanogenic signaling pathway activation caused by a combination of BaP and UVA light irradiation. Altogether, our findings support the fact that FB is able to prevent skin damage caused by the exposure to a combination of UVA and the air pollutant BaP. Full article
(This article belongs to the Special Issue Role of Oxidative Stress in the Dermatological Diseases)
Show Figures

Graphical abstract

11 pages, 1382 KB  
Article
Do Budget Cigarettes Emit More Particles? An Aerosol Spectrometric Comparison of Particulate Matter Concentrations between Private-Label Cigarettes and More Expensive Brand-Name Cigarettes
by Greta Gerlach, Markus Braun, Janis Dröge and David A. Groneberg
Int. J. Environ. Res. Public Health 2022, 19(10), 5920; https://doi.org/10.3390/ijerph19105920 - 13 May 2022
Cited by 3 | Viewed by 3750
Abstract
Private-label cigarettes are cigarettes that belong to the retailer itself. Private-label cigarettes from discounters or supermarkets are cheaper than brand-name cigarettes, and their lower price has allowed them to garner an ever-increasing share of the tobacco product market, especially among lower socioeconomic groups. [...] Read more.
Private-label cigarettes are cigarettes that belong to the retailer itself. Private-label cigarettes from discounters or supermarkets are cheaper than brand-name cigarettes, and their lower price has allowed them to garner an ever-increasing share of the tobacco product market, especially among lower socioeconomic groups. Particulate matter (PM), a considerable component of air pollution, is a substantial health-damaging factor. Smoking is the primary source of PM in smokers’ homes. In a 2.88 m3 measuring chamber, the PM emission fractions PM10, PM2.5, and PM1 from three private-label cigarette brands and three brand-name cigarette brands with identical nicotine, tar, and carbon monoxide content were measured and compared to those of a reference cigarette by laser aerosol spectroscopy. All cigarette brands emitted PM in health-threatening quantities. The measurement results ranged from 1394 µg/m3 to 1686 µg/m3 PM10, 1392 µg/m3 to 1682 µg/m3 PM2.5, and 1355 µg/m3 to 1634 µg/m3 PM1, respectively. Only one private-label brand differed significantly (p < 0.001) from the other cigarette brands, which were tested with slightly lower PM levels. All other brands differed only marginally (not significant, p > 0.05) from one another. Significant (p < 0.05) negative correlations between private-label and brand-name cigarettes were found for PM10, PM2.5, and PM1 when accounting for tobacco filling densities, and for PM1 when accounting for filter lengths. The especially health-hazardous fraction PM1 accounted for the largest proportion of PM emissions from the cigarettes tested. The results of this study suggest that- cheaper tobacco products are as harmful as more expensive ones, at least regarding PM emissions. This highlights the importance of anti-smoking campaigns, especially for lower socioeconomic groups, where smoking is more widespread. Governments should reduce the price gap between cheap and more expensive tobacco products by implementing specific tobacco taxes. In such a case, at increasing prices of tobacco products, a downward shift to private-label cigarettes would probably decrease. Full article
Show Figures

Figure 1

16 pages, 1887 KB  
Article
The Emission of VOCs and CO from Heated Tobacco Products, Electronic Cigarettes, and Conventional Cigarettes, and Their Health Risk
by Fengju Lu, Miao Yu, Chaoxian Chen, Lijun Liu, Peng Zhao, Boxiong Shen and Ran Sun
Toxics 2022, 10(1), 8; https://doi.org/10.3390/toxics10010008 - 28 Dec 2021
Cited by 44 | Viewed by 7174
Abstract
The differences in aerosol composition between new tobacco types (heated tobacco products and electronic cigarettes) and conventional cigarettes have not been systematically studied. In this study, the emissions of volatile organic compounds (VOCs), carbon monoxide (CO), nicotine, and tar from heated tobacco products [...] Read more.
The differences in aerosol composition between new tobacco types (heated tobacco products and electronic cigarettes) and conventional cigarettes have not been systematically studied. In this study, the emissions of volatile organic compounds (VOCs), carbon monoxide (CO), nicotine, and tar from heated tobacco products (HTPs), electronic cigarettes (e-cigarettes) and conventional cigarettes were compared, and their health risks were evaluated by applying the same smoking regime and a loss mechanism of smoking. Twenty VOCs were identified in aerosols from HTPs, 18 VOCs were identified in aerosols from e-cigarettes, and 97 VOCs were identified in aerosols from cigarettes by GC–MS and HPLC analysis. The concentrations of total VOCs (TVOCs) emitted by the three types of tobacco products decreased as follows: e-cigarettes (795.4 mg/100 puffs) > cigarettes (83.29 mg/100 puffs) > HTPs (15.65 mg/100 puffs). The nicotine content was 24.63 ± 2.25 mg/100 puffs for e-cigarettes, 22.94 ± 0.03 mg/100 puffs for cigarettes, and 8.817 ± 0.500 mg/100 puffs for HTPs. When using cigarettes of the same brand, the mass concentrations of VOCs, tar, and CO emitted by HTPs were approximately 81.2%, 95.9%, and 97.5%, respectively, lower than the amounts emitted by cigarettes. The health risk results demonstrated that the noncarcinogenic risk of the three types of tobacco products decreased as follows: cigarettes (3609.05) > HTPs (2449.70) > acceptable level (1) > e-cigarettes (0.91). The lifetime cancer risk (LCR) decreased as follows: cigarettes (2.99 × 10−4) > HTPs (9.92 × 10−5) > e-cigarettes (4.80 × 10−5) > acceptable level (10−6). In general, HTPs and e-cigarettes were less harmful than cigarettes when the emission of VOCs and CO was considered. Full article
Show Figures

Graphical abstract

10 pages, 1363 KB  
Article
A Low-Cost, High-Throughput Digital Image Analysis of Stain Patterns on Smoked Cigarette Filter Butts to Estimate Mainstream Smoke Exposure
by Clifford H. Watson, Jane Yan, Stephen Stanfill, Liza Valentin-Blasini, Roberto Bravo Cardenas and Benjamin C. Blount
Int. J. Environ. Res. Public Health 2021, 18(19), 10546; https://doi.org/10.3390/ijerph181910546 - 8 Oct 2021
Viewed by 2966
Abstract
Standard machine smoking protocols provide useful information for examining the impact of design parameters, such as filter ventilation, on mainstream smoke delivery. Unfortunately, their results do not accurately reflect human smoke exposure. Clinical research and topography devices in human studies yield insights into [...] Read more.
Standard machine smoking protocols provide useful information for examining the impact of design parameters, such as filter ventilation, on mainstream smoke delivery. Unfortunately, their results do not accurately reflect human smoke exposure. Clinical research and topography devices in human studies yield insights into how products are used, but a clinical setting or smoking a cigarette attached to such a device may alter smoking behavior. To better understand smokers’ use of filtered cigarette products in a more natural environment, we developed a low-cost, high-throughput approach to estimate mainstream cigarette smoke exposure on a per-cigarette basis. This approach uses an inexpensive flatbed scanner to scan smoked cigarette filter butts and custom software to analyze tar-staining patterns. Total luminosity, or optical staining density, of the scanned images provides quantitative information proportional to mainstream smoke-constituent deliveries on a cigarette-by-cigarette basis. Duplicate sample analysis using this new approach and our laboratory’s gold-standard liquid chromatography/tandem mass spectrometry (LC/MS/MS) solanesol method yielded comparable results (+7% bias) from the analysis of 20 commercial cigarettes brands (menthol and nonmentholated). The brands varied in design parameters such as length, filter ventilation, and diameter. Plots correlating the luminosity to mainstream smoked-nicotine deliveries on a per-cigarette basis for these cigarette brands were linear (average R2 > 0.91 for nicotine and R2 > 0.83 for the tobacco-specific nitrosamine NNK), on a per-brand basis, with linearity ranging from 0.15 to 3.00 mg nicotine/cigarette. Analysis of spent cigarette filters allows exposures to be characterized on a per-cigarette basis or a “daily dose” via summing across results from all filter butts collected over a 24 h period. This scanner method has a 100-fold lower initial capital cost for equipment than the LC/MS/MS solanesol method and provides high-throughput results (~200 samples per day). Thus, this new method is useful for characterizing exposure related to filtered tobacco-product use. Full article
(This article belongs to the Special Issue Tobacco Smoke Exposure and Tobacco Product Use)
Show Figures

Figure 1

13 pages, 3430 KB  
Communication
Photocatalytic Degradation of Tobacco Tar Using CsPbBr3 Quantum Dots Modified Bi2WO6 Composite Photocatalyst
by Runda Huang, Menglong Zhang, Zhaoqiang Zheng, Kunqiang Wang, Xiao Liu, Qizan Chen and Dongxiang Luo
Nanomaterials 2021, 11(9), 2422; https://doi.org/10.3390/nano11092422 - 17 Sep 2021
Cited by 21 | Viewed by 4026
Abstract
Polycyclic aromatic hydrocarbons (PAHs) in tobacco tar are regarded as a significant threat to human health. PAHs are formed due to the incomplete combustion of organics in tobacco and cigarette paper. Herein, for the first time, we extended the application of CsPbBr3 [...] Read more.
Polycyclic aromatic hydrocarbons (PAHs) in tobacco tar are regarded as a significant threat to human health. PAHs are formed due to the incomplete combustion of organics in tobacco and cigarette paper. Herein, for the first time, we extended the application of CsPbBr3 quantum dots (CsPbBr3) to the photocatalytic degradation of tobacco tar, which was collected from used cigarette filters. To optimize the photoactivity, CsPbBr3 was coupled with Bi2WO6 for the construction of a type-II photocatalyst. The photocatalytic performance of the CsPbBr3/Bi2WO6 composite was evaluated by the degradation rate of PAHs from tobacco tar under simulated solar irradiation. The results revealed that CsPbBr3/Bi2WO6 possesses a large specific surface area, outstanding absorption ability, good light absorption and rapid charge separation. As a result, in addition to good stability, the composite photocatalyst performed remarkably well in degrading PAHs (over 96% were removed in 50 mins of irradiation by AM 1.5 G). This study sheds light on promising novel applications of halide perovskite. Full article
(This article belongs to the Special Issue Nanotechnologies and Nanomaterials: Selected Papers from CCMR)
Show Figures

Figure 1

11 pages, 314 KB  
Article
An Emerging Problem of Shisha Smoking among High School Students in Ethiopia
by Selamawit Hirpa, Andrew Fogarty, Adamu Addissie, Linda Bauld, Thomas Frese, Susanne Unverzagt, Eva Johanna Kantelhardt, Sefonias Getachew and Wakgari Deressa
Int. J. Environ. Res. Public Health 2021, 18(13), 7023; https://doi.org/10.3390/ijerph18137023 - 30 Jun 2021
Cited by 18 | Viewed by 4493
Abstract
Shisha smoking is also known as hookah, water pipe, goza, and nargile. Shisha use among the young is increasing globally. Shisha smoke results in a high concentration of carbon monoxide, tar, nicotine, and heavy metals which can be toxic to humans, especially with [...] Read more.
Shisha smoking is also known as hookah, water pipe, goza, and nargile. Shisha use among the young is increasing globally. Shisha smoke results in a high concentration of carbon monoxide, tar, nicotine, and heavy metals which can be toxic to humans, especially with chronic exposure. This study aims to determine the prevalence and risk factors of shisha smoking among in-school adolescents in Ethiopia. Four regional states in Ethiopia (Oromia, Amhara, Southern Nations, Nationalities, and Peoples’ Region, Tigray) and the capital city (Addis Ababa) were the study areas. A two-stage cluster sampling approach was employed to produce a representative sample. From the sampling frames in the study areas, 36 high schools were selected randomly. A multi-level logistic regression analysis was used to account for cluster-specific random effects, the effect of individuals’, and school-level variables for ever-use of shisha. A total of 3355 secondary school grade 9 and 10 students aged between 13 and 22 years took part in this study. A total of 86 (2.6%) and 20 (0.6%) of the study participants, reported that they had ever smoked or were current smokers of shisha, respectively. Of all study participants, 38.6% perceived shisha as less harmful than cigarettes and 48.5% reported that they do not know which was more harmful to health. Students were more likely to ever use shisha if they had friend/s who smoke shisha (AOR = 16.8, 95% CI: 6.4–44.3), ever smoked cigarettes (AOR = 8.2, 95% CI: 3.4–19.8), ever used khat (AOR = 4.2, 95% CI: 1.9–10.4), ever used marijuana (AOR = 3.9, 95% CI: 1.4–11.1), ever used smokeless tobacco (AOR = 3.1 95% CI: 1.1–8.4), and students had received income from their parents (AOR = 3.1 CI: 1.1–8.8). Prevalence of ever and current use of shisha among high school students is low in Ethiopia compared to many countries in Africa. The majority of adolescents perceived shisha as less harmful to health than cigarette smoking. Health education about the harmful effects of shisha should be delivered to adolescents, along with information on other substances like khat, cigarettes, marijuana, and smokeless tobacco to prevent initiation of substance use. Full article
(This article belongs to the Section Public Health Statistics and Risk Assessment)
19 pages, 5318 KB  
Article
Effect of Time, Temperature and Stirring Rate Used in the First Step of the Synthesis of SBA-15 on Its Application as Reductor of Tars in Tobacco Smoke
by Nerea Juárez-Serrano, Javier Asensio, Inmaculada Blasco, Maribel Beltrán and Antonio Marcilla
Catalysts 2021, 11(3), 375; https://doi.org/10.3390/catal11030375 - 12 Mar 2021
Cited by 7 | Viewed by 3066
Abstract
SBA-15 has been employed as a tobacco additive with the objective of reducing the toxic and carcinogenic components in tobacco smoke. The effect of the synthesis conditions (temperature, time, and stirring rate) on this application was studied in this paper. The SBA-15 was [...] Read more.
SBA-15 has been employed as a tobacco additive with the objective of reducing the toxic and carcinogenic components in tobacco smoke. The effect of the synthesis conditions (temperature, time, and stirring rate) on this application was studied in this paper. The SBA-15 was characterized (RDX, N2 adsorption isotherms, SEM and apparent density), mixed with the 3R4F reference tobacco, and smoked under standard conditions. The composition of the gas and condensed fractions also was analyzed. The morphology of the material plays an important role on this application and is highly influenced by the three variables studied. Long fibers show improved efficiency compared to short fibers. The tar reduction effect was improved when increasing the time of synthesis. Nevertheless, a maximum was observed with temperature (40 °C) and stirring rate (700 rpm). The optimal synthesis conditions obtained were 24 h, 40 °C and 700 rpm, yielding reductions as high as 68% for tar, 67% for nicotine, and 31% for CO. The scaling-up process has only been reported in terms of grams but never in a preindustrial scale (around 4 kg), and thus the results of this analysis show a promising material with properties and behavior similar with respect to the sample synthesized at laboratory scale. Full article
Show Figures

Figure 1

12 pages, 885 KB  
Article
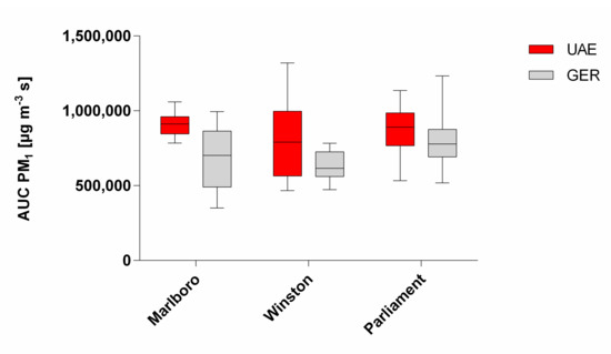
High Particulate Matter Burden of Cigarettes from the United Arab Emirates and Germany: Are There Country-Specific Differences?
by Markus Braun, Rawya Al-Qaysi, Doris Klingelhöfer, Ruth Müller and David A. Groneberg
Int. J. Environ. Res. Public Health 2020, 17(7), 2415; https://doi.org/10.3390/ijerph17072415 - 2 Apr 2020
Cited by 6 | Viewed by 5280
Abstract
Although the big tobacco companies offer the same cigarette brands across countries, little is known about the potential regional differences of the particulate matter (PM) emissions of apparently equal brands. PM emissions of three cigarette brands (Marlboro Gold, Winston Red resp. Classic, Parliament [...] Read more.
Although the big tobacco companies offer the same cigarette brands across countries, little is known about the potential regional differences of the particulate matter (PM) emissions of apparently equal brands. PM emissions of three cigarette brands (Marlboro Gold, Winston Red resp. Classic, Parliament Platinum resp. Night Blue) from the United Arab Emirates (UAE) and Germany were analysed. Second-hand smoke was produced in a 2.88 m3 measuring cabin by an automatic environmental tobacco smoke emitter. PM size fractions PM10, PM2.5, and PM1 were detected in real-time using laser aerosol spectrometry. Depending on the PM fraction Marlboro cigarettes from UAE showed 33%–35% higher PM amounts. Moreover, Winston cigarettes from UAE showed distinctly higher PM values (28–31%) than the German counterparts. The “lighter” Parliament from UAE emitted 3%–9% more PM than the German one. The measured mean PM10 values laid between 778 and 1163 µg/m3 (mean PM2.5: 777–1161 µg/m3; mean PM1: 724–1074 µg/m3). That means smoking in enclosed rooms causes massive PM burden. The PM emission of equal or similar tobacco products from different countries can differ distinctly. Hence, the declaration of PM emission values, besides nicotine, tar, and carbon monoxide amounts, should be obligatory worldwide. Furthermore, complete information about the ingredients and production processes of tobacco products should be provided to health officials and the public. This can help to minimise or ban substances or product designs that make smoking even more harmful, and to enhance the awareness of the risks of smoking. Full article
(This article belongs to the Section Environmental Health)
Show Figures

Figure 1

11 pages, 2907 KB  
Article
Analysis of Adsorption and Decomposition of Odour and Tar Components in Tobacco Smoke on Non-Woven Fabric-Supported Photocatalysts
by Tsuyoshi Ochiai, Daisuke Aoki, Hidenori Saito, Yasuhisa Akutsu and Morio Nagata
Catalysts 2020, 10(3), 304; https://doi.org/10.3390/catal10030304 - 6 Mar 2020
Cited by 13 | Viewed by 18937
Abstract
The release of substantial amounts of toxicologically significant, irritant, and malodourous compounds during the complete combustion of tobacco can generate an unpleasant environment, especially indoors. Herein, we developed non-woven fabric-supported UV- and visible-light-responsive photocatalysts capable of adsorbing and decomposing the odour and tar [...] Read more.
The release of substantial amounts of toxicologically significant, irritant, and malodourous compounds during the complete combustion of tobacco can generate an unpleasant environment, especially indoors. Herein, we developed non-woven fabric-supported UV- and visible-light-responsive photocatalysts capable of adsorbing and decomposing the odour and tar components of tobacco smoke under irradiation with UV or visible light. The processes of odour component adsorption and subsequent decomposition under irradiation were evaluated in terms of colour changes in the catalytic system and by gas chromatography–mass spectrometry. By considering three different photocatalysts, namely TiO2, Fe(III)-grafted TiO2, and Cu(II)-grafted WO3, we assessed the magnitude of odour and tar component adsorption on the fabric fibres, as well as the decomposition of these species after specific visible light or UV irradiation periods. Considering the expansion of our technology for practical applications, the best results among the three tested materials were obtained for non-woven fabric-supported Fe/TiO2. We believe that our technology can be implemented in the design of interior decoration materials for creating a comfortable environment. Full article
Show Figures

Graphical abstract

21 pages, 4939 KB  
Article
The Effect of Temperature and Time of the Hydrothermal Treatment in the SBA-15 Synthesis Process on the Structure and Textural Properties and the Ability to Reduce the Evolution of Tars in Tobacco Smoking
by Nerea Juárez-Serrano, Javier Asensio, Isabel Martínez-Castellanos, Maribel Beltrán and Antonio Marcilla
Catalysts 2020, 10(3), 272; https://doi.org/10.3390/catal10030272 - 1 Mar 2020
Cited by 6 | Viewed by 4131
Abstract
Different SBA-15 (SBA, Santa Barbara Amorphous) materials were synthetized at different temperature and time during of the hydrothermal treatment. The obtained SBA-15 were characterized by N2 adsorption isotherms, scanning electron microscopy (SEM), X-ray diffraction (DRX), and density in order to establish the [...] Read more.
Different SBA-15 (SBA, Santa Barbara Amorphous) materials were synthetized at different temperature and time during of the hydrothermal treatment. The obtained SBA-15 were characterized by N2 adsorption isotherms, scanning electron microscopy (SEM), X-ray diffraction (DRX), and density in order to establish the influence of these variables on their properties. Mixtures of the obtained catalysts with 3R4F tobacco were prepared and smoked under the ISO 3308 conditions. Temperature of the hydrothermal treatment slightly affects the tars that evolved in the smoking process of the corresponding catalyst tobacco mixtures. Contrarily, the time of the hydrothermal treatment has a marked effect on the reductions of toxic compounds in the smoke. Developed porosity has a positive correlation with the observed tar reduction, whereas the apparent density has a negative correlation with the reduction in toxicity. Moreover, the removal of the supernatant liquors during the hydrothermal treatment does not strongly modify the properties of the materials and may represent an interesting simplification of the process. Full article
(This article belongs to the Special Issue SBA-15 and Catalysis)
Show Figures

Graphical abstract

20 pages, 5114 KB  
Article
Possible Recycling of Cigarette Butts as Fiber Modifier in Bitumen for Asphalt Concrete
by Md Tareq Rahman, Abbas Mohajerani and Filippo Giustozzi
Materials 2020, 13(3), 734; https://doi.org/10.3390/ma13030734 - 6 Feb 2020
Cited by 55 | Viewed by 8572
Abstract
Littering waste is among the top environmental issues in the world, and the management of the waste has turned into a challenge in almost every city. It has been reported that 75% of smokers dispose of their cigarette butts (CBs) on the ground, [...] Read more.
Littering waste is among the top environmental issues in the world, and the management of the waste has turned into a challenge in almost every city. It has been reported that 75% of smokers dispose of their cigarette butts (CBs) on the ground, even in public places. Researchers have discovered that CBs make up more than one-third of the total littered waste on the planet. Cigarette butts predominantly consist of a cellulose acetate fiber (plastic)-based filter wrapped in paper. Waste CBs contain burnt tobacco and tar, along with many other toxic chemicals. They take years to biodegrade depending on the environmental conditions, and toxic chemicals leach out and contaminate the environment. As part of an ongoing project, this paper presents a novel and sustainable technique to recycle cigarette butts in bitumen for the construction of flexible pavements. In this research, CBs have been pre-processed and mixed with bitumen classes C320, C170, and PMB A10E as a fiber modifier. Comprehensive laboratory investigations, including a penetration test, softening point test, and viscosity test, have been performed along with a binder drain off test to evaluate the performance of the modified samples. During this investigation, samples were prepared with 0.3% cellulose fiber, 0.2%, 0.3% 0.4%, and 0.5% CBs. The results of the CB-modified samples were compared with the sample with cellulose fiber and fresh bitumen (0% fiber). The results show that the physical and rheological properties of bitumen incorporating CBs improve significantly, and CBs could be used instead of virgin cellulose fiber as a fiber modifier. Full article
(This article belongs to the Special Issue Novel Sustainable Technologies for Recycling Waste Materials)
Show Figures

Figure 1

Back to TopTop