The Effect of Temperature and Time of the Hydrothermal Treatment in the SBA-15 Synthesis Process on the Structure and Textural Properties and the Ability to Reduce the Evolution of Tars in Tobacco Smoking
Abstract
1. Introduction
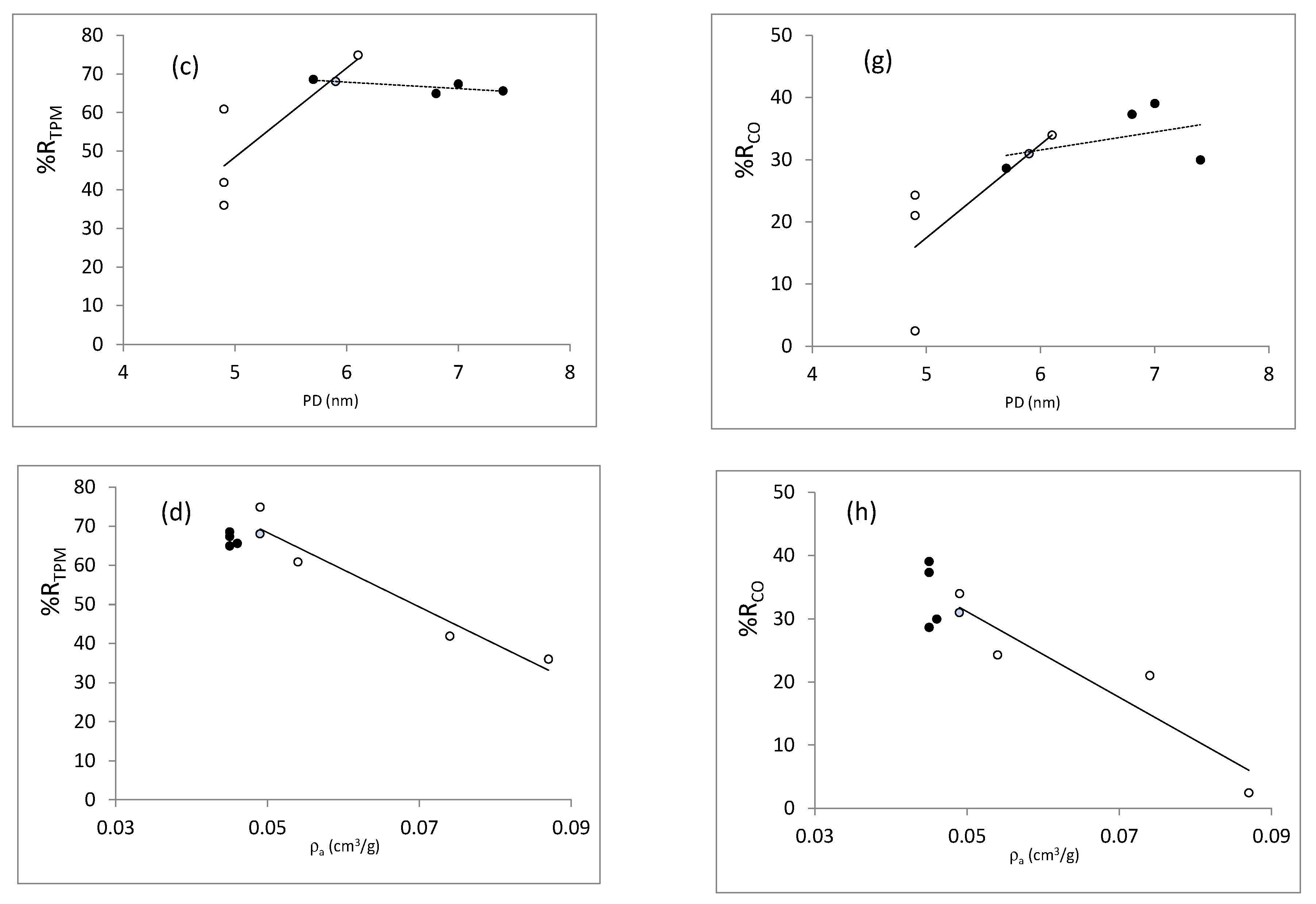
2. Results and Discussion
2.1. Synthesis of SBA-15
2.2. Smoking Experiment Results
3. Materials and Methods
3.1. Synthesis of SBA-15
3.2. Characterization
3.3. Smoking Analysis
3.3.1. Cigarette Preparation
3.3.2. Smoking Experiments
3.3.3. Analysis of the Particulate Matter
3.3.4. Analysis of the Vapor Phase
4. Conclusions
Author Contributions
Acknowledgments
Conflicts of Interest
Appendix A
| Compound | Family | 24/80 * | 24/80 | 24/100 * | 24/100 | 24/130 | 0/80 | 2/80 | 6/80 | 15/80 | 24/80 |
|---|---|---|---|---|---|---|---|---|---|---|---|
| Methane | Paraffins | 20.5 | 21.2 | 33.9 | 43.0 | 32.1 | 16.4 | 13.0 | 17.3 | 18.3 | 21.2 |
| Ethane | Paraffins | 25.5 | 22.4 | 34.1 | 43.9 | 32.7 | 11.5 | 12.4 | 15.8 | 18.8 | 22.4 |
| Ethylene | Olefins | 22.0 | 20.7 | 31.6 | 40.3 | 22.0 | 3.1 | 8.9 | 16.1 | 20.8 | 20.7 |
| Ethyne | Others | 9.8 | 6.7 | 27.6 | 41.1 | −7.7 | −77.9 | −22.5 | 17.2 | −29.4 | 6.7 |
| Propane | Paraffins | 28.1 | 18.1 | 34.4 | 43.5 | 32.7 | 12.1 | 6.7 | 12.5 | 11.5 | 18.1 |
| Propene | Olefins | 26.3 | 25.0 | 34.0 | 43.2 | 26.6 | 8.9 | 12.1 | 15.2 | 30.6 | 25.0 |
| Iso-butane | Parafins | −13.4 | −9.2 | 56.2 | 57.2 | −58.4 | −16.0 | −22.3 | 2.7 | −17.6 | −9.2 |
| Chloromethane | Others | 31.6 | 31.6 | 35.7 | 41.3 | 33.5 | 7.4 | 12.9 | 18.3 | 7.0 | 31.6 |
| Butane | Paraffins | 31.2 | 9.4 | 42.2 | 49.1 | 33.5 | 10.3 | −8.1 | 9.6 | 16.5 | 9.4 |
| 1-Butene | Olefins | 29.3 | 28.1 | 36.5 | 44.2 | 31.1 | 10.3 | 14.0 | 15.7 | 17.6 | 28.1 |
| 1,2-Propadiene | Olefins | 27.4 | 28.6 | 37.3 | 39.7 | 21.0 | −9.3 | 22.1 | 29.8 | 4.6 | 28.6 |
| 1,3-Butadiene | Olefins | 28.8 | 26.6 | 32.0 | 43.6 | 27.5 | 5.9 | 14.7 | 13.6 | 22.4 | 26.6 |
| Isobutene | Olefins | 23.7 | 25.6 | 33.2 | 40.6 | 20.3 | −6.7 | 10.4 | 6.1 | 15.8 | 25.6 |
| cis-2-Butene | Olefins | 27.9 | 26.8 | 33.7 | 42.9 | 24.5 | −0.4 | 11.3 | 14.0 | 9.1 | 26.8 |
| Pentane | Paraffins | 23.4 | 21.3 | 33.1 | 40.4 | 32.0 | 16.2 | 13.3 | −0.8 | 20.2 | 21.3 |
| Methanethiol | Others | −17.3 | 34.5 | 17.1 | 29.9 | 24.6 | 6.3 | 13.2 | 19.9 | 11.2 | 34.5 |
| Hydrogen cyanide | Others | 26.1 | 22.0 | 32.0 | 41.8 | 31.5 | −1.3 | 9.0 | −0.1 | −7.1 | 22.0 |
| 1-Pentene | Olefins | 27.4 | 25.0 | 33.5 | 39.5 | 25.6 | 6.3 | 12.4 | 12.9 | −0.6 | 25.0 |
| Furan | Aromatics | 30.7 | 37.5 | 38.7 | 49.5 | 18.7 | 13.0 | 15.0 | 21.0 | 12.3 | 37.5 |
| Isoprene | Olefins | 14.7 | 19.1 | 18.8 | 39.1 | −7.1 | 6.4 | 11.9 | 4.3 | 9.1 | 19.1 |
| Hexane | Paraffins | 22.9 | 0.8 | 14.9 | 54.4 | −43.9 | −28.1 | 9.3 | −21.3 | −10.7 | 0.8 |
| 1-Hexene | Olefins | 23.1 | 25.0 | 35.1 | 45.1 | 30.3 | −5.1 | 6.0 | 7.8 | 0.4 | 25.0 |
| Benzene | Aromatics | 33.1 | 44.3 | 37.6 | 47.0 | 37.7 | 10.2 | 27.6 | 37.2 | 29.8 | 44.3 |
| Acetaldehyde | Aldehydes | 26.5 | 35.6 | 38.7 | 49.9 | 42.9 | 22.6 | 19.5 | 18.4 | 36.4 | 35.6 |
| Acrolein | Aldehydes | −36.0 | 4.0 | −32.2 | −6.9 | −7.1 | −68.6 | −37.3 | −29.7 | −23.3 | 4.0 |
| Propionaldehyde | Aldehydes | 29.6 | 44.9 | 32.1 | 45.0 | 35.9 | 11.1 | 22.1 | 29.9 | 35.8 | 44.9 |
| Acetonitrile | Others | 37.6 | 71.5 | 31.6 | 57.4 | 56.4 | 55.4 | 36.4 | 61.3 | 87.0 | 71.5 |
| Toluene | Aromatics | 30.3 | 48.0 | 52.5 | 65.3 | 52.1 | 20.0 | 9.2 | 27.1 | 57.1 | 48.0 |
| 2,5-Dimethylfuran | Aromatics | 37.1 | 48.2 | 43.4 | 63.5 | 25.5 | 2.0 | 14.7 | 35.5 | 39.2 | 48.2 |
| Crotonaldehyde | Aldehydes | 23.8 | 33.6 | 26.5 | 36.7 | 52.0 | −232.7 | −47.3 | −74.8 | −31.4 | 33.6 |
| Isobutyraldehyde | Aldehydes | 32.8 | 25.3 | 44.6 | 54.0 | 44.3 | 7.7 | −7.5 | −24.4 | 15.8 | 25.3 |
| Compound | Family | 24/80 * | 24/80 | 24/100 * | 24/100 | 24/130 | 0/80 | 2/80 | 6/80 | 15/80 | 24/80 |
|---|---|---|---|---|---|---|---|---|---|---|---|
| 2-(1-methylethoxy)-Ethanol | Epoxies | 82.6 | 82.5 | 61.4 | 46.9 | 76.5 | 100.0 | 53.1 | 64.0 | 73.0 | 82.5 |
| 1-(acetyloxy)-2-Propanone | Carbonyls | 100.0 | 100.0 | 100.0 | 100.0 | 100.0 | 24.3 | 100.0 | 100.0 | 100.0 | 100.0 |
| Styrene | Aromatics | 100.0 | 100.0 | 100.0 | 100.0 | 100.0 | 100.0 | 100.0 | 100.0 | 100.0 | 100.0 |
| 2-methyl-2-Cyclopenten-1-one | Carbonyls | 100.0 | 100.0 | 100.0 | 100.0 | 100.0 | 100.0 | 100.0 | 100.0 | 100.0 | 100.0 |
| 2,5-Dimethyl-2-cyclopentenone | Carbonyls | 100.0 | 100.0 | 100.0 | 100.0 | 100.0 | 18.2 | 100.0 | 100.0 | 100.0 | 100.0 |
| Phenol | Phenolics | 100.0 | 92.7 | 58.7 | 75.2 | 86.3 | 45.2 | 79.7 | 87.5 | 85.3 | 92.7 |
| 2-hydroxy-3-methyl-2-Cyclopenten-1-one | Carbonyls | 94.0 | 95.3 | 92.1 | 93.4 | 87.8 | 100.0 | 86.2 | 92.3 | 98.7 | 95.3 |
| Limonene | Others | 57.6 | 66.3 | 58.1 | 69.6 | 79.6 | 32.9 | 35.7 | 48.1 | 64.4 | 66.3 |
| 2,3-Dimethyl-2-cyclopenten-1-one | Carbonyls | 100.0 | 100.0 | 100.0 | 100.0 | 100.0 | 100.0 | 100.0 | 100.0 | 100.0 | 100.0 |
| o-Cresol | Phenolics | 100.0 | 88.3 | 70.3 | 82.9 | 85.9 | 64.8 | 64.9 | 77.3 | 82.6 | 88.3 |
| p-Cresol | Phenolics | 100.0 | 89.9 | 71.1 | 76.8 | 86.1 | 47.5 | 77.1 | 85.5 | 92.1 | 89.9 |
| 2-methoxy-Phenol | Phenolics | 100.0 | 97.6 | 50.8 | 100.0 | 100.0 | 80.9 | 83.4 | 84.5 | 91.9 | 97.6 |
| 2-Propanamine | Nitrogenated | 100.0 | 100.0 | 68.6 | 100.0 | 100.0 | 67.8 | 100.0 | 100.0 | 100.0 | 100.0 |
| 3-Ethyl-2-hydroxy-2-cyclopenten-1-one | Carbonyls | 100.0 | 94.4 | 81.8 | 100.0 | 100.0 | 100.0 | 82.5 | 88.5 | 92.8 | 94.4 |
| 2,3-Dihydro-3,5-dihydroxy-6-methyl-4H-pyran-4-one | Carbonyls | 77.1 | 81.3 | 72.7 | 74.8 | 70.3 | 68.4 | 54.9 | 70.0 | 79.3 | 81.3 |
| 2,4-dimethyl-Phenol | Phenolics | 100.0 | 93.1 | 100.0 | 100.0 | 100.0 | 32.0 | 71.8 | 77.4 | 90.1 | 93.1 |
| 4-ethyl-Phenol | Phenolics | 100.0 | 86.0 | 100.0 | 100.0 | 100.0 | 59.7 | 61.2 | 66.6 | 80.4 | 86.0 |
| Naphthalene | Others | 100.0 | 100.0 | 100.0 | 100.0 | 100.0 | 100.0 | 100.0 | 100.0 | 100.0 | 100.0 |
| 1-(3-methylphenyl)-Ethanone | Carbonyls | 100.0 | 100.0 | 100.0 | 100.0 | 100.0 | 100.0 | 100.0 | 100.0 | 100.0 | 100.0 |
| p-cresol 2 methoxy | Phenolics | 100.0 | 100.0 | 100.0 | 100.0 | 100.0 | 100.0 | 100.0 | 100.0 | 100.0 | 100.0 |
| 2,3-Dihydro-benzofuran | Epoxies | 83.2 | 85.5 | 60.9 | 66.1 | 54.7 | -38.5 | 62.9 | 62.2 | 80.2 | 85.5 |
| Hydroquinone | Phenolics | 16.6 | 41.3 | 26.9 | 37.0 | 12.7 | -4.2 | 60.7 | 34.4 | 50.9 | 41.3 |
| 1H-Indole | Nitrogenated | 41.1 | 46.7 | 21.6 | 20.7 | 15.0 | 68.0 | 50.3 | 69.3 | 85.4 | 46.7 |
| 4-vinyl-2-methoxy-phenol | Phenolics | 78.6 | 82.6 | 61.3 | 77.2 | 79.3 | 21.0 | 69.4 | 76.5 | 86.9 | 82.6 |
| 3-methyl-1H-Indole | Nitrogenated | 88.1 | 82.7 | 79.3 | 75.2 | 79.3 | 15.6 | 60.4 | 62.7 | 74.4 | 82.7 |
| Myosmine | Nitrogenated | 81.7 | 75.3 | 66.5 | 73.4 | 80.2 | 20.3 | 32.0 | 56.5 | 72.5 | 75.3 |
| 2-methoxy-4-(2-propenyl)-Phenol | Phenolics | 76.5 | 92.4 | 71.1 | 84.0 | 76.4 | 64.1 | 56.2 | 100.0 | 100.0 | 92.4 |
| Nicotyrine | Nitrogenated | 93.4 | 93.6 | 89.3 | 86.7 | 92.7 | 67.3 | 84.8 | 90.7 | 92.9 | 93.6 |
| Norsolanadiona | Carbonyls | 75.0 | 69.5 | 70.1 | 72.9 | 82.3 | 28.9 | 44.0 | 51.4 | 61.7 | 69.5 |
| 2,3′-Bipyridine | Nitrogenated | 79.6 | 70.2 | 73.2 | 77.5 | 80.1 | 45.9 | 25.6 | 29.8 | 62.6 | 70.2 |
| Megastigmatrienone | Carbonyls | 64.0 | 65.3 | 61.2 | 64.0 | 63.2 | 20.1 | 58.1 | 60.7 | 100.0 | 65.3 |
| N-propyl- nornicotine | Nitrogenated | 100.0 | 71.9 | 62.4 | 65.6 | 61.6 | -121.6 | 1.4 | 15.2 | 37.0 | 71.9 |
| Cotinine | Nitrogenated | 64.0 | 64.5 | 66.8 | 66.1 | 54.3 | 50.8 | 31.2 | 41.6 | 60.0 | 64.5 |
| 5-Tetradecene | Aliphatics | 62.8 | 71.9 | 78.7 | 82.5 | 71.1 | 38.5 | 38.9 | 58.6 | 73.2 | 71.9 |
| N(b)-formylnornicotine | Nitrogenated | −352.1 | −29.2 | −37.2 | −25.9 | −6.9 | 1.4 | 22.8 | 45.6 | 56.4 | −29.2 |
| Neophytadiene | Aliphatics | 49.8 | 57.8 | 43.6 | 48.4 | 57.5 | 3.1 | 23.1 | 42.4 | 60.6 | 57.8 |
| Farnesol | Others | 58.3 | 51.6 | 50.6 | 51.1 | 49.6 | 10.6 | 12.8 | 25.6 | 51.9 | 51.6 |
| Ethyl ester hexadecanoic acid | Carbonyls | 59.4 | 78.3 | 75.5 | 80.9 | 60.6 | 50.2 | 56.6 | 62.9 | 71.8 | 78.3 |
| 2,6,10,15,19,23-hexamethyl-2,6,10,14,18,22-Tetracosahexaene | Aliphatics | 21.7 | 40.9 | 47.3 | 25.3 | 35.9 | 22.8 | 15.9 | 21.8 | 36.3 | 40.9 |
| Heptacosane | Aliphatics | 61.3 | 54.2 | 71.9 | 65.9 | 64.4 | 89.1 | 3.7 | 31.8 | 56.1 | 54.2 |
| Triacontane | Aliphatics | 74.3 | 56.1 | 76.1 | 83.8 | 75.2 | 86.5 | −1.7 | 17.4 | 53.1 | 56.1 |
| Octadecane | Aliphatics | 77.2 | 62.1 | 79.0 | 82.4 | 71.1 | −13.8 | 11.0 | 34.4 | 63.2 | 62.1 |
| Tocopherol | Phenolics | 83.3 | 66.4 | 82.4 | 81.5 | 77.2 | 33.1 | 10.1 | 35.3 | 68.0 | 66.4 |
References
- Wynder, E.L. Tobacco as a Cause of Lung Cancer: Some Reflections. Am. J. Epidemiol. 1997, 146, 687–694. [Google Scholar] [CrossRef] [PubMed]
- Squier, C.A. Smokeless Tobacco and Oral Cancer: A Cause for Concern? CA Cancer J. Clin. 1984, 34, 242–247. [Google Scholar] [CrossRef] [PubMed]
- Wald, N.J.; Nanchahal, K.; Thompson, S.G.; Cuckle, H.S. Does breathing other people’s tobacco smoke cause lung cancer? Br. Med. J. 1986, 293, 1217–1222. [Google Scholar] [CrossRef]
- Gómez Raposo, C.; de Castro Carpeño, J.; González Barón, M. Factores etiológicos del cáncer de pulmón: Fumador activo, fumador pasivo, carcinógenos medioambientales y factores genéticos. Med. Clin. 2007, 128, 390–396. [Google Scholar] [CrossRef]
- Wolfenden, L.; Nathan, N.K.; Sutherland, R.; Yoong, S.L.; Hodder, R.K.; Wyse, R.J.; Delaney, T.; Grady, A.; Fielding, A.; Tzelepis, F.; et al. Strategies for enhancing the implementation of school-based policies or practices targeting risk factors for chronic disease. Cochrane Database Syst. Rev. 2017, 11. [Google Scholar] [CrossRef] [PubMed]
- Ngo, A.; Cheng, K.-W.; Shang, C.; Huang, J.; Chaloupka, F. Global Evidence on the Association between Cigarette Graphic Warning Labels and Cigarette Smoking Prevalence and Consumption. Int. J. Environ. Res. Public Health 2018, 15, 421. [Google Scholar] [CrossRef] [PubMed]
- Lidón-Moyano, C.; Fu, M.; Ballbe, M.; Martín-Sánchez, J.C.; Matilla-Santander, N.; Martinez, C.; Fernandez, E.; Martínez-Sánchez, J.M. Impact of the Spanish smoking laws on tobacco consumption and secondhand smoke exposure: A longitudinal population study. Addict. Behav. 2017, 75, 30–35. [Google Scholar] [CrossRef]
- Meier, W.M.; Siegmann, K. Significant reduction of carcinogenic compounds in tobacco smoke by the use of zeolite catalysts. Microporous Mesoporous Mater. 1999, 33, 307–310. [Google Scholar] [CrossRef]
- Marcilla, A.; Beltrán, M.I.; Gómez-Siurana, A.; Martínez, I.; Berenguer, D. Effect of the concentration of siliceous materials added to tobacco cigarettes on the composition of the smoke generated during smoking. Ind. Eng. Chem. Res. 2015, 54, 1916–1929. [Google Scholar] [CrossRef]
- Shi, C.L.; Li, S.H.; Sun, X.D.; Wang, Z.P.; Wang, Y.Z.; Xiong, J.W.; Gu, W.B.; Wang, W.M.; Yao, H.M.; Wang, Y.; et al. New activated carbon sorbent with the zeolite-like selectivity to capture tobacco-specific nitrosamines in solution. Chem. Eng. J. 2018, 339, 170–179. [Google Scholar] [CrossRef]
- Marcilla, A.; Gómez-Siurana, A.; Berenguer, D.; Martínez-Castellanos, I.; Beltrán, M.I. Reduction of tobacco smoke components yields by zeolites and synthesized Al-MCM-41. Microporous Mesoporous Mater. 2012, 161, 14–24. [Google Scholar] [CrossRef]
- Marcilla, A.; Gómez-Siurana, A.; Berenguer, D.; Martínez-Castellanos, I.; Beltrán, M.I. Reduction of tobacco smoke components yield in commercial cigarette brands by addition of HUSY, NaY and Al-MCM-41 to the cigarette rod. Toxicol. Rep. 2015, 2, 152–164. [Google Scholar] [CrossRef] [PubMed]
- Wu, Z.Y.; Wang, H.J.; Ma, L.L.; Xue, J.; Zhu, J.H. Eliminating carcinogens in environment: Degradation of volatile nitrosamines by Zeolites Y and ZSM-5. Microporous Mesoporous Mater. 2008, 109, 436–444. [Google Scholar] [CrossRef]
- Koh, M.H.; Azaman, S.H.; Hameed, B.H.; Din, A.M. Surface morphology and physicochemical properties of ordered mesoporous silica SBA-15 synthesized at low temperature. IOP Conf. Ser. Mater. Sci. Eng. 2017, 206, 012056. [Google Scholar] [CrossRef]
- Alfredsson, V.; Wennerström, H. The Dynamic Association Processes Leading from a Silica Precursor to a Mesoporous SBA-15 Material. Acc. Chem. Res. 2015, 48, 1891–1900. [Google Scholar] [CrossRef] [PubMed]
- Bhange, P.; Bhange, D.S.; Pradhan, S.; Ramaswamy, V. Direct synthesis of well-ordered mesoporous Al-SBA-15 and its correlation with the catalytic activity. Appl. Catal. A Gen. 2011, 400, 176–184. [Google Scholar] [CrossRef]
- Long, H.; Wang, W.; Yang, W.; Wang, Y.; Ru, H. Facile and controllable preparation of different SBA-15 platelets and their regulated drug release behaviours. Microporous Mesoporous Mater. 2018, 263, 34–41. [Google Scholar] [CrossRef]
- Thielemann, J.P.; Girgsdies, F.; Schlögl, R.; Hess, C. Pore structure and surface area of silica SBA-15: Influence of washing and scale-up. Beilstein J. Nanotechnol. 2011, 2, 110–118. [Google Scholar] [CrossRef]
- Chen, S.-Y.; Chen, Y.-T.; Lee, J.-J.; Cheng, S. Tuning pore diameter of platelet SBA-15 materials with short mesochannels for enzyme adsorption. J. Mater. Chem. 2011, 21, 5693. [Google Scholar] [CrossRef]
- Jaroniec, M.; Kruk, M.; Ko, C.H.; Ryoo, R. Characterization of the Porous Structure of SBA-15. Chem. Mater. 2000, 12, 1961–1968. [Google Scholar]
- Yilmaz, M.S.; Piskin, S. The removal of template from SBA-15 samples synthesized from different silica sources. J. Therm. Anal. Calorim. 2015, 121, 1255–1262. [Google Scholar] [CrossRef]
- Kleitz, F.; Schmidt, W.; Schüth, F. Calcination behavior of different surfactant-templated mesostructured silica materials. Microporous Mesoporous Mater. 2003, 65, 1–29. [Google Scholar] [CrossRef]
- Bérubé, F.; Kaliaguine, S. Calcination and thermal degradation mechanisms of triblock copolymer template in SBA-15 materials. Microporous Mesoporous Mater. 2008, 115, 469–479. [Google Scholar] [CrossRef]
- Galarneau, A.; Cambon, H.; di Renzo, F.; Ryoo, R.; Choi, M.; Fajula, F. Microporosity and connections between pores in SBA-15 mesostructured silicas as a function of the temperature of synthesis. New J. Chem. 2003, 27, 73–79. [Google Scholar] [CrossRef]
- Fulvio, P.F.; Pikus, S.; Jaroniec, M. Tailoring properties of SBA-15 materials by controlling conditions of hydrothermal synthesis. J. Mater. Chem. 2005, 15, 5049. [Google Scholar] [CrossRef]
- Johansson, E.M. Controlling the Pore Size and Morphology of Mesoporous Silica; Linköping University Electronic Press: Linköping, Sweden, 2010. [Google Scholar]
- Imperor-Clerc, M.; Davidson, P.; Davidson, A. Existence of a Microporous Corona around the Mesopores of Silica-Based SBA-15 Materials Templated by Triblock Copolymers. Am. Chem. Soc. 2000, 122, 11925–11933. [Google Scholar] [CrossRef]
- Zhao, D.; Huo, Q.; Feng, J.; Chmelka, B.F.; Stucky, G.D. Nonionic Triblock and Star Diblock Copolymer and Oligomeric Surfactant Syntheses of Highly Ordered, Hydrothermally Stable, Mesoporous Silica Structures. J. Am. Chem. Soc. 1998, 120, 6024–6036. [Google Scholar] [CrossRef]
- Klimova, T.; Esquivel, A.; Reyes, J.; Rubio, M.; Bokhimi, X.; Aracil, J. Factorial design for the evaluation of the influence of synthesis parameters upon the textural and structural properties of SBA-15 ordered materials. Microporous Mesoporous Mater. 2006, 93, 331–343. [Google Scholar] [CrossRef]
- Brunauer, S.; Emmett, P.H.; Teller, E. Adsorption of Gases in Multimolecular Layers. J. Am. Chem. Soc. 1938, 60, 309–319. [Google Scholar] [CrossRef]
- Dubinin, M.M.; Zhukovskaia, E.G. Adsorption properties of carbon adsorbents Communication 2. Adsorption properties of active carbons with respect to benzene and nitrogen vapors. Bull. Acad. Sci. USSR Div. Chem. Sci. 1958, 7, 519–528. [Google Scholar] [CrossRef]
- Vinu, A.; Murugesan, V.; Böhlmann, W.; Hartmann, M. An Optimized Procedure for the Synthesis of AlSBA-15 with Large Pore Diameter and High Aluminum Content. J. Phys. Chem. B 2004, 103, 11496–11505. [Google Scholar] [CrossRef]
- Guillet-Nicolas, R.; Bérubé, F.; Thommes, M.; Janicke, M.T.; Kleitz, F. Selectively tuned pore condensation and hysteresis behavior in mesoporous SBA-15 silica: Correlating material synthesis to advanced gas adsorption analysis. J. Phys. Chem. C 2017, 121, 24505–24526. [Google Scholar] [CrossRef]
- Brodie-Linder, N.; Dosseh, G.; Alba-Simonesco, C.; Audonnet, F.; Impéror-Clerc, M. SBA-15 synthesis: Are there lasting effects of temperature change within the first 10 min of TEOS polymerization? Mater. Chem. Phys. 2008, 108, 73–81. [Google Scholar] [CrossRef]
- Bera, B.; Das, N. Synthesis of high surface area mesoporous silica SBA-15 for hydrogen storage application. Int. J. Appl. Ceram. Technol. 2019, 16, 294–303. [Google Scholar] [CrossRef]
- Benamor, T.; Vidal, L.; Lebeau, B.; Marichal, C. Influence of synthesis parameters on the physico-chemical characteristics of SBA-15 type ordered mesoporous silica. Microporous Mesoporous Mater. 2012, 153, 100–114. [Google Scholar] [CrossRef]
- Zhang, F.; Yan, Y.; Yang, H.; Meng, Y.; Yu, C.; Tu, B.; Zhao, D. Understanding effect of wall structure on the hydrothermal stability of mesostructured silica SBA-15. J. Phys. Chem. B 2005, 109, 8723–8732. [Google Scholar] [CrossRef]
- Ruthstein, S.; Frydman, V.; Kababya, S.; Landau, M.; Goldfarb, D. Study of the Formation of the Mesoporous Material SBA-15 by EPR Spectroscopy. Phys. Chem. B 2003, 107, 1739–1748. [Google Scholar] [CrossRef]
- Galarneau, A.; Cambon, H.; di Renzo, F.; Fajula, F. True Microporosity and Surface Area of Mesoporous SBA-15 Silicas as a Function of Synthesis Temperature. Langmuir 2001, 17, 8328–8335. [Google Scholar] [CrossRef]
- Fulvio, P.F.; Pikus, S.; Jaroniec, M. Short-time synthesis of SBA-15 using various silica sources. J. Colloid Interface Sci. 2005, 287, 717–720. [Google Scholar] [CrossRef]
- Tasfy, S.F.H.; Zabidi, N.A.M.; Subbarao, D.; Shaharun, M.S. Effects of Synthesis Conditions on the Textural and Morphological Properties of Mesoporous Silica (SBA-15). Appl. Mech. Mater. 2014, 446, 201–205. [Google Scholar] [CrossRef]
- Torikai, K.; Yoshida, S.; Takahashi, H. Effects of temperature, atmosphere and pH on the generation of smoke compounds during tobacco pyrolysis. Food Chem. Toxicol. 2004, 42, 1409–1417. [Google Scholar] [CrossRef] [PubMed]
- Várhegyi, G.; Czégény, Z.; Jakab, E.; McAdam, K.; Liu, C. Tobacco pyrolysis. Kinetic evaluation of thermogravimetric–mass spectrometric experiments. J. Anal. Appl. Pyrolysis 2009, 86, 310–322. [Google Scholar] [CrossRef]
- Polat, S.; Apaydin-Varol, E.; Pütün, A.E. Thermal decomposition behavior of tobacco stem Part II: Kinetic analysis. Energy Sources Part A Recover. Util. Environ. Eff. 2016, 38, 3073–3080. [Google Scholar] [CrossRef]
- Collard, F.X.; Blin, J. A review on pyrolysis of biomass constituents: Mechanisms and composition of the products obtained from the conversion of cellulose, hemicelluloses and lignin. Renew. Sustain. Energy Rev. 2014, 38, 594–608. [Google Scholar] [CrossRef]
- Sun, X.D.; Li, S.H.; Wang, L.J.; Gu, W.B.; Shi, C.L.; Dong, X.Y.M.; Wang, Y.Z.; Wang, W.M.; Yang, Z.Y.; Wang, Y.; et al. Impact of proton: Capturing tobacco specific N-nitrosamines (TSNA) with HZSM-5 zeolite. Chem. Eng. J. 2017, 323, 180–190. [Google Scholar] [CrossRef]
- Gao, L.; Cao, Y.; Zhou, S.L.; Zhuang, T.T.; Wang, Y.; Zhu, J.H. Eliminating carcinogenic pollutants in environment: Reducing the tobacco specific nitrosamines level of smoke by zeolite-like calcosilicate. J. Hazard. Mater. 2009, 169, 1034–1039. [Google Scholar] [CrossRef]
- Adnadjevic, B.; Nikolic, M.; Jovanovic, J. Effects Associated with the Structure of Adsorbents on the Degrees to Which Nicotine, Tar and CO are Reduced in Tobacco Smoke; Nova Science Publishers, Inc.: Hauppauge, NY, USA, 2012; pp. 229–246. [Google Scholar]
- Barrett, E.P.; Joyner, L.G.; Halenda, P.P. The Determination of Pore Volume and Area Distributions in Porous Substances. I. Computations from Nitrogen Isotherms. J. Am. Chem. Soc. 1951, 73, 373–380. [Google Scholar] [CrossRef]
- Marcilla, A.; Beltran, M.I.; Gómez-Siurana, A.; Berenguer, D.; Martínez-Castellanos, I. Comparison between the mainstream smoke of eleven RYO tobacco brands and the reference tobacco 3R4F. Toxicol. Rep. 2014, 1, 122–136. [Google Scholar] [CrossRef]
- ISO 3402:1999. Tobacco and Tobacco Products—Atmosphere for Conditioning and Testing; ISO: Geneva, Switzerland, 1999; p. 9. [Google Scholar]
- ISO 3308:2000. Routine Analytical Cigarette-Smoking Machine_Definitions and Standard Conditions; ISO: Geneva, Switzerland, 2000. [Google Scholar]
- ISO 4387:2008. Tobacco, Tobacco Products and Related Equipment; ISO: Geneva, Switzerland, 2008. [Google Scholar]
- Food and Drug Administration, HHS. Tobacco Product Standard for Nicotine Level of Combusted Cigarettes. Federal Register, 16 March 2018; 11818–11843. [Google Scholar]















| Sample | SBET a (m2/g) | Vt b (cm3/g) | Vm c (cm3/g) | DP d (nm) | ρa e (g/cm3) | a0 f (nm) | RER g (%) |
|---|---|---|---|---|---|---|---|
| 24/80 * | 905 | 0.965 | 0.338 | 5.7 | 0.045 | 11.3 | 80 |
| 24/80 | 861 | 0.943 | 0.330 | 5.9 | 0.049 | 11.6 | 40 |
| 24/100 * | 878 | 1.151 | 0.323 | 6.8 | 0.045 | 12.3 | 100 |
| 24/100 | 870 | 1.157 | 0.317 | 7.0 | 0.045 | 12.4 | 47 |
| 24/130 | 613 | 1.214 | 0.179 | 7.4 | 0.046 | 12.4 | 57 |
| 0/80 | 730 | 0.707 | 0.291 | 4.9 | 0.087 | 11.0 | 25 |
| 2/80 | 789 | 0.749 | 0.317 | 4.9 | 0.074 | 11.1 | 26 |
| 6/80 | 833 | 0.827 | 0.335 | 4.9 | 0.054 | 11.3 | 29 |
| 15/80 | 870 | 0.906 | 0.342 | 6.1 | 0.049 | 11.6 | 35 |
| 24/80 | 861 | 0.943 | 0.330 | 5.9 | 0.049 | 11.6 | 40 |
| Sample | TPM (%) | Nicotine (%) | CO2 (%) | CO (%) | Gases (%) |
|---|---|---|---|---|---|
| 24/80 * | 65.6 | 63.4 | 22.9 | 28.6 | 22.7 |
| 24/80 | 68.1 | 66.8 | 23.4 | 31.0 | 27.8 |
| 24/100 * | 65.0 | 60.6 | 34.8 | 37.3 | 33.1 |
| 24/100 | 67.4 | 61.2 | 38.2 | 39.1 | 44.0 |
| 24/130 | 65.6 | 60.3 | 25.6 | 30.0 | 29.9 |
| 0/80 | 36.0 | 28.1 | -0.3 | 2.5 | 10.4 |
| 2/80 | 41.9 | 33.9 | 14.1 | 21.0 | 13.8 |
| 6/80 | 60.9 | 55.0 | 18.1 | 24.3 | 17.7 |
| 15/80 | 74.9 | 66.4 | 29.0 | 34.0 | 23.3 |
| 24/80 | 68.1 | 66.8 | 23.4 | 31.0 | 27.8 |
© 2020 by the authors. Licensee MDPI, Basel, Switzerland. This article is an open access article distributed under the terms and conditions of the Creative Commons Attribution (CC BY) license (http://creativecommons.org/licenses/by/4.0/).
Share and Cite
Juárez-Serrano, N.; Asensio, J.; Martínez-Castellanos, I.; Beltrán, M.; Marcilla, A. The Effect of Temperature and Time of the Hydrothermal Treatment in the SBA-15 Synthesis Process on the Structure and Textural Properties and the Ability to Reduce the Evolution of Tars in Tobacco Smoking. Catalysts 2020, 10, 272. https://doi.org/10.3390/catal10030272
Juárez-Serrano N, Asensio J, Martínez-Castellanos I, Beltrán M, Marcilla A. The Effect of Temperature and Time of the Hydrothermal Treatment in the SBA-15 Synthesis Process on the Structure and Textural Properties and the Ability to Reduce the Evolution of Tars in Tobacco Smoking. Catalysts. 2020; 10(3):272. https://doi.org/10.3390/catal10030272
Chicago/Turabian StyleJuárez-Serrano, Nerea, Javier Asensio, Isabel Martínez-Castellanos, Maribel Beltrán, and Antonio Marcilla. 2020. "The Effect of Temperature and Time of the Hydrothermal Treatment in the SBA-15 Synthesis Process on the Structure and Textural Properties and the Ability to Reduce the Evolution of Tars in Tobacco Smoking" Catalysts 10, no. 3: 272. https://doi.org/10.3390/catal10030272
APA StyleJuárez-Serrano, N., Asensio, J., Martínez-Castellanos, I., Beltrán, M., & Marcilla, A. (2020). The Effect of Temperature and Time of the Hydrothermal Treatment in the SBA-15 Synthesis Process on the Structure and Textural Properties and the Ability to Reduce the Evolution of Tars in Tobacco Smoking. Catalysts, 10(3), 272. https://doi.org/10.3390/catal10030272

