Analysis of Adsorption and Decomposition of Odour and Tar Components in Tobacco Smoke on Non-Woven Fabric-Supported Photocatalysts
Abstract
1. Introduction
2. Results
2.1. Preparation of the Non-Woven Fabric-Supported Photocatalysts
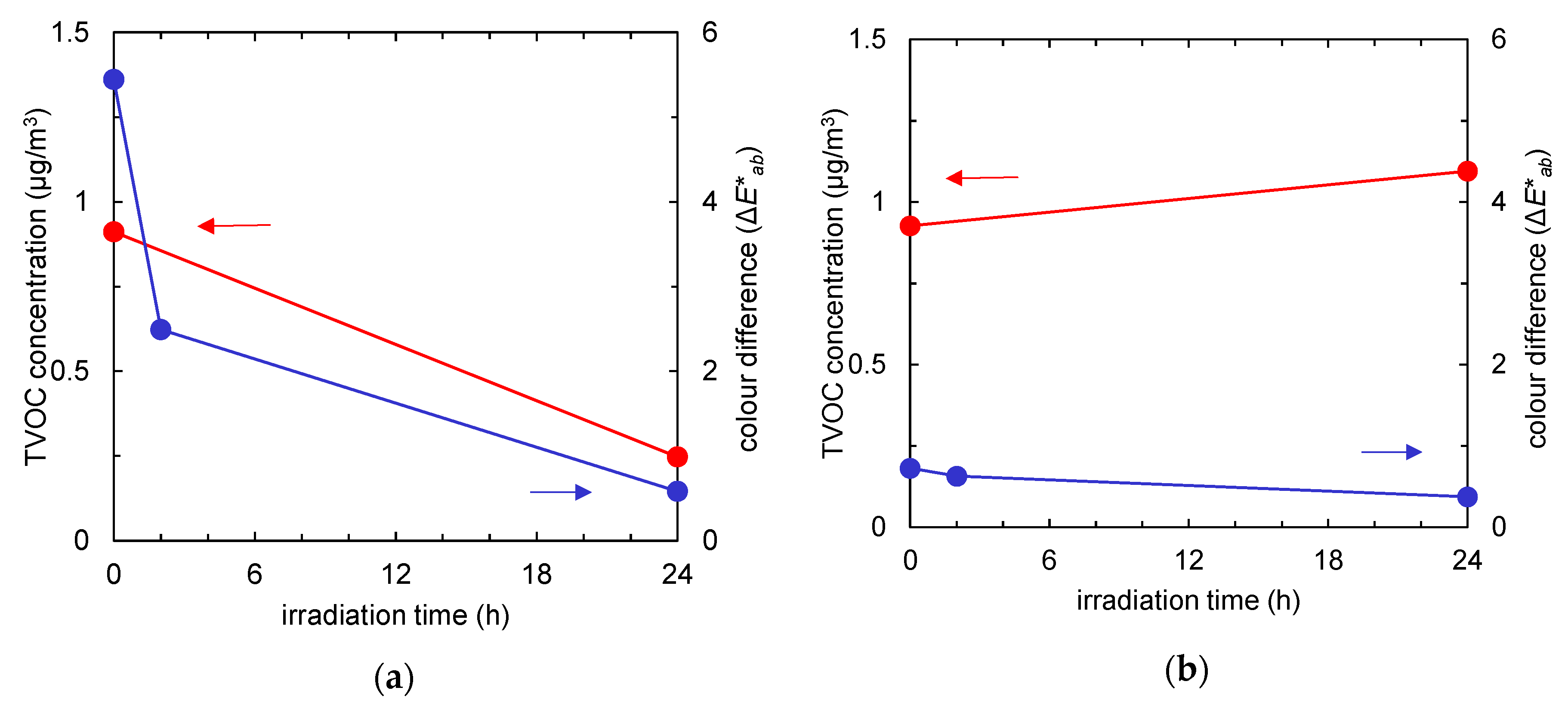
2.2. Adsorption and Decomposition of the Odour and Tar Components on the TiO2-Embedded Fabrics
2.3. Adsorption and Decomposition of Odour and Tar Components on the Fabrics Modified with Visible-Light-Activated Photocatalysts
3. Discussion
4. Materials and Methods
5. Conclusions
Author Contributions
Funding
Acknowledgments
Conflicts of Interest
References
- Jacob, P.; Benowitz, N.L.; Destaillats, H.; Gundel, L.; Hang, B.; Martins-Green, M.; Matt, G.E.; Quintana, P.J.E.; Samet, J.M.; Schick, S.F.; et al. Thirdhand smoke: New evidence, challenges, and future directions. Chem. Res. Toxicol. 2017, 30, 270–294. [Google Scholar] [CrossRef]
- Winickoff, J.P.; Friebely, J.; Tanski, S.E.; Sherrod, C.; Matt, G.E.; Hovell, M.F.; McMillen, R.C. Beliefs about the health effects of “thirdhand” smoke and home smoking bans. Pediatrics 2009, 123, e74–e79. [Google Scholar] [CrossRef]
- Poppendieck, D.; Gong, M.; Pham, V. Influence of temperature, relative humidity, and water saturation on airborne emissions from cigarette butts. Sci. Total Environ. 2020, 712, 136422. [Google Scholar] [CrossRef] [PubMed]
- Fujishima, A.; Honda, K. Electrochemical photolysis of water at a semiconductor electrode. Nature 1972, 238, 37–38. [Google Scholar] [CrossRef] [PubMed]
- Ochiai, T.; Fujishima, A. Photoelectrochemical properties of TiO2 photocatalyst and its applications for environmental purification. J. Photochem. Photobiol. C 2012, 13, 247–262. [Google Scholar] [CrossRef]
- Slimen, H.; Ochiai, T.; Nakata, K.; Murakami, T.; Houas, A.; Morito, Y.; Fujishima, A. Photocatalytic Decomposition of cigarette smoke using a TiO2-impregnated titanium mesh filter. Ind. Eng. Chem. Res. 2012, 51, 587–590. [Google Scholar] [CrossRef]
- Ochiai, T.; Hayashi, Y.; Ito, M.; Nakata, K.; Murakami, T.; Morito, Y.; Fujishima, A. An effective method for a separation of smoking area by using novel photocatalysis-plasma synergistic air-cleaner. Chem. Eng. J. 2012, 209, 313–317. [Google Scholar] [CrossRef]
- Ochiai, T.; Ichihashi, E.; Nishida, N.; Machida, T.; Uchida, Y.; Hayashi, Y.; Morito, Y.; Fujishima, A. Field performance test of an air-cleaner with photocatalysis-plasma synergistic reactors for practical and long-term use. Molecules 2014, 19, 17424–17434. [Google Scholar] [CrossRef]
- Fang, M.J.; Tsao, C.W.; Hsu, Y.J. Semiconductor nanoheterostructures for photoconversion applications. J. Phys. D Appl. Phys. 2020, 53, 143001. [Google Scholar] [CrossRef]
- Shi, X.; Zhang, Y.; Liu, X.; Jin, H.; Lv, H.; He, S.; Hao, H.; Li, C. A mild in-situ method to construct Fe-doped cauliflower-like rutile TiO2 photocatalysts for degradation of organic dye in wastewater. Catalysts 2019, 9, 426. [Google Scholar] [CrossRef]
- Yu, H.; Irie, H.; Shimodaira, Y.; Hosogi, Y.; Kuroda, Y.; Miyauchi, M.; Hashimoto, K. An efficient visible-light-sensitive Fe(III)-grafted TiO2 photocatalyst. J. Phys. Chem. C 2010, 114, 16481–16487. [Google Scholar] [CrossRef]
- Irie, H.; Miura, S.; Kamiya, K.; Hashimoto, K. Efficient visible light-sensitive photocatalysts: Grafting Cu(II) ions onto TiO2 and WO3 photocatalysts. Chem. Phys. Lett. 2008, 457, 202–205. [Google Scholar] [CrossRef]
- Ochiai, T.; Fukuda, T.; Nakata, K.; Murakami, T.; Tryk, D.; Koide, Y.; Fujishima, A. Photocatalytic inactivation and removal of algae with TiO2-coated materials. J. Appl. Electrochem. 2010, 40, 1737–1742. [Google Scholar] [CrossRef]
- JIS A 1965. Determination of Volatile Organic Compounds in Indoor and Test Chamber Air by Active Sampling on Tenax TA® Sorbent, Thermal Desorption and Gas Chromatography Using MS or MS-FID; Japanese Standards Association: Tokyo, Japan, 2015. [Google Scholar]
- Yi, X.; Zhu, Y.; Wang, D.; Yang, F.; Wang, Y.; Shi, W. Adsorption mechanism of oil-in-water on a TiO2/Al2O3–polyvinylidene fluoride (PVDF) ultrafiltration membrane. Langmuir 2018, 34, 9907–9916. [Google Scholar] [CrossRef]
- Shuai, Q.; Yang, X.; Luo, Y.; Tang, H.; Luo, X.; Tan, Y.; Ma, M. A superhydrophobic poly(dimethylsiloxane)-TiO2 coated polyurethane sponge for selective absorption of oil from water. Mater. Chem. Phys. 2015, 162, 94–99. [Google Scholar] [CrossRef]
- Dias Filho, N.L. Adsorption of Cu(II) and Co(II) complexes on a silica gel surface chemically modified with 2-mercaptoimidazole. Microchim. Acta 1999, 130, 233–240. [Google Scholar] [CrossRef]
- Bamwenda, G.R.; Sayama, K.; Arakawa, H. The effect of selected reaction parameters on the photoproduction of oxygen and hydrogen from a WO3-Fe2+-Fe3+ aqueous suspension. J. Photochem. Photobiol. A 1999, 122, 175–183. [Google Scholar] [CrossRef]
- Qiu, X.; Miyauchi, M.; Sunada, K.; Minoshima, M.; Liu, M.; Lu, Y.; Li, D.; Shimodaira, Y.; Hosogi, Y.; Kuroda, Y.; et al. Hybrid CuxO/TiO2 Nanocomposites as risk-reduction materials in indoor environments. ACS Nano 2012, 6, 1609–1618. [Google Scholar] [CrossRef]
- Chiu, Y.H.; Chang, T.F.M.; Chen, C.Y.; Sone, M.; Hsu, Y.J. Mechanistic insights into photodegradation of organic dyes using heterostructure photocatalysts. Catalysts 2019, 9, 430. [Google Scholar] [CrossRef]
- Sakatani, Y.; Okusako, K.; Suyasu, Y.; Murata, M.; Inoue, K.; Oki, Y. Development of a highly active visible light driven photocatalyst. Sumitomo Kagaku R D Rep. 2009, 1, 14–23. [Google Scholar]
- Cieślak, M.; Schmidt, H.; Twarowska-Schmidt, K.; Kamińska, I. Removal of nicotine from indoor air using titania-modified polypropylene fibers: Nicotine decomposition by titania-modified polypropylene fibers. Int. J. Environ. Sci. Technol. 2017, 14, 1371–1382. [Google Scholar] [CrossRef][Green Version]
- JIS 8722. Methods of Colour Measurement-Reflecting and Transmitting Objects; Japanese Standards Association: Tokyo, Japan, 2009. [Google Scholar]










| Material | Target | Adsorption and Decomposition Behaviour | Reference |
|---|---|---|---|
| UV-responsive photocatalysts | |||
| Non-woven fabrics made of a thermoplastic resin modified with TiO2 | 5.5 μg of TVOC adsorbed per 1 m2 of the material; adsorbed tar components | Adsorbed TVOC and decomposition ratio under 1 mW cm−2 of UV-A were 1.0 and ∞ times those of the unmodified fabric, respectively; 1 adsorbed tar components and decomposition ratio under 1 mW cm−2 of UV-A were 7.5 and 1.8 times those of the unmodified fabric, respectively | This work |
| Ti mesh modified with TiO2 | 410 μg of nicotine vapour and 50 μg of 3-ethenylpyridine vapour in 1 m3 chamber; adsorbed tar components | Nicotine and 3-ethenylpyridine removal ratios obtained for 7 pieces of the mesh (279 mm × 215 mm each) under 0.7 mW cm−2 of UV-C were 1.0 and 2.7 times those obtained in the dark, respectively; 2 adsorbed tar components were almost totally decomposed by 32-h illumination with 1.2 mW cm−2 of UV-A 3 | [6] |
| Visible-light-responsive photocatalysts | |||
| Non-woven fabrics made of a thermoplastic resin modified with Fe/TiO2 | 7.8 μg of TVOC adsorbed per 1 m2 of the material; adsorbed tar components | Adsorbed TVOC and decomposition ratio under 10,000 lux of visible light were 1.0 and 9.1 times those of the unmodified fabric, respectively; adsorbed tar components and decomposition ratio under 10,000 lux of visible light were 3.8 and 1.2 times those of the unmodified fabric, respectively | This work |
| Glass plate coated with visible-light-driven photocatalyst, ILUMIO® | Odour concentration level of 74 in 5-L gas bag | Decomposition ratio under 1000 lux of visible light for 50 cm2 of the plate was 4.0 times that of the uncoated plate | [21] |
| polypropylene fibres modified with TiO2/Ag (modified ethanol dispersion fibre after friction) | 151.4 μg of nicotine adsorbed per 1 g of the material | Adsorbed nicotine concentration and decomposition rate constant upon irradiation with solar light passing through a glass window were 5.2 and 1.8 times those of the unmodified fibre, respectively | [22] |
© 2020 by the authors. Licensee MDPI, Basel, Switzerland. This article is an open access article distributed under the terms and conditions of the Creative Commons Attribution (CC BY) license (http://creativecommons.org/licenses/by/4.0/).
Share and Cite
Ochiai, T.; Aoki, D.; Saito, H.; Akutsu, Y.; Nagata, M. Analysis of Adsorption and Decomposition of Odour and Tar Components in Tobacco Smoke on Non-Woven Fabric-Supported Photocatalysts. Catalysts 2020, 10, 304. https://doi.org/10.3390/catal10030304
Ochiai T, Aoki D, Saito H, Akutsu Y, Nagata M. Analysis of Adsorption and Decomposition of Odour and Tar Components in Tobacco Smoke on Non-Woven Fabric-Supported Photocatalysts. Catalysts. 2020; 10(3):304. https://doi.org/10.3390/catal10030304
Chicago/Turabian StyleOchiai, Tsuyoshi, Daisuke Aoki, Hidenori Saito, Yasuhisa Akutsu, and Morio Nagata. 2020. "Analysis of Adsorption and Decomposition of Odour and Tar Components in Tobacco Smoke on Non-Woven Fabric-Supported Photocatalysts" Catalysts 10, no. 3: 304. https://doi.org/10.3390/catal10030304
APA StyleOchiai, T., Aoki, D., Saito, H., Akutsu, Y., & Nagata, M. (2020). Analysis of Adsorption and Decomposition of Odour and Tar Components in Tobacco Smoke on Non-Woven Fabric-Supported Photocatalysts. Catalysts, 10(3), 304. https://doi.org/10.3390/catal10030304

