Sign in to use this feature.

Years

Between: -

Subjects

remove_circle_outline
remove_circle_outline
remove_circle_outline
remove_circle_outline
remove_circle_outline
remove_circle_outline
remove_circle_outline
remove_circle_outline
remove_circle_outline

Journals

remove_circle_outline
remove_circle_outline
remove_circle_outline
remove_circle_outline
remove_circle_outline
remove_circle_outline
remove_circle_outline

Article Types

Countries / Regions

remove_circle_outline
remove_circle_outline
remove_circle_outline
remove_circle_outline
remove_circle_outline

Search Results (833)

Search Parameters:
Keywords = TRPV4

Order results
Result details
Results per page
Select all
Export citation of selected articles as:
21 pages, 4115 KB  
Article
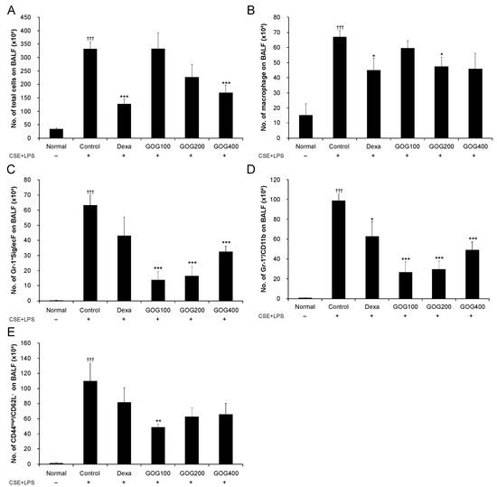
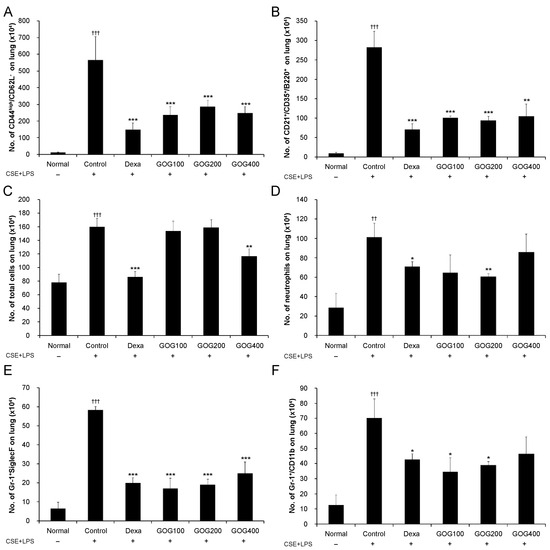
Inhibitory Effects of Gyeongok-go on Lung Injury in a Chronic Obstructive Pulmonary Disease Mouse Model
by Won-Kyung Yang, Jin Kwan Choi, Seung-Hyung Kim, Su Won Lee, Yee Ran Lyu and Yang-Chun Park
Pharmaceuticals 2026, 19(4), 618; https://doi.org/10.3390/ph19040618 - 14 Apr 2026
Viewed by 205
Abstract
Background/Objectives: Chronic obstructive pulmonary disease (COPD) is characterized by incomplete recovery of airflow blockage; however, effective therapeutic agents that can prevent lung function deterioration are limited. East Asian herbal treatments have gained attention for their potential benefits in managing COPD. This study aimed [...] Read more.
Background/Objectives: Chronic obstructive pulmonary disease (COPD) is characterized by incomplete recovery of airflow blockage; however, effective therapeutic agents that can prevent lung function deterioration are limited. East Asian herbal treatments have gained attention for their potential benefits in managing COPD. This study aimed to evaluate the inhibitory effects of Gyeongok-go (GOG) on lung injury in a COPD mouse model. Methods: Lipopolysaccharide (LPS)-induced alveolar macrophage (MH-S) cells were treated with GOG (50, 100, 200, and 400 μg/mL), and analyzed using enzyme-linked immunosorbent assay (ELISA). C57BL/6 mice were challenged with cigarette smoke extract and LPS and then treated with vehicle only, dexamethasone (3 mg/kg), or GOG (100, 200, or 400 mg/kg). Bronchoalveolar lavage fluid (BALF) or lung tissues were analyzed using cytospin, ELISA, real-time PCR, flow cytometry, hematoxylin and eosin, and Masson’s trichrome staining. Results: Treatment with GOG decreased tumor necrosis factor-alpha (TNF-α) and interleukin (IL)-6 expression in LPS-challenged MH-S cells. In COPD mice, GOG significantly decreased the elevated numbers of neutrophils, total cells, macrophages, and Gr-1+/Siglec-F, Gr-1+/CD11b+, and CD44high/CD62L cells. It also downregulated the expression of TNF-α, IL-17A, macrophage inflammatory protein-2 (MIP2), and CXC chemokine ligand-1 in BALF. GOG also inhibited the increase in Mip2, Cox-2, and Trpv1 mRNA expression. Moreover, GOG prevented the increase in the number of total cells, neutrophils, Gr-1+/Siglec-F, Gr-1+/CD11b+, CD44high/CD62L, and CD21+/CD35+/B220+ cells in lung tissues. Notably, GOG decreased the severity of lung injury. Conclusions: Overall, these findings indicate that GOG alleviates lung injury, suggesting its potential in the treatment of COPD. Full article
(This article belongs to the Section Pharmacology)
Show Figures

Graphical abstract

18 pages, 1133 KB  
Review
Therapeutic Strategies Targeting the Kidney–Liver–Immune–Heart Network: Circadian and Mechanosensory Pathways in CKD-Associated Cardiac Injury
by Yuya Yoshida, Kohei Fukuoka, Tomohito Tanihara, Kengo Hamamura, Akito Tsuruta, Satoru Koyanagi, Shigehiro Ohdo and Naoya Matsunaga
Int. J. Mol. Sci. 2026, 27(8), 3436; https://doi.org/10.3390/ijms27083436 - 11 Apr 2026
Viewed by 306
Abstract
The present review discusses vitamin A/retinoid metabolism as a cross-organ axis in which hepatic clock-dependent retinoid handling may affect immune clock gene expression through the stimulation of retinoic acid 6–Janus kinase 2–signal transducer and activator of transcription 5 signaling, potentially promoting pro-inflammatory monocyte [...] Read more.
The present review discusses vitamin A/retinoid metabolism as a cross-organ axis in which hepatic clock-dependent retinoid handling may affect immune clock gene expression through the stimulation of retinoic acid 6–Janus kinase 2–signal transducer and activator of transcription 5 signaling, potentially promoting pro-inflammatory monocyte states. We further highlight mechanosensory signaling as a second convergent layer that integrates hemodynamic forces with tissue microenvironmental cues. Among these pathways, G protein-coupled receptor 68, a proton- and flow-sensitive G protein-coupled receptor, is discussed as a representative druggable node linking mechanical and inflammatory signaling in chronic kidney disease-associated cardiac injury. Finally, we outline potential therapeutic directions, including (i) circadian alignment/chronopharmacology, (ii) modulation of retinoid metabolism and signaling, and (iii) targeted inhibition of primary immune and mechanosensory effectors. Full article
(This article belongs to the Special Issue Molecular Insights and Novel Therapeutics in Chronic Kidney Disease)
Show Figures

Figure 1

17 pages, 1381 KB  
Article
Effects of Dietary Supplementation with α-Mangostin on Oviduct Inflammation and Eggshell Quality in Aging Laying Hens
by Lu Huang, Ruixin Qin, Qianqian Yu, Qili Yan and Desheng Qi
Animals 2026, 16(7), 1118; https://doi.org/10.3390/ani16071118 - 5 Apr 2026
Viewed by 463
Abstract
This study investigated the effects of dietary supplementation with α-mangostin (α-Ma), a bioactive xanthone derived from mangosteen pericarp, on production performance and egg quality in late-phase laying hens. The experiment was conducted using a completely randomized design. In total, 576 healthy 51-week-old Beinong [...] Read more.
This study investigated the effects of dietary supplementation with α-mangostin (α-Ma), a bioactive xanthone derived from mangosteen pericarp, on production performance and egg quality in late-phase laying hens. The experiment was conducted using a completely randomized design. In total, 576 healthy 51-week-old Beinong No. 2 laying hens were randomly assigned to 4 dietary treatments (n = 12): a basal diet (CON) or the basal diet supplemented with 80, 120, or 160 mg/kg α-Ma. The experiment lasted for 4 weeks, after which production performance, egg quality, serum biochemical and antioxidant parameters, inflammatory markers, and uterine gene expression were evaluated. Dietary supplementation with α-mangostin, particularly at 120 mg/kg, significantly improved feed efficiency (p < 0.05), as evidenced by a reduced feed-to-egg ratio from week 2 onward, without affecting average daily feed intake or egg production rate. After 4 weeks, hens receiving 120 mg/kg α-Ma exhibited significantly greater egg weight and eggshell strength (p < 0.05). Serum and hepatic antioxidant capacities were significantly enhanced, with increased glutathione peroxidase and catalase activities, elevated total antioxidant capacity, and decreased malondialdehyde levels (p < 0.05). Moreover, α-Ma at 120 mg/kg specifically lowered the concentration of the pro-inflammatory cytokine interleukin-1β in both serum and uterine tissue (p < 0.05). At the molecular level, this dosage significantly upregulated uterine genes essential for eggshell formation (p < 0.05), including calcium transporters (TRPV6, ATP2B2), the matrix protein gene OC-116, and other key genes (LYZ, CA2, SLC4A9, and ATP6V0D2). In conclusion, dietary supplementation with 120 mg/kg α-Ma effectively enhances feed efficiency, strengthens antioxidant and anti-inflammatory defenses, and upregulates uterine genes involved in biomineralization, thereby improving eggshell quality in aging laying hens. These findings support α-Ma as a promising plant-based feed additive for maintaining productivity and egg quality in antibiotic-free layer production systems. Full article
Show Figures

Figure 1

19 pages, 2481 KB  
Article
CLARIX FLO Inhibits DRG Adhesion-Induced Neuropathic Pain Through the CD44–TRPV1 Signaling Pathway
by Chia-Chi Kung, Shih-Ping Dai, Chao-Chiang Tu, Tsung-An Tsai, Po-Heng Chen, Chao-Hsien Sung, Chun-Hsien Fu, Jen-Hao Liu and Chih-Li Chen
Int. J. Mol. Sci. 2026, 27(7), 3096; https://doi.org/10.3390/ijms27073096 - 28 Mar 2026
Viewed by 449
Abstract
DRG adhesion is a key pathological feature of failed back surgery syndrome and a major cause of neuropathic pain. DRG, or epidural adhesion, commonly results from spinal surgery, leakage of disk material into the epidural space, or inflammation. To better mimic this clinical [...] Read more.
DRG adhesion is a key pathological feature of failed back surgery syndrome and a major cause of neuropathic pain. DRG, or epidural adhesion, commonly results from spinal surgery, leakage of disk material into the epidural space, or inflammation. To better mimic this clinical condition, we developed a novel and reliable animal model of DRG adhesion-induced neuropathic pain. Using this model, we investigated the therapeutic potential and underlying mechanisms of CLARIX FLO, a sterile, particulate human amniotic membrane and umbilical cord tissue product. Our results demonstrate that CLARIX FLO exerts significant analgesic and anti-inflammatory effects in the DRG adhesion model. The application of CLARIX FLO to the injured DRG markedly attenuated mechanical allodynia. CLARIX FLO treatment also reduced outer sheath thickening, suppressed the inflammatory microenvironment, and decreased hypersensitivity of isolectin B4-positive neurons. Mechanistically, CD44 was identified as a potential downstream mediator of CLARIX FLO. Furthermore, a high dose of HC-HA/PTX3, the key bioactive component of CLARIX FLO, effectively reversed mechanical allodynia and inflammation. Notably, CLARIX FLO inhibited the overexpression of TNF-α and TRPV1 adhering to the DRG. In this study, we demonstrated that CLARIX FLO effectively alleviates DRG adhesion-induced neuropathic pain through a CD44–TRPV1-dependent mechanism. Full article
(This article belongs to the Section Molecular Neurobiology)
Show Figures

Figure 1

24 pages, 1126 KB  
Review
Ion Channels as Targets of the Vitamin D Receptor: A Long Journey with a Promising Future
by Verna Cázares-Ordoñez, Ramiro José González-Duarte, Michiyasu Ishizawa, Luis A. Pardo and Makoto Makishima
Receptors 2026, 5(2), 10; https://doi.org/10.3390/receptors5020010 - 26 Mar 2026
Viewed by 359
Abstract
The vitamin D receptor (VDR) acts as both a nuclear transcription factor and a non-genomic mediator that regulates a broad spectrum of physiological processes beyond calcium and phosphate homeostasis. VDR plays an important role in the modulation of ion channels across multiple tissues, [...] Read more.
The vitamin D receptor (VDR) acts as both a nuclear transcription factor and a non-genomic mediator that regulates a broad spectrum of physiological processes beyond calcium and phosphate homeostasis. VDR plays an important role in the modulation of ion channels across multiple tissues, including osteoblasts, renal and intestinal epithelial cells, neurons, and vascular smooth muscle. These regulatory mechanisms encompass genomic actions through vitamin D response elements in target genes—such as TRPV5, TRPV6, KCNK3, and KCNH1—as well as rapid, non-genomic actions at the plasma membrane involving protein disulfide isomerase A3 and associated signaling cascades. VDR-mediated transcriptional control of calcium, potassium, and chloride channels contributes to the fine-tuning of cellular excitability, calcium transport, and mitochondrial function. Evidence also implicates VDR–ion channel crosstalk in various pathological contexts, including renal cell carcinoma, breast and cervical cancers, pulmonary arterial hypertension, and osteoporosis. Understanding the molecular interplay between VDR and ion channels provides new perspectives on the pleiotropic effects of vitamin D and offers promising therapeutic opportunities in oncology, cardiovascular disease, and skeletal disorders. This review synthesizes previous and current evidence on the genomic and non-genomic mechanisms underlying VDR–ion channel regulation and highlights novel frontiers in vitamin D signaling relevant to human health and disease. Full article
Show Figures

Graphical abstract

29 pages, 5971 KB  
Article
Comprehensive Analysis of 122 Guinea Fowl Genomes Across Three Continents Delineates Their Domestication and Evolutionary Patterns with Special Reference to India
by Simmi Tomar, Sheikh Firdous Ahmad, Munish Gangwar, Manoharan Azhaguraja, Alisha Kush, Abha Trivedi, Ravi Kumar Gandham and Ashok Kumar Tiwari
Int. J. Mol. Sci. 2026, 27(7), 2994; https://doi.org/10.3390/ijms27072994 - 25 Mar 2026
Viewed by 449
Abstract
The guinea fowl (Numida meleagris), a thermo-tolerant and disease-resilient poultry species, holds great potential for sustainable poultry production in climate-vulnerable regions. The genomic aspects of this species remain largely understudied. The present study aims to delineate the patterns of domestication and [...] Read more.
The guinea fowl (Numida meleagris), a thermo-tolerant and disease-resilient poultry species, holds great potential for sustainable poultry production in climate-vulnerable regions. The genomic aspects of this species remain largely understudied. The present study aims to delineate the patterns of domestication and understand the evolutionary dynamics of guinea fowl populations (wild and domestic) across three continents, utilizing whole-genome sequencing data from 122 genomes. The population structure analyses (ADMIXTURE, PCA, phylogeny, FST, LD, and MAF) revealed that Indian guinea fowl (CARI) shared close ancestry with Iranian (IRAD) and Chinese (CHID) domesticated populations while remaining distinct from wild lineages. The runs of homozygosity (ROH) identified 49,088 segments, with short fragments (ROHs) preponderant in Indian and domestic populations, reflecting historical inbreeding and effects of domestication cum selection. Copy number variation (CNV) analysis revealed 105,178 CNVs concatenated into 40,067 CNV regions (CNVRs) across 11 populations, establishing the first CNV atlas for guinea fowl at the global level. Gene annotation of overlapping ROH and CNVRs revealed 1080 common candidates across Asian guinea fowl populations, i.e., the Indian guinea fowl (CARI), IRAD, and CHID, including FOS, EPAS1, CD74, and CSF1R. These genes have earlier been associated with immune regulation, stress response, and thermal adaptation. Selection signature scans, integrating intra-population (iHS) and inter-population (XP-EHH) approaches, uncovered genes under positive selection linked to immune response (like BCL11B, IL18, and GPC3), thermo-tolerance (like TRPV4 and BAG3), lipid metabolism (like AACS and ELOVL4), and pigmentation (BCO2). These signatures highlight the molecular basis of resilience in guinea fowl and their potential to withstand climate-induced stresses. This study presents the first global CNV atlas for guinea fowl and provides the first comprehensive genomic characterization of the Indian domestic population, integrating ROH, CNV, and selection signature analyses. It offers a comprehensive assessment of guinea fowl genomes (wild and domesticated) across three continents, offering insights into domestication, evolutionary dynamics, and the genetic basis of their adaptation and resilience. Full article
(This article belongs to the Section Molecular Genetics and Genomics)
Show Figures

Figure 1

24 pages, 4086 KB  
Article
Actions of Midostaurin as Cation Channel and Tyrosine Kinase Inhibitor in Diffuse Intrinsic Pontine Glioma Cell Lines
by Marina Antonacci, Annamaria Di Turi, Morena Miciaccia, Michele Denora, Fatima Maqoud, Maria Grazia Perrone, Antonio Scilimati and Domenico Tricarico
Cancers 2026, 18(7), 1066; https://doi.org/10.3390/cancers18071066 - 25 Mar 2026
Viewed by 426
Abstract
Tyrosine kinases (TKs) are drug targets in diffuse intrinsic pontine glioma (DIPG). Ion channels are emerging targets in cancer. TKIs targeting different kinases such as everolimus, crizotinib, dasatinib, erlotinib, lapatinib, perifosine and midostaurin (0.001–100 μM) were investigated on cell proliferation and ion channel [...] Read more.
Tyrosine kinases (TKs) are drug targets in diffuse intrinsic pontine glioma (DIPG). Ion channels are emerging targets in cancer. TKIs targeting different kinases such as everolimus, crizotinib, dasatinib, erlotinib, lapatinib, perifosine and midostaurin (0.001–100 μM) were investigated on cell proliferation and ion channel currents. Methods: Cell viability assays in parallel with a patch-clamp study and Western blot of target proteins are performed in SU-DIPG-36 and SU-DIPG-50 cells. Results: Midostaurin is the most effective drug in different assays. Patch-clamp investigations show that the application of midostaurin reduced the inward and outward whole-cell cation channel currents vs. controls in the presence of low internal ATP. These currents were sensitive to the KATP channel inhibitors glibenclamide and repaglinide and were fully reduced by the unselective blocker TEA-BaCl2. Midostaurin also reduced currents that are sensitive to TRPV1 channel blockers capsazepine and ruthenium-red. The IC50 values of midostaurin as an antiproliferative drug and ion channel inhibitor in either cell line are in the sub-micromolar range. In SU-DIPG-36 cells midostaurin causes a concentration-dependent upregulation of autophagy markers. Conclusions: The inhibition of cation channel currents by midostaurin in SU-DIPG-36 and SU-DIPG-50 cells and the autophagy potentiation in SU-DIPG-36 cells can be novel mechanisms in DIPG. Full article
(This article belongs to the Topic Kinases in Cancer and Other Diseases, 2nd Edition)
Show Figures

Figure 1

23 pages, 1153 KB  
Article
Effects of Low-Energy Diets Supplemented with Lactobacillus reuteri Postbiotic on Growth Performance and Intestinal Health of Broiler Chickens
by Meng Peng, Huiqin Sun, Wenhui Shi, Miaomiao Liu, Shuangshuang Guo, Dan Yi, Binying Ding, Mengjun Wu, Xiudong Liao, Giuseppe Maiorano and Peng Li
Animals 2026, 16(7), 1011; https://doi.org/10.3390/ani16071011 - 25 Mar 2026
Viewed by 431
Abstract
This study aims to investigate the effects of low-energy diets (LE) supplemented with Lactobacillus reuteri postbiotics (HSY) on growth performance and intestinal health of broiler chickens. A total of 2400 one-day-old Ross 308 broiler chicks with an average initial body weight of 46.10 [...] Read more.
This study aims to investigate the effects of low-energy diets (LE) supplemented with Lactobacillus reuteri postbiotics (HSY) on growth performance and intestinal health of broiler chickens. A total of 2400 one-day-old Ross 308 broiler chicks with an average initial body weight of 46.10 ± 0.04 g were randomly assigned to a 2 × 2 factorial arrangement of treatments with 12 pens and 50 broiler chickens/pen for 39 days. Treatments were (1) CTR (basal diet), (2) LE (CTR-70 kcal ME/kg), (3) HSY (CTR + 0.5 kg/t HSY), and (4) LEHSY (LE + 0.5 kg/t HSY). LE increased the feed conversion ratio (FCR) of broilers (p = 0.03) without altering ADG, ADFI, and final BW. Supplementation with HSY significantly reduced the FCR of broilers (p = 0.001). HSY upregulated the activities of amylase and trypsin in jejunal digesta (p < 0.01). Furthermore, LE upregulated the expression of intestinal barrier-related genes such as Mucin-2, Claudin-1 and Occludin, and HSY upregulated the expression of Claudin-1 (p < 0.05). LE upregulated the expression of nutrient transport carriers such as SGLT1 and TRPV6 (p < 0.01), and HSY upregulated the expression of TRPV6 (p < 0.01). LE upregulated the expression of immune-related genes such as MHC-II (p = 0.002), and HSY upregulated the expression of IFN-γ, IL-10, and TGF-β (p < 0.05). LE and HSY both downregulated the expression of intestinal lipid metabolism-related genes like ACC, while upregulating the expression of FABP4 (p < 0.05). 16S rRNA sequencing showed that the HSY increased the Chao1 index of the jejunal microbiota and enriched beneficial bacteria such as Lactobacillus salivarius and Lactobacillus avium. LE and HSY both increased the concentrations of propionic and butyrate (p < 0.05). In summary, HSY can improve gut health and mitigate the negative impact of low-energy treatment on broiler growth performance by increasing the content of endogenous enzymes in the jejunum, improving gut microbiota structure, and increasing the content of short-chain fatty acids in the jejunum. Full article
(This article belongs to the Special Issue Nutritional Interventions for Gut Health and Immunity in Livestock)
Show Figures

Figure 1

21 pages, 1087 KB  
Article
Standardized Berry Extract Improves Selected Visual Function Outcomes in Presbyopia: A Randomized, Double-Blind, Placebo-Controlled Crossover Trial with Exploratory Biomarker Analysis
by Dorota Szumny, Alicja Zofia Kucharska, Karolina Czajor, Karolina Kaptsiuh, Sabina Ziółkowska, Patrycja Krzyżanowska-Berkowska, Marta Misiuk-Hojło, Monika Skrzypiec-Spring, Jakub Szyller, Adam Szeląg and Tomasz Sozański
Nutrients 2026, 18(6), 1016; https://doi.org/10.3390/nu18061016 - 23 Mar 2026
Viewed by 638
Abstract
Background/Objectives: Presbyopia is an age-related decline in near vision associated with lens stiffening and neuroretinal changes, while evidence for the effects of berry-derived phytochemicals remains limited. We investigated whether AKB, a double-standardised berry extract (anthocyanins ≥ 25%, iridoids ≥ 4.5%) from Aronia melanocarpa [...] Read more.
Background/Objectives: Presbyopia is an age-related decline in near vision associated with lens stiffening and neuroretinal changes, while evidence for the effects of berry-derived phytochemicals remains limited. We investigated whether AKB, a double-standardised berry extract (anthocyanins ≥ 25%, iridoids ≥ 4.5%) from Aronia melanocarpa, Lonicera caerulea, and Vaccinium myrtillus, influences visual performance and circulating biomarkers potentially relevant to ocular homeostasis. Methods: In a randomised, double-blind, placebo-controlled, two-period crossover trial, 23 adults aged >50 years received AKB (400 mg twice daily) or placebo for 6 weeks, separated by a 5-week washout. Results: Compared with placebo, AKB was associated with improvements in selected visual-function outcomes, including near contrast sensitivity and visual-field parameters, together with directionally favourable changes in VEP and OCT readouts. AKB supplementation was also associated with lower circulating αA-/αB-crystallin and ALDH1A1 levels and higher circulating TRPV4 levels, whereas systemic antioxidant enzymes and advanced glycation end-products remained unchanged. Given the small sample size and the indirect nature of the biomarker assessment, these findings should be considered preliminary. Conclusions: Overall, short-term AKB supplementation was associated with modest, exploratory changes in selected functional and systemic biomarker outcomes, but larger and longer-term studies are needed to confirm clinical relevance and clarify underlying mechanisms. Full article
(This article belongs to the Section Phytochemicals and Human Health)
Show Figures

Graphical abstract

27 pages, 4582 KB  
Review
TRPV4-Mast Cell Interactions in Neurogenic Inflammation and Chronic Diseases: A Narrative Review
by Malak Fouani, Srishti Kumari, Anne Charles, Christopher Wickware, Ashley A. Moore, Calvin H. Cho, Soman N. Abraham and Carlene D. Moore
Int. J. Mol. Sci. 2026, 27(6), 2865; https://doi.org/10.3390/ijms27062865 - 21 Mar 2026
Viewed by 899
Abstract
Transient receptor potential vanilloid 4 (TRPV4) is a polymodal cation channel that is widely expressed in sensory neurons, immune cells, and structural tissues, where it integrates mechanical, osmotic, and chemical stimuli to regulate both physiological responses and disease-associated signaling. Mast cells (MCs), key [...] Read more.
Transient receptor potential vanilloid 4 (TRPV4) is a polymodal cation channel that is widely expressed in sensory neurons, immune cells, and structural tissues, where it integrates mechanical, osmotic, and chemical stimuli to regulate both physiological responses and disease-associated signaling. Mast cells (MCs), key immune effector cells capable of rapid mediator release through degranulation, also express TRPV4. Increasing evidence supports TRPV4-MC signaling as an important neuroimmune interface, linking mechanical and inflammatory stimuli to tissue hypersensitivity and pain. In this review, we synthesize current evidence supporting a role for TRPV4 in MC-associated neuroimmune signaling across multiple disease contexts while distinguishing settings in which TRPV4 directly regulates MC activation from those in which MC responses arise through multicellular tissue interactions. Direct TRPV4-dependent MC activation has been described in conditions such as LL-37–driven rosacea and mechanically induced inflammation, whereas in disorders including asthma, visceral hypersensitivity, bladder pain syndromes, and osteoarthritis, TRPV4 activity in epithelial, neuronal, or stromal compartments more often influences MC function indirectly through ATP–purinergic signaling, cytokine release, and neuropeptide-mediated crosstalk. Across systems, TRPV4 emerges not as a single pathogenic switch but as part of a context-dependent signaling network whose functional consequences depend on cell type, tissue microenvironment, and disease stage. Altogether, these findings identify TRPV4 as a therapeutically actionable node within neuroimmune signaling pathways and support the development of tissue-specific and combination strategies targeting both TRPV4 activity and MC-mediated signaling in chronic inflammatory and pain disorders. Full article
Show Figures

Figure 1

26 pages, 1342 KB  
Review
Current and Developing Therapeutics for Dry Eye Disease: Targeting Ion Channels
by Rebecca Jung, Emily Kao, Victor H. Guaiquil, Ali R. Djalilian and Mark I. Rosenblatt
Curr. Issues Mol. Biol. 2026, 48(3), 332; https://doi.org/10.3390/cimb48030332 - 21 Mar 2026
Viewed by 735
Abstract
Dry eye disease (DED) is an ocular surface disorder characterized by tear film instability, inflammation, epithelial damage, and neurosensory abnormalities. Due to its multifactorial etiology and pathophysiology, conventional therapies that focus on lubrication and immunosuppression often fall short in addressing the neuropathic component [...] Read more.
Dry eye disease (DED) is an ocular surface disorder characterized by tear film instability, inflammation, epithelial damage, and neurosensory abnormalities. Due to its multifactorial etiology and pathophysiology, conventional therapies that focus on lubrication and immunosuppression often fall short in addressing the neuropathic component of ocular pain experienced by a growing subset of patients. Recent developments in sensory neuroscience have highlighted the pivotal role of ion channels in mediating ocular surface homeostasis, pain signaling, and inflammation. This review examines the role of the following major ion channel families in the pathophysiology of DED and neuropathic ocular pain: transient receptor potential (TRP) channels, voltage-gated sodium (Nav) channels, and purinergic P2X receptors. The review details their anatomical distribution, molecular function, and responses to environmental stimuli such as heat, cold, osmolarity, and injury. Current treatments, such as artificial tears, anti-inflammatory drops, and systemic neuromodulators, are also reviewed in relation to their effects on ion channel modulation. Additionally, emerging therapies that directly target sensory transduction pathways are introduced. This review highlights the therapeutic potential of ion channel modulation in personalizing treatment for patients with ocular surface pain, particularly those with neuropathic features unresponsive to standard care. Full article
(This article belongs to the Special Issue Latest Review Papers in Molecular Biology 2026)
Show Figures

Figure 1

18 pages, 35020 KB  
Article
Topical Application of Frankincense Oil Extract Potently Ameliorates Psoriasis-like Dermatitis in Mice via Anti-Inflammatory and Skin Barrier-Protective Effects
by Wen-Jing Li, Li-Ying Wen, Yu-Sang Li and He-Bin Tang
Int. J. Mol. Sci. 2026, 27(6), 2629; https://doi.org/10.3390/ijms27062629 - 13 Mar 2026
Viewed by 420
Abstract
Frankincense, a traditional Chinese medicinal resin with well-documented skin barrier-protective and anti-inflammatory properties, has elusive underlying mechanisms in psoriasis-like dermatitis. This study aimed to elucidate its therapeutic potential and molecular targets by investigating frankincense oil extract (FOE) and three key constituents (linalool, α-pinene [...] Read more.
Frankincense, a traditional Chinese medicinal resin with well-documented skin barrier-protective and anti-inflammatory properties, has elusive underlying mechanisms in psoriasis-like dermatitis. This study aimed to elucidate its therapeutic potential and molecular targets by investigating frankincense oil extract (FOE) and three key constituents (linalool, α-pinene and 1-octanol) in a classic imiquimod-induced murine psoriasis model, with clinical first-line topical drugs (calcipotriol, tapinarof and dithranol) used as positive controls. Phenotypically, FOE and its constituents significantly ameliorated core psoriasis symptoms (desquamation, erythema, epidermal thickening and splenomegaly) at an efficacy comparable to that of positive controls. FOE suppressed epidermal hyperproliferation and dermal inflammatory infiltration, attenuated the abnormally elevated epidermal expression of TRPV3, β-catenin and COX-2, and increased the expression of the barrier protein K10. Taken together, these findings suggest that FOE restores impaired epidermal barrier function by regulating TRPV3, β-catenin, COX-2 and K10 expression, providing a novel mechanistic basis for the clinical application of traditional frankincense in psoriasis and identifying promising targets for antipsoriatic-drug development. Full article
(This article belongs to the Section Biochemistry)
Show Figures

Graphical abstract

22 pages, 1029 KB  
Review
Migraine Throughout Women’s Reproductive Life: Unravelling the Cardiovascular and Metabolic Implications
by Christian Battipaglia, Alessandro D. Genazzani, Valeria Vescovi, Peter Chedraui and Rossella E. Nappi
Endocrines 2026, 7(1), 10; https://doi.org/10.3390/endocrines7010010 - 9 Mar 2026
Viewed by 924
Abstract
Background/Objectives: Migraine is a leading cause of disability in women and is intricately linked to hormonal fluctuations and systemic health. This review aims to unravel the complex relationship between migraine, cardiovascular disease, and metabolic syndrome throughout the female reproductive lifespan. Methods: [...] Read more.
Background/Objectives: Migraine is a leading cause of disability in women and is intricately linked to hormonal fluctuations and systemic health. This review aims to unravel the complex relationship between migraine, cardiovascular disease, and metabolic syndrome throughout the female reproductive lifespan. Methods: A comprehensive narrative review was conducted using the PubMed database for studies published between January 1988 and December 2025. Keywords included “migraine”, “cardiovascular risk”, “metabolic syndrome”, “pregnancy”, and “hormonal therapy”. Articles were selected to synthesize the latest pathophysiological evidence and clinical guidelines. Results: Migraine prevalence in women is two to threefold higher than in men, peaking during fertile age. Hormonal milestones, particularly estrogen withdrawal, trigger menstrual migraine. Metabolic syndrome is significantly more common in migraineurs than the general population. Obesity and insulin resistance have been associated with higher migraine attack frequency and severity. Experimental evidence suggests that hyperinsulinemia may sensitize TRPV1 receptors on trigeminal neurons and enhance CGRP release, potentially lowering the activation threshold for migraine attacks; however, direct confirmation of this pathway in humans remains limited. Furthermore, migraine with aura is linked to a doubled risk of ischemic stroke and increased risk of cardiovascular events. In pregnancy, migraine is an independent risk factor for stroke, myocardial infarction, and spontaneous coronary artery dissection. Conclusions: Migraine is a critical marker for cardiovascular and metabolic risk, necessitating routine screening and multidisciplinary management. Clinicians must prioritize cardiovascular counselling, metabolic evaluations, and careful monitoring in these patients, especially during pregnancy. Hormonal therapy choices should be individualized, preferring progestin-only contraceptives for those with aura and transdermal routes for hormone replacement therapy to minimize cardiometabolic impact. Full article
(This article belongs to the Section Reproductive Endocrinology)
Show Figures

Figure 1

17 pages, 2664 KB  
Article
Programmed Cell Death Ligand 1 Is Essential for Electroacupuncture-Mediated Analgesia in the Cerebellum of Fibromyalgia Mice
by Hung-Yu Huang, Younbyoung Chae, Ming-Chia Lin, I-Han Hsiao, Hsin-Cheng Hsu, Chien-Yi Ho and Yi-Wen Lin
Biomedicines 2026, 14(3), 584; https://doi.org/10.3390/biomedicines14030584 - 5 Mar 2026
Viewed by 392
Abstract
Background: Fibromyalgia is a chronic disease that predominantly affects women and lasts over several months, causing problems both for individuals and society. While several studies have demonstrated the potential of electroacupuncture (EA) to alleviate fibromyalgia pain in mice, further research is needed to [...] Read more.
Background: Fibromyalgia is a chronic disease that predominantly affects women and lasts over several months, causing problems both for individuals and society. While several studies have demonstrated the potential of electroacupuncture (EA) to alleviate fibromyalgia pain in mice, further research is needed to investigate its underlying mechanisms. Programmed cell death ligand 1 (PD-L1)/PD-1 were first identified to be involved in cancer immunotherapy, and their application to pain management has not been yet investigated. Methods: In this study, we aimed to explore the mechanism underlying the action of PD-L1 on the PD-1 pathway in a mouse model of fibromyalgia. Results: We established such a mouse model using intermittent cold stress (ICS) and confirmed mechanical (D4: 2.02 ± 0.13 g, n = 9) and thermal (D4: 4.28 ± 0.21 s, n = 9) hyperalgesia. We found that EA, intracerebral ventricle (ICV) PD-L1 injection, and transient receptor potential vanilloid 1 (Trpv1) knockout effectively counteracted hyperalgesia. We observed low PD-1 expression in the cerebellum of fibromyalgia mice but increased expression of TRPV1 and pain-related kinases. These phenomena could be further reversed by EA, ICV PD-L1 injection, and Trpv1 knockout. To confirm that these effects were caused by PD-L1 release, we added PD-L1-neutralizing antibodies to the EA and PD-L1 treatment. The analgesic effects and EA and PD-L1 mechanisms were inhibited. Conclusions: Our results elucidate the role of the PD-L1/PD-1 pathway in EA treatment of fibromyalgia and reveal its potential value for fibromyalgia management. Full article
Show Figures

Figure 1

25 pages, 7608 KB  
Article
Intestinal Microbiota Mediates the Beneficial Effects of γ-Polyglutamic Acid on Calcium Homeostasis and Bone Properties in Lambs
by Xingfu Zhang, Lili Guo, Yabo Zhao, Wurilege Wei, Jing Zhang, Lingli Dai, Bin Yang, Zaixia Liu, Xu Wang, Chen Bai, Ruiping Du, Manman Tong, Shuyi Li, Jianmeng Wang, Yanyong Sun and Liwen Song
Int. J. Mol. Sci. 2026, 27(5), 2373; https://doi.org/10.3390/ijms27052373 - 4 Mar 2026
Viewed by 404
Abstract
Optimizing calcium metabolism is crucial for skeletal development and overall productivity in growing ruminants. Twenty-four Sunite lambs were randomly assigned to four groups and fed 0, 0.6, 1.2, or 2.4 g/(d·head) of γ-PGA for 60 days. Growth performance, serum parameters, duodenal morphology and [...] Read more.
Optimizing calcium metabolism is crucial for skeletal development and overall productivity in growing ruminants. Twenty-four Sunite lambs were randomly assigned to four groups and fed 0, 0.6, 1.2, or 2.4 g/(d·head) of γ-PGA for 60 days. Growth performance, serum parameters, duodenal morphology and calcium transporter expression, bone microarchitecture, and duodenal microbiota were analyzed. Supplementation with 1.2 g/(d·head) of γ-PGA (the M group) yielded optimal results, significantly improving final body weight and size. It enhanced duodenal health, evidenced by increased villus height, crypt depth, and microvilli density. Crucially, this dose significantly upregulated the expression of key duodenal calcium transporters (TRPV5/6, CaBPD9k, PMCA, VDR, claudin-12) and altered systemic calcium-regulating hormones (elevated calcitriol, PTH, FGF23). Bone micro-CT analysis revealed changes in trabecular architecture indicative of active remodeling. 16S rRNA sequencing and weighted OTU co-expression network analysis (WOCNA) revealed that γ-PGA reshaped the duodenal microbiota and identified core microbial modules strongly associated with host phenotypes. Genera such as [Eubacterium]_ruminantium_group, Fusicatenibacter, and Prevotella emerged as central hubs. In conclusion, dietary γ-PGA at 1.2 g/(d·head) enhances calcium absorption and bone metabolism in lambs through a coordinated modulation of intestinal integrity and calcium transport, systemic endocrine responses, and the duodenal microbial community, with specific microbiota identified as potential key mediators associated with these effects. Full article
(This article belongs to the Special Issue Regulatory Network of Bone Metabolism)
Show Figures

Figure 1

Back to TopTop