Sign in to use this feature.

Years

Between: -

Subjects

remove_circle_outline
remove_circle_outline
remove_circle_outline
remove_circle_outline
remove_circle_outline
remove_circle_outline
remove_circle_outline
remove_circle_outline
remove_circle_outline

Journals

Article Types

Countries / Regions

remove_circle_outline
remove_circle_outline
remove_circle_outline
remove_circle_outline
remove_circle_outline

Search Results (729)

Search Parameters:
Keywords = TPR-H2

Order results
Result details
Results per page
Select all
Export citation of selected articles as:
15 pages, 3001 KB  
Article
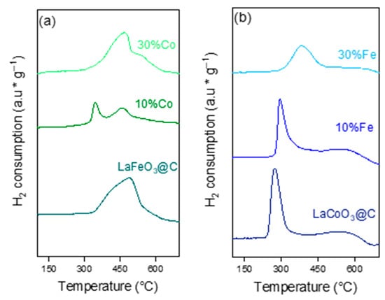
Effect of Partial Co and Fe Substitution on LaFeO3@C, LaCoO3@C Catalysts in the Oxidation of Furfural
by Diego Diaz, Dana Arias, Jorge Noé Díaz de León, Ana Belén Dongil, Laura Martínez-Quintana, Néstor Escalona, Gina Pecchi, Carla Herrera and Catherine Sepulveda
Reactions 2026, 7(2), 28; https://doi.org/10.3390/reactions7020028 (registering DOI) - 9 Apr 2026
Abstract
Pure LaFeO3@C and LaCoO3@C and substituted LaFe1-xCoxO3 and LaCo1-xFexO3 perovskites (x = 0.10; 0.30) were used as catalysts for the liquid-phase oxidation of furfural at 150 °C and 30 [...] Read more.
Pure LaFeO3@C and LaCoO3@C and substituted LaFe1-xCoxO3 and LaCo1-xFexO3 perovskites (x = 0.10; 0.30) were used as catalysts for the liquid-phase oxidation of furfural at 150 °C and 30 bar of O2 pressure. The perovskites were characterized by XRD, H2-TPR, N2 physisorption, TPR-MeOH, and XPS. The carbon in situ incorporation (@C) increases the surface area, favoring oxygen mobility leading to LaFeO3@C stabilizing the redox pair Fe3+/Fe2+. In contrast, no evidence of the formation of a LaCoO3@C perovskite structure through @C incorporation was observed. The gradual substitution of Fe with Co (10 and 30%) in LaFeO3@C decreases the crystallinity, redox and basic properties, and surface area. For LaCoO3@C, after the substitution of Co with 10 and 30% of Fe, only metal (La, Fe, Co) oxides as segregated phases were observed. The highest catalytic activity and selectivity to maleic acid of LaFeO3@C is attributed to the higher surface area, crystalline structure, and surface-reducible Fe3+ species, favoring oxygen mobility and promoting their more oxidizing capacity. The lower catalytic activity of LaCoO3@C, the Co- and Fe-substituted LaFeO3@C and LaCoO3@C catalysts, is attributed to the smaller surface area, and the similar selectivity towards maleic acid, 5-hydroxy-2(5H) and furanone indicates that the active site type is not modified in comparison to LaFeO3@C. Full article
(This article belongs to the Topic Green and Sustainable Catalytic Process)
Show Figures

Figure 1

13 pages, 2913 KB  
Article
Ordered Mesoporous Cu–Co Supported on Al2O3 Catalysts for Higher Alcohol Synthesis from Syngas: Effect of Cu/Co Ratio on Structure and Performance
by Guoqiang Zhang, Ruiqin Liu, Yuan Zhou, Huayan Zheng and Fanhui Meng
Nanomaterials 2026, 16(8), 450; https://doi.org/10.3390/nano16080450 - 9 Apr 2026
Abstract
CuCo-based catalysts are promising candidates for higher alcohol synthesis from syngas, yet their performance is often limited by poor metal dispersion and insufficient Cu-Co synergy. In this work, a series of ordered mesoporous CuCoAl catalysts with varying Cu/Co atomic ratios were synthesized via [...] Read more.
CuCo-based catalysts are promising candidates for higher alcohol synthesis from syngas, yet their performance is often limited by poor metal dispersion and insufficient Cu-Co synergy. In this work, a series of ordered mesoporous CuCoAl catalysts with varying Cu/Co atomic ratios were synthesized via the evaporation-induced self-assembly (EISA) method. The structural, electronic, and catalytic properties were systematically investigated using N2 physisorption, XRD, TEM, H2-TPR, CO-TPD, XPS, and fixed-bed reactor evaluation. The results show that all CuCoAl catalysts prepared by the EISA method possess well-ordered mesoporous structures with high surface areas (up to 235 m2/g) and narrow pore size distributions. The interaction between Cu and Co stabilizes the mesoporous framework, inhibits Cu particle growth, and induces electron transfer from Cu to Co as evidenced by XPS. Among the catalysts tested, Cu1Co1Al (Cu/Co = 1:1) exhibits the highest strong CO adsorption capacity (1.54 mmol/g) and surface hydroxyl content (63.29%), achieving a CO conversion of 32.9% with a C2+ alcohol space–time yield of 20.5 mg·gcat1·h−1. These findings establish clear structure–performance relationships for ordered mesoporous CuCoAl catalysts and provide fundamental guidance for the rational design of efficient catalysts for higher alcohol synthesis. Full article
(This article belongs to the Section Nanocomposite Materials)
Show Figures

Figure 1

25 pages, 10137 KB  
Article
Tuning Methanol Transformation Pathways for Sustainable Steam Reforming: Na-Promotion Effects on Ag/m-ZrO2 Catalysts
by Corbin W. Eaton, Savana R. Alt, Michela Martinelli, Donald C. Cronauer, A. Jeremy Kropf and Gary Jacobs
Catalysts 2026, 16(4), 314; https://doi.org/10.3390/catal16040314 - 1 Apr 2026
Viewed by 200
Abstract
This work investigates the influence of sodium promotion on Ag/m-ZrO2 catalysts for methanol steam reforming (MSR), focusing on activity, selectivity, surface chemistry, and mechanistic pathways. Temperature programmed reduction (TPR), XANES/EXAFS, CO2 TPD, DRIFTS, and temperature programmed surface reaction methods were combined [...] Read more.
This work investigates the influence of sodium promotion on Ag/m-ZrO2 catalysts for methanol steam reforming (MSR), focusing on activity, selectivity, surface chemistry, and mechanistic pathways. Temperature programmed reduction (TPR), XANES/EXAFS, CO2 TPD, DRIFTS, and temperature programmed surface reaction methods were combined with fixed bed MSR testing to develop an integrated structure–function understanding of Na-modified Ag-ZrO2 interfaces. Na addition systematically increases surface basicity, stabilizes strongly basic O2− sites, and weakens the ν(CH) vibrational mode of surface formate, thereby facilitating C–H bond scission and accelerating decarboxylation to CO2. At moderate promoter levels (0.5–1.0 wt.% Na), the catalysts show significantly enhanced CO2 selectivity and increased conversion relative to unpromoted Ag/m-ZrO2, while CH4 formation remains negligible. Excessive Na (≥1.8 wt.%) leads to slower formate decomposition, greater carbonate stabilization, and suppressed conversion, revealing a narrow optimum around 1 wt.% Na. Short-term stability testing demonstrates steady conversion and product selectivity for both unpromoted and Na-promoted catalysts, with the latter maintaining markedly higher CO2 selectivity. Although Pt/YSZ retains far superior intrinsic activity at ~10× higher space velocity, Ag offers a cost-advantaged alternative where lower cost metals are desirable. Collectively, these findings show that Na promotion enables tunable MSR selectivity on Ag/m-ZrO2 by directing formate decomposition toward the CO2-forming pathway. Full article
Show Figures

Figure 1

24 pages, 3700 KB  
Article
Catalytic Synergy: Mesoporous Silica and Ruthenium—Structure–Activity Relationships in CO2 Methanation and Toluene Hydrogenation
by Ewa Janiszewska, Mariusz Pietrowski and Michał Zieliński
Molecules 2026, 31(7), 1130; https://doi.org/10.3390/molecules31071130 - 29 Mar 2026
Viewed by 290
Abstract
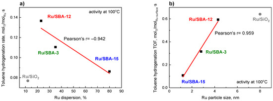
The rational design of supported ruthenium catalysts for sustainable energy applications requires precise control over metal nanoparticle size, dispersion, and metal–support interactions. This study investigates the influence of mesoporous silica support topology—SBA-15 (2D hexagonal, cylindrical pores), SBA-12 (3D hexagonal structure), and SBA-3 (2D [...] Read more.
The rational design of supported ruthenium catalysts for sustainable energy applications requires precise control over metal nanoparticle size, dispersion, and metal–support interactions. This study investigates the influence of mesoporous silica support topology—SBA-15 (2D hexagonal, cylindrical pores), SBA-12 (3D hexagonal structure), and SBA-3 (2D hexagonal)—on the structure and catalytic performance of 1 wt% ruthenium catalysts in CO2 methanation and gas-phase toluene hydrogenation. Comprehensive characterization by nitrogen physisorption, low- and high-angle X-ray diffraction (XRD), H2 temperature-programmed reduction (H2-TPR), CO chemisorption, and transmission electron microscopy (TEM) revealed that support pore architecture dictates ruthenium particle size (1.2 nm for Ru/SBA-15, 2.8 nm for Ru/SBA-3, 4.3 nm for Ru/SBA-12) and dispersion (80%, 35%, 23%, respectively) through geometric confinement effects. Catalytic testing demonstrated contrasting structure–activity relationships: CO2 methanation exhibited strong structure sensitivity with turnover frequency (TOF) increasing with particle size (Pearson’s r = 0.96), favoring Ru/SBA-3 and Ru/SBA-12 with near-optimal 3–4 nm particles, while toluene hydrogenation showed weaker structure sensitivity, with Ru/SBA-12 achieving the highest TOF owing to its larger particle size and higher crystallinity. These findings underscore the critical importance of tailoring mesoporous support topology to match reaction-specific structure sensitivity, providing fundamental insights for the design of bifunctional catalysts for hydrogenation reactions. Full article
Show Figures

Graphical abstract

14 pages, 2716 KB  
Article
Low-Temperature Oxidative Dehydrogenation of n-Butene over Oleate-Mediated ZnFe2O4 Catalysts
by Benqun Yang, Rui Yang, Lisha Dong, Haimei Xu, Shiming Qiu, Huimin Yang, Zhifeng Li and Guofang Zuo
Catalysts 2026, 16(3), 250; https://doi.org/10.3390/catal16030250 - 7 Mar 2026
Viewed by 480
Abstract
Traditional oxidative dehydrogenation of n-butene has typically required relatively high operating temperatures (400–500 °C), which has driven increasing interest in the development of catalysts capable of delivering high activity at lower temperatures. In this study, zinc ferrite (ZnFe2O4-ST) was [...] Read more.
Traditional oxidative dehydrogenation of n-butene has typically required relatively high operating temperatures (400–500 °C), which has driven increasing interest in the development of catalysts capable of delivering high activity at lower temperatures. In this study, zinc ferrite (ZnFe2O4-ST) was successfully synthesized via hydrothermal hydrolysis of Zn–Fe oleate and demonstrated remarkable catalytic performance for the oxidative dehydrogenation of n-butene under mild conditions. At 300 °C, ZnFe2O4-ST achieved a conversion of 72.9% with 92.1% selectivity toward 1,3-butadiene, a result that, to the best of our knowledge, ranks among the best reported in the literature. By contrast, ZnFe2O4 prepared by conventional coprecipitation (17.2% conversion with 91.3% selectivity) and sol-gel (10.1% conversion with 86.4% selectivity) methods showed much lower activities, highlighting the critical influence of synthesis strategy on catalytic performance. To better understand the origin of these differences, a detailed structural and physicochemical characterization was undertaken using X-ray diffraction (XRD), thermogravimetric analysis (TGA), transmission electron microscopy (TEM), N2 adsorption–desorption, X-ray photoelectron spectroscopy (XPS), H2-temperature-programmed reduction (H2-TPR), temperature-programmed re-oxidation (TPRO), and NH3-temperature-programmed desorption (NH3-TPD). These analyses revealed that the as-synthesized ZnFe2O4-ST possessed a significantly smaller average particle size, a larger specific surface area, and superior reducibility compared with the other samples. These properties are believed to be the key factors underpinning its outstanding catalytic behavior and provide important insights into the design of efficient low-temperature catalysts for selective oxidative dehydrogenation. Full article
Show Figures

Graphical abstract

18 pages, 3480 KB  
Article
Regulating Iron Carbide Evolution over CNT-Supported Fe Catalysts by Mn Incorporation for Selective CO Hydrogenation to Linear α-Olefins
by Hengxuan Zhang, Zixing Shi, Yan Sun, Qiwen Sun and Jiancheng Wang
Catalysts 2026, 16(3), 244; https://doi.org/10.3390/catal16030244 - 5 Mar 2026
Viewed by 594
Abstract
Linear α-olefins (LAOs) from CO/H2 represent an attractive non-petroleum route, yet their selective formation over Fe catalysts is often limited by CO2 formation via water–gas shift (WGS) reaction and by secondary hydrogenation that consumes terminal olefins. In this work, we demonstrate [...] Read more.
Linear α-olefins (LAOs) from CO/H2 represent an attractive non-petroleum route, yet their selective formation over Fe catalysts is often limited by CO2 formation via water–gas shift (WGS) reaction and by secondary hydrogenation that consumes terminal olefins. In this work, we demonstrate that these competing pathways can be regulated on carbon-nanotube (CNT) supported Fe catalysts by controlling the CNT interfacial oxygen environment through NO treatment or high-temperature annealing and by adjusting the Mn incorporation protocol between co-impregnation and stepwise addition. Under identical reaction conditions at 280 °C and 3.0 MPa with an H2-to-CO ratio of 1, high-temperature treated CNTs improve olefin preservation and LAO retention compared with NO-treated CNTs. Mn promotion further shifts selectivity toward α-olefins and lowers CO2 selectivity. At the same Fe-to-Mn ratio, the Mn introduction sequence produces distinct reducibility and CO-binding behaviors that lead to different steady-state oxide and carbide phases. XPS, H2-TPR, and CO-TPD collectively suggest that CNT pretreatment and the Mn protocol modulate near-surface oxygen speciation, reduction kinetics, and CO adsorption strength. Mössbauer spectroscopy confirms a predominantly χ-Fe5C2 population and indicates the presence of ε-Fe2C in selected samples together with residual oxide and superparamagnetic Fe species. These results highlight the importance of controlling the CNT–metal interface and Mn–Fe proximity to enhance LAO retention under high-temperature CO hydrogenation. Full article
(This article belongs to the Section Catalytic Materials)
Show Figures

Graphical abstract

15 pages, 4914 KB  
Article
Nickel Catalysts Supported on SiO2-CeO2 Mixed Oxides for Methane Dry Reforming
by Carla Calabrese, Valeria La Parola, Giuseppe Pantaleo and Leonarda Francesca Liotta
Catalysts 2026, 16(3), 231; https://doi.org/10.3390/catal16030231 - 3 Mar 2026
Viewed by 539
Abstract
Nickel-supported catalysts over SiO2-CeO2 mixed oxides were investigated as catalysts for syngas production via dry reforming of methane. SiO2-CeO2 supports were optimized by varying the preparation method and ceria loading with the aim of stabilizing nickel nanoparticles, [...] Read more.
Nickel-supported catalysts over SiO2-CeO2 mixed oxides were investigated as catalysts for syngas production via dry reforming of methane. SiO2-CeO2 supports were optimized by varying the preparation method and ceria loading with the aim of stabilizing nickel nanoparticles, enhancing the catalytic performance, and improving the resistance to coke formation under high-temperature reforming conditions. To investigate the effect of support composition, SiO2-CeO2 mixed oxides with ceria contents ranging from 5 to 30 wt% were prepared using two synthesis routes: sol–gel and wetness impregnation methods. A nickel loading of 5 wt% was deposited on the resulting supports. The catalysts were characterized by XRD, N2 physisorption, temperature-programmed reduction (TPR), and Raman spectroscopy. Catalytic activity tests were carried out over reduced catalysts in an H2-He stream at 750 °C, using a feed mixture containing 15 vol% CH4 and 15 vol% CO2 in He. The effect of temperature on catalytic performance was evaluated in the range of 450–750 °C. Thermogravimetric, XRD and Raman analyses of spent catalysts were used to assess carbon deposition and the nature of crystalline phases. The results highlight the role of CeO2 content and preparation method in determining nickel dispersion, reducibility, catalytic performance in DRM, and coke resistance. Full article
Show Figures

Graphical abstract

17 pages, 4413 KB  
Article
Combined Effects of TiO2 Support and Ru Salt Precursor on the Performance of Ru/TiO2 Catalysts for CO2 Hydrogenation
by Alexandros K. Bikogiannakis, Andriana Lymperi, Georgios Bampos, Christina Papadopoulou, Dimitrios Dragatogiannis, Kyriakos Bourikas, Alexandros Katsaounis and Georgios Kyriakou
Catalysts 2026, 16(3), 220; https://doi.org/10.3390/catal16030220 - 1 Mar 2026
Viewed by 700
Abstract
The CO2 hydrogenation reaction is a cornerstone reaction in catalytic conversion technologies, with Ru/TiO2 catalysts being amongst the most active and selective for CH4 formation. A key factor in the preparation of such catalysts is the choice of chemical precursor [...] Read more.
The CO2 hydrogenation reaction is a cornerstone reaction in catalytic conversion technologies, with Ru/TiO2 catalysts being amongst the most active and selective for CH4 formation. A key factor in the preparation of such catalysts is the choice of chemical precursor for Ru impregnation, as it can substantially influence the physicochemical properties and catalytic performance. In this study, we deliberately employ a simple incipient wetness impregnation method to isolate the effect of the Ru precursor itself, using two different Ru precursors for the synthesis of Ru/TiO2 catalysts intended for CO2 hydrogenation and evaluating their properties using analytical techniques such as XRF, XRD, TEM, XPS and H2-TPR. Our results show that catalysts prepared from ruthenium nitrosyl nitrate solutions display enhanced reducibility and slightly stronger metal–support interactions compared to those prepared from ruthenium chloride solutions. These features enable higher CO2 conversion and CH4 selectivity. The results of this work provide grounds for the targeted chemical precursor selection, while clarifying the reason behind the observed effects on catalytic performance. Full article
(This article belongs to the Special Issue Feature Papers in "Industrial Catalysis" Section, 2nd Edition)
Show Figures

Graphical abstract

22 pages, 1151 KB  
Article
Directed and Resolution-Adaptive Louvain Community Method for Hardware Trojan Detection and Localization in Gate-Level Netlists
by Hongxu Gao, Dong Ding, Cai Zhen, Xin Liu, Yu Li, Jinping Li, Yuning Zhao and Quan Wang
Electronics 2026, 15(5), 1027; https://doi.org/10.3390/electronics15051027 - 28 Feb 2026
Viewed by 272
Abstract
The increasing complexity of modern gate-level circuits significantly degrades the efficiency of existing Hardware Trojan detection methods. Community partitioning is an efficient structural decomposition technique to address efficiency and scalability issues, yet current community-based detection schemes rely primarily on undirected graph modeling. To [...] Read more.
The increasing complexity of modern gate-level circuits significantly degrades the efficiency of existing Hardware Trojan detection methods. Community partitioning is an efficient structural decomposition technique to address efficiency and scalability issues, yet current community-based detection schemes rely primarily on undirected graph modeling. To address these issues, we propose an improved structure-aware community detection method for gate-level netlists, aiming to enhance the detection and localization capabilities of small-scale Hardware Trojans. First, an expanded dataset with structural diversity of clean and Trojan-inserted circuits is constructed by extending Trust-Hub benchmark circuits. Then, a directed and resolution-adaptive Louvain community detection algorithm is proposed—by introducing directed modularity, resolution parameters, and logic-gate semantic weighting, fine-grained community partitioning is achieved. On this basis, topological, functional, and anomaly features are extracted from community subgraphs, and a detection framework is built by combining graph neural networks and traditional detection models. All experiments are conducted on a unified platform equipped with an Intel (R) Core (TM) i7-10750H processor and an NVIDIA GeForce RTX 2060 GPU. Experimental results show that compared with configurations using the original Louvain partitioning and traditional features, the proposed method achieves significant improvements in both detection accuracy and localization capability. After introducing the improved community partitioning and feature design, the optimal model (CommunityGAT) yields a 3.3% increase in TPR and a 10.8% increase in ALC, verifying the method’s effectiveness in detecting small-scale concealed Trojans. Full article
(This article belongs to the Special Issue New Trends in Cybersecurity and Hardware Design for IoT)
Show Figures

Figure 1

17 pages, 3481 KB  
Article
Nickel-Based Catalysts for Hydrogen Production Through Partial Oxidation: The Role of KIT-6 and Promoter Effects
by Yasameen Ahmed, Ghzzai Almutairi, Abdulaziz A. M. Abahussain, Omalsad H. Odhah, Khaled M. Banabdwin, Ahmed Yagoub Elnour, Fekri Abdulraqeb Ahmed Ali, Fazal Raziq, Ahmed A. Ibrahim and Ahmed S. Al-Fatesh
Catalysts 2026, 16(2), 201; https://doi.org/10.3390/catal16020201 - 23 Feb 2026
Viewed by 688
Abstract
Partial oxidation of methane (POM) is a good way to make syngas because it uses exothermic reactions to keep itself going. This study made a series of Ni/KIT-6 catalyst precursors with Gd (0.5–2 wt.%) added to them and then carefully looked at how [...] Read more.
Partial oxidation of methane (POM) is a good way to make syngas because it uses exothermic reactions to keep itself going. This study made a series of Ni/KIT-6 catalyst precursors with Gd (0.5–2 wt.%) added to them and then carefully looked at how they changed into active catalysts. The first tests on the precursors using N2 physisorption, XRD, and H2-TPR showed that they had a high surface area and changed how they reduced. However, the high-temperature activation (700 °C) and reaction (682 °C) conditions caused thermal evolution and sintering. Tests of catalytic performance and RSM optimization found that the 5Ni + 1Gd/KIT-6 formulation was the best. Under the best conditions, it converted 89.0% of CH4 and 87.4% of H2. Using TEM and Raman spectroscopy to look at the used catalysts showed that 1 wt.% Gd was able to control the size distribution of the metallic particles and stop disordered carbon from forming, even after thermal recrystallisation. A 24 h stability test confirmed these findings, indicating a stable H2 yield (85–87%) and minimal performance degradation, thereby demonstrating that Gd promotion maintains the stability of the active metallic phase under operational stress. Full article
Show Figures

Figure 1

15 pages, 1819 KB  
Article
Selective Reduction of CO2 to CO via the RWGS Reaction over ZnO-ZrO2-Ga2O3-Supported Catalysts Modified with Keggin-Type Heteropolyacid Precursors
by Farah Lachquer, Adrià Sánchez, Pilar Ramírez de la Piscina, Narcís Homs and Jamil Toyir
Nanomaterials 2026, 16(4), 266; https://doi.org/10.3390/nano16040266 - 18 Feb 2026
Viewed by 542
Abstract
Mo/ZZG and W/ZZG nanomaterials for the catalytic reduction of CO2 were successfully prepared from preformed ZnO-ZrO2-Ga2O3 (ZZG) and HPMo and HPMo heteropolyacids via simple incipient wetness impregnation. To establish the relationship between structural properties and catalytic performance, [...] Read more.
Mo/ZZG and W/ZZG nanomaterials for the catalytic reduction of CO2 were successfully prepared from preformed ZnO-ZrO2-Ga2O3 (ZZG) and HPMo and HPMo heteropolyacids via simple incipient wetness impregnation. To establish the relationship between structural properties and catalytic performance, the prepared catalysts were deeply characterized using XRD, Raman spectroscopy, SEM coupled with EDX, BET, XPS, and H2-TPR techniques. The catalytic performance of the materials was evaluated in the RWGS reaction under atmospheric pressure, using a feed composition of CO2/H2/N2 = 1/3/1 across a temperature range of 250–600 °C. All materials were active in the reverse water gas shift reaction (RWGS) under these conditions, with the Mo/ZZG catalyst exhibiting the best performance, demonstrating excellent catalytic activity at low temperature with the lowest activation energy and the highest CO2 to CO conversion efficiency. Full article
(This article belongs to the Section Energy and Catalysis)
Show Figures

Figure 1

18 pages, 8437 KB  
Article
Palladium as a Molecular Architect: Control of Hydrocarbon Chain Growth and Branching in Zeolite Catalysts for Fischer–Tropsch Synthesis
by Roman Yakovenko, Anastasia Chemes, Andrey Volik, Danila Ponomarev, Evgeniya Yakovenko, Alexander Astakhov, Victoria Marchenko, Andrey Nikolaev, Evgeniy Sadyrin, Roman Svetogorov and Marat Agliullin
Catalysts 2026, 16(2), 179; https://doi.org/10.3390/catal16020179 - 11 Feb 2026
Viewed by 628
Abstract
The effect of palladium addition to a hybrid Co/SiO2 + HZSM-5 + Al2O3 catalyst on the combined Fischer–Tropsch (FT) synthesis and hydrocarbon hydroconversion process was studied. Catalysts with a Pd content of 0.075–0.3 wt.% were characterized by a complex [...] Read more.
The effect of palladium addition to a hybrid Co/SiO2 + HZSM-5 + Al2O3 catalyst on the combined Fischer–Tropsch (FT) synthesis and hydrocarbon hydroconversion process was studied. Catalysts with a Pd content of 0.075–0.3 wt.% were characterized by a complex of physicochemical methods, including synchrotron radiation X-ray diffraction (SR-XRD), temperature-programmed reduction with hydrogen (H2-TPR), temperature-programmed desorption of hydrogen with oxygen titration (H2-TPD/O2 titration), IR spectroscopy of adsorbed pyridine, and STEM-EDX analysis. It was found that the addition of palladium decreases the cobalt oxide reduction temperature due to interphase hydrogen transfer. Tests in hydrocarbon synthesis at 240–250 °C, a pressure of 2 MPa, and an H2/CO ratio of 2 showed that the sample with 0.15% Pd exhibits the highest selectivity for C5+ hydrocarbons (66.8% at 240 °C) and stability for 150 h. Analysis of the synthesis products revealed a fivefold decrease in the proportion of alkenes and an increase in isoalkanes with increasing Pd concentration. This effect enables the in situ hydroprocessing of primary FT products in a single reactor. The results demonstrate that the targeted introduction of palladium into the hybrid system is an effective strategy for regulating its functionality, allowing for the one-stage production of high-quality fuels with a controlled hydrocarbon composition from syngas. Full article
Show Figures

Figure 1

22 pages, 4948 KB  
Article
CO2 Hydrogenation to Methanol over Novel Melamine-Based Polyaminal Porous Polymer Coordinated to Cu-Based Catalyst
by Laila S. A. Ali, Ahmad Abo Markeb, Javier Moral-Vico, Xavier Font and Adriana Artola
Catalysts 2026, 16(2), 170; https://doi.org/10.3390/catal16020170 - 5 Feb 2026
Viewed by 915
Abstract
The catalytic conversion of carbon dioxide to methanol is significantly important both practically and scientifically for the reduction in CO2 emissions. Furthermore, it can partially address the issue of human reliance on non-renewable resources. The main motivation of this study is to [...] Read more.
The catalytic conversion of carbon dioxide to methanol is significantly important both practically and scientifically for the reduction in CO2 emissions. Furthermore, it can partially address the issue of human reliance on non-renewable resources. The main motivation of this study is to use a melamine polymer network to support a copper-based catalyst for CO2 hydrogenation to methanol. Based on Schiff base chemistry, a facile catalyst-free process, a novel porous polyaminal polymer (MGPN) was prepared with nitrogen contents as high as 38%. MGPN was used as a support for Cu-based catalyst and applied in CO2 hydrogenation to CH3OH under mild conditions. A deep characterization of the MGPN@CuO/ZnO/Al2O3 catalyst was made through FTIR, N2 adsorption–desorption, SEM-EDS, TEM, TGA, XRD, CO2-TPD, and H2-TPR techniques. The CO2 hydrogenation study was performed in a fixed bed reactor with a residence time of 1.104 s on varying parameters such as the metal loading, catalyst amount, flow rate, pressure, calcination temperatures, reduction temperatures, and catalytic reaction temperature profile. The space-time yield (STY) of 145.43 mgmethanol·gcatalyst−1·h−1, a selectivity of 98.36%, and CO2 conversion of 11.76% were obtained under an economically and energetically sustainable low-pressure (1 MPa) and 260 °C hydrogenation process. Full article
(This article belongs to the Special Issue High-Performance Nanocatalysts for Energy Conversion)
Show Figures

Figure 1

20 pages, 4213 KB  
Article
The Etching of Al-Doped Co3O4 with NaOH to Enhance Ethyl Acetate Catalytic Degradation
by Jiafeng Wei, Shuchen Liu, Dongqi Li, Haiyang Yu, Yuxin Wang, Fukun Bi and Xiaodong Zhang
Catalysts 2026, 16(2), 158; https://doi.org/10.3390/catal16020158 - 3 Feb 2026
Viewed by 580
Abstract
In this work, a series of defective Co3O4 catalysts (Al@Co3O4−x, x = 4, 6, 8 mmol/L, representing the NaOH concentration) were prepared by Al doping and NaOH etching via hydrothermal method for ethyl acetate degradation. [...] Read more.
In this work, a series of defective Co3O4 catalysts (Al@Co3O4−x, x = 4, 6, 8 mmol/L, representing the NaOH concentration) were prepared by Al doping and NaOH etching via hydrothermal method for ethyl acetate degradation. The results indicated that the Al@Co3O4-6 catalyst presented the optimal catalytic performance for ethyl acetate degradation (T90 = 207 °C). The results of many characterizations, such as X-ray diffraction (XRD), scanning electron microscope (SEM), Fourier transform infrared (FT-IR) spectra, Raman, and temperature-programmed H2 reduction (H2-TPR), etc., showed that the Al doping and NaOH etching induced the production of defects and oxygen vacancies in the catalyst, improved the surface area, boosted the low-temperature reducibility, and promoted the low-temperature oxygen species desorption, which enhanced ethyl acetate oxidation over Al@Co3O4-6. Importantly, the possible ethyl acetate degradation pathway was revealed by in situ diffuse reflectance infrared Fourier transform spectroscopy (DRIFTS), in the sense that the adsorbed ethyl acetate was gradually oxidized to ethanol and acetaldehyde, acetic acid, formate, and finally to CO2 and H2O. Full article
(This article belongs to the Special Issue Recent Advances in Catalytic Materials for Water and Air Treatment)
Show Figures

Figure 1

21 pages, 3434 KB  
Article
Preparation, Characterization, and Catalytic Performance of Metal-Based Heterogeneous Catalysts for Glucose Oxidation to Gluconic Acid
by Stamatia A. Karakoulia, Asimina A. Marianou, Chrysoula M. Michailof and Angelos A. Lappas
Catalysts 2026, 16(2), 135; https://doi.org/10.3390/catal16020135 - 1 Feb 2026
Viewed by 495
Abstract
The development of non-noble metal catalysts provides a cost-effective and sustainable route for glucose oxidation to gluconic acid. In this study, a series of catalysts based on inexpensive transition metals (Cr, Cu, Ni, Fe) and/or Au were synthesized using siliceous supports (SiO2 [...] Read more.
The development of non-noble metal catalysts provides a cost-effective and sustainable route for glucose oxidation to gluconic acid. In this study, a series of catalysts based on inexpensive transition metals (Cr, Cu, Ni, Fe) and/or Au were synthesized using siliceous supports (SiO2 and MCM-41) and systematically evaluated. The aim was to partially or fully replace noble metals with lower-cost alternatives, while maintaining high catalytic performance. Comprehensive characterization—including ICP-AES for composition, N2 adsorption–desorption for porosity, XRD for structure, H2-TPR for reducibility, and NH3-TPD for acidity—was conducted to establish structure–property relationships. Among the tested catalysts, Ni- and Fe-based systems exhibited superior stability, with NiO/SiO2 achieving gluconic acid yields comparable to Au. The bimetallic Au–Ni/SiO2 catalyst displayed enhanced metal–support interactions and minimal leaching (<2%), while Au–Fe/SiO2 improved selectivity, yielding up to 23% gluconic acid, surpassing 5Fe/SiO2 (18%) and 0.3Au/SiO2 (15%), albeit with lower stability. These results highlight the potential of low-cost transition-metal and bimetallic catalysts as efficient and economically viable systems for selective glucose oxidation, providing insights for rational catalyst design in sustainable carbohydrate valorization. Full article
(This article belongs to the Section Biomass Catalysis)
Show Figures

Graphical abstract

Back to TopTop