Exploring CeO2-Doped Co/SBA-15 Catalysts for Acetic Acid Oxidative Steam Reforming
Abstract
1. Introduction
2. Materials and Methods
2.1. Catalyst Synthesis
2.2. Catalyst Characterization
2.3. Catalytic Performance Tests
3. Results and Discussion
3.1. Catalyst Characterization
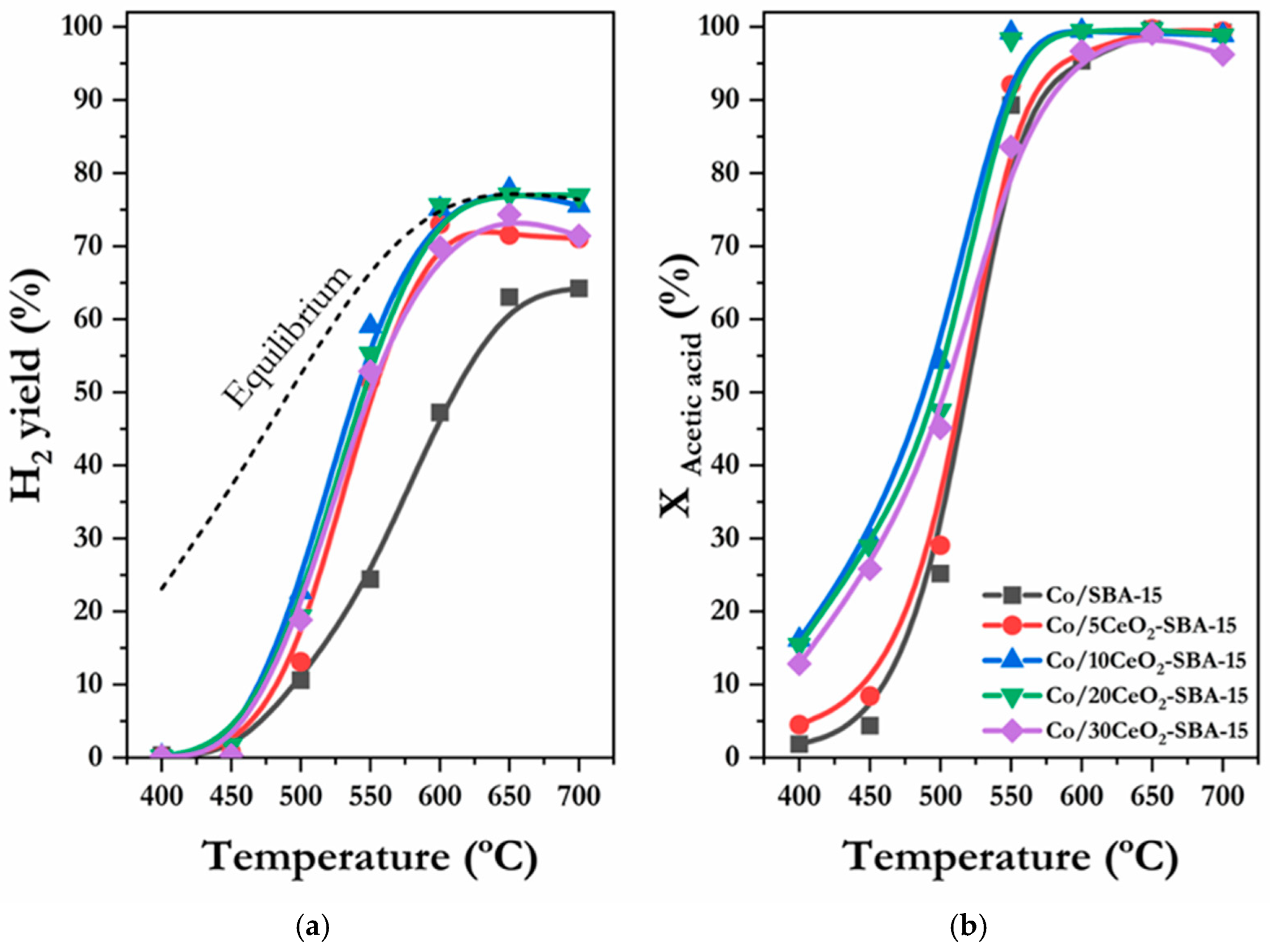
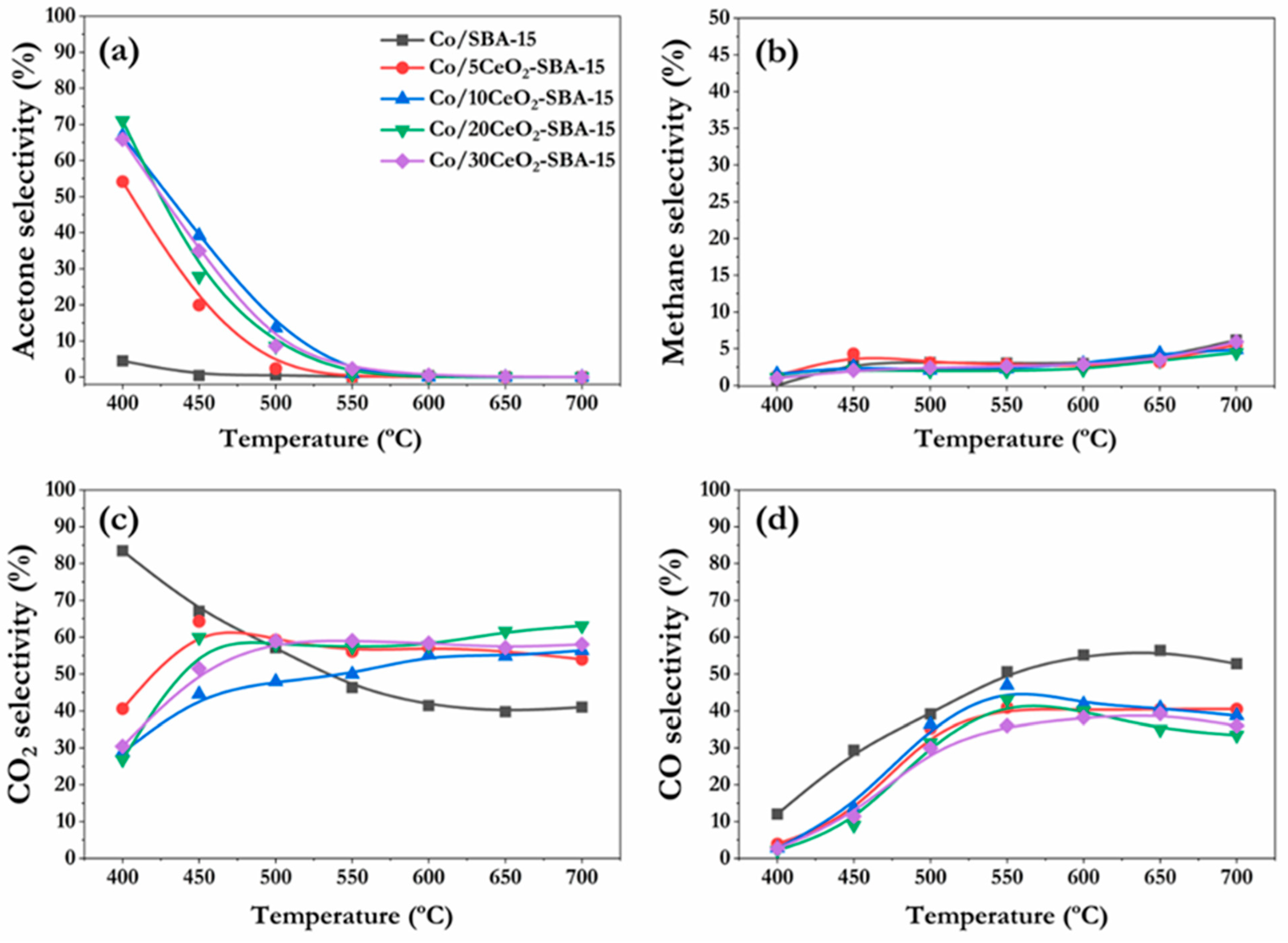
3.2. Oxidative Steam Reforming of Acetic Acid
3.3. Stability Test on Co/10CeO2-SBA-15 and Co/20CeO2-SBA-15 Catalysts
3.4. Characterization of Used Catalysts After Stability Tests
4. Conclusions
Supplementary Materials
Author Contributions
Funding
Data Availability Statement
Conflicts of Interest
References
- IEA. Global Energy Review: CO2 Emissions in 2021. Available online: https://iea.blob.core.windows.net/assets/c3086240-732b-4f6a-89d7-db01be018f5e/GlobalEnergyReviewCO2Emissionsin2021.pdf (accessed on 9 December 2023).
- Zhumadilova, A.; Zhigitova, S.; Turalina, M. The Impact of Greenhouse Gases on Climate Change. Sci. Horiz. 2023, 26, 97–109. [Google Scholar] [CrossRef]
- Paris Agreement to the United Nations Framework Convention on Climate Change, 12 December 2015, T.I.A.S. No. 16-1104. Available online: https://unfccc.int/sites/default/files/english_paris_agreement.pdf (accessed on 23 May 2025).
- IRENA. World Energy Transitions Outlook 2023: 1.5 °C Pathway. Available online: https://www.irena.org/Publications/2023/Jun/World-Energy-Transitions-Outlook-2023 (accessed on 9 December 2023).
- Global Carbon Budget Fossil CO2 Emissions at Record High in 2023. Available online: https://globalcarbonbudget.org/fossil-co2-emissions-at-record-high-in-2023/ (accessed on 9 December 2023).
- United Nations Climate Change Annual Report 2022. Available online: https://unfccc.int/sites/default/files/resource/UNClimateChange_AnnualReport_2022.pdf (accessed on 11 December 2023).
- Kobina, M.; Gil, S. Green Hydrogen: A Key Investment for the Energy Transition. Available online: https://blogs.worldbank.org/ppps/green-hydrogen-key-investment-energy-transition (accessed on 11 December 2023).
- Megía, P.J.; Vizcaíno, A.J.; Calles, J.A.; Carrero, A. Hydrogen Production Technologies: From Fossil Fuels toward Renewable Sources. A Mini Review. Energy Fuels 2021, 35, 16403–16415. [Google Scholar] [CrossRef]
- Gholizadeh, M.; Hu, X.; Liu, Q. A Mini Review of the Specialties of the Bio-Oils Produced from Pyrolysis of 20 Different Biomasses. Renew. Sustain. Energy Rev. 2019, 114, 109313. [Google Scholar] [CrossRef]
- Setiabudi, H.D.; Aziz, M.A.A.; Abdullah, S.; Teh, L.P.; Jusoh, R. Hydrogen Production from Catalytic Steam Reforming of Biomass Pyrolysis Oil or Bio-Oil Derivatives: A Review. Int. J. Hydrogen Energy 2020, 45, 18376–18397. [Google Scholar] [CrossRef]
- Wang, S.; Cai, Q.; Zhang, F.; Li, X.; Zhang, L.; Luo, Z. Hydrogen Production via Catalytic Reforming of the Bio-Oil Model Compounds: Acetic Acid, Phenol and Hydroxyacetone. Int. J. Hydrogen Energy 2014, 39, 18675–18687. [Google Scholar] [CrossRef]
- Vagia, E.C.; Lemonidou, A.A. Thermodynamic Analysis of Hydrogen Production via Steam Reforming of Selected Components of Aqueous Bio-Oil Fraction. Int. J. Hydrogen Energy 2007, 32, 212–223. [Google Scholar] [CrossRef]
- Chen, J.; Sun, J.; Wang, Y. Catalysts for Steam Reforming of Bio-Oil: A Review. Ind. Eng. Chem. Res. 2017, 56, 4627–4637. [Google Scholar] [CrossRef]
- Souza, I.C.A.; Manfro, R.L.; Souza, M.M.V.M. Hydrogen Production from Steam Reforming of Acetic Acid over Pt–Ni Bimetallic Catalysts Supported on ZrO2. Biomass Bioenergy 2022, 156, 106317. [Google Scholar] [CrossRef]
- Cortese, M.; Ruocco, C.; Palma, V.; Megía, P.J.; Carrero, A.; Calles, J.A. On the Support Effect and the Cr Promotion of Co Based Catalysts for the Acetic Acid Steam Reforming. Catalysts 2021, 11, 133. [Google Scholar] [CrossRef]
- Megía, P.J.; Calles, J.A.; Carrero, A.; Vizcaíno, A.J. Effect of the Incorporation of Reducibility Promoters (Cu, Ce, Ag) in Co/CaSBA-15 Catalysts for Acetic Acid Steam Reforming. Int. J. Energy Res. 2020, 45, 1685–1702. [Google Scholar] [CrossRef]
- Trane-Restrup, R.; Resasco, D.E.; Jensen, A.D. Steam Reforming of Light Oxygenates. Catal. Sci. Technol. 2013, 3, 3292–3302. [Google Scholar] [CrossRef]
- Arandia, A.; Remiro, A.; García, V.; Castaño, P.; Bilbao, J.; Gayubo, A.G. Oxidative Steam Reforming of Raw Bio-Oil over Supported and Bulk Ni Catalysts for Hydrogen Production. Catalysts 2018, 8, 322. [Google Scholar] [CrossRef]
- Remiro, A.; Arandia, A.; Oar-Arteta, L.; Bilbao, J.; Gayubo, A.G. Stability of a Rh/CeO2-ZrO2 Catalyst in the Oxidative Steam Reforming of Raw Bio-Oil. Energy Fuels 2018, 32, 3588–3598. [Google Scholar] [CrossRef]
- Goicoechea, S.; Ehrich, H.; Arias, P.L.; Kockmann, N. Thermodynamic Analysis of Acetic Acid Steam Reforming for Hydrogen Production. J. Power Sources 2015, 279, 312–322. [Google Scholar] [CrossRef]
- Megía, P.J.; Vizcaíno, A.J.; Ruiz-Abad, M.; Calles, J.A.; Carrero, A. Coke Evolution in Simulated Bio-Oil Aqueous Fraction Steam Reforming Using Co/SBA-15. Catal. Today 2021, 367, 145–152. [Google Scholar] [CrossRef]
- Greluk, M.; Rotko, M.; Słowik, G.; Turczyniak-Surdacka, S. Hydrogen Production by Steam Reforming of Ethanol over Co/CeO2 Catalysts: Effect of Cobalt Content. J. Energy Inst. 2019, 92, 222–238. [Google Scholar] [CrossRef]
- Nabgan, W.; Abdullah, T.A.T.; Mat, R.; Nabgan, B.; Jalil, A.A.; Firmansyah, L.; Triwahyono, S. Production of Hydrogen via Steam Reforming of Acetic Acid over Ni and Co Supported on La2O3 Catalyst. Int. J. Hydrogen Energy 2017, 42, 8975–8985. [Google Scholar] [CrossRef]
- Da Costa-Serra, J.F.; Miralles-Martínez, A.; García-Muñoz, B.; Maestro-Cuadrado, S.; Chica, A. Ni and Co-Based Catalysts Supported on ITQ-6 Zeolite for Hydrogen Production by Steam Reforming of Ethanol. Int. J. Hydrogen Energy 2023, 48, 26518–26525. [Google Scholar] [CrossRef]
- Megía, P.J.; Morales, A.; Vizcaíno, A.J.; Calles, J.A.; Carrero, A. Oxidative Steam Reforming of Acetic Acid on Ni Catalysts: Influence of the La Promotion on Mesostructured Supports. Int. J. Hydrogen Energy 2024, 52, 1136–1145. [Google Scholar] [CrossRef]
- Bie, C.; Zhu, J.; Xiao, P.; Zhao, Y. Cobalt Oxide Supported on Cex-SBA-15 for CO Oxidation: Effect of Ce Addition. Chem. Lett. 2016, 45, 1359–1361. [Google Scholar] [CrossRef]
- Calles, J.A.; Carrero, A.; Vizcaíno, A.J.; Lindo, M. Effect of Ce and Zr Addition to Ni/SiO2 Catalysts for Hydrogen Production through Ethanol Steam Reforming. Catalysts 2015, 5, 58–76. [Google Scholar] [CrossRef]
- Cifuentes, B.; Hernández, M.; Monsalve, S.; Cobo, M. Hydrogen Production by Steam Reforming of Ethanol on a RhPt/CeO2/SiO2 Catalyst: Synergistic Effect of the Si:Ce Ratio on the Catalyst Performance. Appl. Catal. A Gen. 2016, 523, 283–293. [Google Scholar] [CrossRef]
- Ribeiro, M.C.; Rabelo-Neto, R.C.; Mattos, L.V.; Jacobs, G.; Davis, B.H.; Noronha, F.B. A Relationship between the Production of Oxygenates from Ethanol/Steam Mixtures and the Oxygen Mobility in Transition Metal Oxide Doped CeO2·SiO2 Catalysts. J. Phys. Chem. C 2014, 118, 28007–28016. [Google Scholar] [CrossRef]
- Palma, V.; Ruocco, C.; Meloni, E.; Ricca, A. Oxidative Steam Reforming of Ethanol on Mesoporous Silica Supported PtNi/CeO2 Catalysts. Int. J. Hydrogen Energy 2017, 42, 1598–1608. [Google Scholar] [CrossRef]
- Calles, J.A.; Carrero, A.; Vizcaíno, A.J. Ce and La Modification of Mesoporous Cu–Ni/SBA-15 Catalysts for Hydrogen Production through Ethanol Steam Reforming. Microporous Mesoporous Mater. 2009, 119, 200–207. [Google Scholar] [CrossRef]
- Chen, Y.; Huang, Y. Influence of Ceria Existence Form on Deactivation Behavior of Cu-Ce/SBA-15 Catalysts for Methanol Steam Reforming. Int. J. Hydrogen Energy 2023, 48, 1323–1336. [Google Scholar] [CrossRef]
- Shanmugam, V.; Zapf, R.; Neuberg, S.; Hessel, V.; Kolb, G. Effect of Ceria and Zirconia Promotors on Ni/SBA-15 Catalysts for Coking and Sintering Resistant Steam Reforming of Propylene Glycol in Microreactors. Appl. Catal. B 2017, 203, 859–869. [Google Scholar] [CrossRef]
- Carrero, A.; Vizcaíno, A.J.; Calles, J.A.; García-Moreno, L. Hydrogen Production through Glycerol Steam Reforming Using Co Catalysts Supported on SBA-15 Doped with Zr, Ce and La. J. Energy Chem. 2017, 26, 42–48. [Google Scholar] [CrossRef]
- Tao, J.; Zhao, L.; Dong, C.; Lu, Q.; Du, X.; Dahlquist, E. Catalytic Steam Reforming of Toluene as a Model Compound of Biomass Gasification Tar Using Ni-CeO2/SBA-15 Catalysts. Energies 2013, 6, 3284–3296. [Google Scholar] [CrossRef]
- Su, Y.; Shu, C.; Ding, C.; Chen, Q.; Xu, Y.; Sheng, J.; Huang, L. Solid Solution of Ce1−xYxO2−δ Supported Nickel-Based Catalysts for Auto-Thermal Reforming of Acetic Acid with High Resistance to Coking. J. Energy Inst. 2024, 114, 101589. [Google Scholar] [CrossRef]
- Zhou, Q.; Zhong, X.; Xie, X.; Jia, X.; Chen, B.; Wang, N.; Huang, L. Auto-Thermal Reforming of Acetic Acid for Hydrogen Production by Ordered Mesoporous Ni-XSm-Al-O Catalysts: Effect of Samarium Promotion. Renew. Energy 2020, 145, 2316–2326. [Google Scholar] [CrossRef]
- Megía, P.J.; Morales, A.; Vizcaíno, A.J.; Calles, J.A.; Carrero, A. Hydrogen Production through Oxidative Steam Reforming of Acetic Acid over Ni Catalysts Supported on Ceria-Based Materials. Catalysts 2022, 12, 1526. [Google Scholar] [CrossRef]
- Megía, P.J.; Soria, M.A.; Cerqueira, P.; Vizcaíno, A.J.; Carrero, A.; Calles, J.A.; Madeira, L.M. Influence of Rh Addition to Transition Metal-Based Catalysts in the Oxidative Steam Reforming of Acetic Acid. Catal. Today 2024, 429, 114479. [Google Scholar] [CrossRef]
- Wang, N.; Chu, W.; Zhang, T.; Zhao, X.S. Synthesis, Characterization and Catalytic Performances of Ce-SBA-15 Supported Nickel Catalysts for Methane Dry Reforming to Hydrogen and Syngas. Int. J. Hydrogen Energy 2012, 37, 19–30. [Google Scholar] [CrossRef]
- Xiao, Z.; Wu, C.; Wang, L.; Xu, J.; Zheng, Q.; Pan, L.; Zou, J.; Zhang, X.; Li, G. Boosting Hydrogen Production from Steam Reforming of Ethanol on Nickel by Lanthanum Doped Ceria. Appl. Catal. B 2021, 286, 119884. [Google Scholar] [CrossRef]
- Xiao, Z.; Zhang, C.; Li, P.; Wang, D.; Zhang, X.; Wang, L.; Zou, J.J.; Li, G. Engineering Oxygen Vacancies on Tb-Doped Ceria Supported Pt Catalyst for Hydrogen Production through Steam Reforming of Long-Chain Hydrocarbon Fuels. Chin. J. Chem. Eng. 2024, 68, 181–192. [Google Scholar] [CrossRef]
- Vaja, F.; Oprea, O.; Ficai, D.; Ficai, A.; Guran, C. Synthesis of CeO2 Nanoparticles on the Mesoporous Silica Support via Nanocasting. Dig J Nanomater Biostruct 2014, 9, 187–195. [Google Scholar]
- Hezam, A.; Namratha, K.; Drmosh, Q.A.; Ponnamma, D.; Wang, J.; Prasad, S.; Ahamed, M.; Cheng, C.; Byrappa, K. CeO2 Nanostructures Enriched with Oxygen Vacancies for Photocatalytic CO2 Reduction. ACS Appl. Nano Mater. 2020, 3, 138–148. [Google Scholar] [CrossRef]
- Munasir, M.; Hidayat, N.; Kusumawati, D.H.; Putri, N.P.; Taufiq, A.; Sunaryono, S. Amorphous-SiO2nanoparticles for Water Treatment Materials. AIP Conf. Proc. 2020, 2251, 040030. [Google Scholar] [CrossRef]
- Zuo, S.; Liu, F.; Tong, J.; Qi, C. Complete Oxidation of Benzene with Cobalt Oxide and Ceria Using the Mesoporous Support SBA-16. Appl. Catal. A Gen. 2013, 467, 1–6. [Google Scholar] [CrossRef]
- Jiménez-Morales, I.; Vila, F.; Mariscal, R.; Jiménez-López, A. Hydrogenolysis of Glycerol to Obtain 1,2-Propanediol on Ce-Promoted Ni/SBA-15 Catalysts. Appl. Catal. B 2012, 117–118, 253–259. [Google Scholar] [CrossRef]
- James, O.O.; Maity, S. Temperature Programme Reduction (TPR) Studies of Cobalt Phases in -Alumina Supported Cobalt Catalysts. J. Pet. Technol. Altern. Fuels 2016, 7, 1–12. [Google Scholar] [CrossRef]
- van Deelen, T.W.; Hernández Mejía, C.; de Jong, K.P. Control of Metal-Support Interactions in Heterogeneous Catalysts to Enhance Activity and Selectivity. Nat. Catal. 2019, 2, 955–970. [Google Scholar] [CrossRef]
- Safari, M.; Haghtalab, A.; Roghabadi, F.A. Tuning the Strong Metal Support Interaction of the Fischer-Tropsch Synthesis Silica-Coated Cobalt-Based Nano-Catalyst. Int. J. Hydrogen Energy 2024, 65, 348–361. [Google Scholar] [CrossRef]
- Pu, J.; Ikegami, F.; Nishikado, K.; Qian, E.W. Effect of Ceria Addition on NiRu/CeO2Al2O3 Catalysts in Steam Reforming of Acetic Acid. Int. J. Hydrogen Energy 2017, 42, 19733–19743. [Google Scholar] [CrossRef]
- Rodrigues, J.J.; Fernandes, F.A.N.; Rodrigues, M.G.F. Study of Co/SBA-15 Catalysts Prepared by Microwave and Conventional Heating Methods and Application in Fischer–Tropsch Synthesis. Appl. Catal. A Gen. 2013, 468, 32–37. [Google Scholar] [CrossRef]
- Haynes, D.J.; Shekhawat, D. Oxidative Steam Reforming. Fuel Cells Technol. Fuel Process. 2011, 129–190. [Google Scholar] [CrossRef]
- Li, X.; Wang, S.; Zhu, Y.; Yang, G.; Zheng, P. DFT Study of Bio-Oil Decomposition Mechanism on a Co Stepped Surface: Acetic Acid as a Model Compound. Int. J. Hydrogen Energy 2015, 40, 330–339. [Google Scholar] [CrossRef]
- Davidson, S.D.; Spies, K.A.; Mei, D.; Kovarik, L.; Kutnyakov, I.; Li, X.S.; Lebarbier Dagle, V.; Albrecht, K.O.; Dagle, R.A. Steam Reforming of Acetic Acid over Co-Supported Catalysts: Coupling Ketonization for Greater Stability. ACS Sustain. Chem. Eng. 2017, 5, 9136–9149. [Google Scholar] [CrossRef]
- Basagiannis, A.C.; Verykios, X.E. Reforming Reactions of Acetic Acid on Nickel Catalysts over a Wide Temperature Range. Appl. Catal. A Gen. 2006, 308, 182–193. [Google Scholar] [CrossRef]
- Bossola, F.; Recchia, S.; Santo, V.D. Catalytic Steam Reforming of Acetic Acid: Latest Advances in Catalysts Development and Mechanism Elucidation. Curr. Catal. 2017, 7, 89–98. [Google Scholar] [CrossRef]
- Sun, J.; Mei, D.; Karim, A.M.; Datye, A.K.; Wang, Y. Minimizing the Formation of Coke and Methane on Co Nanoparticles in Steam Reforming of Biomass-Derived Oxygenates. ChemCatChem 2013, 5, 1299–1303. [Google Scholar] [CrossRef]
- Chen, H.; Chen, Q.; Hu, X.; Ding, C.; Huang, L.; Wang, N. Mullite-like SmMn2O5-Derived Composite Oxide-Supported Ni-Based Catalysts for Hydrogen Production by Auto-Thermal Reforming of Acetic Acid. Materials 2024, 17, 2490. [Google Scholar] [CrossRef]
- Chen, Q.; Liao, F.; Ding, C.; Hu, X.; Xu, Y.; Cheng, P.; Zheng, Z.; Huang, L.; Wang, N. Reaction Induced Ni/MgTi2O5 Interface Promotes the Resistance to Sintering and Oxidation in Auto-Thermal Reforming of Acetic Acid. Catal. Today 2024, 432, 114635. [Google Scholar] [CrossRef]
- Gan, M.; Liao, F.; Chen, Q.; Pang, F.; Xu, Y.; Su, Y.; Huang, L. Y2Ti2O7 Pyrochlore Supported Nickel-Based Catalysts for Hydrogen Production by Auto-Thermal Reforming of Acetic Acid. Mater. Sci. Eng. B 2024, 302, 117264. [Google Scholar] [CrossRef]
- Hu, X.; Ding, C.; Wang, Q.; Chen, H.; Jia, X.; Huang, L. Preparation of Co-Ce-O Catalysts and Its Application in Auto-Thermal Reforming of Acetic Acid. Inorg. Chem. Commun. 2022, 141, 109537. [Google Scholar] [CrossRef]
- Ding, C.; Hu, X.; Sun, W.; Hailili, R.; Liao, F.; Shu, C.; Huang, J.; Huang, L.; Wang, N. Interface of Ni-MgCr2O4 Spinel Promotes the Autothermal Reforming of Acetic Acid through Accelerated Oxidation of Carbon-Containing Intermediate Species. ACS Catal. 2023, 13, 4560–4574. [Google Scholar] [CrossRef]
- Cheng, P.; Gan, M.; Shu, C.; Ding, C.; Chen, Q.; Xu, Y.; Huang, L.; Wang, N. Layered Perovskite-Derived Ni/La2−2xPr2xO3 Catalysts for Hydrogen Production via Auto-Thermal Reforming of Acetic Acid. Int. J. Hydrogen Energy 2025, 104, 13–22. [Google Scholar] [CrossRef]
- Li, H.; Jia, X.; Wang, N.; Chen, B.; Xie, X.; Wang, Q.; Huang, L. Auto-Thermal Reforming of Acetic Acid over Hydrotalcites-Derived Co-Based Catalyst: A Stable and Anti-Coking Co/Sr-Alx-O Catalyst. Appl. Catal. B 2020, 267, 118370. [Google Scholar] [CrossRef]
- Ochoa, A.; Bilbao, J.; Gayubo, A.G.; Castaño, P. Coke Formation and Deactivation during Catalytic Reforming of Biomass and Waste Pyrolysis Products: A Review. Renew. Sustain. Energy Rev. 2020, 119, 109600. [Google Scholar] [CrossRef]
- Li, D.; Zeng, L.; Li, X.; Wang, X.; Ma, H.; Assabumrungrat, S.; Gong, J. Ceria-Promoted Ni/SBA-15 Catalysts for Ethanol Steam Reforming with Enhanced Activity and Resistance to Deactivation. Appl. Catal. B 2015, 176–177, 532–541. [Google Scholar] [CrossRef]
- Megía, P.J.; Carrero, A.; Calles, J.A.; Vizcaíno, A.J. Hydrogen Production from Steam Reforming of Acetic Acid as a Model Compound of the Aqueous Fraction of Microalgae HTL Using Co-M/SBA-15 (M: Cu, Ag, Ce, Cr) Catalysts. Catalysts 2019, 9, 1013. [Google Scholar] [CrossRef]
- Landa, L.; Valecillos, J.; Remiro, A.; Valle, B.; Bilbao, J.; Gayubo, A.G. Comparison of the NiAl2O4 Derived Catalyst Deactivation in the Steam Reforming and Sorption Enhanced Steam Reforming of Raw Bio-Oil in Packed and Fluidized-Bed Reactors. Chem. Eng. J. 2023, 458, 141494. [Google Scholar] [CrossRef]












| Sample | Ce a | Co a | SBET | Vp b | Dp c | DCo3O4 d | DCo0 e |
|---|---|---|---|---|---|---|---|
| (wt.%) | (wt.%) | (m2/g) | (cm3/g) | (nm) | (nm) | (nm) | |
| Co/SBA-15 | - | 7.1 | 490 | 0.90 | 8.8 | 10.1 | 6.1 |
| Co/5CeO2-SBA-15 | 5.4 | 7.4 | 388 | 0.85 | 8.8 | 7.4 | 4.5 |
| Co/10CeO2-SBA-15 | 12.3 | 7.4 | 344 | 0.77 | 8.9 | 6.8 | 4.2 |
| Co/20CeO2-SBA-15 | 23.3 | 7.1 | 303 | 0.62 | 8.2 | 7.5 | n.d. f |
| Co/30CeO2-SBA-15 | 33.0 | 7.0 | 241 | 0.50 | 8.2 | 7.6 | n.d. f |
| Sample | Theoretical Uptake | Experimental Uptake | Degree of Co Reduction |
|---|---|---|---|
| (µmol H2/gcat) | (µmol H2/gcat) | (%) | |
| Co/SBA-15 | 1606 | 1530 | 95 |
| Co/5CeO2-SBA-15 | 1674 | 1642 | 98 |
| Co/10CeO2-SBA-15 | 1683 | 1679 | ~100 |
| Co/20CeO2-SBA-15 | 1604 | 1554 | 97 |
| Co/30CeO2-SBA-15 | 1572 | 1508 | 96 |
| Catalyst | T (°C) | S/C Ratio | O2/AcOH Ratio | TOS (h) | GHSV (mL/gcat. h) | XAcOH (%) | YH2 (%) a | Ref. |
|---|---|---|---|---|---|---|---|---|
| Ni/CeO2-m | 500 | 2 | 0.075 | 5 | 25,000 | 97 | 54 | [38] |
| Ni/La2O3-CeO2-m | 500 | 2 | 0.150 | 5 | 25,000 | 97 | 54 | [25] |
| 10Ni/Sm2O3-MnO | 700 | 4 | 0.280 | 10 | 51,000 | 100 | 62.5 | [59] |
| Ni0.08Mg0.10Ti0.37O0.92±δ | 700 | 4 | 0.280 | 10 | 50,700 | 100 | 68 | [60] |
| 15 wt% NiO-75 wt% TiO2-10 wt% YO1.5 | 700 | 4 | 0.280 | 10 | 51,000 | 100 | 65.5 | [61] |
| 17%Co/CeO2 R | 600 | 4 | 0.280 | 10 | 37,260 | 100 | 62.5 | [62] |
| Ni0.43Mg2.56CrO4.5±δ | 700 | 4 | 0.280 | 10 | 25,550 | 100 | 62.5 | [63] |
| Co-Rh/CeO2 | 600 | 2 | 0.075 | 25 | 25,000 | 100 | 70 | [39] |
| Ni0.8La1.35Pr0.73O3.92±δ | 700 | 4 | 0.280 | 50 | 50,600 | 100 | 62.5 | [64] |
| Ni0.80Ce1.76Y0.35O4.85±δ | 700 | 4 | 0.280 | 50 | 50,600 | 100 | 65 | [65] |
| Ni-2Sm-Al-O | 700 | 4 | 0.280 | 30 | 30,000 | 100 | 65 | [37] |
| Co/10CeO2-SBA-15 | 550 | 2 | 0.075 | 50 | 25,000 | 85 | 62 | This Work |
| Co/20CeO2-SBA-15 | 550 | 2 | 0.075 | 50 | 25,000 | 85 | 55 |
Disclaimer/Publisher’s Note: The statements, opinions and data contained in all publications are solely those of the individual author(s) and contributor(s) and not of MDPI and/or the editor(s). MDPI and/or the editor(s) disclaim responsibility for any injury to people or property resulting from any ideas, methods, instructions or products referred to in the content. |
© 2025 by the authors. Licensee MDPI, Basel, Switzerland. This article is an open access article distributed under the terms and conditions of the Creative Commons Attribution (CC BY) license (https://creativecommons.org/licenses/by/4.0/).
Share and Cite
Chirinos, C.A.; Moreno de la Calle, Á.; Megía, P.J.; Vizcaíno, A.J.; Calles, J.A.; Carrero, A. Exploring CeO2-Doped Co/SBA-15 Catalysts for Acetic Acid Oxidative Steam Reforming. Appl. Sci. 2025, 15, 6376. https://doi.org/10.3390/app15116376
Chirinos CA, Moreno de la Calle Á, Megía PJ, Vizcaíno AJ, Calles JA, Carrero A. Exploring CeO2-Doped Co/SBA-15 Catalysts for Acetic Acid Oxidative Steam Reforming. Applied Sciences. 2025; 15(11):6376. https://doi.org/10.3390/app15116376
Chicago/Turabian StyleChirinos, Carlos A., Álvaro Moreno de la Calle, Pedro J. Megía, Arturo J. Vizcaíno, José A. Calles, and Alicia Carrero. 2025. "Exploring CeO2-Doped Co/SBA-15 Catalysts for Acetic Acid Oxidative Steam Reforming" Applied Sciences 15, no. 11: 6376. https://doi.org/10.3390/app15116376
APA StyleChirinos, C. A., Moreno de la Calle, Á., Megía, P. J., Vizcaíno, A. J., Calles, J. A., & Carrero, A. (2025). Exploring CeO2-Doped Co/SBA-15 Catalysts for Acetic Acid Oxidative Steam Reforming. Applied Sciences, 15(11), 6376. https://doi.org/10.3390/app15116376

