Sign in to use this feature.

Years

Between: -

Subjects

remove_circle_outline
remove_circle_outline
remove_circle_outline
remove_circle_outline
remove_circle_outline
remove_circle_outline
remove_circle_outline
remove_circle_outline
remove_circle_outline

Journals

remove_circle_outline
remove_circle_outline
remove_circle_outline
remove_circle_outline
remove_circle_outline
remove_circle_outline
remove_circle_outline
remove_circle_outline
remove_circle_outline
remove_circle_outline
remove_circle_outline

Article Types

Countries / Regions

remove_circle_outline
remove_circle_outline
remove_circle_outline

Search Results (617)

Search Parameters:
Keywords = TMT

Order results
Result details
Results per page
Select all
Export citation of selected articles as:
51 pages, 666 KB  
Article
Two-Measure Electroweak Standard Model and Its Realization During Cosmological Evolution
by Alexander B. Kaganovich
Symmetry 2026, 18(3), 508; https://doi.org/10.3390/sym18030508 - 16 Mar 2026
Abstract
The possibility of realizing Higgs inflation in a model with a small non-minimal coupling constant, which was demonstrated recently, provides grounds for further development of the model. Incorporating the electroweak SM into the Two-Measure theory (TMT) in a way that fully accounts for [...] Read more.
The possibility of realizing Higgs inflation in a model with a small non-minimal coupling constant, which was demonstrated recently, provides grounds for further development of the model. Incorporating the electroweak SM into the Two-Measure theory (TMT) in a way that fully accounts for the TMT structure leads to a theory we call the Two-Measure Standard Model (TMSM). The TMSM is realized in the context of cosmology as a set of cosmologically modified copies of the Glashow–Weinberg–Salam (GWS) theory, such that each of the copies exists as a local quantum field theory defined on the classical cosmological background at the appropriate stage of its evolution. This basic idea is studied in detail for two stages of the cosmological background evolution: for slow-roll inflation and for the stage of approaching the vacuum. Mainly due to the presence of the ratio of two volume measures in all equations of motion, all TMSM coupling constants turn into a kind of “running” (classical) TMT-effective parameters. During the evolution of the cosmological background, changing these parameters yields new results: (1) the classical “running” TMT-effective Higgs self-coupling parameter increases from λ1011 (which provides Higgs inflation consistent with the Planck CMB data at ξ=16) to λ0.1 at the stage close to the vacuum; (2) the mass term in the TMT-effective Higgs potential changes sign from positive to negative, which provides SSB in the standard way of GWS theory; (3) the classical “running” parameters of the gauge and Yukawa couplings change by several orders of magnitude; (4) the GWS theory is reproduced when the Yukawa constant in the original action is chosen to be universal for three generations of fermions. We show that, due to these classical-level results, taking into account quantum corrections in the one-loop approximation preserves the slow-roll inflation regime and does not violate the vacuum stability during inflation. Full article
20 pages, 6033 KB  
Article
Global Proteomic Analysis Reveals the Roles of MicX in Biofilm Formation and Quorum Sensing in Vibrio alginolyticus
by Huan Liu, Qing Liu, Heyang Jiang, Juanjuan Cao, Jiahao Kou, Junjie Liu, Jie Zhao and Jiangwei Wang
Foods 2026, 15(6), 1042; https://doi.org/10.3390/foods15061042 - 16 Mar 2026
Abstract
Vibrio alginolyticus is a foodborne pathogen commonly found in seafood and freshwater products, causing human illness through the consumption of tainted seafood. Small non-coding RNAs (sRNAs) take effect on the stability and translation of their target mRNAs by base-pairing, thereby quickly altering bacterial [...] Read more.
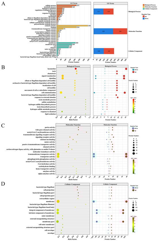
Vibrio alginolyticus is a foodborne pathogen commonly found in seafood and freshwater products, causing human illness through the consumption of tainted seafood. Small non-coding RNAs (sRNAs) take effect on the stability and translation of their target mRNAs by base-pairing, thereby quickly altering bacterial physiology and pathogenicity at the post-transcriptional level. This work constructed a label-free in-frame deletion mutant and a complement strain of micX, a cell-density-associated sRNA in V. alginolyticus. The ΔmicX mutant exhibited reduced growth and a reduction in the synthesis of exopolysaccharides, biofilm, and alkaline serine protease. A TMT-based quantitative proteomic analysis comparing ΔmicX with the wild-type strain identified 900 differentially expressed proteins, comprising 376 that were upregulated and 524 that were downregulated. The upregulated proteins are primarily associated with porin activity, transmembrane signaling receptor function, and the two-component system. The downregulated proteins are mainly engaged in processes including biofilm formation, cellular communication, and transmembrane transport activity. Of note, the expression levels of proteins involved in the type VI secretion system, exopolysaccharide synthesis, mannose-sensitive hemagglutinin type IV pili (MSHA), and biofilm formation were significantly reduced in the absence of micX. Furthermore, the expression levels of proteins associated with quorum sensing (particularly LuxR and AphA) changed significantly in the ΔmicX vs. WT comparison. These findings strengthened comprehension of the novel sRNA regulatory network and established a theoretical foundation for additional investigations into the virulence of V. alginolyticus. Full article
(This article belongs to the Section Food Analytical Methods)
Show Figures

Figure 1

14 pages, 766 KB  
Article
Incremental Prognostic Value of NT-proBNP Beyond Treadmill Testing for Perioperative Cardiovascular Events in Noncardiac Surgery Candidates: Results from a Multicenter Prospective Cohort
by Jae Seok Bae, Jeong Rang Park, Jae Myoung Lee, Yun-Ho Cho, Jeong Yoon Jang, Yujin Shin, Han Ra Choi, Yong-Lee Kim, Ga-In Yu, Choong Hwan Kwak, Min Gyu Kang, Kye-Hwan Kim, Jin-Yong Hwang, Sung-Eun Park, Young-Hoon Jeong and Jong-Hwa Ahn
Diagnostics 2026, 16(6), 869; https://doi.org/10.3390/diagnostics16060869 - 14 Mar 2026
Abstract
Background: Accurate perioperative cardiovascular risk stratification remains challenging in patients undergoing noncardiac surgery. Although treadmill testing (TMT) is widely used for functional assessment, its ability to identify truly high-risk patients is limited. Natriuretic peptides reflect integrated myocardial stress and may provide complementary [...] Read more.
Background: Accurate perioperative cardiovascular risk stratification remains challenging in patients undergoing noncardiac surgery. Although treadmill testing (TMT) is widely used for functional assessment, its ability to identify truly high-risk patients is limited. Natriuretic peptides reflect integrated myocardial stress and may provide complementary prognostic information, particularly in patients with abnormal functional test results. Methods: In this prospective multicenter observational study, 178 patients with at least one Revised Cardiac Risk Index risk factor undergoing noncardiac surgery were included. All patients underwent preoperative TMT and had available N-terminal pro–B-type natriuretic peptide (NT-proBNP) measurements. The primary endpoint was 30-day major adverse cardiac events (MACE), defined as a composite of cardiac death, nonfatal myocardial infarction, myocardial injury after noncardiac surgery, pulmonary edema with heart failure, and clinically significant arrhythmias. Incremental prognostic value was assessed using the area under the receiver operating characteristic curve (AUC), net reclassification improvement (NRI), and integrated discrimination improvement (IDI), with internal validation using bootstrap resampling. Results: At 30 days, 26 patients (14.6%) experienced MACE, of whom seven experienced more than one event. Log-transformed NT-proBNP was independently associated with perioperative events in parsimonious multivariable models. Elevated NT-proBNP, particularly NT-proBNP ≥ 1000 pg/mL, was independently associated with perioperative events after multivariable adjustment. Importantly, the incremental prognostic value of NT-proBNP was most pronounced in patients with a positive TMT, in whom NT-proBNP improved risk discrimination (ΔAUC = +0.09) and reclassification (NRI = 1.00). In contrast, among patients with a negative TMT, the additional prognostic contribution of NT-proBNP was modest and not statistically significant. Subgroup findings should be interpreted cautiously, given the limited number of events. Conclusions: Preoperative NT-proBNP provides modest but independent incremental prognostic value beyond treadmill testing, with the greatest impact observed in patients with positive TMT results. Although improvements in discrimination were moderate, NT-proBNP may help refine perioperative risk assessment in selected intermediate- to high-risk patients. These findings support a complementary biomarker-based approach to MACE. Full article
Show Figures

Figure 1

19 pages, 2817 KB  
Article
Short-Term Fascial Circulation Exercise Modulates Task-Related Prefrontal Oxygenation During Executive Tasks in Older Women: An fNIRS Pilot Study
by Suyoung Hwang, Yae-Hyun Leem, Moon Hee Kim and Eun-Surk Yi
Life 2026, 16(3), 458; https://doi.org/10.3390/life16030458 - 11 Mar 2026
Viewed by 110
Abstract
Background: Evidence linking fascia-oriented rhythmic movement to executive function and prefrontal hemodynamics in older adults remains limited. This pilot study examined the feasibility and preliminary within-subject associations of a four-week Fascial Circulation Exercise (FCE) program in older Korean women. Methods: Twelve [...] Read more.
Background: Evidence linking fascia-oriented rhythmic movement to executive function and prefrontal hemodynamics in older adults remains limited. This pilot study examined the feasibility and preliminary within-subject associations of a four-week Fascial Circulation Exercise (FCE) program in older Korean women. Methods: Twelve cognitively screened women (74.3 ± 6.7 years) completed supervised FCE for four weeks. Pre–post assessments included body composition, grip strength, isokinetic knee performance, executive tasks (TMT-A/B, CDT), and task-evoked prefrontal activation measured via functional near-infrared spectroscopy (ΔHbO). Paired t-tests with effect sizes were reported. Results: Fat mass decreased (−0.71 kg, p = 0.016; dz = −0.74), whereas body weight and BMI were unchanged. Selective improvements were observed in knee flexor peak torque and extensor endurance (p < 0.05), with no change in grip strength. ΔHbO increased in the orbitofrontal, ventrolateral, and frontopolar regions during executive tasks. Behavioral performance improved in CDT and showed a trend toward improvement in TMT-B. Conclusions: Short-term FCE was feasible and was associated with reduced fat mass, selective neuromuscular gains, and increased task-evoked prefrontal oxygenation. The findings are exploratory and support future randomized controlled trials to determine clinical efficacy. Full article
(This article belongs to the Special Issue Advanced Research in Exercise Medicine)
Show Figures

Figure 1

23 pages, 3307 KB  
Article
Neuroproteomic Profiling of the Anxiolytic Potential of Stypopodium zonale in Drosophila
by Lymelsie Aponte Ramos, Xandra Pena Díaz, Ricardo M. Cruz Sánchez, Ana E. Rodríguez De Jesús, Yadira M. Cantres Rosario, Eduardo L. Tosado Rodríguez, Abiel Roche Lima, Loyda M. Meléndez and Ricardo Chiesa
Int. J. Mol. Sci. 2026, 27(5), 2240; https://doi.org/10.3390/ijms27052240 - 27 Feb 2026
Viewed by 603
Abstract
Anxiety disorders are the most prevalent mental health conditions worldwide, yet current treatments remain suboptimal, with benzodiazepines carrying risks of tolerance and dependence. These limitations motivate the search for novel anxiolytics. Tropical marine macroalgae represent a promising source of neuroactive metabolites. Here, we [...] Read more.
Anxiety disorders are the most prevalent mental health conditions worldwide, yet current treatments remain suboptimal, with benzodiazepines carrying risks of tolerance and dependence. These limitations motivate the search for novel anxiolytics. Tropical marine macroalgae represent a promising source of neuroactive metabolites. Here, we investigate the anxiolytic potential of Stypopodium zonale using a neuroproteomics-based approach in Drosophila melanogaster. Crude organic extracts were prepared via ultrasonic-assisted extraction and administered acutely to adult flies for six hours. Proteins from fly heads were quantified and analyzed using liquid chromatography-tandem mass spectrometry (LC-MS/MS), revealing 66 significantly differentially abundant proteins (fold change ≥ |1.5|, p ≤ 0.05), 72.7% of which were less abundant in the extract-treated group. Principal component analysis demonstrated clear separation between control and experimental samples. Ingenuity Pathway Analysis (IPA) mapped 33 of the differentially abundant proteins to human orthologs and identified significant predicted inhibition of the Protein Kinase A (PKA) signaling pathway. An IPA Interaction Network enabled the construction of a preliminary working model, suggesting that the extract may antagonize Drosophila’s Dop1R2 (DAMB). Overall, this study integrates natural product drug discovery with neuroproteomics in an invertebrate model system, providing a foundation for future behavioral validation and isolation of bioactive compounds from S. zonale. Full article
(This article belongs to the Special Issue Animal Models for Human Diseases)
Show Figures

Figure 1

23 pages, 357 KB  
Article
How Does TMT Heterogeneity Affect Firm Digital Innovation Resilience?
by Xueyin Guo and Yongjian Liu
Systems 2026, 14(3), 239; https://doi.org/10.3390/systems14030239 - 26 Feb 2026
Viewed by 245
Abstract
In the digital economy era characterized by heightened uncertainty, strengthening internal governance to bolster firm adaptability and sustain digital innovation resilience has become crucial. As a key strategic resource, top management team (TMT) heterogeneity holds significant theoretical and practical value for enhancing firms’ [...] Read more.
In the digital economy era characterized by heightened uncertainty, strengthening internal governance to bolster firm adaptability and sustain digital innovation resilience has become crucial. As a key strategic resource, top management team (TMT) heterogeneity holds significant theoretical and practical value for enhancing firms’ digital innovation resilience. Using a sample of Chinese manufacturing listed firms, this study examines how TMT heterogeneity affects digital innovation resilience and the underlying mechanisms. The findings indicate that: (1) Greater TMT heterogeneity strengthens firms’ digital innovation resilience. (2) This effect operates primarily through alleviating financing constraints and improving investment efficiency. (3) The impact varies across firm types: it is stronger for small and medium-sized firms than for large firms; more pronounced in state-owned firms than in non-state-owned firms; more significant in low-monopoly firms than in high-monopoly firms; and notably greater for firms in eastern China than for those in central and western regions. (4) Government subsidies can strengthen the positive impact of TMT heterogeneity on firm digital innovation resilience. This study provides theoretical insights and practical guidance for enterprises to build effective TMTs, alleviate financing constraints, and improve investment efficiency, and for the government to provide subsidies, with the ultimate aim of fostering digital innovation resilience. Full article
19 pages, 3676 KB  
Article
Degradation Dynamics and Pathways of Unsymmetrical Dimethylhydrazine (UDMH) Across Contrasting Soil Matrices: Insights from Controlled Incubation Experiments
by Juan Du, Xianghong Ren, Yizhi Zeng, Yuan Liu, Jing Dong, Shuai Yang, Jinfeng Shi, Biaobing Liu and Youbao Chen
Toxics 2026, 14(2), 169; https://doi.org/10.3390/toxics14020169 - 12 Feb 2026
Viewed by 480
Abstract
Unsymmetrical dimethylhydrazine (UDMH) serves as a high-performance liquid rocket propellant extensively utilized in the global aerospace industry, and its environmental release and leakage (particularly into soil systems) pose severe risks to ecological integrity and human health. As one of the few studies to [...] Read more.
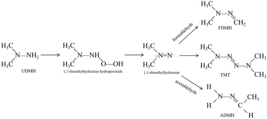
Unsymmetrical dimethylhydrazine (UDMH) serves as a high-performance liquid rocket propellant extensively utilized in the global aerospace industry, and its environmental release and leakage (particularly into soil systems) pose severe risks to ecological integrity and human health. As one of the few studies to quantitatively correlate soil physicochemical properties with UDMH degradation kinetics and pathway partitioning using controlled incubation experiments, this work aims to reveal the environmental hazards of UDMH in soil and provide a theoretical basis for subsequent remediation. The temporal degradation dynamics of UDMH in three comparative soil matrices (yellow-brown soil, red soil and black soil) were explored, correlations between soil physicochemical characteristics and UDMH degradation behavior were clarified, and UDMH degradation pathways were quantified. Headspace solid–phase microextraction (HS–SPME) was adopted as the pretreatment method, and gas chromatography–mass spectrometry (GC–MS) was used to identify UDMH and its transformation products (TPs) in soil incubation. From the GC–MS chromatogram, UDMH and its TPs—formaldehyde dimethylhydrazone (FDMH), acetaldehyde dimethylhydrazone (ADMH) and 1,1,4,4-tetramethyltetrazene (TMT)—were identified in the three soil matrices. UDMH underwent rapid degradation within the first 7 days of incubation, with degradation rates reaching 66.03%, 67.51% and 73.13% in yellow-brown soil (YS), red soil (RS) and black soil (BS), respectively. Degradation was most rapid in BS, followed by YS and RS. UDMH degraded completely and was undetectable within 30 days of soil incubation in the present study. Correlation analysis of soil physicochemical properties and UDMH degradation behavior revealed a significant influence of these edaphic properties on UDMH degradation dynamics across the tested soil matrices. The analysis of UDMH degradation pathways, including volatilization, photodegradation, microbiological degradation, and others (oxidation and self-degradation, etc.) demonstrated that other pathways (including catalytic transformation, induced transformation or unidentified biotic–abiotic coupled processes) acted as the dominant pathway governing its degradation (accounting for 68.75%). This study provides important insights and theoretical basis for unraveling the environmental fate of UDMH and remediating UDMH-contaminated soils. Full article
(This article belongs to the Section Toxicity Reduction and Environmental Remediation)
Show Figures

Graphical abstract

33 pages, 3915 KB  
Article
Edge Computing Architecture for Optimal Settings of Inverse Time Overcurrent Relays in Mesh Microgrids
by Gustavo Arteaga, John E. Candelo-Becerra, Jhon Montano, Javier Revelo-Fuelagán and Fredy E. Hoyos
Electricity 2026, 7(1), 14; https://doi.org/10.3390/electricity7010014 - 9 Feb 2026
Viewed by 423
Abstract
This paper presents a novel edge-computing-based architecture for optimal inverse time overcurrent relays installed to protect mesh microgrids (MGs) with distributed generation. The procedure employs graph theory to automate the detection of network changes, fault locations, and relay pairs in an MG. In [...] Read more.
This paper presents a novel edge-computing-based architecture for optimal inverse time overcurrent relays installed to protect mesh microgrids (MGs) with distributed generation. The procedure employs graph theory to automate the detection of network changes, fault locations, and relay pairs in an MG. In addition, an automated process obtains the initial protection settings based on the operating conditions of the MG. Furthermore, the Continuous Genetic Algorithm (CGA), Salp Swarm Algorithm (SSA), and Particle Swarm Optimization (PSO) were implemented to determine the optimal protection settings to obtain better coordination between primary and backup protection relays. These processes were implemented using PowerFactory 2024 Service Pack 5A and Python 3.13.1. The proposal was validated in 68 operating scenarios that considered the islanded and connected operation modes of the MG, charging and discharging cycles of electric vehicle stations, and the presence or absence of photovoltaic generation. The overcurrent protection relays were organized into 100 primary–backup relay pairs to ensure proper coordination and selectivity. The total miscoordination time (TMT) index was used to measure when all pairs of relays were coordinated, with a minimum time close to zero. The results of the graph theory show that all the meshes, fault locations, and relay pairs were identified in the MG. The approach successfully coordinated 100 relay pairs across 68 scenarios, demonstrating its scalability in complex real-world MGs. The automation process obtained an average TMT of 12.2%, while the optimization obtained a TMS of 91.6% with the CGA, and a TMT of 99% was obtained with the SSA and PSO, demonstrating the effectiveness of the optimization process in ensuring selectivity and appropriate fault clearing times. Full article
(This article belongs to the Special Issue Stability, Operation, and Control in Power Systems)
Show Figures

Figure 1

15 pages, 4524 KB  
Article
Effects of Continuous Theta Burst Stimulation on Behavior and NMDA Receptor Subunits in the Trimethyltin-Induced Alzheimer’s-like Disease Model
by Marina Zaric Kontic, Milica Zeljkovic Jovanovic, Andjela Stekic, Jelena Stanojevic, Ivana Stevanovic, Dejan Stevic, Milica Ninkovic and Milorad Dragic
Biomedicines 2026, 14(2), 391; https://doi.org/10.3390/biomedicines14020391 - 8 Feb 2026
Viewed by 594
Abstract
Background: Trimethyltin (TMT)-induced neurodegeneration leads to molecular and behavioral changes resembling those of Alzheimer’s disease (AD), making it a relevant model for investigating potential therapeutic interventions. Continuous theta burst stimulation (cTBS) has shown promise in psychiatric and neurological disorders but remains largely [...] Read more.
Background: Trimethyltin (TMT)-induced neurodegeneration leads to molecular and behavioral changes resembling those of Alzheimer’s disease (AD), making it a relevant model for investigating potential therapeutic interventions. Continuous theta burst stimulation (cTBS) has shown promise in psychiatric and neurological disorders but remains largely unexplored in AD models. Methods: Adult male Wistar rats were divided into four experimental groups: intact, TMT (8 mg/kg, ip) and TMT treated with cTBS or a sham protocol for three weeks. The open field test and novel object recognition test were used to assess anxiety-like behavior, memory, and learning, respectively. The extent of microgliosis in the hippocampus was assessed by immunohistochemistry, while protein expression was estimated by Western blot. Results: cTBS improved TMT-mediated changes in anxiety-like behavior, learning, and memory and reduced microgliosis in the CA1 hippocampal region. Both TMT and cTBS affected NMDAR subunits, with the most significant finding being a cTBS-mediated decrease in NR2B, which was previously increased by TMT. Conclusions: These are the first data on the beneficial effects of cTBS on behavioral and molecular changes in a model of neurodegeneration that mimics some of the key aspects of AD pathology. Further research is needed to clarify the therapeutic potential of cTBS in AD treatment. Full article
Show Figures

Graphical abstract

20 pages, 13628 KB  
Article
Neuroimaging Correlates of the NIH Toolbox Cognition and Trail Making Tests: Normative Benchmarks in Healthy Aging
by Cuiping Yuan, Hector Acosta-Rodriguez, Nahla M. H. Elsaid, Clara F. Weber, Pratheek Bobba, Anh T. Tran, Ajay Malhotra and Seyedmehdi Payabvash
Clin. Transl. Neurosci. 2026, 10(1), 5; https://doi.org/10.3390/ctn10010005 - 3 Feb 2026
Viewed by 425
Abstract
The National Institutes of Health (NIH) Toolbox cognition battery and Trail Making Tests (TMT) are widely used to quantify cognitive aging and to detect early cognitive vulnerability in Alzheimer’s disease and related conditions. However, these tests are often treated as interchangeable markers of [...] Read more.
The National Institutes of Health (NIH) Toolbox cognition battery and Trail Making Tests (TMT) are widely used to quantify cognitive aging and to detect early cognitive vulnerability in Alzheimer’s disease and related conditions. However, these tests are often treated as interchangeable markers of global cognition, despite likely differences in their dependence on specific brain systems, limiting interpretability across studies and clinical contexts. To address this gap, we examined associations between four commonly used cognitive measures—fluid cognition, crystallized cognition, TMT-A, and TMT-B—and multimodal MRI metrics in 725 healthy volunteers aged 36 to 100 years from the Human Connectome Project–Aging. Voxel-wise diffusion MRI and vertex-wise cortical thickness and volume analyses were adjusted for age, sex, and years of education. Higher crystallized and fluid cognition scores and faster TMT-A/B completion times were generally associated with greater white matter integrity. TMT-B showed the most extensive diffusion and cortical associations, involving major projection, commissural, and association pathways and frontoparietal and temporo-occipital cortices. TMT-A and crystallized cognition demonstrated intermediate, overlapping patterns, whereas fluid cognition showed only focal brainstem and limited cortical correlates. These findings demonstrate systematic differences in the neuroanatomical substrates underlying commonly used cognitive tests and provide normative structure–cognition reference maps that can improve test selection, mechanistic interpretation, and sensitivity to brain health in studies of aging, vascular risk, and preclinical neurodegenerative disease. Full article
Show Figures

Figure 1

18 pages, 3896 KB  
Article
Untargeted Serum Proteomics in the Fontan Circulation Reveals Three Distinct Molecular Signatures of Fontan Physiology with CYB5R3 Among Key Proteins
by Alexander Blaha, David Renaud, Fatima Ageed, Bettina Sarg, Klaus Faserl, Alexander Kirchmair, Dietmar Rieder, Isabel Mihajlovic, Nele Ströbel, Kai Thorsten Laser and Miriam Michel
Int. J. Mol. Sci. 2026, 27(3), 1220; https://doi.org/10.3390/ijms27031220 - 26 Jan 2026
Viewed by 377
Abstract
The total cavopulmonary anastomosis (Fontan procedure), a palliative procedure for single-ventricle congenital heart disease, improves survival but is associated with progressive multiorgan complications and high long-term morbidity. Prior blood-based proteomic studies in adults have been limited to targeted antibody-based panels or focused on [...] Read more.
The total cavopulmonary anastomosis (Fontan procedure), a palliative procedure for single-ventricle congenital heart disease, improves survival but is associated with progressive multiorgan complications and high long-term morbidity. Prior blood-based proteomic studies in adults have been limited to targeted antibody-based panels or focused on methodological comparisons. Systemic molecular alterations in younger, clinically heterogeneous patients, particularly in untargeted pathways, remain incompletely characterized. Serum samples from 48 Fontan patients and 48 age- and sex-matched healthy controls were analyzed using mass spectrometry with TMT labeling. 2228 proteins were quantified, of which 124 were significantly differentially abundant (fold change > 1.5 or <0.67, FDR-adjusted p < 0.05). Network analysis identified three major functional clusters: extracellular matrix (ECM) organization (predominantly increased), actin cytoskeleton organization, and platelet-related pathways (both predominantly decreased). Stratified analyses showed reduced ECM protein abundance in high-risk patients, suggesting a shift from active remodeling toward a more established fibrotic state, and uniquely elevated cytochrome b5 reductase 3 (CYB5R3), implicating altered redox homeostasis, nitric oxide metabolism, and cellular aging. Overall, our findings extend prior targeted analyses, reveal potential biomarkers such as CYB5R3 and underscore the complexity of the Fontan circulation, with implications for risk stratification and therapeutic targeting. Full article
(This article belongs to the Special Issue Omics Technologies in Molecular Biology)
Show Figures

Figure 1

23 pages, 8773 KB  
Article
Integrated Phosphoproteomics Identifies TGFβ-Dependent Phosphorylation Events Linking Kinase Signaling to Autophagy in Palatogenesis
by Xia Peng, Jing Chen, Xiaoyu Zheng, Xige Zhao, Yijia Wang, Xiaotong Wang and Juan Du
Proteomes 2026, 14(1), 5; https://doi.org/10.3390/proteomes14010005 - 23 Jan 2026
Viewed by 694
Abstract
Background: Cleft palate (CP) is a prevalent craniofacial malformation, with the TGFβ pathway playing a critical role. Recent evidence links autophagy to regulating mouse embryonic palatal mesenchyme (MEPM) cells, but its interaction with TGFβ-activated phosphorylation cascades remains largely unknown. Here, we investigated the [...] Read more.
Background: Cleft palate (CP) is a prevalent craniofacial malformation, with the TGFβ pathway playing a critical role. Recent evidence links autophagy to regulating mouse embryonic palatal mesenchyme (MEPM) cells, but its interaction with TGFβ-activated phosphorylation cascades remains largely unknown. Here, we investigated the interplay between these pathways during palatogenesis. Methods: H&E and IHC analyses revealed increased expression of Beclin 1 and LC3 during the critical period of palatal shelf elevation and fusion (E13.5–E15.5). Bulk RNA sequencing (Bulk RNA-seq) further revealed enrichment of autophagy-related pathways and their interaction with TGFβ signaling. TMT-based phosphoproteomics was performed on TGFβ2-treated MEPM cells. Results: We identified 23,471 peptides and 3952 proteins, including 6339 phosphopeptides corresponding to 2195 phosphoproteins. Differential analysis found 477 phosphopeptides with increased abundance and 53 with decreased abundance, revealing the enrichment of seven serine (p-Ser) motifs (RxxS, SDxD, SDxE, SP, SxDE, SxEE, SxxxxD) and one threonine (p-Thr) motif (TP). Notably, kinase-substrate enrichment analysis identified CSNK2A as a previously unrecognized phosphorylation regulator, together with MAPKs and CDKs. Functional enrichment showed significant involvement of mTOR, MAPK, and autophagy/mitophagy pathways. Conclusions: Our findings revealed that TGFβ2 reshapes the MEPM phosphoproteome through Smad-independent pathway, expanding the palate-specific phospho-signaling atlas beyond the canonical Smad cascade. Full article
(This article belongs to the Section Animal Proteomics)
Show Figures

Graphical abstract

18 pages, 1487 KB  
Article
Cognitive Flexibility and Inhibition Deficits in HIV and Cocaine Dependence: Evidence from Stroop and Trail Making Tests
by Sarah E. Nigro, Minjie Wu, Betty Jo Salmeron, Sharmin Islam-Souleimanova, Eve Lauer, Anthony C. Juliano, Alinda R. Lord, Atash Sabet, Lisa H. Lu, T. Celeste Napier, Audrey L. French, Howard J. Aizenstein, Yihong Yang and Shaolin Yang
Viruses 2026, 18(1), 122; https://doi.org/10.3390/v18010122 - 16 Jan 2026
Viewed by 530
Abstract
Objective: To better define potential executive function difficulties in individuals living with HIV but not clinically identified as having HAND, with and without mild to moderate cocaine dependence (CD), our cross-sectional study examined executive function performance on the Stroop Color-Word Test (Stroop) and [...] Read more.
Objective: To better define potential executive function difficulties in individuals living with HIV but not clinically identified as having HAND, with and without mild to moderate cocaine dependence (CD), our cross-sectional study examined executive function performance on the Stroop Color-Word Test (Stroop) and the Trail Making Test (TMT) in four groups stratified by HIV and CD status. Method: We recruited 101 participants (26 HIV+/CD+; 18 HIV+/CD−; 30 HIV−/CD+; 27 HIV−/CD−). We utilized a 2 (HIV: yes/no) × 2 (Cocaine: yes/no) MANCOVA while controlling for age and premorbid intelligence on the Stroop trials (i.e., color-naming, word-reading, interference), and TMT-A and TMT-B z-scores, number of errors, and the B/A ratio. Results: HIV was associated with significantly slower performance on the Stroop Interference (p = 0.012, η2 = 0.064). CD showed a trend towards slower performance on interference trials (p = 0.061, η2 = 0.037) and was associated with significantly more errors on the Stroop Word-Reading (p = 0.028, η2 = 0.050) and Interference trials (p = 0.046, η2 = 0.041), suggestive of difficulties with inhibitory control and written language processing. There were no significant HIV × Cocaine interactions. Conclusions: Our results suggest HIV without clinically identified cognitive impairment and CD are associated with distinct and potentially overlapping executive functioning deficits, particularly for measures of inhibitory control. Notably, CD showed trend-level slowing on Stroop Interference performance, suggesting partial overlap with HIV effects. Clarifying the specific cognitive processes impacted by HIV and CD can help guide tailored interventions to improve functional outcomes in these populations. Full article
(This article belongs to the Special Issue HIV Neurological Disorders: 2nd Edition)
Show Figures

Figure 1

11 pages, 868 KB  
Article
Physiological Effects of Far-Infrared-Emitting Garments on Sleep, Thermoregulation, and Autonomic Function Assessed Using Wearable Sensors
by Masaki Nishida, Taku Nishii, Shutaro Suyama and Sumi Youn
Sensors 2026, 26(2), 550; https://doi.org/10.3390/s26020550 - 14 Jan 2026
Viewed by 777
Abstract
Far-infrared (FIR)-emitting textiles are increasingly used in sleepwear; however, their influence on sleep physiology has not been comprehensively evaluated with multi-modal wearable sensing. This randomized, double-blind, placebo-controlled crossover study examined whether FIR-emitting garments modulate nocturnal thermoregulation, autonomic activity, and sleep architecture. Fifteen healthy [...] Read more.
Far-infrared (FIR)-emitting textiles are increasingly used in sleepwear; however, their influence on sleep physiology has not been comprehensively evaluated with multi-modal wearable sensing. This randomized, double-blind, placebo-controlled crossover study examined whether FIR-emitting garments modulate nocturnal thermoregulation, autonomic activity, and sleep architecture. Fifteen healthy young men completed two overnight laboratory sleep sessions wearing either FIR-emitting garments or visually matched polyester controls. Tympanic membrane temperature (TMT), sweating rate, skin temperature, and humidity were continuously monitored using wearable sensors, and sleep stages and heart rate variability (HRV) were assessed using validated portable systems. Compared with control garments, FIR garments produced consistently lower TMT across the night (p = 0.004) and reduced mid-sleep sweating (condition × time interaction: p = 0.026). The proportion of rapid eye movement (REM) sleep was higher in the FIR condition (22.2% ± 6.5% vs. 18.6% ± 6.5%, p = 0.027), despite no changes in total sleep time or sleep efficiency. A transient increase in low-frequency power during early sleep (p = 0.027) suggested baroreflex-related thermal adjustments without sympathetic activation. These findings indicate that FIR-emitting garments facilitate mild nocturnal heat dissipation and support REM expression, demonstrating their potential as a passive intervention to improve sleep-related thermal environments. Full article
(This article belongs to the Special Issue State of the Art in Wearable Sensors for Health Monitoring)
Show Figures

Figure 1

23 pages, 33068 KB  
Article
TMT Quantitative Proteomics Reveals the Molecular Mechanism Behind Meat Quality Changes in Nile Tilapia Exposed to Environmental Concentrations of Microcystin-LR
by Yichao Li, Huarong Xiao, Jun Xie, Liping Liu, Fajun Jiang, Jingqiu Liao and Ermeng Yu
Toxins 2026, 18(1), 39; https://doi.org/10.3390/toxins18010039 - 12 Jan 2026
Viewed by 460
Abstract
This study investigated the effects of chronic MC-LR exposure (0 μg/L [Control], 1 μg/L [M1], 3 μg/L [M3], 10 μg/L [M10], and 30 μg/L [M30]) on the muscle nutrient composition, meat quality, and muscle proteomic profile of Nile tilapia (Oreochromis niloticus). [...] Read more.
This study investigated the effects of chronic MC-LR exposure (0 μg/L [Control], 1 μg/L [M1], 3 μg/L [M3], 10 μg/L [M10], and 30 μg/L [M30]) on the muscle nutrient composition, meat quality, and muscle proteomic profile of Nile tilapia (Oreochromis niloticus). In the high-dose group (M30), MC-LR exposure compromised the muscle antioxidant status of Nile tilapia, resulting in reduced meat quality, as evidenced by decreased pH value and water-holding capacity, elevated lipid/protein oxidation, and altered texture parameters (shear force and fragmentation index). Proteomic analysis further revealed a downregulation of proteins associated with ribosomes, suggesting an impairment of muscle protein synthesis in the M30 group. Moreover, despite chronic exposure, only low levels of MC-LR accumulated in the muscle tissue, indicating a negligible health risk to consumers. Collectively, these findings offered valuable insights into the impact of environmental MC-LR contamination on fish muscle quality and nutritional value. Full article
Show Figures

Figure 1

Back to TopTop