Sign in to use this feature.

Years

Between: -

Subjects

remove_circle_outline
remove_circle_outline
remove_circle_outline
remove_circle_outline
remove_circle_outline

Journals

Article Types

Countries / Regions

Search Results (16)

Search Parameters:
Keywords = TALE gene family

Order results
Result details
Results per page
Select all
Export citation of selected articles as:
21 pages, 12149 KB  
Article
Comparative Analysis of TALE Gene Family in Gramineae
by Zicong Liang, Shuai Shi, Baoping Xue, Dongyang Li, Yue Liu and Chang Liu
Agronomy 2025, 15(6), 1460; https://doi.org/10.3390/agronomy15061460 - 16 Jun 2025
Cited by 2 | Viewed by 1173
Abstract
The transcription factor known as TALE (three-amino acid loop extension) is essential for plant growth, cell differentiation and responses to environmental stresses. Although the TALE gene family has been identified in various plants, there has been a lack of comprehensive whole-genome identification and [...] Read more.
The transcription factor known as TALE (three-amino acid loop extension) is essential for plant growth, cell differentiation and responses to environmental stresses. Although the TALE gene family has been identified in various plants, there has been a lack of comprehensive whole-genome identification and analysis in Gramineae species. In this study, 123 TALE family genes were identified in five Gramineae species, which can be categorized into two main subgroups: KONX and BELL. Most of the TALE genes in the same subgroup displayed analogous gene structures and conserved motifs. Furthermore, whole genome duplication (WGD) significantly contributes to the expansion of the TALE gene family in Gramineae. The promoter region of TALE genes in Gramineae contains a large number of cis-elements associated with abiotic stress and hormone response. Tissue-specific expression analysis indicated that most OsTALE, ZmTALE and AtTALE genes were highly expressed in stems and leaves. Additionally, RNA-seq data revealed that OsTALE, ZmTALE and AtTALE genes were found to respond to abiotic stress treatments. Furthermore, we found that the expression levels of SbTALE11/19 were up-regulated in response to PEG and NaCl treatment, respectively. This study provides a significant reference for further research on the biological function of TALE transcription factors in Gramineae plants. Full article
(This article belongs to the Section Crop Breeding and Genetics)
Show Figures

Figure 1

16 pages, 4313 KB  
Article
Transcriptome Wide Identification and Expression Analysis Revealed BhTALE Gene Family Regulates Wax Gourd (Benincasa hispida) Response to Low Calcium and Magnesium Stress
by Shahid Hussain, Jingjing Chang, Jing Li, Xiao Chen, Dasen Xie and Baige Zhang
Horticulturae 2024, 10(10), 1083; https://doi.org/10.3390/horticulturae10101083 - 9 Oct 2024
Cited by 2 | Viewed by 1400
Abstract
The three-amino-loop-extension (TALE) family involves key transcription factors vital for maintaining different aspects of growth including leaf, flower, and fruit development and responses to stressful stimulus. Thus far, a deep understanding of the TALE gene family in wax gourd subjected to [...] Read more.
The three-amino-loop-extension (TALE) family involves key transcription factors vital for maintaining different aspects of growth including leaf, flower, and fruit development and responses to stressful stimulus. Thus far, a deep understanding of the TALE gene family in wax gourd subjected to low calcium and magnesium stress has been missing. Here, we isolated 24 BhTALE genes from a wax gourd genome database. Comprehensive bioinformatic analysis, including evolutionary tree, gene structures, conserved motifs, and chemical properties, provide structural and functional insights into the BhTALE gene family. Gene ontology (GO) analysis of TALE genes unveils their involvement in growth and stress responses. Promoter analysis indicates that hormones and stresses can influence the expression of BhTALE genes. Tissue-specific expression under low calcium and magnesium stress showed that BhTALE genes were more active in the leaves and roots. Notably, BhTALE7, BhTALE10, and BhTALE14 were expressed differentially in leaves under low calcium and magnesium applications. Similarly, the induced expression pattern of BhTALE4 was recorded in the roots under low calcium and magnesium applications. Our findings underscore the pivotal role of the BhTALE gene family in dealing with low calcium and magnesium stress in the wax gourd. Full article
(This article belongs to the Section Genetics, Genomics, Breeding, and Biotechnology (G2B2))
Show Figures

Figure 1

16 pages, 7073 KB  
Article
Exploring the Roles of TALE Gene Family in Maize Drought Stress Responses
by Buxuan Qian, Qi Wang, Chuang Zhang, Jia Guo, Zhijia Yu, Jiarui Han, Hanchao Xia, Rengui Zhao and Yuejia Yin
Agronomy 2024, 14(6), 1267; https://doi.org/10.3390/agronomy14061267 - 12 Jun 2024
Cited by 4 | Viewed by 2070
Abstract
The TALE gene family plays a crucial role in regulating growth, development, and abiotic stress responses in plants. However, limited studies have been conducted on the functions of the ZmTALE gene family in maize under drought stress. This study identified 40 members of [...] Read more.
The TALE gene family plays a crucial role in regulating growth, development, and abiotic stress responses in plants. However, limited studies have been conducted on the functions of the ZmTALE gene family in maize under drought stress. This study identified 40 members of the ZmTALE family within the maize genome through Blast comparisons, distributed unevenly across the first nine chromosomes. Intraspecific collinearity analysis revealed 13 linked pairs. By constructing a phylogenetic tree with Arabidopsis AtTALE members as references, maize members were divided into two subfamilies, KNOX and BEL1-Like, with KNOX further divided into three branches (KNOX Class I, KNOX Class II, and KNOX Class III). The gene structure and motifs of ZmTALE genes within the same subfamily or branch showed similarities, as did their encoded proteins, which possess similar motifs and conserved domains. Analysis of the physicochemical properties of the ZmTALE proteins revealed that the proteins encoded by this family are stable. Expression analysis of ZmTALE genes in maize demonstrated their varied roles in development and drought stress regulation, confirmed through qRT-PCR. The identification, characterization, and expression analysis of ZmTALE genes provide a reference for future gene function research and aid in the genetic enhancement of maize to withstand drought stress. Full article
(This article belongs to the Section Crop Breeding and Genetics)
Show Figures

Figure 1

18 pages, 4122 KB  
Article
Transcription Factor AtOFP1 Involved in ABA-Mediated Seed Germination and Root Growth through Modulation of ROS Homeostasis in Arabidopsis
by Hemeng Wang, Dongrui Zhang, Xi’nan Zhou, Ganghua Zhou, Wenbo Zong, Lingling Chen, Ying Chang and Xiaoxia Wu
Int. J. Mol. Sci. 2022, 23(13), 7427; https://doi.org/10.3390/ijms23137427 - 4 Jul 2022
Cited by 9 | Viewed by 3636
Abstract
Ovate family proteins (OFPs) are valued as a family of transcription factors that are unique to plants, and they play a pluripotent regulatory role in plant growth and development, including secondary-cell-wall synthesis, DNA repair, gibberellin synthesis, and other biological processes, via their interaction [...] Read more.
Ovate family proteins (OFPs) are valued as a family of transcription factors that are unique to plants, and they play a pluripotent regulatory role in plant growth and development, including secondary-cell-wall synthesis, DNA repair, gibberellin synthesis, and other biological processes, via their interaction with TALE family proteins. In this study, CHIP-SEQ was used to detect the potential target genes of AtOFP1 and its signal-regulation pathways. On the other hand, Y2H and BIFC were employed to prove that AtOFP1 can participate in ABA signal transduction by interacting with one of the TALE family protein called AtKNAT3. ABA response genes are not only significantly upregulated in the 35S::HAOFP1 OE line, but they also show hypersensitivity to ABA in terms of seed germination and early seedling root elongation. In addition, the AtOFP1-regulated target genes are mainly mitochondrial membranes that are involved in the oxidative–phosphorylation pathway. Further qRT-PCR results showed that the inefficient splicing of the respiratory complex I subunit genes NAD4 and NAD7 may lead to ROS accumulation in 35S::HA-AtOFP1 OE lines. In conclusion, we speculated that the overexpression of AtOFP1 may cause the ABA hypersensitivity response by increasing the intracellular ROS content generated from damage to the intima systems of mitochondria. Full article
(This article belongs to the Section Molecular Plant Sciences)
Show Figures

Figure 1

20 pages, 3124 KB  
Article
The Rice ILI2 Locus Is a Bidirectional Target of the African Xanthomonas oryzae pv. oryzae Major Transcription Activator-like Effector TalC but Does Not Contribute to Disease Susceptibility
by Hinda Doucouré, Florence Auguy, Servane Blanvillain-Baufumé, Sandrine Fabre, Marc Gabriel, Emilie Thomas, Fleur Dambreville, Coline Sciallano, Boris Szurek, Ousmane Koita, Valérie Verdier and Sébastien Cunnac
Int. J. Mol. Sci. 2022, 23(10), 5559; https://doi.org/10.3390/ijms23105559 - 16 May 2022
Cited by 2 | Viewed by 3233
Abstract
Xanthomonas oryzae pv. oryzae (Xoo) strains that cause bacterial leaf blight (BLB) limit rice (Oryza sativa) production and require breeding more resistant varieties. Transcription activator-like effectors (TALEs) activate transcription to promote leaf colonization by binding to specific plant host [...] Read more.
Xanthomonas oryzae pv. oryzae (Xoo) strains that cause bacterial leaf blight (BLB) limit rice (Oryza sativa) production and require breeding more resistant varieties. Transcription activator-like effectors (TALEs) activate transcription to promote leaf colonization by binding to specific plant host DNA sequences termed effector binding elements (EBEs). Xoo major TALEs universally target susceptibility genes of the SWEET transporter family. TALE-unresponsive alleles of clade III OsSWEET susceptibility gene promoter created with genome editing confer broad resistance on Asian Xoo strains. African Xoo strains rely primarily on the major TALE TalC, which targets OsSWEET14. Although the virulence of a talC mutant strain is severely impaired, abrogating OsSWEET14 induction with genome editing does not confer equivalent resistance on African Xoo. To address this contradiction, we postulated the existence of a TalC target susceptibility gene redundant with OsSWEET14. Bioinformatics analysis identified a rice locus named ATAC composed of the INCREASED LEAF INCLINATION 2 (ILI2) gene and a putative lncRNA that are shown to be bidirectionally upregulated in a TalC-dependent fashion. Gain-of-function approaches with designer TALEs inducing ATAC sequences did not complement the virulence of a Xoo strain defective for SWEET gene activation. While editing the TalC EBE at the ATAC loci compromised TalC-mediated induction, multiplex edited lines with mutations at the OsSWEET14 and ATAC loci remained essentially susceptible to African Xoo strains. Overall, this work indicates that ATAC is a probable TalC off-target locus but nonetheless documents the first example of divergent transcription activation by a native TALE during infection. Full article
(This article belongs to the Special Issue Molecular Genetics of Rice Disease Resistance)
Show Figures

Figure 1

17 pages, 4954 KB  
Article
Identification of TALE Transcription Factor Family and Expression Patterns Related to Fruit Chloroplast Development in Tomato (Solanum lycopersicum L.)
by Jin Wang, Pan Zhao, Baohui Cheng, Yanhong Zhang, Yuanbo Shen, Xinyu Wang, Qinghua Zhang, Qianqi Lou, Shijie Zhang, Bo Wang, Shiming Qi, Yushun Li, Md. Monirul Islam, Tayeb Muhammad, Fei Zhang and Yan Liang
Int. J. Mol. Sci. 2022, 23(9), 4507; https://doi.org/10.3390/ijms23094507 - 19 Apr 2022
Cited by 21 | Viewed by 3674
Abstract
The TALE gene family is an important transcription factor family that regulates meristem formation, organ morphogenesis, signal transduction, and fruit development. A total of 24 genes of the TALE family were identified and analyzed in tomato. The 24 SlTALE family members could be [...] Read more.
The TALE gene family is an important transcription factor family that regulates meristem formation, organ morphogenesis, signal transduction, and fruit development. A total of 24 genes of the TALE family were identified and analyzed in tomato. The 24 SlTALE family members could be classified into five BELL subfamilies and four KNOX subfamilies. SlTALE genes were unevenly distributed on every tomato chromosome, lacked syntenic gene pairs, and had conserved structures but diverse regulatory functions. Promoter activity analysis showed that cis-elements responsive to light, phytohormone, developmental regulation, and environmental stress were enriched in the promoter of SlTALE genes, and the light response elements were the most abundant. An abundance of TF binding sites was also enriched in the promoter of SlTALE genes. Phenotype identification revealed that the green shoulder (GS) mutant fruits showed significantly enhanced chloroplast development and chlorophyll accumulation, and a significant increase of chlorophyll fluorescence parameters in the fruit shoulder region. Analysis of gene expression patterns indicated that six SlTALE genes were highly expressed in the GS fruit shoulder region, and four SlTALE genes were highly expressed in the parts with less-developed chloroplasts. The protein-protein interaction networks predicted interaction combinations among these SlTALE genes, especially between the BELL subfamilies and the KNOX subfamilies, indicating a complex regulatory network of these SlTALE genes in chloroplast development and green fruit shoulder formation. In conclusion, our result provides detailed knowledge of the SlTALE gene for functional research and the utilization of the TALE gene family in fruit quality improvement. Full article
(This article belongs to the Section Molecular Plant Sciences)
Show Figures

Figure 1

20 pages, 6050 KB  
Article
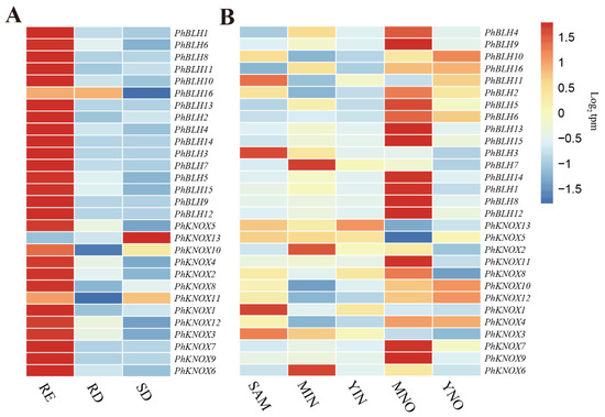
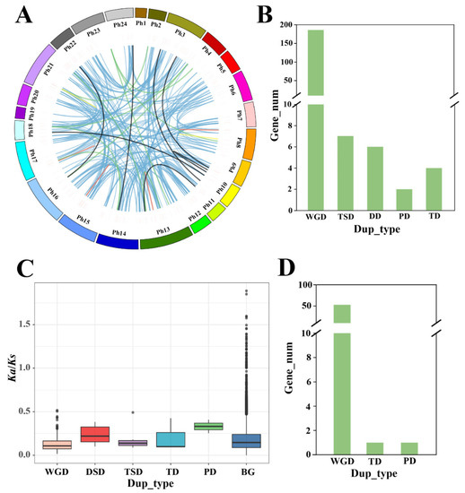
Genome-Wide Identification, Expansion, and Evolution Analysis of Homeobox Gene Family Reveals TALE Genes Important for Secondary Cell Wall Biosynthesis in Moso Bamboo (Phyllostachys edulis)
by Feng Que, Qingnan Liu, Ruofei Zha, Aisheng Xiong and Qiang Wei
Int. J. Mol. Sci. 2022, 23(8), 4112; https://doi.org/10.3390/ijms23084112 - 8 Apr 2022
Cited by 11 | Viewed by 3705
Abstract
The TALE gene family is a subfamily of the homeobox gene family and has been implicated in regulating plant secondary growth. However, reports about the evolutionary history and function of the TALE gene family in bamboo are limited. Here, the homeobox gene families [...] Read more.
The TALE gene family is a subfamily of the homeobox gene family and has been implicated in regulating plant secondary growth. However, reports about the evolutionary history and function of the TALE gene family in bamboo are limited. Here, the homeobox gene families of moso bamboo Olyra latifolia and Bonia amplexicaulis were identified and compared. Many duplication events and obvious expansions were found in the TALE family of woody bamboo. PhTALEs were found to have high syntenies with TALE genes in rice. Through gene co-expression analysis and quantitative real-time PCR analysis, the candidate PhTALEs were thought to be involved in regulating secondary cell wall development of moso bamboo during the fast-growing stage. Among these candidate PhTALEs, orthologs of OsKNAT7, OSH15, and SH5 in moso bamboo may regulate xylan synthesis by regulating the expression of IRX-like genes. These results suggested that PhTALEs may participate in the secondary cell wall deposition in internodes during the fast-growing stage of moso bamboo. The expansion of the TALE gene family may be implicated in the increased lignification of woody bamboo when divergent from herbaceous bamboos. Full article
(This article belongs to the Section Molecular Genetics and Genomics)
Show Figures

Figure 1

18 pages, 1839 KB  
Review
The Roles of BLH Transcription Factors in Plant Development and Environmental Response
by Xiaolin Niu and Daqi Fu
Int. J. Mol. Sci. 2022, 23(7), 3731; https://doi.org/10.3390/ijms23073731 - 29 Mar 2022
Cited by 43 | Viewed by 6475
Abstract
Despite recent advancements in plant molecular biology and biotechnology, providing enough, and safe, food for an increasing world population remains a challenge. The research into plant development and environmental adaptability has attracted more and more attention from various countries. The transcription of some [...] Read more.
Despite recent advancements in plant molecular biology and biotechnology, providing enough, and safe, food for an increasing world population remains a challenge. The research into plant development and environmental adaptability has attracted more and more attention from various countries. The transcription of some genes, regulated by transcript factors (TFs), and their response to biological and abiotic stresses, are activated or inhibited during plant development; examples include, rooting, flowering, fruit ripening, drought, flooding, high temperature, pathogen infection, etc. Therefore, the screening and characterization of transcription factors have increasingly become a hot topic in the field of plant research. BLH/BELL (BEL1-like homeodomain) transcription factors belong to a subfamily of the TALE (three-amino-acid-loop-extension) superfamily and its members are involved in the regulation of many vital biological processes, during plant development and environmental response. This review focuses on the advances in our understanding of the function of BLH/BELL TFs in different plants and their involvement in the development of meristems, flower, fruit, plant morphogenesis, plant cell wall structure, the response to the environment, including light and plant resistance to stress, biosynthesis and signaling of ABA (Abscisic acid), IAA (Indoleacetic acid), GA (Gibberellic Acid) and JA (Jasmonic Acid). We discuss the theoretical basis and potential regulatory models for BLH/BELL TFs’ action and provide a comprehensive view of their multiple roles in modulating different aspects of plant development and response to environmental stress and phytohormones. We also present the value of BLHs in the molecular breeding of improved crop varieties and the future research direction of the BLH gene family. Full article
(This article belongs to the Special Issue Light as a Growth and Development Regulator to Control Plant Biology)
Show Figures

Figure 1

13 pages, 2269 KB  
Article
Dynamic Expression of the Homeobox Factor PBX1 during Mouse Testis Development
by Vanessa Moisan, Catherine Brousseau and Jacques J. Tremblay
Endocrines 2022, 3(1), 16-28; https://doi.org/10.3390/endocrines3010002 - 5 Jan 2022
Cited by 3 | Viewed by 4964
Abstract
Members of the pre-B-cell leukemia transcription factor (PBX) family of homeoproteins are mainly known for their involvement in hematopoietic cell differentiation and in the development of leukemia. The four PBX proteins, PBX1, PBX2, PBX3 and PBX4, belong to the three amino acid loop [...] Read more.
Members of the pre-B-cell leukemia transcription factor (PBX) family of homeoproteins are mainly known for their involvement in hematopoietic cell differentiation and in the development of leukemia. The four PBX proteins, PBX1, PBX2, PBX3 and PBX4, belong to the three amino acid loop extension (TALE) superfamily of homeoproteins which are important transcriptional cofactors in several developmental processes involving homeobox (HOX) factors. Mutations in the human PBX1 gene are responsible for cases of gonadal dysgenesis with absence of male sex differentiation while Pbx1 inactivation in the mouse causes a failure in Leydig cell differentiation and function. However, no data is available regarding the expression profile of this transcription factor in the testis. To fill this knowledge gap, we have characterized PBX1 expression during mouse testicular development. Real time PCRs and Western blots confirmed the presence Pbx1 mRNA and PBX1 protein in different Leydig and Sertoli cell lines. The cellular localization of the PBX1 protein was determined by immunohistochemistry and immunofluorescence on mouse testis sections at different embryonic and postnatal developmental stages. PBX1 was detected in interstitial cells and in peritubular myoid cells from embryonic life until puberty. Most interstitial cells expressing PBX1 do not express the Leydig cell marker CYP17A1, indicating that they are not differentiated and steroidogenically active Leydig cells. In adults, PBX1 was mainly detected in Sertoli cells. The presence of PBX1 in different somatic cell populations during testicular development further supports a direct role for this transcription factor in testis cell differentiation and in male reproductive function. Full article
(This article belongs to the Section Andrology and Male Sexual Function)
Show Figures

Figure 1

17 pages, 7107 KB  
Article
Genome-Wide Analysis of the Homeobox Gene Family and Identification of Drought-Responsive Members in Populus trichocarpa
by Jing Hou, Yan Sun, Lei Wang, Yuanzhong Jiang, Ningning Chen and Shaofei Tong
Plants 2021, 10(11), 2284; https://doi.org/10.3390/plants10112284 - 25 Oct 2021
Cited by 19 | Viewed by 3591
Abstract
Homeobox (HB) genes play critical roles in the regulation of plant morphogenesis, growth and development. Here, we identified a total of 156 PtrHB genes from the Populus trichocarpa genome. According to the topologies and taxonomy of the phylogenetic tree constructed by Arabidopsis thaliana [...] Read more.
Homeobox (HB) genes play critical roles in the regulation of plant morphogenesis, growth and development. Here, we identified a total of 156 PtrHB genes from the Populus trichocarpa genome. According to the topologies and taxonomy of the phylogenetic tree constructed by Arabidopsis thaliana HB members, all PtrHB proteins were divided into six subgroups, namely HD-ZIP, ZF-HD, HB-PHD, TALE, WOX and HB-OTHERS. Multiple alignments of conserved homeodomains (HDs) revealed the conserved loci of each subgroup, while gene structure analysis showed similar exon–intron gene structures, and motif analysis indicated the similarity of motif number and pattern in the same subgroup. Promoter analysis indicated that the promoters of PtrHB genes contain a series of cis-acting regulatory elements involved in responding to various abiotic stresses, indicating that PtrHBs had potential functions in these processes. Collinearity analysis revealed that there are 96 pairs of 127 PtrHB genes mainly distributing on Chromosomes 1, 2, and 5. We analyzed the spatio-temporal expression patterns of PtrHB genes, and the virus-induced gene silencing (VIGS) of PtrHB3 gene resulted in the compromised tolerance of poplar seedlings to mannitol treatment. The bioinformatics on PtrHB family and preliminary exploration of drought-responsive genes can provide support for further study of the family in woody plants, especially in drought-related biological processes. It also provides a direction for developing new varieties of poplar with drought resistance. Overall, our results provided significant information for further functional analysis of PtrHB genes in poplar and demonstrated that PtrHB3 is a dominant gene regulating tolerance to water stress treatment in poplar seedlings. Full article
Show Figures

Figure 1

13 pages, 4685 KB  
Article
Identification of BELL Transcription Factors Involved in Nodule Initiation and Development in the Legumes Pisum sativum and Medicago truncatula
by Alexandra V. Dolgikh, Elizaveta S. Rudaya and Elena A. Dolgikh
Plants 2020, 9(12), 1808; https://doi.org/10.3390/plants9121808 - 20 Dec 2020
Cited by 13 | Viewed by 3803
Abstract
Single three-amino acid loop extension (TALE) homeodomain proteins, including the KNOTTED-like (KNOX) and BEL-like (BELL) families in plants, usually work as heterodimeric transcription factor complexes to regulate different developmental processes, often via effects on phytohormonal pathways. Nitrogen-fixing nodule formation in legumes is regulated [...] Read more.
Single three-amino acid loop extension (TALE) homeodomain proteins, including the KNOTTED-like (KNOX) and BEL-like (BELL) families in plants, usually work as heterodimeric transcription factor complexes to regulate different developmental processes, often via effects on phytohormonal pathways. Nitrogen-fixing nodule formation in legumes is regulated by different families of homeodomain transcription factors. Whereas the role of KNOX transcription factors in the control of symbiosis was studied early, BELL transcription factors have received less attention. Here, we report the identification and expression analysis of BELL genes in the legume plants Medicago truncatula and Pisum sativum, which are involved in regulating symbiosis initiation and development. A more precise analysis was performed for the most significantly upregulated PsBELL1-2 gene in pea. We found that the PsBELL1-2 transcription factor could be a potential partner of PsKNOX9. In addition, we showed that PsBELL1-2 can interact with the PsDELLA1 (LA) protein-regulator of the gibberellin pathway, which has a previously demonstrated important role in symbiosis development. Full article
(This article belongs to the Special Issue Pea-Rhizobial and Pea-Mycorrhizal Symbioses)
Show Figures

Figure 1

15 pages, 3941 KB  
Article
Genome-wide Identification and Expression Analysis of TALE Gene Family in Pomegranate (Punica granatum L.)
by Yuying Wang, Yujie Zhao, Ming Yan, Honglian Zhao, Xinhui Zhang and Zhaohe Yuan
Agronomy 2020, 10(6), 829; https://doi.org/10.3390/agronomy10060829 - 11 Jun 2020
Cited by 27 | Viewed by 4992
Abstract
The three-amino-acid-loop-extension (TALE) gene family is a pivotal transcription factor that regulates the development of flower organs, flower meristem formation, organ morphogenesis and fruit development. A total of 17 genes of pomegranate TALE family were identified and analyzed in pomegranate via bioinformatics methods, [...] Read more.
The three-amino-acid-loop-extension (TALE) gene family is a pivotal transcription factor that regulates the development of flower organs, flower meristem formation, organ morphogenesis and fruit development. A total of 17 genes of pomegranate TALE family were identified and analyzed in pomegranate via bioinformatics methods, which provided a theoretical basis for the functional research and utilization of pomegranate TALE family genes. The results showed that the PgTALE family genes were divided into eight subfamilies (KNOX-Ⅰ, KNOX-Ⅱ, KNOX-Ⅲ, BELL-Ⅰ, BELL-Ⅱ, BELL-Ⅲ, BELL-Ⅳ, and BELL-Ⅴ). All PgTALEs had a KNOX domain or a BELL domain, and their structures were conservative. The 1500 bp promoter sequence had multiple cis-elements in response to hormones (auxin, gibberellin) and abiotic stress, indicating that most of PgTALE were involved in the growth and development of pomegranates and stress. Function prediction and protein-protein network analysis showed that PgTALE may participate in regulating the development of apical meristems, flowers, carpels, and ovules. Analysis of gene expression patterns showed that the pomegranate TALE gene family had a particular tissue expression specificity. In conclusion, the knowledge of the TALE gene gained in pomegranate may be applied to other fruit as well. Full article
Show Figures

Figure 1

20 pages, 10529 KB  
Article
Genome-Wide Profiling and Phylogenetic Analysis of the SWEET Sugar Transporter Gene Family in Walnut and Their Lack of Responsiveness to Xanthomonas arboricola pv. juglandis Infection
by Shijiao Jiang, Bipin Balan, Renata de A. B. Assis, Cintia H. D. Sagawa, Xueqin Wan, Shan Han, Le Wang, Lanlan Zhang, Paulo A. Zaini, Sriema L. Walawage, Aaron Jacobson, Steven H. Lee, Leandro M. Moreira, Charles A. Leslie and Abhaya M. Dandekar
Int. J. Mol. Sci. 2020, 21(4), 1251; https://doi.org/10.3390/ijms21041251 - 13 Feb 2020
Cited by 28 | Viewed by 6337
Abstract
Following photosynthesis, sucrose is translocated to sink organs, where it provides the primary source of carbon and energy to sustain plant growth and development. Sugar transporters from the SWEET (sugar will eventually be exported transporter) family are rate-limiting factors that mediate sucrose transport [...] Read more.
Following photosynthesis, sucrose is translocated to sink organs, where it provides the primary source of carbon and energy to sustain plant growth and development. Sugar transporters from the SWEET (sugar will eventually be exported transporter) family are rate-limiting factors that mediate sucrose transport across concentration gradients, sustain yields, and participate in reproductive development, plant senescence, stress responses, as well as support plant–pathogen interaction, the focus of this study. We identified 25 SWEET genes in the walnut genome and distinguished each by its individual gene structure and pattern of expression in different walnut tissues. Their chromosomal locations, cis-acting motifs within their 5′ regulatory elements, and phylogenetic relationship patterns provided the first comprehensive analysis of the SWEET gene family of sugar transporters in walnut. This family is divided into four clades, the analysis of which suggests duplication and expansion of the SWEET gene family in Juglans regia. In addition, tissue-specific gene expression signatures suggest diverse possible functions for JrSWEET genes. Although these are commonly used by pathogens to harness sugar products from their plant hosts, little was known about their role during Xanthomonas arboricola pv. juglandis (Xaj) infection. We monitored the expression profiles of the JrSWEET genes in different tissues of “Chandler” walnuts when challenged with pathogen Xaj417 and concluded that SWEET-mediated sugar translocation from the host is not a trigger for walnut blight disease development. This may be directly related to the absence of type III secretion system-dependent transcription activator-like effectors (TALEs) in Xaj417, which suggests different strategies are employed by this pathogen to promote susceptibility to this major aboveground disease of walnuts. Full article
(This article belongs to the Collection Feature Papers in Molecular Genetics and Genomics)
Show Figures

Figure 1

20 pages, 5819 KB  
Article
Quantitative Changes in the Transcription of Phytohormone-Related Genes: Some Transcription Factors Are Major Causes of the Wheat Mutant dmc Not Tillering
by Ruishi He, Yongjing Ni, Junchang Li, Zhixin Jiao, Xinxin Zhu, Yumei Jiang, Qiaoyun Li and Jishan Niu
Int. J. Mol. Sci. 2018, 19(5), 1324; https://doi.org/10.3390/ijms19051324 - 29 Apr 2018
Cited by 31 | Viewed by 6573
Abstract
Tiller number is an important agronomic trait for grain yield of wheat (Triticum aestivum L.). A dwarf-monoculm wheat mutant (dmc) was obtained from cultivar Guomai 301 (wild type, WT). Here, we explored the molecular basis for the restrained tiller development [...] Read more.
Tiller number is an important agronomic trait for grain yield of wheat (Triticum aestivum L.). A dwarf-monoculm wheat mutant (dmc) was obtained from cultivar Guomai 301 (wild type, WT). Here, we explored the molecular basis for the restrained tiller development of the mutant dmc. Two bulked samples of the mutant dmc (T1, T2 and T3) and WT (T4, T5 and T6) with three biological replicates were comparatively analyzed at the transcriptional level by bulked RNA sequencing (RNA-Seq). In total, 68.8 Gb data and 463 million reads were generated, 80% of which were mapped to the wheat reference genome of Chinese Spring. A total of 4904 differentially expressed genes (DEGs) were identified between the mutant dmc and WT. DEGs and their related major biological functions were characterized based on GO (Gene Ontology) and KEGG (Kyoto Encyclopedia of Genes and Genomes) categories. These results were confirmed by quantitatively analyzing the expression profiles of twelve selected DEGs via real-time qRT-PCR. The down-regulated gene expressions related to phytohormone syntheses of auxin, zeatin, cytokinin and some transcription factor (TF) families of TALE, and WOX might be the major causes of the mutant dmc, not tillering. Our work provides a foundation for subsequent tiller development research in the future. Full article
Show Figures

Figure 1

17 pages, 9106 KB  
Review
Multiple Mobile mRNA Signals Regulate Tuber Development in Potato
by David J. Hannapel and Anjan K. Banerjee
Plants 2017, 6(1), 8; https://doi.org/10.3390/plants6010008 - 10 Feb 2017
Cited by 38 | Viewed by 9717
Abstract
Included among the many signals that traffic through the sieve element system are full-length mRNAs that function to respond to the environment and to regulate development. In potato, several mRNAs that encode transcription factors from the three-amino-loop-extension (TALE) superfamily move from leaves to [...] Read more.
Included among the many signals that traffic through the sieve element system are full-length mRNAs that function to respond to the environment and to regulate development. In potato, several mRNAs that encode transcription factors from the three-amino-loop-extension (TALE) superfamily move from leaves to roots and stolons via the phloem to control growth and signal the onset of tuber formation. This RNA transport is enhanced by short-day conditions and is facilitated by RNA-binding proteins from the polypyrimidine tract-binding family of proteins. Regulation of growth is mediated by three mobile mRNAs that arise from vasculature in the leaf. One mRNA, StBEL5, functions to activate growth, whereas two other, sequence-related StBEL’s, StBEL11 and StBEL29, function antagonistically to repress StBEL5 target genes involved in promoting tuber development. This dynamic system utilizes closely-linked phloem-mobile mRNAs to control growth in developing potato tubers. In creating a complex signaling pathway, potato has evolved a long-distance transport system that regulates underground organ development through closely-associated, full-length mRNAs that function as either activators or repressors. Full article
(This article belongs to the Special Issue Plasmodesmata and Intercellular Movement)
Show Figures

Graphical abstract

Back to TopTop