Identification of TALE Transcription Factor Family and Expression Patterns Related to Fruit Chloroplast Development in Tomato (Solanum lycopersicum L.)
Abstract
:1. Introduction
2. Results
2.1. Identification and Sequence Analysis of SlTALE Family Members
| Gene Name | Gene ID | Known As | Introns | AA | MW (kDa) | IP | II | AI | GRAVY | SP | PSL |
|---|---|---|---|---|---|---|---|---|---|---|---|
| SlTALE1 | Solyc01g007070 | 3 | 700 | 37.91 | 6.22 | 52.18 | 66.21 | −0.62 | 0.0017 | NC | |
| SlTALE2 | Solyc01g100510 | TKN4 | 4 | 335 | 71.88 | 5.30 | 47.01 | 66.75 | −0.71 | 0.0030 | NC |
| SlTALE3 | Solyc01g109980 | 3 | 645 | 69.74 | 5.12 | 53.76 | 61.89 | −0.74 | 0.0008 | NC | |
| SlTALE4 | Solyc02g065490 | 3 | 624 | 39.65 | 6.47 | 45.11 | 63.75 | −0.73 | 0.0006 | NC | |
| SlTALE5 | Solyc02g081120 | LeT6, TKN2 [28] | 3 | 354 | 79.19 | 5.72 | 45.61 | 60.68 | −0.70 | 0.0131 | NC |
| SlTALE6 | Solyc02g089940 | BIP [29] | 3 | 726 | 20.69 | 6.72 | 47.63 | 61.76 | −0.59 | 0.0007 | NC |
| SlTALE7 | Solyc03g112740 | 3 | 184 | 40.09 | 4.38 | 44.95 | 86.41 | −0.39 | 0.0004 | NC | |
| SlTALE8 | Solyc04g077210 | TKN1 [30] | 4 | 355 | 70.56 | 5.86 | 45.00 | 61.61 | −0.82 | 0.0037 | NC |
| SlTALE9 | Solyc04g079830 | 6 | 627 | 45.58 | 6.96 | 43.68 | 72.98 | −0.70 | 0.0010 | NC | |
| SlTALE10 | Solyc04g080780 | BL1, BEL11 [27] | 3 | 400 | 73.89 | 6.07 | 48.18 | 77.55 | −0.49 | 0.0007 | NC |
| SlTALE11 | Solyc04g080790 | 3 | 661 | 19.87 | 5.71 | 44.56 | 72.27 | −0.62 | 0.0006 | NC | |
| SlTALE12 | Solyc05g005090 | 4 | 169 | 19.50 | 5.35 | 50.63 | 63.55 | −0.97 | 0.0004 | NC | |
| SlTALE13 | Solyc06g072480 | KD1, TKD1 [31] | 3 | 171 | 77.66 | 5.24 | 46.38 | 69.59 | −0.67 | 0.0004 | NC |
| SlTALE14 | Solyc06g074120 | BL2 [32] | 3 | 699 | 48.01 | 6.86 | 52.62 | 69.77 | −0.71 | 0.0038 | NC |
| SlTALE15 | Solyc07g007120 | LeT12, THox1 [28] | 5 | 431 | 39.64 | 5.67 | 61.93 | 61.60 | −0.94 | 0.0004 | NC |
| SlTALE16 | Solyc08g041820 | 4 | 349 | 62.66 | 5.37 | 60.46 | 77.97 | −0.75 | 0.0006 | NC | |
| SlTALE17 | Solyc08g065420 | BL4, BEL4 [17] | 3 | 559 | 35.30 | 6.32 | 48.11 | 77.12 | −0.42 | 0.0009 | NC |
| SlTALE18 | Solyc08g080120 | THox2 [32] | 4 | 310 | 72.65 | 6.06 | 65.16 | 79.90 | −0.72 | 0.0018 | NC |
| SlTALE19 | Solyc08g081400 | 3 | 644 | 55.97 | 6.22 | 51.29 | 68.12 | −0.76 | 0.0016 | NC | |
| SlTALE20 | Solyc09g011380 | 3 | 504 | 30.51 | 7.69 | 42.89 | 71.17 | −0.60 | 0.0004 | NC | |
| SlTALE21 | Solyc10g086640 | 5 | 268 | 72.92 | 8.91 | 44.06 | 80.04 | −0.53 | 0.0003 | NC | |
| SlTALE22 | Solyc11g068950 | 4 | 661 | 75.78 | 6.84 | 44.79 | 72.12 | −0.66 | 0.0159 | NC | |
| SlTALE23 | Solyc11g069890 | 3 | 686 | 39.27 | 6.72 | 53.91 | 74.71 | −0.50 | 0.0020 | NC | |
| SlTALE24 | Solyc12g010410 | 5 | 340 | 37.91 | 5.56 | 53.10 | 66.50 | −0.99 | 0.0003 | NC |
2.2. Phylogenetic Analysis of the TALE Family
2.3. Analysis of Gene Structures, Chromosomal Locations, and Conserved Motifs
2.4. Analysis of Cis-Elements and TF Binding Sites
2.5. Interaction Network of the SlTALE Proteins
2.6. Characterization of Fruit Phenotype and Chloroplast Development of the GS Mutant and WT
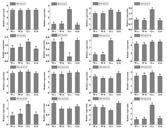
2.7. Conserved and Divergent Patterns of SlTALE Genes Expression during Chloroplast Development and Green Shoulder Formation in Tomato Fruit
2.8. Expression Analysis of SlTALE Genes in Tomato Fruit
3. Discussion
4. Materials and Methods
4.1. Plant Materials
4.2. Data Sources
4.3. Identification of SlTALE Family Members
4.4. Sequence Analysis of SlTALE Family Members
4.5. Gene Structure, Conserved Motif, and Phylogenetic Analysis
4.6. Cis-elements, TF Binding Sites, and Protein Interaction Network
4.7. Chlorophyll Content, Chlorophyll Fluorescence Parameters, and Chloroplast Structure
4.8. Transcriptome Analysis and Expression Analysis of SlTALE Family Genes
5. Conclusions
Supplementary Materials
Author Contributions
Funding
Institutional Review Board Statement
Informed Consent Statement
Data Availability Statement
Conflicts of Interest
Abbreviations
| TALE | Three Amino Acid Loop Extension |
| HD | Homeodomain |
| Homeobox | Homologous Alien Box |
| HOX/HB | Homeobox |
| TF | Transcription Factor |
| KNOX/TKN | KNOTTED-Like Homeobox |
| BELL/BLH | BEL1-Like Homeobox |
| HD-ZIP | Homeodomain-Leucine Zipper |
| WOX | Wuschel Homeobox |
| NDX | Nodulin Homeobox |
| PHD | Plant Homeodomain |
| PLINC | Plant Zinc Finger |
| LD | Luminidependens |
| DDT | DNA-Binding HD And Different TFs |
| SAWADEE | Homeodomain Associated To Sawadee Domain |
| PINTOX | Plant Interactor Homeobox |
| STM | Shoot Meristemless |
| MEINOX | A Contraction Of MEIS And KNOX |
| MID/POX | MEINOX Interacting Domain, |
| BPID | BP Interacting Domain |
| KNAT2 | Arabidopsis KNOX 2 |
| ATH1 | Arabidopsis Homeobox 1 |
| APRR2-like | Arabidopsis Pseudo Response Regulator2-Like |
| GLK2 | Goldern2-Like |
| POR | Protochlorophyllide Oxidoreductase |
| CAB | Chlorophyll a/b Binding |
| CHLD | Magnesium Chelatase D Subunit |
| PE | Pectinesterase |
References
- Mcginnis, W.; Crow, J.F. A century of homeosis, a decade of homeoboxes. Genetics 1994, 137, 607–611. [Google Scholar] [CrossRef] [PubMed]
- Vollbrecht, E.; Veit, B.; Sinha, N.; Hake, S. The developmental gene Knotted-1 is a member of a maize homeobox gene family. Nature 1991, 350, 241–243. [Google Scholar] [CrossRef] [PubMed]
- McGinnis, W.; Levine, M.S.; Hafen, E.; Kuroiwa, A.; Gehring, W.J. A conserved DNA sequence in homoeotic genes of the Drosophila Antennapedia and bithorax complexes. Nature 1984, 308, 428–433. [Google Scholar] [CrossRef] [PubMed]
- Billeter, M.; Qian, Y.Q.; Otting, G.; Müller, M.; Gehring, W.; Wüthrich, K. Determination of the Nuclear Magnetic Resonance Solution Structure of an Antennapedia Homeodomain-DNA Complex. J. Mol. Biol. 1993, 234, 1084–1093. [Google Scholar] [CrossRef] [PubMed]
- Derelle, R.; Lopez, P.; Guyader, H.L.; Manuel, M. Homeodomain proteins belong to the ancestral molecular toolkit of eukar-yotes. Evol. Dev. 2007, 9, 212–219. [Google Scholar] [CrossRef]
- Bürglin, T.R.; Affolter, M. Homeodomain proteins: An update. Chromosoma 2016, 125, 497–521. [Google Scholar] [CrossRef] [Green Version]
- Bürglin, T.R. Analysis of TALE superclass homeobox genes (MEIS, PBC, KNOX, Iroquois, TGIF) reveals a novel domain con-served between plants and animals. Nucleic Acids Res. 1997, 25, 4173–4180. [Google Scholar] [CrossRef] [Green Version]
- Hay, A.; Tsiantis, M. KNOX genes: Versatile regulators of plant development and diversity. Development 2010, 137, 3153–3165. [Google Scholar] [CrossRef] [Green Version]
- Chen, H.; Rosin, F.M.; Prat, S.; Hannapel, D.J. Interacting Transcription Factors from the Three-Amino Acid Loop Extension Superclass Regulate Tuber Formation. Plant Physiol. 2003, 132, 1391–1404. [Google Scholar] [CrossRef] [Green Version]
- Bellaoui, M.; Pidkowich, M.S.; Samach, A.; Kushalappa, K.; Kohalmi, S.E.; Modrusan, Z.; Haughn, C.G.W. The Arabidopsis BELL1 and KNOX TALE Homeodomain Proteins Interact through a Domain Conserved between Plants and Animals. Plant Cell 2001, 13, 2455–2470. [Google Scholar] [CrossRef] [Green Version]
- Magnani, E.; Hake, S. KNOX lost the OX: The Arabidopsis KNATM gene defines a novel class of KNOX transcriptional regulators missing the homeodomain. Plant Cell 2008, 20, 875–887. [Google Scholar] [CrossRef] [PubMed] [Green Version]
- Hamant, O.; Pautot, V. Plant development: A TALE story. Comptes Rendus. Biol. 2010, 333, 371–381. [Google Scholar] [CrossRef] [PubMed]
- Müller, J.; Wang, Y.; Franzen, R.; Santi, L.; Rohde, W. In vitro interactions between barley TALE homeodomain proteins suggest a role for protein-protein associations in the regulation of Knox gene function. Plant J. 2010, 27, 13–23. [Google Scholar] [CrossRef] [PubMed]
- Cole, M.; Nolte, C.; Werr, W. Nuclear import of the transcription factor SHOOT MERISTEMLESS depends on heterodimeri-zation with BLH proteins expressed in discrete sub-domains of the shoot apical meristem of Arabidopsis thaliana. Nucleic Acids Res. 2006, 34, 1281–1292. [Google Scholar] [CrossRef] [PubMed] [Green Version]
- Bhatt, A.M.; Etchells, J.P.; Canales, C.; Lagodienko, A.; Dickinson, H. VAAMANA—A BEL1-like homeodomain protein, interacts with KNOX proteins BP and STM and regulates inflorescence stem growth in Arabidopsis. Gene 2004, 328, 103–111. [Google Scholar] [CrossRef]
- Kim, D.; Cho, Y.-H.; Ryu, H.; Kim, Y.; Kim, T.-H.; Hwang, I. BLH1 and KNAT3 modulate ABA responses during germination and early seedling development in Arabidopsis. Plant J. 2013, 75, 755–766. [Google Scholar] [CrossRef] [PubMed]
- Yan, F.; Gao, Y.; Pang, X.; Xu, X.; Zhu, N.; Chan, H.; Hu, G.; Wu, M.; Yuan, Y.; Li, H.; et al. BEL1-LIKE HOMEODOMAIN4 regulates chlorophyll accumulation, chloroplast development, and cell wall metabolism in tomato fruit. J. Exp. Bot. 2020, 71, 5549–5561. [Google Scholar] [CrossRef]
- Arnaud, N.; Pautot, V. Ring the BELL and tie the KNOX: Roles for TALEs in gynoecium development. Front. Plant Sci. 2014, 5, 93. [Google Scholar] [CrossRef]
- Furumizu, C.; Alvarez, J.P.; Sakakibara, K.; Bowman, J.L. Antagonistic Roles for KNOX1 and KNOX2 Genes in Patterning the Land Plant Body Plan Following an Ancient Gene Duplication. PLoS Genet. 2015, 11, e1004980. [Google Scholar] [CrossRef] [Green Version]
- Cnops, G.; Nayt, P.; Raes, J.; Petrarulo, M.; Nelissen, H.; Malenica, N.; Luschnig, C.; Tietz, O.; Ditengou, F.; Palme, K.; et al. The TORNADO1 and TORNADO2 Genes Function in Several Patterning Processes during Early Leaf Development in Arabidopsis thaliana. Plant Cell 2006, 18, 852–866. [Google Scholar] [CrossRef] [Green Version]
- Shani, E.; Yanai, O.; Ori, N. The role of hormones in shoot apical meristem function. Curr. Opin. Plant Biol. 2006, 9, 484–489. [Google Scholar] [CrossRef] [PubMed]
- Nadakuduti, S.S.; Holdsworth, W.L.; Klein, C.L.; Barry, C.S. KNOX genes influence a gradient of fruit chloroplast development through regulation of GOLDEN2-LIKE expression in tomato. Plant J. 2014, 78, 1022–1033. [Google Scholar] [CrossRef] [PubMed]
- Li, Y.; Pi, L.; Huang, H.; Xu, L. ATH1 and KNAT2 proteins act together in regulation of plant inflorescence architecture. J. Exp. Bot. 2011, 63, 1423–1433. [Google Scholar] [CrossRef] [Green Version]
- Rutjens, B.; Bao, D.; Van Eck-Stouten, E.; Brand, M.; Smeekens, S.; Proveniers, M. Shoot apical meristem function in Ara-bidopsis requires the combined activities of three BEL1-like homeodomain proteins. Plant J. 2010, 58, 641–654. [Google Scholar] [CrossRef] [PubMed]
- Li, E.; Bhargava, A.; Qiang, W.; Friedmann, M.C.; Forneris, N.; Savidge, R.A.; Johnson, L.A.; Mansfield, S.D.; Ellis, B.E.; Douglas, C.J. The Class II KNOX gene KNAT7 negatively regulates secondary wall formation in Arabidopsis and is functionally conserved in Populus. New Phytol. 2012, 194, 102–115. [Google Scholar] [CrossRef] [PubMed]
- Brand, A.; Borovsky, Y.; Hill, T.; Rahman, K.A.A.; Bellalou, A.; Van Deynze, A.; Paran, I. CaGLK2 regulates natural variation of chlorophyll content and fruit color in pepper fruit. Theor. Appl. Genet. 2014, 127, 2139–2148. [Google Scholar] [CrossRef]
- Meng, L.; Fan, Z.; Zhang, Q.; Wang, C.; Gao, Y.; Deng, Y.; Zhu, B.; Zhu, H.; Chen, J.; Shan, W.; et al. BEL1-LIKE HOMEODOMAIN 11 regulates chloroplast development and chlorophyll synthesis in tomato fruit. Plant J. 2018, 94, 1126–1140. [Google Scholar] [CrossRef] [Green Version]
- Janssen, B.-J.; Williams, A.; Chen, J.-J.; Mathern, J.; Hake, S.; Sinha, N. Isolation and characterization of two knotted-like homeobox genes from tomato. Plant Mol. Biol. 1998, 36, 417–425. [Google Scholar] [CrossRef]
- Kimura, S.; Koenig, D.; Kang, J.; Yoong, F.Y.; Sinha, N. Natural Variation in Leaf Morphology Results from Mutation of a Novel KNOX Gene. Curr. Biol. 2008, 18, 672–677. [Google Scholar] [CrossRef] [Green Version]
- Hareven, D.; Gutfinger, T.; Parnis, A.; Eshed, Y.; Lifschitz, E. The Making of a Compound Leaf: Genetic Manipulation of Leaf Architecture in Tomato. Cell 1996, 84, 735–744. [Google Scholar] [CrossRef] [Green Version]
- Ma, C.; Meir, S.; Xiao, L.; Tong, J.; Liu, Q.; Reid, M.S.; Jiang, C.Z. A knotted1-like homeobox protein regulates ab-scission in tomato by modulating the auxin pathway. Plant Physiol. 2015, 167, 844–853. [Google Scholar] [CrossRef] [PubMed] [Green Version]
- Aoki, K.; Yano, K.; Suzuki, A.; Kawamura, S.; Sakurai, N.; Suda, K.; Kurabayashi, A.; Suzuki, T.; Tsugane, T.; Watanabe, M.; et al. Large-scale analysis of full-length cDNAs from the tomato (Solanum lycopersicum) cultivar Micro-Tom, a reference system for the Solanaceae genomics. BMC Genom. 2010, 11, 210. [Google Scholar] [CrossRef] [PubMed] [Green Version]
- Wang, Y.; Zhao, Y.; Yan, M.; Zhao, H.; Zhang, X.; Yuan, Z. Genome-Wide Identification and Expression Analysis of TALE Gene Family in Pomegranate (Punica granatum L.). Agronomy 2020, 10, 829. [Google Scholar] [CrossRef]
- Ma, Q.; Wang, N.; Hao, P.; Sun, H.; Wang, C.; Ma, L.; Wang, H.; Zhang, X.; Wei, H.; Yu, S. Genome-wide identification and characterization of TALE superfamily genes in cotton reveals their functions in regulating secondary cell wall biosynthesis. BMC Plant Biol. 2019, 19, 432. [Google Scholar] [CrossRef] [Green Version]
- Zhao, K.; Zhang, X.; Cheng, Z.; Yao, W.; Li, R.; Jiang, T.; Zhou, B. Comprehensive analysis of the three-amino-acid-loop-extension gene family and its tissue-differential expression in response to salt stress in poplar. Plant Physiol. Biochem. 2019, 136, 1–12. [Google Scholar] [CrossRef]
- Mercedes, R.E.; Mohammed, B.; Rubén, M.B.; Manuel, G.R. Identification and Characterization of TALE Homeobox Genes in the Endangered Fern Vandenboschia speciosa. Genes 2017, 8, 275. [Google Scholar]
- Mueller, L.A.; Solow, T.H.; Taylor, N.; Skwarecki, B.; Tanksley, S.D.; Buels, R.; Binns, J.; Lin, C.; Wright, M.; Ahrens, R.; et al. The SOL Genomics Network. A Comparative Resource for Solanaceae Biology and Beyond. Plant Physiol. 2005, 138, 1310–1317. [Google Scholar] [CrossRef] [Green Version]
- Ren, Z.; Yu, D.; Yang, Z.; Li, C.; Qanmber, G.; Li, Y.; Li, J.; Liu, Z.; Lu, L.; Wang, L.; et al. Genome-Wide Identification of the MIKC-Type MADS-Box Gene Family in Gossypium hirsutum L. Unravels Their Roles in Flowering. Front. Plant Sci. 2017, 8, 384. [Google Scholar] [CrossRef] [Green Version]
- Zhang, Y.; Min, G.; Singer, S.D.; Fei, Z.; Hua, W.; Wang, X.; Yang, H. Genome-Wide Identification and Analysis of the TIFY Gene Family in Grape. PLoS ONE 2012, 7, e44465. [Google Scholar] [CrossRef] [Green Version]
- Mattick, J.S.; Gagen, M.J. The Evolution of Controlled Multitasked Gene Networks: The Role of Introns and Other Noncoding RNAs in the Development of Complex Organisms. Mol. Biol. Evol. 2001, 18, 1611–1630. [Google Scholar] [CrossRef] [Green Version]
- Jin, Z.; Xu, W.; Liu, A. Genomic surveys and expression analysis of bZIP gene family in castor bean (Ricinus communis L.). Planta 2013, 239, 299–312. [Google Scholar] [CrossRef] [PubMed]
- Zhu, M.; Yan, B.; Hu, Y.; Cui, Z.; Wang, X. Genome-wide identification and phylogenetic analysis of rice FTIP gene family. Genomics 2020, 112, 3803–3814. [Google Scholar] [CrossRef] [PubMed]
- Leister, D. Tandem and segmental gene duplication and recombination in the evolution of plant disease resistance genes. Trends Genet. 2004, 20, 116–122. [Google Scholar] [CrossRef] [PubMed] [Green Version]
- Oberlé, I.; Drayna, D.; Camerino, G.; White, R.; Mandel, J.L. The telomeric region of the human X chromosome long arm: Presence of a highly polymorphic DNA marker and analysis of recombination frequency. Proc. Natl. Acad. Sci. USA 1985, 82, 2824–2828. [Google Scholar] [CrossRef] [Green Version]
- Mnaimneh, S.; Davierwala, A.P.; Haynes, J.; Moffat, J.; Peng, W.-T.; Zhang, W.; Yang, X.; Pootoolal, J.; Chua, G.; Lopez, A.; et al. Exploration of Essential Gene Functions via Titratable Promoter Alleles. Cell 2004, 118, 31–44. [Google Scholar] [CrossRef] [Green Version]
- Cocaliadis, M.F.; Fernández-Muñoz, R.; Pons, C.; Orzaez, D.; Granell, A. Increasing tomato fruit quality by enhancing fruit chloroplast function. A double-edged sword? J. Exp. Bot. 2013, 65, 4589–4598. [Google Scholar] [CrossRef] [Green Version]
- Jia, T.; Cheng, Y.; Khan, I.; Zhao, X.; Gu, T.; Hu, X. Progress on Understanding Transcriptional Regulation of Chloroplast Development in Fleshy Fruit. Int. J. Mol. Sci. 2020, 21, 6951. [Google Scholar] [CrossRef]
- Di, G.E.; Maria, I.; Giovanna, F. TALE and Shape: How to Make a Leaf Different. Plants 2013, 2, 317–342. [Google Scholar]
- Jin, J.; Tian, F.; Yang, D.-C.; Meng, Y.-Q.; Kong, L.; Luo, J.; Gao, G. PlantTFDB 4.0: Toward a central hub for transcription factors and regulatory interactions in plants. Nucleic Acids Res. 2017, 45, D1040–D1045. [Google Scholar] [CrossRef] [Green Version]
- Chen, C.; Chen, H.; Zhang, Y.; Thomas, H.R.; Frank, M.H.; He, Y.; Xia, R. TBtools: An Integrative Toolkit Developed for Interactive Analyses of Big Biological Data. Mol. Plant 2020, 13, 1194–1202. [Google Scholar] [CrossRef]
- Lescot, M.; Déhais, P.; Thijs, G.; Marchal, K.; Moreau, Y.; Van de Peer, Y.; Rouzé, P.; Rombauts, S. PlantCARE, a database of plant cis-acting regulatory elements and a portal to tools for in silico analysis of promoter sequences. Nucleic Acids Res. 2002, 30, 325–327. [Google Scholar] [CrossRef] [PubMed]
- Tian, F.; Yang, D.-C.; Meng, Y.-Q.; Jin, J.; Gao, G. PlantRegMap: Charting functional regulatory maps in plants. Nucleic Acids Res. 2019, 48, D1104–D1113. [Google Scholar] [CrossRef] [PubMed]
- Szklarczyk, D.; Gable, A.L.; Lyon, D.; Junge, A.; Wyder, S.; Huerta-Cepas, J.; Simonovic, M.; Doncheva, N.T.; Morris, J.H.; Bork, P.; et al. STRING v11: Protein-protein association networks with increased coverage, supporting functional discovery in genome-wide experimental datasets. Nucleic Acids Res. 2019, 47, D607–D613. [Google Scholar] [CrossRef] [Green Version]
- Lichtenthaler, H.K. Chlorophylls and carotenoids: Pigments of photosynthetic biomembranes. Methods Enzymol. 1987, 148, 350–382. [Google Scholar]








Publisher’s Note: MDPI stays neutral with regard to jurisdictional claims in published maps and institutional affiliations. |
© 2022 by the authors. Licensee MDPI, Basel, Switzerland. This article is an open access article distributed under the terms and conditions of the Creative Commons Attribution (CC BY) license (https://creativecommons.org/licenses/by/4.0/).
Share and Cite
Wang, J.; Zhao, P.; Cheng, B.; Zhang, Y.; Shen, Y.; Wang, X.; Zhang, Q.; Lou, Q.; Zhang, S.; Wang, B.; et al. Identification of TALE Transcription Factor Family and Expression Patterns Related to Fruit Chloroplast Development in Tomato (Solanum lycopersicum L.). Int. J. Mol. Sci. 2022, 23, 4507. https://doi.org/10.3390/ijms23094507
Wang J, Zhao P, Cheng B, Zhang Y, Shen Y, Wang X, Zhang Q, Lou Q, Zhang S, Wang B, et al. Identification of TALE Transcription Factor Family and Expression Patterns Related to Fruit Chloroplast Development in Tomato (Solanum lycopersicum L.). International Journal of Molecular Sciences. 2022; 23(9):4507. https://doi.org/10.3390/ijms23094507
Chicago/Turabian StyleWang, Jin, Pan Zhao, Baohui Cheng, Yanhong Zhang, Yuanbo Shen, Xinyu Wang, Qinghua Zhang, Qianqi Lou, Shijie Zhang, Bo Wang, and et al. 2022. "Identification of TALE Transcription Factor Family and Expression Patterns Related to Fruit Chloroplast Development in Tomato (Solanum lycopersicum L.)" International Journal of Molecular Sciences 23, no. 9: 4507. https://doi.org/10.3390/ijms23094507
APA StyleWang, J., Zhao, P., Cheng, B., Zhang, Y., Shen, Y., Wang, X., Zhang, Q., Lou, Q., Zhang, S., Wang, B., Qi, S., Li, Y., Islam, M. M., Muhammad, T., Zhang, F., & Liang, Y. (2022). Identification of TALE Transcription Factor Family and Expression Patterns Related to Fruit Chloroplast Development in Tomato (Solanum lycopersicum L.). International Journal of Molecular Sciences, 23(9), 4507. https://doi.org/10.3390/ijms23094507

