Sign in to use this feature.

Years

Between: -

Subjects

remove_circle_outline
remove_circle_outline
remove_circle_outline
remove_circle_outline
remove_circle_outline
remove_circle_outline
remove_circle_outline

Journals

Article Types

Countries / Regions

Search Results (29)

Search Parameters:
Keywords = Systemic Vasculitides

Order results
Result details
Results per page
Select all
Export citation of selected articles as:
12 pages, 822 KB  
Article
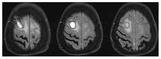
Analysis of Treatment Influence on Kidney Function and Brain Non-Contrast MRI Vascular Manifestations of Systemic ANCA-Associated Vasculitis with Renal Involvement
by Arkadiusz Lubas, Jacek Staszewski, Ksymena Leśniak, Grzegorz Spłocharski, Arkadiusz Zegadło, Artur Maliborski, Aleksander Dębiec, Julia Bryłowska, Tymoteusz Lubas and Stanisław Niemczyk
J. Clin. Med. 2026, 15(1), 58; https://doi.org/10.3390/jcm15010058 - 21 Dec 2025
Viewed by 227
Abstract
Background: Antineutrophil cytoplasmic antibody-associated systemic vasculitis (AAV) most often involves the kidneys, upper airways and lungs, and peripheral and central nervous systems (PNS, CNS). However, in contrast to PNS, the involvement of the CNS is rarely taken into account in the recognition [...] Read more.
Background: Antineutrophil cytoplasmic antibody-associated systemic vasculitis (AAV) most often involves the kidneys, upper airways and lungs, and peripheral and central nervous systems (PNS, CNS). However, in contrast to PNS, the involvement of the CNS is rarely taken into account in the recognition and assessment of systemic vasculitis, probably because of nonspecific symptoms such as headaches and dizziness, aphasia, memory disorders, or mood changes. In addition, it is not clear whether treatment of systemic vasculitides reduces cerebral vascular alterations. In this study, we aimed to evaluate the effects of AAV treatment on vascular and vasogenic alterations in the brain in patients with acute vasculitis onset with renal involvement. Methods: Twenty-nine patients (17F, 12M, age 60.4 ± 9.8) with AAV relapse with renal involvement were included in the study. The initial baseline assessment and the second evaluation, performed 12.6 ± 2.5 months after the beginning of immunosuppressive treatment, included clinical, neurological, and renal function assessments, along with a brain MRI. Results: Compared with baseline, improvement in clinical, neurological, and renal function was observed during the second clinical evaluation. A significant reduction in the occurrence of vascular dilatation and narrowing in secondary (37.9% vs. 17.2%; p = 0.031) and tertiary (37.9% vs. 10.3%; p = 0.008) cerebral vascular branches was observed. However, the number of vasogenic cerebral white matter lesions detected on the FLAIR sequence increased significantly (36.0 vs. 48.0%; p < 0.001). Conclusions: Intensive immunosuppressive treatment of acute-onset systemic AAV with renal involvement decreases disease activity, improves kidney function, and decreases central nervous system vascular but not vasogenic alterations. Full article
Show Figures

Figure 1

15 pages, 775 KB  
Article
A Novel Method for Assessing Sinusitis Activity in Minimally Symptomatic Patients with ANCA-Associated Vasculitis: A Pilot Study
by Michał S. Kaczmarczyk, Piotr Rot, Elżbieta Głuch, Maria Sobol, Arkadiusz Zegadło, Dariusz Jurkiewicz, Stanisław Niemczyk and Ksymena Leśniak
J. Clin. Med. 2025, 14(24), 8972; https://doi.org/10.3390/jcm14248972 - 18 Dec 2025
Viewed by 242
Abstract
Objectives: Antineutrophil cytoplasmic antibody (ANCA)-associated vasculitis (AAV) is a group of vasculitides sharing a common pathophysiology, which affects small and medium blood vessels. Sinonasal involvement is one of the most common manifestations of AAV. The goal of this study was to find [...] Read more.
Objectives: Antineutrophil cytoplasmic antibody (ANCA)-associated vasculitis (AAV) is a group of vasculitides sharing a common pathophysiology, which affects small and medium blood vessels. Sinonasal involvement is one of the most common manifestations of AAV. The goal of this study was to find the most suitable method to assess paranasal sinus changes in a group of patients with ANCA-associated vasculitis and renal involvement. Subjective scales like Lund–Mackay and Zinreich were compared with a three-dimensional (3D) volumetric method. Pre- and post-treatment computer tomography were compared. Methods: Computer tomography, nasal symptoms, and endoscopy of 28 patients hospitalized at the Department of Internal Diseases, Nephrology and Dialysis, Military Institute of Medicine—National Research Institute were assessed retrospectively. Paranasal sinus tomography was performed during treatment induction and after achieving disease remission (BVAS = 0) to assess treatment effectiveness. Radiological analysis was performed with the Lund–Mackay scoring system, Zinreich scoring system, and 3D volumetric scoring system with the usage of Slicer 3D analysis. The radiologic scoring systems were compared. Results: The statistically significant differences in treatment effectiveness were observed for the Zinreich scale on both the right and left side. Similar to the 3D volumetric scoring system, the right and left maxillary sinuses demonstrated statistically significant differences. On the other hand, no statistically significant differences were found between the first and second visits for the Lund–Mackay or total Global Osteitis scores on either side. The strongest correlation was achieved between the Zinreich scoring system and 3D volumetric scale. Conclusions: The three-dimensional CT volumetric analysis demonstrated higher SRM (standardized response mean) values than the Zinreich score on both sides, but the differences were not statistically significant. The Zinreich scoring system should be used instead of the Lund–Mackay scale in everyday clinical practice. Full article
(This article belongs to the Section Otolaryngology)
Show Figures

Figure 1

9 pages, 384 KB  
Article
Cognitive Impairment in ANCA-Associated Vasculitis: A Cross-Sectional Pilot Study
by Marion Camard, Ana Moises, Katia Bourdic, Laura Venditti, Christian Denier, Julien Henry, Raluca Sterpu, Perla David, Mathilde De Menthon, Olivier Lambotte, Anne-Cécile Petit, Matthias Babin, Nicolas Noel and Fanny Urbain
J. Clin. Med. 2025, 14(10), 3582; https://doi.org/10.3390/jcm14103582 - 20 May 2025
Cited by 1 | Viewed by 909
Abstract
Objectives: Antineutrophil cytoplasmic antibody (ANCA)-associated vasculitis (AAV) comprises rare systemic vasculitides that can present with cognitive dysfunction. However, data on the screening and characterization of cognitive dysfunction in AAV remain limited. Methods: Cognitive complaints in AAV patients were screened using self-report questionnaires. Objective [...] Read more.
Objectives: Antineutrophil cytoplasmic antibody (ANCA)-associated vasculitis (AAV) comprises rare systemic vasculitides that can present with cognitive dysfunction. However, data on the screening and characterization of cognitive dysfunction in AAV remain limited. Methods: Cognitive complaints in AAV patients were screened using self-report questionnaires. Objective cognitive impairment was assessed with a standardized neurocognitive test battery. Results were compared with clinical evaluations, brain MRI findings, treatment history, and neuropsychiatric symptoms. All test results were standardized for the overall population. Results: Twelve patients (five women, seven men) with a median [IQR] age of 68 [59–71] and a median [IQR] disease duration of 92 months [55–127] were included. None of the patients showed evidence of vasculitis activity on brain MRI. Cognition was assessed using a standardized neurocognitive test battery in all patients except one. Four patients (36%) were found to have cognitive impairment, defined as three or more altered tests. The most affected functions were attentional and executive, with the d2-R (4/4), Rey–Osterrieth Complex Figure Delayed Recall (3/4), and Trail Making Test Part B (3/4) showing the most frequent deficiencies. Objective cognitive disorders were not associated with self-reported cognitive complaints. No significant association was found between cognitive impairment and vasculitis activity or sequelae, corticosteroid and immunosuppressive treatments, or neuropsychiatric symptoms. Conclusions: This study highlights the presence of cognitive impairments in AAV, predominantly affecting attentional and executive functions, which may reflect vascular involvement. Early and tailored approaches to cognitive screening and management are essential to improve patient care and quality of life. Full article
(This article belongs to the Section Immunology & Rheumatology)
Show Figures

Figure 1

14 pages, 1938 KB  
Article
Urinary Kim-1 Correlates with Interstitial Nephritis Activity in Patients with Microscopic Polyangiitis
by Chisato Ashida, Yuji Nozaki, Jinhai Li, Hiroki Akazawa, Kazuya Kishimoto, Koji Kinoshita and Itaru Matsumura
Curr. Issues Mol. Biol. 2025, 47(3), 196; https://doi.org/10.3390/cimb47030196 - 16 Mar 2025
Cited by 1 | Viewed by 1066
Abstract
Background: Microscopic polyangiitis (MPA) is a type of necrotizing vasculitis that primarily affects small vessels and belongs to the spectrum of anti-neutrophil cytoplasmic antibody (ANCA)-associated vasculitides (AAVs). While previous studies have identified potential prognostic biomarkers, further research is needed to validate a reliable [...] Read more.
Background: Microscopic polyangiitis (MPA) is a type of necrotizing vasculitis that primarily affects small vessels and belongs to the spectrum of anti-neutrophil cytoplasmic antibody (ANCA)-associated vasculitides (AAVs). While previous studies have identified potential prognostic biomarkers, further research is needed to validate a reliable marker for risk stratification in clinical practice. Kidney injury molecule-1 (Kim-1), a transmembrane protein expressed on proximal tubular epithelial cells, has been implicated in tubular damage. This study investigated the potential of Kim-1 as a biomarker in MPA. Methods: Kidney biopsy tissues, along with urine and blood samples, were retrospectively analyzed from 52 MPA patients and compared to urine samples from 7 healthy controls. Global disease activity was assessed using the Birmingham vasculitis activity score (BVAS) and vasculitis damage index, while renal disease activity was evaluated using renal BVAS (BVAS-R). Results: Urinary Kim-1 levels were significantly elevated in MPA patients compared to healthy controls. Urinary Kim-1 was positively correlated with the Mayo Clinic Chronicity Score (MCCS) but not with the ANCA Kidney Risk Score (AKRiS), whereas tubular Kim-1 was associated with AKRiS but not with MCCS, indicating their distinct pathological significance. Higher tubular Kim-1 expression was observed in patients with elevated BVAS-R. Urinary Kim-1 levels correlated with proteinuria and were associated with the Mayo Clinic Chronicity Score (MCCS) and ANCA Kidney Risk Score (AKRiS) but not with glomerular lesion severity. Unlike C-reactive protein (CRP), neither urinary nor tubular Kim-1 predicted MPA recurrence. Conclusions: Urinary Kim-1 reflects histopathologic findings and renal impairment but does not predict systemic disease activity or recurrence in MPA, demonstrating its potential clinical utility as a biomarker for assessing chronic renal damage. Full article
Show Figures

Figure 1

22 pages, 2740 KB  
Review
Management of Coronary Artery Diseases in Systemic Vasculitides: Complications and Strategies
by Russka Shumnalieva, Niya Mileva, Ivan Padjen, Periklis Siliogkas, Lyubomir Chervenkov, Konstantina Bakopoulou, Issa El Kaouri, Anna Vasilska, Dimitrina Miteva, Dobrin Vassilev and Tsvetelina Velikova
Medicina 2024, 60(10), 1574; https://doi.org/10.3390/medicina60101574 - 25 Sep 2024
Viewed by 3202
Abstract
Coronary artery disease (CAD) presents a significant risk for patients with systemic vasculitides, a group of disorders characterized by the inflammation of blood vessels. In this review, we focus on the pathophysiological mechanisms, complications, and management strategies for CAD in systemic vasculitides. We [...] Read more.
Coronary artery disease (CAD) presents a significant risk for patients with systemic vasculitides, a group of disorders characterized by the inflammation of blood vessels. In this review, we focus on the pathophysiological mechanisms, complications, and management strategies for CAD in systemic vasculitides. We highlight how the inflammatory processes inherent in vasculitis contribute to accelerated atherosclerosis and myocardial ischemia. Key strategies in managing CAD in this patient population include using medicine treatments to mitigate vascular inflammation while balancing the risk of promoting cardiovascular events and lifestyle modifications. Understanding the nuanced relationship between systemic vasculitides and CAD is crucial for improving patient outcomes and guiding therapeutic approaches. Full article
(This article belongs to the Special Issue Early Diagnosis and Management of Coronary Artery Disease)
Show Figures

Figure 1

19 pages, 11928 KB  
Review
Cocaine- and Levamisole-Induced Vasculitis: Defining the Spectrum of Autoimmune Manifestations
by Luca Iorio, Federica Davanzo, Diego Cazzador, Marta Codirenzi, Eleonora Fiorin, Elisabetta Zanatta, Piero Nicolai, Andrea Doria and Roberto Padoan
J. Clin. Med. 2024, 13(17), 5116; https://doi.org/10.3390/jcm13175116 - 28 Aug 2024
Cited by 10 | Viewed by 19976
Abstract
Drug-induced or associated vasculitis is a prevalent form of vasculitis that resembles primary idiopathic antineutrophil cytoplasmic autoantibody (ANCA) vasculitis (AAV). Cocaine is a diffuse psychostimulant drug and levamisole is a synthetic compound used to cut cocaine. Their abuse may result in a spectrum [...] Read more.
Drug-induced or associated vasculitis is a prevalent form of vasculitis that resembles primary idiopathic antineutrophil cytoplasmic autoantibody (ANCA) vasculitis (AAV). Cocaine is a diffuse psychostimulant drug and levamisole is a synthetic compound used to cut cocaine. Their abuse may result in a spectrum of autoimmune manifestations which could be categorized into three overlapping clinical pictures: cocaine-induced midline destructive lesion (CIMDL), levamisole-adulterated cocaine (LAC) vasculopathy/vasculitis, and cocaine-induced vasculitis (CIV). The mechanisms by which cocaine use leads to disorders resembling AAV are not well understood. Cocaine can cause autoimmune manifestations ranging from localized nasal lesions to systemic diseases, with neutrophils playing a key role through NETosis and ANCA development, which exacerbates immune responses and tissue damage. Diagnosing and treating these conditions becomes challenging when cocaine and levamisole abuse is not suspected, due to the differences and overlaps in clinical, diagnostic, therapeutic, and prognostic aspects compared to primary idiopathic vasculitides. Full article
(This article belongs to the Special Issue Clinical Diagnosis and Treatment of Vasculitis and Arteritis)
Show Figures

Figure 1

20 pages, 5248 KB  
Review
Multi-Modality Imaging in Vasculitis
by Mohamed N. Allam, Nima Baba Ali, Ahmed K. Mahmoud, Isabel G. Scalia, Juan M. Farina, Mohammed Tiseer Abbas, Milagros Pereyra, Moaz A. Kamel, Kamal A. Awad, Yuxiang Wang, Timothy Barry, Steve S. Huang, Ba D. Nguyen, Ming Yang, Clinton E. Jokerst, Felipe Martinez, Chadi Ayoub and Reza Arsanjani
Diagnostics 2024, 14(8), 838; https://doi.org/10.3390/diagnostics14080838 - 18 Apr 2024
Cited by 13 | Viewed by 6406
Abstract
Systemic vasculitides are a rare and complex group of diseases that can affect multiple organ systems. Clinically, presentation may be vague and non-specific and as such, diagnosis and subsequent management are challenging. These entities are typically classified by the size of vessel involved, [...] Read more.
Systemic vasculitides are a rare and complex group of diseases that can affect multiple organ systems. Clinically, presentation may be vague and non-specific and as such, diagnosis and subsequent management are challenging. These entities are typically classified by the size of vessel involved, including large-vessel vasculitis (giant cell arteritis, Takayasu’s arteritis, and clinically isolated aortitis), medium-vessel vasculitis (including polyarteritis nodosa and Kawasaki disease), and small-vessel vasculitis (granulomatosis with polyangiitis and eosinophilic granulomatosis with polyangiitis). There are also other systemic vasculitides that do not fit in to these categories, such as Behcet’s disease, Cogan syndrome, and IgG4-related disease. Advances in medical imaging modalities have revolutionized the approach to diagnosis of these diseases. Specifically, color Doppler ultrasound, computed tomography and angiography, magnetic resonance imaging, positron emission tomography, or invasive catheterization as indicated have become fundamental in the work up of any patient with suspected systemic or localized vasculitis. This review presents the key diagnostic imaging modalities and their clinical utility in the evaluation of systemic vasculitis. Full article
(This article belongs to the Special Issue Recent Advances in the Diagnosis and Treatment of Vascular Diseases)
Show Figures

Figure 1

15 pages, 295 KB  
Review
New Biomarkers for Systemic Necrotizing Vasculitides
by Russka Shumnalieva, Plamena Ermencheva, Georgi Kotov, Iva Parvova-Hristova, Konstantina Bakopoulou, Issa El Kaouri, Niya Mileva and Tsvetelina Velikova
J. Clin. Med. 2024, 13(8), 2264; https://doi.org/10.3390/jcm13082264 - 13 Apr 2024
Cited by 4 | Viewed by 2508
Abstract
Systemic necrotising vasculitides (SNVs) pose significant challenges due to their diverse clinical manifestations and variable outcomes. Therefore, identifying reliable biomarkers holds promise for improving precision medicine in SNVs. This review explores emerging biomarkers aiming to enhance diagnostic accuracy, prognostic assessment, and disease monitoring. [...] Read more.
Systemic necrotising vasculitides (SNVs) pose significant challenges due to their diverse clinical manifestations and variable outcomes. Therefore, identifying reliable biomarkers holds promise for improving precision medicine in SNVs. This review explores emerging biomarkers aiming to enhance diagnostic accuracy, prognostic assessment, and disease monitoring. We discuss recent advances in immunological biomarkers, inflammatory indicators, and other parameters that exhibit potential diagnostic and prognostic utility. A comprehensive understanding of these biomarkers may facilitate earlier and more accurate SNV detection, aiding in timely intervention and personalized treatment strategies. Furthermore, we highlight the evolving landscape of disease monitoring through innovative biomarkers, shedding light on their dynamic roles in reflecting disease activity and treatment response. Integrating these novel biomarkers into clinical practice can revolutionize the management of SNVs, ultimately improving patient outcomes and quality of life. Full article
(This article belongs to the Special Issue Vasculitis in Adults and Children: Symptoms, Diagnosis and Treatment)
14 pages, 1372 KB  
Article
Serum Uric Acid Associates with Systemic Complement C3 Activation in Severe ANCA-Associated Renal Vasculitides
by Eva Baier, Ingmar Alexander Kluge, Samy Hakroush, Peter Korsten and Björn Tampe
Int. J. Mol. Sci. 2024, 25(2), 713; https://doi.org/10.3390/ijms25020713 - 5 Jan 2024
Cited by 3 | Viewed by 2046
Abstract
Involvement of the complement system is key to the pathogenesis of antineutrophil cytoplasmic antibody (ANCA)-associated renal vasculitis, but immunometabolic implications, especially on serum uric acid (UA) levels, still need to be elucidated. A total of 34 patients with biopsy-proven ANCA-associated renal vasculitis between [...] Read more.
Involvement of the complement system is key to the pathogenesis of antineutrophil cytoplasmic antibody (ANCA)-associated renal vasculitis, but immunometabolic implications, especially on serum uric acid (UA) levels, still need to be elucidated. A total of 34 patients with biopsy-proven ANCA-associated renal vasculitis between 2015 and 2020 were retrospectively enrolled. Serum UA levels were correlated with clinical and histopathological characteristics, separated for critically ill (CI, n = 19), myeloperoxidase (MPO)-ANCA (n = 21) and proteinase 3 (PR3)-ANCA (n = 13) subgroups. We here identified inverse correlations of serum UA levels and complement C3 levels in the total cohort (p = 0.005) and the CI subgroup (p < 0.001). Intrarenal complement C4d deposition in venules correlated with serum UA levels in the total cohort (p = 0.007) and in the CI subgroup (p = 0.016). Significant associations of serum UA levels and tubulitis in areas of scarred cortex (t-IFTA) were identified in the total cohort (p = 0.008), and both subgroups of CI (p = 0.034) and MPO-ANCA (p = 0.029). In PR3-ANCA, interstitial fibrosis (ci) was observed as the strongest association with serum UA levels (p = 0.022). Our observations broaden our current understanding of contributory metabolic factors that influence the initial disease course in ANCA-associated renal vasculitis. Full article
(This article belongs to the Special Issue Recent Advances in Autoimmune and Inflammatory Disorders)
Show Figures

Figure 1

18 pages, 4711 KB  
Review
Arterial Stiffness as a Surrogate Marker of Cardiovascular Disease and Atherosclerosis in Patients with Vasculitides: A Literature Review
by Konstantinos Triantafyllias, Leif-Erik Thiele, Anna Mandel, Lorenzo Cavagna, Xenofon Baraliakos, George Bertsias, Rebecca Hasseli, Pascal Minnich and Andreas Schwarting
Diagnostics 2023, 13(24), 3603; https://doi.org/10.3390/diagnostics13243603 - 5 Dec 2023
Cited by 9 | Viewed by 2912
Abstract
Vasculitis, a group of systemic inflammatory diseases that affect the cardiovascular (CV) system, presents with a variety of clinical manifestations that depend on the size of the affected blood vessels. While some types of vasculitis reveal distinct symptoms, others are characterized by more [...] Read more.
Vasculitis, a group of systemic inflammatory diseases that affect the cardiovascular (CV) system, presents with a variety of clinical manifestations that depend on the size of the affected blood vessels. While some types of vasculitis reveal distinct symptoms, others are characterized by more diffuse and nonspecific presentations that can result in delayed diagnosis and treatment initiation. Interestingly, patients with vasculitides share a significant comorbidity: an elevated CV risk, contributing to increased rates of CV events and mortality. This heightened risk is caused by cumulative inflammatory burden, traditional CV risk factors, medication effects, and reduced physical fitness. Traditional risk assessment tools, commonly used in the general population, frequently underestimate the CV risk in patients with inflammatory rheumatic conditions. Consequently, novel approaches are necessary to stratify the precise CV risk in vasculitis patients. A number of surrogate parameters for CV risk have been investigated, with arterial stiffness emerging as a promising marker. Pulse wave velocity (PWV) is a well-established method for assessing arterial stiffness and predicting CV risk across different populations. Among numerous PWV variants, carotid–femoral PWV (cfPWV) stands out as the most extensively studied and accepted reference standard. It has demonstrated its utility as a surrogate CV parameter both in the general population and in patients with systemic inflammatory rheumatic diseases. In recent years, research has expanded to assess arterial stiffness in systemic rheumatic diseases, such as arthritis, connective tissue diseases, rheumatologic overlap syndromes, and chronic pain disorders, using measurements of PWV and other markers of arterial compliance and elasticity. Despite burgeoning research in rheumatologic diseases, data on CV risk markers in vasculitides remain limited and fragmented. This narrative review aims to provide a comprehensive overview of arterial stiffness as a potential screening marker for CV diseases, atheromatosis, and ultimately CV risk among patients with vasculitides. Full article
Show Figures

Figure 1

21 pages, 392 KB  
Review
A Clinical and Pathophysiological Overview of Intestinal and Systemic Diseases Associated with Pancreatic Disorders: Causality or Casualty?
by Maria Cristina Conti Bellocchi, Stefano Francesco Crinò, Giulia De Marchi, Nicolò De Pretis, Andrew Ofosu, Federico Caldart, Rachele Ciccocioppo and Luca Frulloni
Biomedicines 2023, 11(5), 1393; https://doi.org/10.3390/biomedicines11051393 - 8 May 2023
Cited by 8 | Viewed by 3623
Abstract
The relationship between chronic intestinal disease, including inflammatory bowel disease (IBD) and celiac disease (CelD), and pancreatic disorders has been little investigated. Although an increased risk of acute pancreatitis (AP), exocrine pancreatic insufficiency with or without chronic pancreatitis, and chronic asymptomatic pancreatic hyperenzymemia [...] Read more.
The relationship between chronic intestinal disease, including inflammatory bowel disease (IBD) and celiac disease (CelD), and pancreatic disorders has been little investigated. Although an increased risk of acute pancreatitis (AP), exocrine pancreatic insufficiency with or without chronic pancreatitis, and chronic asymptomatic pancreatic hyperenzymemia have been described in these patients, the pathogenetic link remains unclear. It may potentially involve drugs, altered microcirculation, gut permeability/motility with disruption of enteric-mediated hormone secretion, bacterial translocation, and activation of the gut-associated lymphoid tissue related to chronic inflammation. In addition, the risk of pancreatic cancer seems to be increased in both IBD and CelD patients with unknown pathogenesis. Finally, other systemic conditions (e.g., IgG4-related disease, sarcoidosis, vasculitides) might affect pancreatic gland and the intestinal tract with various clinical manifestations. This review includes the current understandings of this enigmatic association, reporting a clinical and pathophysiological overview about this topic. Full article
(This article belongs to the Special Issue Diagnostic and Therapeutic Approach to Pancreatic Cancer)
13 pages, 1407 KB  
Review
Management of Severe Asthma in Eosinophilic Granulomatosis with Polyangiitis with Interleukin-5-Targeted Therapies: Current Status and Report of Two Cases
by Ciro Romano, Domenico Cozzolino, Ausilia Sellitto and Luca Rinaldi
Appl. Sci. 2022, 12(22), 11535; https://doi.org/10.3390/app122211535 - 14 Nov 2022
Cited by 2 | Viewed by 4082
Abstract
Eosinophilic granulomatosis with polyangiitis (EGPA) is a systemic disorder characterized by peripheral eosinophilia, severe eosinophilic asthma, sinusitis, transient pulmonary infiltrates, and features of medium/small-vessel vasculitis. EGPA belongs to the group of anti-neutrophil cytoplasm antibody (ANCA)-associated vasculitides, although only 30 to 40% of patients [...] Read more.
Eosinophilic granulomatosis with polyangiitis (EGPA) is a systemic disorder characterized by peripheral eosinophilia, severe eosinophilic asthma, sinusitis, transient pulmonary infiltrates, and features of medium/small-vessel vasculitis. EGPA belongs to the group of anti-neutrophil cytoplasm antibody (ANCA)-associated vasculitides, although only 30 to 40% of patients display ANCA positivity, which is mainly of myeloperoxidase (MPO) specificity. Particularly, ANCA-positive patients typically show vasculitic features. Interleukin (IL)-5 has been demonstrated to play a crucial role in determining eosinophilic airway inflammation in EGPA patients. Specifically, maturation, activation, and survival of eosinophils especially depend on IL-5 availability. Therefore, blocking IL-5 biological activity may be a rewarding strategy for control of eosinophilic inflammation. Several monoclonal antibodies with the ability to interfere with the biological activity of IL-5 have been developed, namely, mepolizumab, reslizumab, and benralizumab. Here, we discuss the role of these drugs in the management of severe eosinophilic asthma in the context of EGPA and report the outcome of two EGPA patients with severe eosinophilic asthma treated at our outpatient clinic. Full article
(This article belongs to the Special Issue Asthma and Respiratory Disease: Prediction, Diagnosis and Treatment)
Show Figures

Figure 1

17 pages, 1781 KB  
Review
Inflammatory Disorders of the Central Nervous System Vessels: Narrative Review
by Aleksandra Ekkert, Marta Šaulytė and Dalius Jatužis
Medicina 2022, 58(10), 1446; https://doi.org/10.3390/medicina58101446 - 13 Oct 2022
Cited by 7 | Viewed by 5805
Abstract
Inflammatory disorders of the central nervous system (CNS) vessels, also called CNS vasculitides, can cause substantial disability or even be fatal. Inflammation of the CNS vessels can be caused by primary angiitis of the CNS (PACNS), inflammatory cerebral amyloid angiopathy, or systemic inflammatory [...] Read more.
Inflammatory disorders of the central nervous system (CNS) vessels, also called CNS vasculitides, can cause substantial disability or even be fatal. Inflammation of the CNS vessels can be caused by primary angiitis of the CNS (PACNS), inflammatory cerebral amyloid angiopathy, or systemic inflammatory disorders. Clinical symptoms of these disorders are often non-specific, such as encephalopathy, cognitive and affective abnormalities, headache and focal neurological symptoms. Diagnostic workup includes a thorough neuropsychiatric examination, blood and cerebrospinal fluid analysis and magnetic resonance imaging (MRI) of the brain and its vessels. Biopsy of the brain remains the gold standard diagnostic test. Timely diagnosis and treatment initiation is of high importance, as it might prevent severe complications, such as ischemic and hemorrhagic stroke. In this review, we describe the specific characteristics of primary and secondary non-infectious CNS vasculitides which help to establish the diagnosis, discuss the peculiarities of the diagnostic workup and present current treatment recommendations. Full article
(This article belongs to the Section Neurology)
Show Figures

Figure 1

16 pages, 1311 KB  
Review
Type of ANCA May Be Indispensable in Distinguishing Subphenotypes of Different Clinical Entities in ANCA-Associated Vasculitis
by Afroditi Maria Konstantouli, Georgios Lioulios, Stamatia Stai, Eleni Moysidou, Asimina Fylaktou, Aikaterini Papagianni and Maria Stangou
Life 2022, 12(10), 1467; https://doi.org/10.3390/life12101467 - 21 Sep 2022
Cited by 6 | Viewed by 3526
Abstract
The traditional nomenclature system for classifying antineutrophil cytoplasmic antibody (ANCA)-associated vasculitides (AAV) based on clinical phenotype describes granulomatosis with polyangiitis (GPA), eosinophilic granulomatosis with polyangiitis (EGPA) and microscopic polyangiitis (MPA) as distinct clinical entities. This classification has proved its expedience in clinical trials [...] Read more.
The traditional nomenclature system for classifying antineutrophil cytoplasmic antibody (ANCA)-associated vasculitides (AAV) based on clinical phenotype describes granulomatosis with polyangiitis (GPA), eosinophilic granulomatosis with polyangiitis (EGPA) and microscopic polyangiitis (MPA) as distinct clinical entities. This classification has proved its expedience in clinical trials and everyday clinical practice; yet, a substantial overlap in clinical presentation still exists and often causes difficulties in prompt definition and clinical distinction. Additionally, new insights into the AAV pathogenesis point out that PR3 and MPO-AAV may not represent expressions of the same disease spectrum but rather two distinct disorders, as they display significant differences. Thus, it is supported that a classification based on ANCA serotype (PR3-ANCA, MPO-ANCA or ANCA-negative) could be more accurate and also closer to the nature of the disease compared to the phenotype-based one. This review aims to elucidate the major differences between PR3 and MPO-AAV in terms of epidemiology, pathogenesis, histological and clinical manifestations and response to therapeutic approaches. Full article
(This article belongs to the Section Medical Research)
Show Figures

Figure 1

9 pages, 574 KB  
Review
Isolated Central Nervous System Vasculitides in COVID-19: A Systematic Review of Case Reports and Series
by Domizia Vecchio, Francesca Moretto, Samuel Padelli, Francesca Grossi, Roberto Cantello and Rosanna Vaschetto
Reports 2022, 5(3), 36; https://doi.org/10.3390/reports5030036 - 6 Sep 2022
Cited by 2 | Viewed by 3554
Abstract
Cerebral vasculitides, both isolated or in systemic disorders, could be triggered by infections, and few cases have been associated to coronavirus disease 2019 (COVID-19). This study searched for publications in Pubmed, EMBASE, and Cochrane library databases for case reports and series of isolated [...] Read more.
Cerebral vasculitides, both isolated or in systemic disorders, could be triggered by infections, and few cases have been associated to coronavirus disease 2019 (COVID-19). This study searched for publications in Pubmed, EMBASE, and Cochrane library databases for case reports and series of isolated central nervous system (CNS) vasculitides triggered by severe acute respiratory syndrome coronavirus-2. We included 12 studies (published from June 2020 to July 2022) and collected 39 adult patients (5/39 pathologically or radiologically proven, 34/39 suggestive for primary CNS vasculitis or PCNSV). All cases had a positive real-time polymerase chain reaction on a nasopharyngeal swab or a respiratory tract specimen. About the 85% of the included cases were males, and disease onset occurred later than 50 years old in all but three subjects. In total, 33/39 patients presented severe COVID-19 pneumonia, frequently requiring intensive care unit care. The most common neurological features were headache, obnubilation, and coma. PCNSV was suspected mainly on radiological findings, whereas the cerebrospinal fluid analysis was minimally altered. Magnetic resonance imaging showed vessel wall enhancement in 32/39 cases, generally with the concomitant presence of microbleeds, subarachnoid haemorrhages, and/or multiple ischemic lesions. Despite the severe respiratory and neurological disease course, most cases (93%) improved spontaneously or after a course of high-dose intravenous steroids with no need for immunosuppression. In conclusion, PCNSV could rarely relate to COVID-19 and independently from pulmonary disease severity. Adults with COVID-19-related PCNSV could have a favourable prognosis. Full article
(This article belongs to the Special Issue Novel Aspects of COVID-19 after a Four-Year Pandemic)
Show Figures

Graphical abstract

Back to TopTop