Sign in to use this feature.

Years

Between: -

Subjects

remove_circle_outline
remove_circle_outline
remove_circle_outline
remove_circle_outline
remove_circle_outline

Journals

Article Types

Countries / Regions

Search Results (17)

Search Parameters:
Keywords = Sparse Auto Encoder (SAE)

Order results
Result details
Results per page
Select all
Export citation of selected articles as:
30 pages, 2511 KB  
Article
Reliable Vehicle Routing Problem Using Traffic Sensors Augmented Information
by Ahmed Almutairi and Mahmoud Owais
Sensors 2025, 25(7), 2262; https://doi.org/10.3390/s25072262 - 3 Apr 2025
Cited by 15 | Viewed by 2554
Abstract
The stochastic routing transportation network problem presents significant challenges due to uncertainty in travel times, real-time variability, and limited sensor data availability. Traditional adaptive routing strategies, which rely on real-time travel time updates, may lead to suboptimal decisions due to dynamic traffic fluctuations. [...] Read more.
The stochastic routing transportation network problem presents significant challenges due to uncertainty in travel times, real-time variability, and limited sensor data availability. Traditional adaptive routing strategies, which rely on real-time travel time updates, may lead to suboptimal decisions due to dynamic traffic fluctuations. This study introduces a novel routing framework that integrates traffic sensor data augmentation and deep learning techniques to improve the reliability of route selection and network observability. The proposed methodology consists of four components: stochastic traffic assignment, multi-objective route generation, optimal traffic sensor location selection, and deep learning-based traffic flow estimation. The framework employs a traffic sensor location problem formulation to determine the minimum required sensor deployment while ensuring an accurate network-wide traffic estimation. A Stacked Sparse Auto-Encoder (SAE) deep learning model is then used to infer unobserved link flows, enhancing the observability of stochastic traffic conditions. By addressing the gap between limited sensor availability and complete network observability, this study offers a scalable and cost-effective solution for real-time traffic management and vehicle routing optimization. The results confirm that the proposed data-driven approach significantly reduces the need for sensor deployment while maintaining high accuracy in traffic flow predictions. Full article
(This article belongs to the Special Issue Data and Network Analytics in Transportation Systems)
Show Figures

Figure 1

26 pages, 15019 KB  
Article
Out-of-Roundness Wheel Damage Identification in Railway Vehicles Using AutoEncoder Models
by Renato Melo, Rafaelle Finotti, António Guedes, Vítor Gonçalves, Andreia Meixedo, Diogo Ribeiro, Flávio Barbosa and Alexandre Cury
Appl. Sci. 2025, 15(5), 2662; https://doi.org/10.3390/app15052662 - 1 Mar 2025
Cited by 1 | Viewed by 1533
Abstract
This study presents a comparative analysis of three AutoEncoder (AE) models—Variational AutoEncoder (VAE), Sparse AutoEncoder (SAE), and Convolutional AutoEncoder (CAE)—to detect and quantify structural anomalies in railway vehicle wheels, such as polygonization. Vertical acceleration data from a virtual wayside monitoring system serve as [...] Read more.
This study presents a comparative analysis of three AutoEncoder (AE) models—Variational AutoEncoder (VAE), Sparse AutoEncoder (SAE), and Convolutional AutoEncoder (CAE)—to detect and quantify structural anomalies in railway vehicle wheels, such as polygonization. Vertical acceleration data from a virtual wayside monitoring system serve as input for training the AE models, which are coupled with Hotelling’s T2 Control Charts to differentiate normal and abnormal railway component behaviors. The results indicate that the SAE-T2 model outperforms its counterparts, achieving 16.67% higher accuracy than the CAE-T2 model in identifying distinct structural conditions, although with a 35.78% higher computational cost. Conversely, the VAE-T2 model is outperformed in 100% of the analyzed scenarios when compared to SAE-T2 in identifying distinct structural conditions while also exhibiting a 21.97% higher average computational cost. Across all scenarios, the SAE-T2 methodology consistently provided better classifications of wheel damage, showing its capability to extract relevant features from dynamic signals for Structural Health Monitoring (SHM) applications. These findings highlight SAE’s potential as an interesting tool for predictive maintenance, offering improved efficiency and safety in railway operations. Full article
(This article belongs to the Section Civil Engineering)
Show Figures

Figure 1

19 pages, 1493 KB  
Article
A Multi-Branch Deep Feature Fusion Network with SAE for Rare Earth Extraction Process Simulation
by Fangping Xu, Jianyong Zhu and Wei Wang
Processes 2024, 12(12), 2861; https://doi.org/10.3390/pr12122861 - 13 Dec 2024
Cited by 1 | Viewed by 1173
Abstract
The Rare Earth Extraction Process (REEP) model is difficult to accurately establish via the extraction mechanism method due to its high complexity. This paper proposes a multi-branch deep feature fusion network with SAE (SAE-MBDFFN) for modeling REEP. We first design a neural network [...] Read more.
The Rare Earth Extraction Process (REEP) model is difficult to accurately establish via the extraction mechanism method due to its high complexity. This paper proposes a multi-branch deep feature fusion network with SAE (SAE-MBDFFN) for modeling REEP. We first design a neural network with a multi-branch output structure to simulate the cascade REEP by introducing a multiscale feature fusion mechanism, which can simultaneously concatenate hidden features, original features, and inter-branch coupling features. In order to deal with insufficient labeled data during model training, we then adopt a stacked Sparse Auto-Encoder (SAE) technology to extract the hidden information of mass unlabeled data based on unsupervised learning. This technology can determine the initial parameters of SAE-MBDFFN by unsupervised pretraining. The design methodology of the network is well-founded. Experiments on industrial data indicate that the proposed method has the lowest initial loss value and a faster convergence rate in the fine-tuning stage than other comparison methods, while the prediction accuracy is better well. These results show the effectiveness of the proposed method. Full article
(This article belongs to the Section Process Control and Monitoring)
Show Figures

Figure 1

21 pages, 6074 KB  
Article
Guided Filtered Sparse Auto-Encoder for Accurate Crop Mapping from Multitemporal and Multispectral Imagery
by Masoumeh Hamidi, Abdolreza Safari, Saeid Homayouni and Hadiseh Hasani
Agronomy 2022, 12(11), 2615; https://doi.org/10.3390/agronomy12112615 - 24 Oct 2022
Cited by 5 | Viewed by 2378
Abstract
Accurate crop mapping is a fundamental requirement in various agricultural applications, such as inventory, yield modeling, and resource management. However, it is challenging due to crop fields’ high spectral, spatial, and temporal variabilities. New technology in space-borne Earth observation systems has provided high [...] Read more.
Accurate crop mapping is a fundamental requirement in various agricultural applications, such as inventory, yield modeling, and resource management. However, it is challenging due to crop fields’ high spectral, spatial, and temporal variabilities. New technology in space-borne Earth observation systems has provided high spatial and temporal resolution image data as a valuable source of information, which can produce accurate crop maps through efficient analytical approaches. Spatial information has high importance in accurate crop mapping; a Window-based strategy is a common way to extract spatial information by considering neighbourhood information. However, crop field boundaries implicitly exist in image data and can be more helpful in identifying different crop types. This study proposes Guided Filtered Sparse Auto-Encoder (GFSAE) as a deep learning framework guided implicitly with field boundary information to produce accurate crop maps. The proposed GFSAE was evaluated over two time-series datasets of high-resolution PlanetScope (3 m) and RapidEye (5 m) imagery, and the results were compared against the usual Sparse Auto Encoder (SAE). The results show impressive improvements in terms of all performance metrics for both datasets (namely 3.69% in Overal Accuracy, 0.04 in Kappa, and 4.15% in F-score for the PlanetScope dataset, and 3.71% in OA, 0.05 in K, and 1.61% in F-score for RapidEye dataset). Comparing accuracy metrics in field boundary areas has also proved the superiority of GFSAE over the original classifier in classifying these areas. It is also appropriate to be used in field boundary delineation applications. Full article
(This article belongs to the Special Issue Applications of Deep Learning in Smart Agriculture)
Show Figures

Figure 1

27 pages, 1643 KB  
Article
An Artificial Neural Network for Lightning Prediction Based on Atmospheric Electric Field Observations
by Riyang Bao, Yaping Zhang, Benedict J. Ma, Zhuoyu Zhang and Zhenghao He
Remote Sens. 2022, 14(17), 4131; https://doi.org/10.3390/rs14174131 - 23 Aug 2022
Cited by 19 | Viewed by 4967
Abstract
Measuring the atmospheric electric field is of crucial importance for studying the discharge phenomena of thunderstorm clouds. If one is used to indicate the occurrence of a lightning event and zero to indicate the non-occurrence of the event, then a binary classification problem [...] Read more.
Measuring the atmospheric electric field is of crucial importance for studying the discharge phenomena of thunderstorm clouds. If one is used to indicate the occurrence of a lightning event and zero to indicate the non-occurrence of the event, then a binary classification problem needs to be solved. Based on the established database of weather samples, we designed a lightning prediction system using deep learning techniques. First, the features of time-series data from multiple electric field measurement sites are extracted by a sparse auto encoder (SAE) to construct a visual picture, and a binary prediction of whether lightning occurs at a specific time interval is obtained based on the improved ResNet50. Then, the central location of lightning flashes is located based on the extracted features using a multilayer perceptron (MLP) model. The performance of the method yields satisfactory results with 88.2% accuracy, 92.2% precision rate, 81.5% recall rate, and 86.4% F1-score for weather samples, which is a significant improvement over traditional methods. Multiple spatial localization results for several minutes before and after can be used to know the specific area where lightning is likely to occur. All the above methods passed the reliability and robustness tests, and the experimental results demonstrate the effectiveness and superiority of the model in lightning short-time proximity warning. Full article
(This article belongs to the Special Issue Urban Sensing Methods and Technologies)
Show Figures

Figure 1

19 pages, 6908 KB  
Article
Reverse Image Search Using Deep Unsupervised Generative Learning and Deep Convolutional Neural Network
by Aqsa Kiran, Shahzad Ahmad Qureshi, Asifullah Khan, Sajid Mahmood, Muhammad Idrees, Aqsa Saeed, Muhammad Assam, Mohamad Reda A. Refaai and Abdullah Mohamed
Appl. Sci. 2022, 12(10), 4943; https://doi.org/10.3390/app12104943 - 13 May 2022
Cited by 5 | Viewed by 7077
Abstract
Reverse image search has been a vital and emerging research area of information retrieval. One of the primary research foci of information retrieval is to increase the space and computational efficiency by converting a large image database into an efficiently computed feature database. [...] Read more.
Reverse image search has been a vital and emerging research area of information retrieval. One of the primary research foci of information retrieval is to increase the space and computational efficiency by converting a large image database into an efficiently computed feature database. This paper proposes a novel deep learning-based methodology, which captures channel-wise, low-level details of each image. In the first phase, sparse auto-encoder (SAE), a deep generative model, is applied to RGB channels of each image for unsupervised representational learning. In the second phase, transfer learning is utilized by using VGG-16, a variant of deep convolutional neural network (CNN). The output of SAE combined with the original RGB channel is forwarded to VGG-16, thereby producing a more effective feature database by the ensemble/collaboration of two effective models. The proposed method provides an information rich feature space that is a reduced dimensionality representation of the image database. Experiments are performed on a hybrid dataset that is developed by combining three standard publicly available datasets. The proposed approach has a retrieval accuracy (precision) of 98.46%, without using the metadata of images, by using a cosine similarity measure between the query image and the image database. Additionally, to further validate the proposed methodology’s effectiveness, image quality has been degraded by adding 5% noise (Speckle, Gaussian, and Salt pepper noise types) in the hybrid dataset. Retrieval accuracy has generally been found to be 97% for different variants of noise Full article
(This article belongs to the Special Issue Computational Sensing and Imaging)
Show Figures

Figure 1

19 pages, 6161 KB  
Article
A New Fusion Fault Diagnosis Method for Fiber Optic Gyroscopes
by Wanpeng Zhang, Dailin Zhang, Peng Zhang and Lei Han
Sensors 2022, 22(8), 2877; https://doi.org/10.3390/s22082877 - 8 Apr 2022
Cited by 8 | Viewed by 3458
Abstract
The fiber optic gyroscope (FOG) is a high precision inertial navigation device, and it is necessary to ensure its reliability for effective use. However, the extracted fault features are easily distorted due to the interference of vibrations when the FOG is in operation. [...] Read more.
The fiber optic gyroscope (FOG) is a high precision inertial navigation device, and it is necessary to ensure its reliability for effective use. However, the extracted fault features are easily distorted due to the interference of vibrations when the FOG is in operation. In order to minimize the influence of vibrations to the greatest extent, a fusion diagnosis method was proposed in this paper. It extracted features from fault data with Fast Fourier Transform (FFT) and wavelet packet decomposition (WPD), and built a strong diagnostic classifier with a sparse auto encoder (SAE) and a neural network (NN). Then, a fusion neural network model was established based on the diagnostic output probabilities of the two primary classifiers, which improved the diagnostic accuracy and the anti-vibration capability. Then, five fault types of the FOG under random vibration conditions were established. Fault data sets were collected and generated for experimental comparison with other methods. The results showed that the proposed fusion fault diagnosis method could perform effective and robust fault diagnosis for the FOG under vibration conditions with a high diagnostic accuracy. Full article
(This article belongs to the Special Issue Artificial Intelligence for Fault Diagnostics and Prognostics)
Show Figures

Figure 1

18 pages, 2634 KB  
Article
Harris Hawks Sparse Auto-Encoder Networks for Automatic Speech Recognition System
by Mohammed Hasan Ali, Mustafa Musa Jaber, Sura Khalil Abd, Amjad Rehman, Mazhar Javed Awan, Daiva Vitkutė-Adžgauskienė, Robertas Damaševičius and Saeed Ali Bahaj
Appl. Sci. 2022, 12(3), 1091; https://doi.org/10.3390/app12031091 - 21 Jan 2022
Cited by 35 | Viewed by 4970
Abstract
Automatic speech recognition (ASR) is an effective technique that can convert human speech into text format or computer actions. ASR systems are widely used in smart appliances, smart homes, and biometric systems. Signal processing and machine learning techniques are incorporated to recognize speech. [...] Read more.
Automatic speech recognition (ASR) is an effective technique that can convert human speech into text format or computer actions. ASR systems are widely used in smart appliances, smart homes, and biometric systems. Signal processing and machine learning techniques are incorporated to recognize speech. However, traditional systems have low performance due to a noisy environment. In addition to this, accents and local differences negatively affect the ASR system’s performance while analyzing speech signals. A precise speech recognition system was developed to improve the system performance to overcome these issues. This paper uses speech information from jim-schwoebel voice datasets processed by Mel-frequency cepstral coefficients (MFCCs). The MFCC algorithm extracts the valuable features that are used to recognize speech. Here, a sparse auto-encoder (SAE) neural network is used to classify the model, and the hidden Markov model (HMM) is used to decide on the speech recognition. The network performance is optimized by applying the Harris Hawks optimization (HHO) algorithm to fine-tune the network parameter. The fine-tuned network can effectively recognize speech in a noisy environment. Full article
(This article belongs to the Special Issue Automatic Speech Recognition)
Show Figures

Figure 1

18 pages, 8154 KB  
Article
Numerical and Experimental Evaluation of Structural Changes Using Sparse Auto-Encoders and SVM Applied to Dynamic Responses
by Rafaelle Piazzaroli Finotti, Flávio de Souza Barbosa, Alexandre Abrahão Cury and Roberto Leal Pimentel
Appl. Sci. 2021, 11(24), 11965; https://doi.org/10.3390/app112411965 - 16 Dec 2021
Cited by 24 | Viewed by 3455
Abstract
The present work evaluates the deep learning algorithm called Sparse Auto-Encoder (SAE) when applied to the characterization of structural anomalies. This study explores the SAE’s performance in a supervised damage detection approach to consolidate its application in the Structural Health Monitoring (SHM) field, [...] Read more.
The present work evaluates the deep learning algorithm called Sparse Auto-Encoder (SAE) when applied to the characterization of structural anomalies. This study explores the SAE’s performance in a supervised damage detection approach to consolidate its application in the Structural Health Monitoring (SHM) field, especially when dealing with real-case structures. The main idea is to use the SAE to extract relevant features from the monitored signals and the well-known Support Vector Machine (SVM) to classify such characteristics within the context of an SHM problem. Vibration data from a numerical beam model and a highway viaduct in Brazil are considered to assess the proposed approach. In both analyzed examples, the efficiency of the implemented methodology achieved more than 99% of correct damage structural classifications, supporting the conclusion that SAE can extract relevant characteristics from dynamic signals that are useful for SHM applications. Full article
Show Figures

Figure 1

22 pages, 4242 KB  
Article
Crop Classification Using MSCDN Classifier and Sparse Auto-Encoders with Non-Negativity Constraints for Multi-Temporal, Quad-Pol SAR Data
by Wei-Tao Zhang, Min Wang, Jiao Guo and Shun-Tian Lou
Remote Sens. 2021, 13(14), 2749; https://doi.org/10.3390/rs13142749 - 13 Jul 2021
Cited by 19 | Viewed by 3212
Abstract
Accurate and reliable crop classification information is a significant data source for agricultural monitoring and food security evaluation research. It is well-known that polarimetric synthetic aperture radar (PolSAR) data provides ample information for crop classification. Moreover, multi-temporal PolSAR data can further increase classification [...] Read more.
Accurate and reliable crop classification information is a significant data source for agricultural monitoring and food security evaluation research. It is well-known that polarimetric synthetic aperture radar (PolSAR) data provides ample information for crop classification. Moreover, multi-temporal PolSAR data can further increase classification accuracies since the crops show different external forms as they grow up. In this paper, we distinguish the crop types with multi-temporal PolSAR data. First, due to the “dimension disaster” of multi-temporal PolSAR data caused by excessive scattering parameters, a neural network of sparse auto-encoder with non-negativity constraint (NC-SAE) was employed to compress the data, yielding efficient features for accurate classification. Second, a novel crop discrimination network with multi-scale features (MSCDN) was constructed to improve the classification performance, which is proved to be superior to the popular classifiers of convolutional neural networks (CNN) and support vector machine (SVM). The performances of the proposed method were evaluated and compared with the traditional methods by using simulated Sentinel-1 data provided by European Space Agency (ESA). For the final classification results of the proposed method, its overall accuracy and kappa coefficient reaches 99.33% and 99.19%, respectively, which were almost 5% and 6% higher than the CNN method. The classification results indicate that the proposed methodology is promising for practical use in agricultural applications. Full article
Show Figures

Graphical abstract

20 pages, 8311 KB  
Article
Unsupervised 3D Motion Summarization Using Stacked Auto-Encoders
by Eftychios Protopapadakis, Ioannis Rallis, Anastasios Doulamis, Nikolaos Doulamis and Athanasios Voulodimos
Appl. Sci. 2020, 10(22), 8226; https://doi.org/10.3390/app10228226 - 20 Nov 2020
Cited by 4 | Viewed by 2459
Abstract
In this paper, a deep stacked auto-encoder (SAE) scheme followed by a hierarchical Sparse Modeling for Representative Selection (SMRS) algorithm is proposed to summarize dance video sequences, recorded using the VICON Motion capturing system. SAE’s main task is to reduce the redundant information [...] Read more.
In this paper, a deep stacked auto-encoder (SAE) scheme followed by a hierarchical Sparse Modeling for Representative Selection (SMRS) algorithm is proposed to summarize dance video sequences, recorded using the VICON Motion capturing system. SAE’s main task is to reduce the redundant information embedding in the raw data and, thus, to improve summarization performance. This becomes apparent when two dancers are performing simultaneously and severe errors are encountered in the humans’ point joints, due to dancers’ occlusions in the 3D space. Four summarization algorithms are applied to extract the key frames; density based, Kennard Stone, conventional SMRS and its hierarchical scheme called H-SMRS. Experimental results have been carried out on real-life dance sequences of Greek traditional dances while the results have been compared against ground truth data selected by dance experts. The results indicate that H-SMRS being applied after the SAE information reduction module extracts key frames which are deviated in time less than 0.3 s to the ones selected by the experts and with a standard deviation of 0.18 s. Thus, the proposed scheme can effectively represent the content of the dance sequence. Full article
(This article belongs to the Special Issue Computer Graphics and Virtual Reality)
Show Figures

Figure 1

21 pages, 3409 KB  
Article
A Novel Framework Using Deep Auto-Encoders Based Linear Model for Data Classification
by Ahmad M. Karim, Hilal Kaya, Mehmet Serdar Güzel, Mehmet R. Tolun, Fatih V. Çelebi and Alok Mishra
Sensors 2020, 20(21), 6378; https://doi.org/10.3390/s20216378 - 9 Nov 2020
Cited by 20 | Viewed by 4432
Abstract
This paper proposes a novel data classification framework, combining sparse auto-encoders (SAEs) and a post-processing system consisting of a linear system model relying on Particle Swarm Optimization (PSO) algorithm. All the sensitive and high-level features are extracted by using the first auto-encoder which [...] Read more.
This paper proposes a novel data classification framework, combining sparse auto-encoders (SAEs) and a post-processing system consisting of a linear system model relying on Particle Swarm Optimization (PSO) algorithm. All the sensitive and high-level features are extracted by using the first auto-encoder which is wired to the second auto-encoder, followed by a Softmax function layer to classify the extracted features obtained from the second layer. The two auto-encoders and the Softmax classifier are stacked in order to be trained in a supervised approach using the well-known backpropagation algorithm to enhance the performance of the neural network. Afterwards, the linear model transforms the calculated output of the deep stacked sparse auto-encoder to a value close to the anticipated output. This simple transformation increases the overall data classification performance of the stacked sparse auto-encoder architecture. The PSO algorithm allows the estimation of the parameters of the linear model in a metaheuristic policy. The proposed framework is validated by using three public datasets, which present promising results when compared with the current literature. Furthermore, the framework can be applied to any data classification problem by considering minor updates such as altering some parameters including input features, hidden neurons and output classes. Full article
Show Figures

Figure 1

26 pages, 41562 KB  
Article
Feature Dimension Reduction Using Stacked Sparse Auto-Encoders for Crop Classification with Multi-Temporal, Quad-Pol SAR Data
by Jiao Guo, Henghui Li, Jifeng Ning, Wenting Han, Weitao Zhang and Zheng-Shu Zhou
Remote Sens. 2020, 12(2), 321; https://doi.org/10.3390/rs12020321 - 18 Jan 2020
Cited by 39 | Viewed by 5903
Abstract
Crop classification in agriculture is one of important applications for polarimetric synthetic aperture radar (PolSAR) data. For agricultural crop discrimination, compared with single-temporal data, multi-temporal data can dramatically increase crop classification accuracies since the same crop shows different external phenomena as it grows [...] Read more.
Crop classification in agriculture is one of important applications for polarimetric synthetic aperture radar (PolSAR) data. For agricultural crop discrimination, compared with single-temporal data, multi-temporal data can dramatically increase crop classification accuracies since the same crop shows different external phenomena as it grows up. In practice, the utilization of multi-temporal data encounters a serious problem known as a “dimension disaster”. Aiming to solve this problem and raise the classification accuracy, this study developed a feature dimension reduction method using stacked sparse auto-encoders (S-SAEs) for crop classification. First, various incoherent scattering decomposition algorithms were employed to extract a variety of detailed and quantitative parameters from multi-temporal PolSAR data. Second, based on analyzing the configuration and main parameters for constructing an S-SAE, a three-hidden-layer S-SAE network was built to reduce the dimensionality and extract effective features to manage the “dimension disaster” caused by excessive scattering parameters, especially for multi-temporal, quad-pol SAR images. Third, a convolutional neural network (CNN) was constructed and employed to further enhance the crop classification performance. Finally, the performances of the proposed strategy were assessed with the simulated multi-temporal Sentinel-1 data for two experimental sites established by the European Space Agency (ESA). The experimental results showed that the overall accuracy with the proposed method was raised by at least 17% compared with the long short-term memory (LSTM) method in the case of a 1% training ratio. Meanwhile, for a CNN classifier, the overall accuracy was almost 4% higher than those of the principle component analysis (PCA) and locally linear embedded (LLE) methods. The comparison studies clearly demonstrated the advantage of the proposed multi-temporal crop classification methodology in terms of classification accuracy, even with small training ratios. Full article
(This article belongs to the Section Remote Sensing in Agriculture and Vegetation)
Show Figures

Figure 1

21 pages, 7871 KB  
Article
A Novel Method for Intelligent Single Fault Detection of Bearings Using SAE and Improved D–S Evidence Theory
by Jianguang Lu, Huan Zhang and Xianghong Tang
Entropy 2019, 21(7), 687; https://doi.org/10.3390/e21070687 - 13 Jul 2019
Cited by 12 | Viewed by 3394
Abstract
In order to realize single fault detection (SFD) from the multi-fault coupling bearing data and further research on the multi-fault situation of bearings, this paper proposes a method based on features self-extraction of a Sparse Auto-Encoder (SAE) and results fusion of improved Dempster–Shafer [...] Read more.
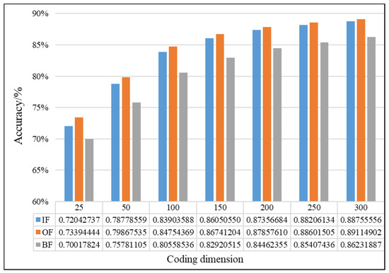
In order to realize single fault detection (SFD) from the multi-fault coupling bearing data and further research on the multi-fault situation of bearings, this paper proposes a method based on features self-extraction of a Sparse Auto-Encoder (SAE) and results fusion of improved Dempster–Shafer evidence theory (D–S). Multi-fault signal compression features of bearings were extracted by SAE on multiple vibration sensors’ data. Data sets were constructed by the extracted compression features to train the Support Vector Machine (SVM) according to the rule of single fault detection (R-SFD) this paper proposed. Fault detection results were obtained by the improved D–S evidence theory, which was implemented via correcting the 0 factor in the Basic Probability Assignment (BPA) and modifying the evidence weight by Pearson Correlation Coefficient (PCC). Extensive evaluations of the proposed method on the experiment platform datasets showed that the proposed method could realize single fault detection from multi-fault bearings. Fault detection accuracy increases as the output feature dimension of SAE increases; when the feature dimension reached 200, the average detection accuracy of the three sensors for bearing inner, outer, and ball faults achieved 87.36%, 87.86% and 84.46%, respectively. The three types’ fault detection accuracy—reached to 99.12%, 99.33% and 98.46% by the improved Dempster–Shafer evidence theory (IDS) to fuse the sensors’ results—is respectively 0.38%, 2.06% and 0.76% higher than the traditional D–S evidence theory. That indicated the effectiveness of improving the D–S evidence theory by evidence weight calculation of PCC. Full article
Show Figures

Figure 1

17 pages, 3639 KB  
Article
Time-Series Chlorophyll Fluorescence Imaging Reveals Dynamic Photosynthetic Fingerprints of sos Mutants to Drought Stress
by Dawei Sun, Yueming Zhu, Haixia Xu, Yong He and Haiyan Cen
Sensors 2019, 19(12), 2649; https://doi.org/10.3390/s19122649 - 12 Jun 2019
Cited by 28 | Viewed by 5591
Abstract
Resistance to drought stress is one of the most favorable traits in breeding programs yet drought stress is one of the most poorly addressed biological processes for both phenomics and genetics. In this study, we investigated the potential of using a time-series chlorophyll [...] Read more.
Resistance to drought stress is one of the most favorable traits in breeding programs yet drought stress is one of the most poorly addressed biological processes for both phenomics and genetics. In this study, we investigated the potential of using a time-series chlorophyll fluorescence (ChlF) analysis to dissect the ChlF fingerprints of salt overly sensitive (SOS) mutants under drought stress. Principle component analysis (PCA) was used to identify a shifting pattern of different genotypes including sos mutants and wild type (WT) Col-0. A time-series deep-learning algorithm, sparse auto encoders (SAEs) neural network, was applied to extract time-series ChlF features which were used in four classification models including linear discriminant analysis (LDA), k-nearest neighbor classifier (KNN), Gaussian naive Bayes (NB) and support vector machine (SVM). The results showed that the discrimination accuracy of sos mutants SOS1-1, SOS2-3, and wild type Col-0 reached 95% with LDA classification model. Sequential forward selection (SFS) algorithm was used to obtain ChlF fingerprints of the shifting pattern, which could address the response of sos mutants and Col-0 to drought stress over time. Parameters including QY, NPQ and Fm, etc. were significantly different between sos mutants and WT. This research proved the potential of ChlF imaging for gene function analysis and the study of drought stress using ChlF in a time-series manner. Full article
(This article belongs to the Special Issue Chlorophyll Fluorescence Sensing in Plant Phenotyping)
Show Figures

Figure 1

Back to TopTop