Reliable Vehicle Routing Problem Using Traffic Sensors Augmented Information
Abstract
1. Introduction
2. Literature Review
2.1. Routing Problem
2.2. Sensor Location Problem
2.3. Machine Learning
3. Problem Formulation
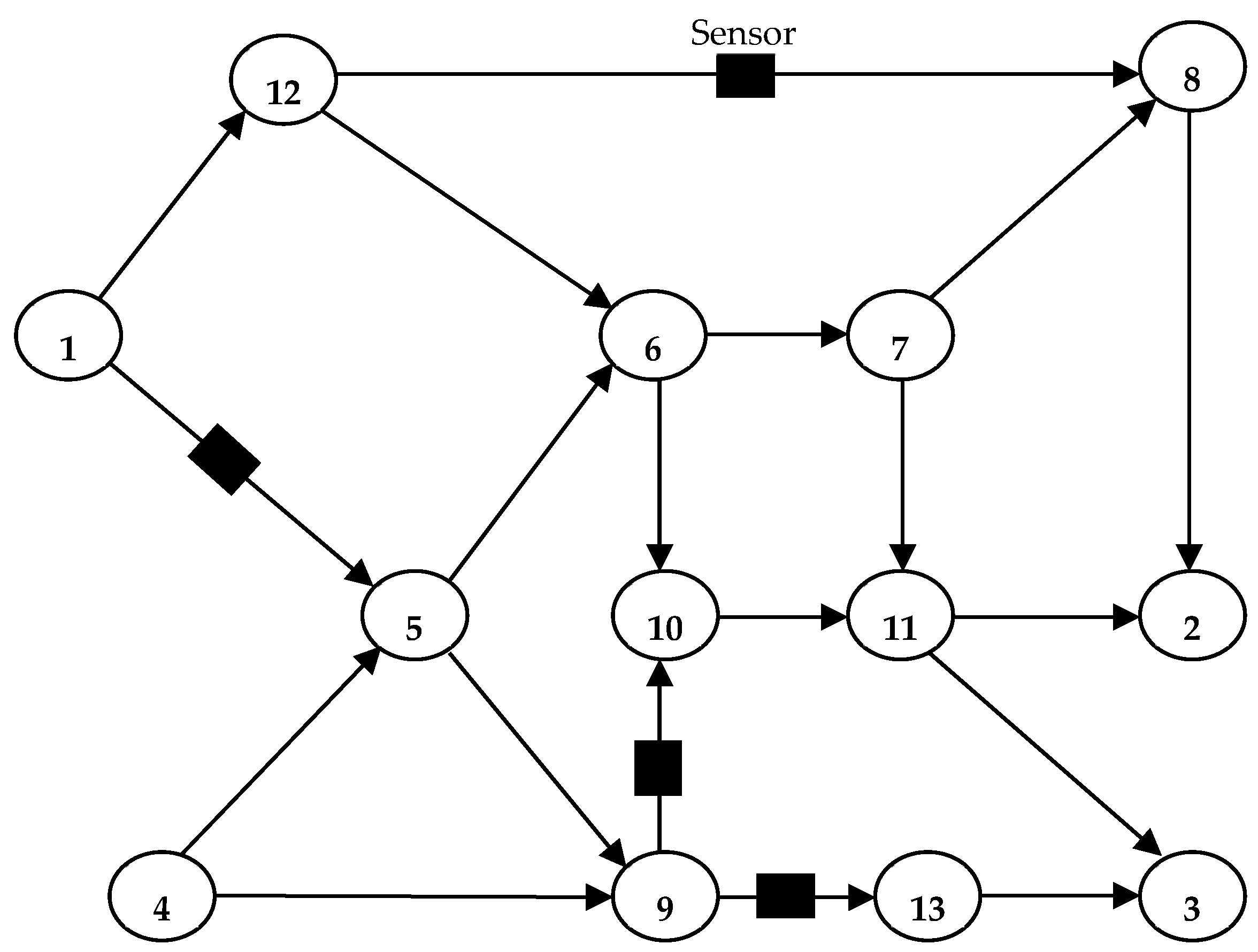
3.1. Network Representation
3.2. Problem Statement
4. Methodology
4.1. Traffic Assignment
- Perform stochastic assignment: V0 = P0T, since P0 associated with the initial travel costs on links, then set Vn = V0
- Update travel costs by Equation (8), then obtain Pn
- Get the auxiliary flow solution Yn = PnT
- Update link flows Vn+1 = Vn + dn (Yn − Vn)
- Convergence if the maximum change in link flow ≤ 0.1, stop. if not, go to step 2, then set n:=n + 1,
4.2. Route Generation Algorithm
4.3. Traffic Sensors Location Problem
| Algorithm 1: Traffic Sensor Location Problem (TSLP) | 
| Input: Network G((N, A, Ŵ), Maximum iterations (iter.max = 100), Tolerance probability (Tp = 0.05), Neighbor search fraction (Nfs = 0.5), Path time circuity threshold (ρ = 1.5) Initialize: 
 While uncovered paths exist: uncoveredPaths = Identify uncovered paths from T For each iteration (up to iter.max): CandidateLinks = empty set randomly remove a fraction of previously selected sensors (based on Nfs) While uncoveredPaths is not empty: Evaluate coverage increment (ΔCoverage) for all links Construct Candidate Selection List (CSL) from links with coverage close to a maximum based on Tp randomly select a link from CSL add selected link to SensorSet update uncoveredPaths by removing paths covered by the selected link End While End For Check feasibility by recalculating shortest paths Update T with new paths if needed End While Return SensorSet (final distribution of sensors) | 
4.4. Machine Learning for Augmenting Traffic Sensor Information
| Algorithm 2: Deep Learning-based Traffic Flow Estimation | 
| Input: Network structure G(N, A), Set of links with sensors (L_sensors), Reference demand matrix (T0), Stochastic User Equilibrium (SUE) assignment model, Number of auto-encoder layers (L), Hidden units per layer (H) Step 1: Data Preparation Generate synthetic training data: For i = 1 to sample_size (n): Ti ← Randomly perturb T0 using a defined statistical distribution Vi ← Assign Ti to network using SUE model to get full link flows EndFor Step 2: SAE Model Pre-Training (Unsupervised) X ← Measured flows from L_sensors for all Vi For each layer l in SAEs (bottom-up): Initialize sparse auto-encoder AE_l AE_l ← Train auto-encoder on X to minimize reconstruction error with sparsity constraint X ← Encode X to hidden representation of AE_l for next layer EndFor Step 3: Fully Connected Layer Pre-Training (Supervised) Input_Features ← Output of final auto-encoder layer Fully_Connected ← Initialize fully connected layer Fully_Connected ← Train layer on Input_Features to predict full link flows Vi using supervised learning (Backpropagation) Step 4: Fine-Tuning (Supervised) For epochs = 1 to max_epochs: Forward propagate Input_Features through SAE and Fully_Connected layer Calculate prediction error between estimated and actual link flows Vi Update all weights and biases through Backpropagation to minimize prediction error EndFor Output: Trained Deep Learning Model capable of estimating entire network flows from partial sensor measurements | 
5. Numerical Results
6. Conclusions
Author Contributions
Funding
Institutional Review Board Statement
Informed Consent Statement
Data Availability Statement
Conflicts of Interest
Appendix A
Appendix A.1. Sparse Auto-Encoder (SAE) Architecture and Hyperparameter Specifications
- Input Layer: NNN neurons (dependent on the number of traffic sensors)
- Hidden Layer 1: 512 neurons (ReLU activation)
- Hidden Layer 2: 256 neurons (ReLU activation)
- Latent Space: 128 neurons (Leaky ReLU activation, α = 0.01)
- Decoder Layers: Mirror the encoder structure
- Output Layer: NNN neurons (linear activation for regression tasks)
| Hyperparameter | Value | 
|---|---|
| Optimizer | Adam | 
| Learning Rate | 0.001 | 
| Batch Size | 64 | 
| Training Epochs | 200 | 
| Dropout Rate | 0.3 | 
| L2 Regularization | 10−5 | 
| Sparsity Constraint (KL Divergence Target) | 0.05 | 
| Activation Functions | ReLU, Leaky ReLU (α = 0.01) | 
| Loss Function | Mean Squared Error (MSE) | 
| Pre-training Method | Layer-wise greedy training | 
| Fine-tuning Method | Supervised backpropagation | 
Appendix A.2. Implementation of Sparsity Constraints
Appendix A.3. Pre-Training Protocol and Training Configuration
- Layer-wise Unsupervised Training:- Each layer is trained separately as an autoencoder before stacking them together.
- The reconstruction loss is minimized using Mean Squared Error (MSE).
 
- Supervised Fine-Tuning:- The full network is fine-tuned using labeled sensor data.
- The Adam optimizer with a learning rate decay (0.99 per epoch) is applied.
 
- Batch Normalization:- Batch normalization is applied after each layer to stabilize learning.
 
Appendix A.4. Empirical Justification for Activation Function Selection
- Convergence speed (number of epochs to reach optimal loss)
- Final validation loss (MSE)
- Robustness to vanishing gradients
- ReLU
- Leaky ReLU (α = 0.01)
- Sigmoid
- Swish
| Activation Function | Final MSE Loss | Epochs to Converge | Observations | 
|---|---|---|---|
| ReLU | 0.0241 | 120 | Moderate performance, some dead neurons | 
| Leaky ReLU (α = 0.01) | 0.0189 | 85 | Best performance, avoids dead neurons | 
| Sigmoid | 0.0352 | 150 | Slower convergence, vanishing gradients | 
| Swish | 0.0224 | 100 | Stable but slightly higher loss | 
Appendix A.5. Ablation Study on Architectural Choices
- Number of hidden layers
- Dimensionality of the latent space
- Inclusion of KL divergence-based sparsity constraints.
| Configuration | Final MSE Loss | Training Time | Observations | 
|---|---|---|---|
| Baseline (No sparsity, 3 hidden layers) | 0.0278 | 2 h 15 min | Overfitting observed | 
| With sparsity constraint (KL Divergence, 3 layers) | 0.0189 | 2 h 40 min | Best generalization | 
| With 5 hidden layers | 0.0202 | 3 h 10 min | Slightly better but more expensive | 
| Without pre-training | 0.0345 | 2 h 00 min | Poor feature learning | 
- KL divergence-based sparsity significantly improves generalization.
- Three hidden layers with a 128 dimensional latent space provide the best trade-off between accuracy and computational efficiency.
- Pre-training stabilizes feature extraction and improves final estimation performance.
References
- Owais, M.; Osman, M.K. Complete hierarchical multi-objective genetic algorithm for transit network design problem. Expert Syst. Appl. 2018, 114, 143–154. [Google Scholar] [CrossRef]
- Owais, M.; Ahmed, A.S.; Moussa, G.S.; Khalil, A.A. Design scheme of multiple-subway lines for minimizing passengers transfers in mega-cities transit networks. Int. J. Rail Transp. 2021, 9, 540–563. [Google Scholar] [CrossRef]
- Owais, M.; Ahmed, A.S.; Moussa, G.S.; Khalil, A.A. An optimal metro design for transit networks in existing square cities based on non-demand criterion. Sustainability 2020, 12, 9566. [Google Scholar] [CrossRef]
- Angelelli, E.; Morandi, V.; Speranza, M.G. Congestion avoiding heuristic path generation for the proactive route guidance. Comput. Oper. Res. 2018, 99, 234–248. [Google Scholar] [CrossRef]
- Owais, M.; Hassan, T. Incorporating dynamic bus stop simulation into static transit assignment models. Int. J. Civ. Eng. 2018, 16, 67–77. [Google Scholar]
- Owais, M.; Ahmed, A.S.; Moussa, G.S.; Khalil, A.A. Integrating underground line design with existing public transportation systems to increase transit network connectivity: Case study in Greater Cairo. Expert Syst. Appl. 2021, 167, 114183. [Google Scholar]
- Rasmussen, T.K.; Watling, D.P.; Prato, C.G.; Nielsen, O.A. Stochastic user equilibrium with equilibrated choice sets: Part II–Solving the restricted SUE for the logit family. Transp. Res. Part B Methodol. 2015, 77, 146–165. [Google Scholar]
- Galligari, A.; Sciandrone, M. A computational study of path-based methods for optimal traffic assignment with both inelastic and elastic demand. Comput. Oper. Res. 2019, 103, 158–166. [Google Scholar]
- Bekhor, S.; Toledo, T.; Prashker, J. Implementation issues of route choice models in path-based algorithms. In Proceedings of the 11th International Conference on Travel Behaviour Research, Kyoto, Japan, 16–20 August 2006. [Google Scholar]
- Owais, M.; Alshehri, A. Pareto optimal path generation algorithm in stochastic transportation networks. IEEE Access 2020, 8, 58970–58981. [Google Scholar]
- Dijkstra, E.W. A note on two problems in connexion with graphs. Numer. Math. 1959, 1, 269–271. [Google Scholar]
- Owais, M.; Moussa, G.S.; Hussain, K.F. Sensor location model for O/D estimation: Multi-criteria meta-heuristics approach. Oper. Res. Perspect. 2019, 6, 100100. [Google Scholar] [CrossRef]
- Owais, M. Location Strategy for Traffic Emission Remote Sensing Monitors to Capture the Violated Emissions. J. Adv. Transp. 2019, 2019, 6520818. [Google Scholar] [CrossRef]
- Owais, M.; Moussa, G.S.; Hussain, K.F. Robust Deep Learning Architecture for Traffic Flow Estimation from a Subset of Link Sensors. J. Transp. Eng. Part A Syst. 2020, 146, 04019055. [Google Scholar] [CrossRef]
- Fu, L. An adaptive routing algorithm for in-vehicle route guidance systems with real-time information. Transp. Res. Part B Methodol. 2001, 35, 749–765. [Google Scholar] [CrossRef]
- Miller-Hooks, E.D.; Mahmassani, H.S. Least expected time paths in stochastic, time-varying transportation networks. Transp. Sci. 2000, 34, 198–215. [Google Scholar] [CrossRef]
- Fakhrmoosavi, F.; Zockaie, A.; Abdelghany, K.; Hashemi, H. An iterative learning approach for network contraction: Path finding problem in stochastic time—Varying networks. Comput.-Aided Civ. Infrastruct. Eng. 2019, 34, 859–876. [Google Scholar] [CrossRef]
- Orda, A.; Rom, R. Shortest-path and minimum-delay algorithms in networks with time-dependent edge-length. J. ACM 1990, 37, 607–625. [Google Scholar] [CrossRef]
- Psaraftis, H.N.; Tsitsiklis, J.N. Dynamic shortest paths in acyclic networks with Markovian arc costs. Oper. Res. 1993, 41, 91–101. [Google Scholar] [CrossRef]
- Ziliaskopoulos, A.K.; Mahmassani, H.S. Time-dependent, shortest-path algorithm for real-time intelligent vehicle highway system applications. Transp. Res. Rec. 1993, 1408, 94–100. [Google Scholar]
- Bellman, R. The theory of dynamic programming. Bull. Am. Math. Soc. 1954, 60, 503–515. [Google Scholar] [CrossRef]
- Zockaie, A.; Mahmassani, H.S.; Fakhrmoosavi, F. Reliability-Based User Equilibrium in Dynamic Stochastic Networks: A Scenario Approach Considering Travel Time Correlations and Heterogeneous Users. In Proceedings of the Transportation Research Board 98th Annual Meeting, Washington, DC, USA, 13–17 January 2019. [Google Scholar]
- Owais, M.; El Sayed, M.A. Red light crossing violations modelling using deep learning and variance-based sensitivity analysis. Expert Syst. Appl. 2025, 267, 126258. [Google Scholar]
- Hall, R.W. The fastest path through a network with random time-dependent travel times. Transp. Sci. 1986, 20, 182–188. [Google Scholar] [CrossRef]
- Dean, B.C. Shortest paths in FIFO time-dependent networks: Theory and algorithms. Rapp. Tech. Mass. Inst. Technol. 2004. [Google Scholar]
- Angelelli, E.; Arsik, I.; Morandi, V.; Savelsbergh, M.; Speranza, M. Proactive route guidance to avoid congestion. Transp. Res. Part B Methodol. 2016, 94, 1–21. [Google Scholar]
- Kim, S.; Lewis, M.E.; White, C.C. Optimal vehicle routing with real-time traffic information. IEEE Trans. Intell. Transp. Syst. 2005, 6, 178–188. [Google Scholar]
- Miller-Hooks, E. Adaptive least-expected time paths in stochastic, time-varying transportation and data networks. Netw. Int. J. 2001, 37, 35–52. [Google Scholar]
- Yang, Z.; Gao, Z.; Sun, H.; Liu, F.; Zhao, J. Finding Most Reliable Path With Extended Shifted Lognormal Distribution. IEEE Access 2018, 6, 72494–72505. [Google Scholar]
- Fan, Y.; Kalaba, R.; Moore, J., II. Shortest paths in stochastic networks with correlated link costs. Comput. Math. Appl. 2005, 49, 1549–1564. [Google Scholar] [CrossRef]
- Nie, Y.M.; Wu, X. Reliable a priori shortest path problem with limited spatial and temporal dependencies. In Transportation and Traffic Theory 2009: Golden Jubilee; Springer: Boston, MA, USA, 2009; pp. 169–195. [Google Scholar]
- Zockaie, A.; Mahmassani, H.S.; Nie, Y. Path finding in stochastic time varying networks with spatial and temporal correlations for heterogeneous travelers. Transp. Res. Rec. 2016, 2567, 105–113. [Google Scholar]
- Zockaie, A.; Nie, Y.M.; Mahmassani, H.S. Simulation-based method for finding minimum travel time budget paths in stochastic networks with correlated link times. Transp. Res. Rec. 2014, 2467, 140–148. [Google Scholar] [CrossRef]
- Huang, H.; Gao, S. Optimal paths in dynamic networks with dependent random link travel times. Transp. Res. Part B Methodol. 2012, 46, 579–598. [Google Scholar]
- Shahabi, M.; Unnikrishnan, A.; Boyles, S.D. An outer approximation algorithm for the robust shortest path problem. Transp. Res. Part E Logist. Transp. Rev. 2013, 58, 52–66. [Google Scholar]
- Ji, Z.; Kim, Y.S.; Chen, A. Multi-objective α-reliable path finding in stochastic networks with correlated link costs: A simulation-based multi-objective genetic algorithm approach (SMOGA). Expert Syst. Appl. 2011, 38, 1515–1528. [Google Scholar]
- Ji, Z.; Chen, A.; Subprasom, K. Finding multi-objective paths in stochastic networks: A simulation-based genetic algorithm approach. In Proceedings of the 2004 Congress on Evolutionary Computation (IEEE Cat. No. 04TH8753), Portland, OR, USA, 19–23 June 2004; pp. 174–180. [Google Scholar]
- Sen, S.; Pillai, R.; Joshi, S.; Rathi, A.K. A mean-variance model for route guidance in advanced traveler information systems. Transp. Sci. 2001, 35, 37–49. [Google Scholar]
- Rajabi-Bahaabadi, M.; Shariat-Mohaymany, A.; Babaei, M.; Ahn, C.W. Multi-objective path finding in stochastic time-dependent road networks using non-dominated sorting genetic algorithm. Expert Syst. Appl. 2015, 42, 5056–5064. [Google Scholar]
- Ma, T.; Zhou, Z.; Antoniou, C. Dynamic factor model for network traffic state forecast. Transp. Res. Part B Methodol. 2018, 118, 281–317. [Google Scholar] [CrossRef]
- Castillo, E.; Menéndez, J.M.; Sánchez-Cambronero, S. Traffic estimation and optimal counting location without path enumeration using Bayesian networks. Comput. Aided Civ. Infrastruct. Eng. 2008, 23, 189–207. [Google Scholar]
- Owais, M. Traffic sensor location problem: Three decades of research. Expert Syst. Appl. 2022, 208, 118134. [Google Scholar]
- Owais, M.; Shahin, A.I. Exact and Heuristics Algorithms for Screen Line Problem in Large Size Networks: Shortest Path-Based Column Generation Approach. IEEE Trans. Intell. Transp. Syst. 2022, 23, 24829–24840. [Google Scholar]
- Castillo, E.; Conejo, A.J.; Menéndez, J.M.; Jiménez, P. The observability problem in traffic network models. Comput. Aided Civ. Infrastruct. Eng. 2008, 23, 208–222. [Google Scholar]
- Castillo, E.; Jimenez, P.; Menendez, J.M.; Conejo, A.J. The observability problem in traffic models: Algebraic and topological methods. IEEE Trans. Intell. Transp. Syst. 2008, 9, 275–287. [Google Scholar] [CrossRef]
- Castillo, E.; Nogal, M.; Rivas, A.; Sánchez-Cambronero, S. Observability of traffic networks. Optimal location of counting and scanning devices. Transp. B Transp. Dyn. 2013, 1, 68–102. [Google Scholar] [CrossRef]
- Gentili, M.; Mirchandani, P. Locating sensors on traffic networks: Models, challenges and research opportunities. Transp. Res. Part C Emerg. Technol. 2012, 24, 227–255. [Google Scholar] [CrossRef]
- Hu, S.-R.; Peeta, S.; Liou, H.-T. Integrated Determination of Network Origin–Destination Trip Matrix and Heterogeneous Sensor Selection and Location Strategy. IEEE Trans. Intell. Transp. Syst. 2016, 17, 195–205. [Google Scholar] [CrossRef]
- Fu, C.; Zhu, N.; Ling, S.; Ma, S.; Huang, Y. Heterogeneous sensor location model for path reconstruction. Transp. Res. Part B Methodol. 2016, 91, 77–97. [Google Scholar] [CrossRef]
- Xu, X.; Lo, H.K.; Chen, A.; Castillo, E. Robust network sensor location for complete link flow observability under uncertainty. Transp. Res. Part B Methodol. 2016, 88, 1–20. [Google Scholar] [CrossRef]
- Cai, D.; Chen, K.; Lin, Z.; Li, D.; Zhou, T.; Ling, Y.; Leung, M.-F. JointSTNet: Joint Pre-Training for Spatial-Temporal Traffic Forecasting. IEEE Trans. Consum. Electron. 2024. [Google Scholar] [CrossRef]
- Bernas, M.; Płaczek, B.; Korski, W.; Loska, P.; Smyła, J.; Szymała, P. A survey and comparison of low-cost sensing technologies for road traffic monitoring. Sensors 2018, 18, 3243. [Google Scholar] [CrossRef] [PubMed]
- Castillo, E.; Menéndez, J.M.; Jiménez, P. Trip matrix and path flow reconstruction and estimation based on plate scanning and link observations. Transp. Res. Part B Methodol. 2008, 42, 455–481. [Google Scholar] [CrossRef]
- Zhou, X.; Mahmassani, H.S. Dynamic origin-destination demand estimation using automatic vehicle identification data. IEEE Trans. Intell. Transp. Syst. 2006, 7, 105–114. [Google Scholar] [CrossRef]
- Bianco, L.; Confessore, G.; Reverberi, P. A network based model for traffic sensor location with implications on O/D matrix estimates. Transp. Sci. 2001, 35, 50–60. [Google Scholar]
- Mínguez, R.; Sánchez-Cambronero, S.; Castillo, E.; Jiménez, P. Optimal traffic plate scanning location for OD trip matrix and route estimation in road networks. Transp. Res. Part B Methodol. 2010, 44, 282–298. [Google Scholar] [CrossRef]
- Wang, N.; Gentili, M.; Mirchandani, P. Model to locate sensors for estimation of static origin-destination volumes given prior flow information. Transp. Res. Rec. J. Transp. Res. Board 2012, 2283, 67–73. [Google Scholar]
- Zhou, X.; List, G.F. An Information-Theoretic Sensor Location Model for Traffic Origin-Destination Demand Estimation Applications. Transp. Sci. 2010, 44, 254–273. [Google Scholar] [CrossRef]
- Yang, H.; Zhou, J. Optimal traffic counting locations for origin–destination matrix estimation. Transp. Res. Part B Methodol. 1998, 32, 109–126. [Google Scholar] [CrossRef]
- Yim, P.K.; Lam, W.H. Evaluation of count location selection methods for estimation of OD matrices. J. Transp. Eng. 1998, 124, 376–383. [Google Scholar]
- Yang, C.; Chootinan, P.; Chen, A. Traffic counting location planning using genetic algorithm. J. East. Asia Soc. Transp. Stud. 2003, 5, 898–913. [Google Scholar]
- Chootinan, P.; Chen, A.; Yang, H. A bi-objective traffic counting location problem for origin-destination trip table estimation. Transportmetrica 2005, 1, 65–80. [Google Scholar]
- Alqubaysi, T.; Al Asmari, A.F.; Alanazi, F.; Almutairi, A.; Armghan, A. Federated Learning-Based Predictive Traffic Management Using a Contained Privacy-Preserving Scheme for Autonomous Vehicles. Sensors 2025, 25, 1116. [Google Scholar] [CrossRef]
- Yang, H.; Iida, Y.; Sasaki, T. An analysis of the reliability of an origin-destination trip matrix estimated from traffic counts. Transp. Res. Part B Methodol. 1991, 25, 351–363. [Google Scholar]
- Chen, A.; Pravinvongvuth, S.; Chootinan, P.; Lee, M.; Recker, W. Strategies for selecting additional traffic counts for improving OD trip table estimation. Transportmetrica 2007, 3, 191–211. [Google Scholar]
- Almutairi, A.; Asmari, A.F.A.; Alqubaysi, T.; Alanazi, F.; Armghan, A. Ensuring Driving and Road Safety of Autonomous Vehicles Using a Control Optimiser Interaction Framework Through Smart “Thing” Information Sensing and Actuation. Machines 2024, 12, 798. [Google Scholar] [CrossRef]
- Fei, X.; Mahmassani, H.S. Structural analysis of near-optimal sensor locations for a stochastic large-scale network. Transp. Res. Part C Emerg. Technol. 2011, 19, 440–453. [Google Scholar] [CrossRef]
- Salari, M.; Kattan, L.; Lam, W.H.; Esfeh, M.A.; Fu, H. Modeling the effect of sensor failure on the location of counting sensors for origin-destination (OD) estimation. Transp. Res. Part C Emerg. Technol. 2021, 132, 103367. [Google Scholar]
- Hu, S.-R.; Peeta, S.; Chu, C.-H. Identification of vehicle sensor locations for link-based network traffic applications. Transp. Res. Part B Methodol. 2009, 43, 873–894. [Google Scholar]
- Ng, M. Synergistic sensor location for link flow inference without path enumeration: A node-based approach. Transp. Res. Part B Methodol. 2012, 46, 781–788. [Google Scholar]
- Al Asmari, A.F.; Almutairi, A.; Alanazi, F.; Alqubaysi, T.; Armghan, A. Conjecture Interaction Optimization Model for Intelligent Transportation Systems in Smart Cities using Reciprocated Multi-Instance Learning for Road Traffic Management. IEEE Access 2025, 13, 34539–34562. [Google Scholar]
- Gentili, M.; Mirchandani, P.B. Locating active sensors on traffic networks. Ann. Oper. Res. 2005, 136, 229–257. [Google Scholar]
- Bianco, L.; Confessore, G.; Gentili, M. Combinatorial aspects of the sensor location problem. Ann. Oper. Res. 2006, 144, 201–234. [Google Scholar] [CrossRef]
- Bianco, L.; Cerrone, C.; Cerulli, R.; Gentili, M. Locating sensors to observe network arc flows: Exact and heuristic approaches. Comput. Oper. Res. 2014, 46, 12–22. [Google Scholar] [CrossRef]
- He, S.-x. A graphical approach to identify sensor locations for link flow inference. Transp. Res. Part B Methodol. 2013, 51, 65–76. [Google Scholar] [CrossRef]
- Castillo, E.; Calviño, A.; Lo, H.K.; Menéndez, J.M.; Grande, Z. Non-planar hole-generated networks and link flow observability based on link counters. Transp. Res. Part B Methodol. 2014, 68, 239–261. [Google Scholar] [CrossRef]
- Salari, M.; Kattan, L.; Lam, W.H.; Lo, H.; Esfeh, M.A. Optimization of traffic sensor location for complete link flow observability in traffic network considering sensor failure. Transp. Res. Part B Methodol. 2019, 121, 216–251. [Google Scholar] [CrossRef]
- Shao, M.; Xie, C.; Sun, L. Optimization of network sensor location for full link flow observability considering sensor measurement error. Transp. Res. Part C Emerg. Technol. 2021, 133, 103460. [Google Scholar] [CrossRef]
- Owais, M.; Matouk, A.E. A factorization scheme for observability analysis in transportation networks. Expert Syst. Appl. 2021, 174, 114727. [Google Scholar] [CrossRef]
- Yang, H.; Yang, C.; Gan, L. Models and algorithms for the screen line-based traffic-counting location problems. Comput. Oper. Res. 2006, 33, 836–858. [Google Scholar] [CrossRef]
- Owais, M.; El deeb, M.; Abbas, Y.A. Distributing Portable Excess Speed Detectors in AL Riyadh City. Int. J. Civ. Eng. 2020, 18, 1301–1314. [Google Scholar] [CrossRef]
- Sun, W.; Shao, H.; Shen, L.; Wu, T.; Lam, W.H.; Yao, B.; Yu, B. Bi-objective traffic count location model for mean and covariance of origin–destination estimation. Expert Syst. Appl. 2021, 170, 114554. [Google Scholar] [CrossRef]
- Fu, H.; Lam, W.H.; Shao, H.; Xu, X.; Lo, H.; Chen, B.Y.; Sze, N.; Sumalee, A. Optimization of traffic count locations for estimation of travel demands with covariance between origin-destination flows. Transp. Res. Part C Emerg. Technol. 2019, 108, 49–73. [Google Scholar] [CrossRef]
- Liang, Y.; Wu, Z.; Yang, H.; Wang, Y. A Novel Framework for Road Side Unit Location Optimization for Origin-Destination Demand Estimation. IEEE Trans. Intell. Transp. Syst. 2022, 23, 21113–21126. [Google Scholar] [CrossRef]
- Friedman, J.H. Data Mining and Statistics: What’s the connection? Comput. Sci. Stat. 1998, 29, 3–9. [Google Scholar]
- Goswami, S.; Kumar, A. Traffic Flow Prediction Using Deep Learning Techniques. In Proceedings of the International Conference on Computing Science, Communication and Security, Seoul, Republic of Korea, 3–5 November 2022; pp. 198–213. [Google Scholar]
- Lv, Y.; Duan, Y.; Kang, W.; Li, Z.; Wang, F.-Y. Traffic flow prediction with big data: A deep learning approach. IEEE Trans. Intell. Transp. Syst. 2014, 16, 865–873. [Google Scholar] [CrossRef]
- Yin, X.; Wu, G.; Wei, J.; Shen, Y.; Qi, H.; Yin, B. Deep learning on traffic prediction: Methods, analysis and future directions. IEEE Trans. Intell. Transp. Syst. 2021, 23, 4927–4943. [Google Scholar]
- Guo, K.; Hu, Y.; Qian, Z.; Liu, H.; Zhang, K.; Sun, Y.; Gao, J.; Yin, B. Optimized graph convolution recurrent neural network for traffic prediction. IEEE Trans. Intell. Transp. Syst. 2020, 22, 1138–1149. [Google Scholar]
- Alshehri, A.; Owais, M.; Gyani, J.; Aljarbou, M.H.; Alsulamy, S. Residual Neural Networks for Origin–Destination Trip Matrix Estimation from Traffic Sensor Information. Sustainability 2023, 15, 9881. [Google Scholar] [CrossRef]
- Liu, T.; Meidani, H. End-to-end heterogeneous graph neural networks for traffic assignment. Transp. Res. Part C Emerg. Technol. 2024, 165, 104695. [Google Scholar]
- Fan, W.; Tang, Z.; Ye, P.; Xiao, F.; Zhang, J. Deep learning-based dynamic traffic assignment with incomplete origin–destination data. Transp. Res. Rec. 2023, 2677, 1340–1356. [Google Scholar]
- Ma, W.; Yuan, J.; An, K.; Yu, C. Route flow estimation based on the fusion of probe vehicle trajectory and automated vehicle identification data. Transp. Res. Part C Emerg. Technol. 2022, 144, 103907. [Google Scholar]
- Tang, K.; Cao, Y.; Chen, C.; Yao, J.; Tan, C.; Sun, J. Dynamic origin-destination flow estimation using automatic vehicle identification data: A 3D convolutional neural network approach. Comput. Aided Civ. Infrastruct. Eng. 2021, 36, 30–46. [Google Scholar]
- Bentsen, L.Ø.; Warakagoda, N.D.; Stenbro, R.; Engelstad, P. Spatio-temporal wind speed forecasting using graph networks and novel Transformer architectures. Appl. Energy 2023, 333, 120565. [Google Scholar]
- Gao, Y.; Zhu, Q.; Shi, X.; Jin, H. A Transformer-Based Spatio-Temporal Graph Neural Network for Anomaly Detection on Dynamic Graphs. In Proceedings of the CCF Conference on Big Data, Qingdao, China, 9–11 August 2024; pp. 202–217. [Google Scholar]
- Luo, Q.; He, S.; Han, X.; Wang, Y.; Li, H. LSTTN: A long-short term transformer-based spatiotemporal neural network for traffic flow forecasting. Knowl. Based Syst. 2024, 293, 111637. [Google Scholar] [CrossRef]
- Li, Y.; Yu, D.; Liu, Z.; Zhang, M.; Gong, X.; Zhao, L. Graph neural network for spatiotemporal data: Methods and applications. arXiv 2023, arXiv:2306.00012. [Google Scholar]
- Hou, M.; Xia, F.; Gao, H.; Chen, X.; Chen, H. Urban region profiling with spatio-temporal graph neural networks. IEEE Trans. Comput. Soc. Syst. 2022, 9, 1736–1747. [Google Scholar]
- Wu, D.; Peng, K.; Wang, S.; Leung, V.C. Spatial–Temporal Graph Attention Gated Recurrent Transformer Network for Traffic Flow Forecasting. IEEE Internet Things J. 2023, 11, 14267–14281. [Google Scholar]
- Huo, G.; Zhang, Y.; Wang, B.; Gao, J.; Hu, Y.; Yin, B. Hierarchical spatio–temporal graph convolutional networks and transformer network for traffic flow forecasting. IEEE Trans. Intell. Transp. Syst. 2023, 24, 3855–3867. [Google Scholar] [CrossRef]
- Kumar, R.; Mendes-Moreira, J.; Chandra, J. Spatio-temporal parallel transformer based model for traffic prediction. ACM Trans. Knowl. Discov. Data 2024, 18, 1–25. [Google Scholar] [CrossRef]
- Wei, S.; Yang, Y.; Liu, D.; Deng, K.; Wang, C. Transformer-Based Spatiotemporal Graph Diffusion Convolution Network for Traffic Flow Forecasting. Electronics 2024, 13, 3151. [Google Scholar] [CrossRef]
- Mao, Y.; Zhang, G.; Ye, C. A Spatio-temporal Graph Transformer driven model for recognizing fine-grained data human activity. Alex. Eng. J. 2024, 104, 31–45. [Google Scholar]
- Wang, Z.; Wang, Y.; Jia, F.; Zhang, F.; Klimenko, N.; Wang, L.; He, Z.; Huang, Z.; Liu, Y. Spatiotemporal Fusion Transformer for large-scale traffic forecasting. Inf. Fusion 2024, 107, 102293. [Google Scholar] [CrossRef]
- Wang, F.; Xin, X.; Lei, Z.; Zhang, Q.; Yao, H.; Wang, X.; Tian, Q.; Tian, F. Transformer-based spatio-temporal traffic prediction for access and metro networks. J. Light. Technol. 2024, 42, 5204–5213. [Google Scholar] [CrossRef]
- Zhao, Z.; Shen, G.; Wang, L.; Kong, X. Graph spatial-temporal transformer network for traffic prediction. Big Data Res. 2024, 36, 100427. [Google Scholar]
- Powell, W.B.; Sheffi, Y. The convergence of equilibrium algorithms with predetermined step sizes. Transp. Sci. 1982, 16, 45–55. [Google Scholar]
- Daganzo, C.F.; Sheffi, Y. On stochastic models of traffic assignment. Transp. Sci. 1977, 11, 253–274. [Google Scholar] [CrossRef]
- Prashker, J.N.; Bekhor, S. Route choice models used in the stochastic user equilibrium problem: A review. Transp. Rev. 2004, 24, 437–463. [Google Scholar]
- Spiess, H. Technical note—Conical volume-delay functions. Transp. Sci. 1990, 24, 153–158. [Google Scholar]
- Maher, M. Algorithms for logit-based stochastic user equilibrium assignment. Transp. Res. Part B Methodol. 1998, 32, 539–549. [Google Scholar]
- Yen, J.Y. Finding the k shortest loopless paths in a network. Manag. Sci. 1971, 17, 712–716. [Google Scholar] [CrossRef]
- Owais, M.; Ahmed, A.S. Frequency based transit assignment models: Graph formulation study. IEEE Access 2022, 10, 62991–63003. [Google Scholar] [CrossRef]
- Florian, M.; Hearn, D. Network equilibrium models and algorithms. In Handbooks in Operations Research and Management Science; Elsevier: Amsterdam, The Netherlands, 1995; Volume 8, pp. 485–550. [Google Scholar]
- Owais, M. Deep learning for integrated origin–destination estimation and traffic sensor location problems. IEEE Trans. Intell. Transp. Syst. 2024, 25, 6501–6513. [Google Scholar] [CrossRef]
- Bengio, Y.; Lamblin, P.; Popovici, D.; Larochelle, H. Greedy layer-wise training of deep networks. Adv. Neural Inf. Process. Syst. 2007, 19, 153. [Google Scholar]
- Owais, M. Preprocessing and postprocessing analysis for hot-mix asphalt dynamic modulus experimental data. Constr. Build. Mater. 2024, 450, 138693. [Google Scholar]
- Vincent, P.; Larochelle, H.; Lajoie, I.; Bengio, Y.; Manzagol, P.-A. Stacked denoising autoencoders: Learning useful representations in a deep network with a local denoising criterion. J. Mach. Learn. Res. 2010, 11, 3371–3408. [Google Scholar]
- Bengio, Y.; Courville, A.; Vincent, P. Representation learning: A review and new perspectives. IEEE Trans. Pattern Anal. Mach. Intell. 2013, 35, 1798–1828. [Google Scholar] [CrossRef]
- Almutairi, A.; Owais, M.; Ahmed, A.S. Notes on bus user assignment problem using section network representation method. Appl. Sci. 2024, 14, 3406. [Google Scholar] [CrossRef]
- Schmidhuber, J. Deep learning in neural networks: An overview. Neural Netw. 2015, 61, 85–117. [Google Scholar]
- Oliveira, T.P.; Barbar, J.S.; Soares, A.S. Computer network traffic prediction: A comparison between traditional and deep learning neural networks. Int. J. Big Data Intell. 2016, 3, 28–37. [Google Scholar]
- Gravelines, C. Deep Learning via Stacked Sparse Autoencoders for Automated Voxel-Wise Brain Parcellation Based on Functional Connectivity. Master’s Thesis, Western University, London, ON, Canada, 2014. [Google Scholar]
- Fathollahi, A.; Gheisarnejad, M.; Boudjadar, J.; Homayounzadeh, M.; Khooban, M.-H. Optimal design of wireless charging electric buses-based machine learning: A case study of Nguyen-Dupuis network. IEEE Trans. Veh. Technol. 2023, 72, 8449–8458. [Google Scholar]
- Zhu, S.; Cheng, L.; Chu, Z.; Chen, A.; Chen, J. Identification of network sensor locations for estimation of traffic flow. Transp. Res. Rec. 2014, 2443, 32–39. [Google Scholar]





| O/D | K | Hw | ||
|---|---|---|---|---|
| 1/2 | 0.4 | 40 | 48 | [1-5-6-7-8-2]; [1-5-6-7-11-2]; [1-5-6-10-11-2]; [1-5-9-10-11-2]; [1-12-6-7-8-2]; [1-12-6-7-11-2]; [1-12-6-10-11-2]; [1-12-8-2] | 
| 1/3 | 0.8 | 80 | 92 | [1-5-6-7-11-3]; [1-5-6-10-11-3]; [1-5-9-10-11-3]; [1-5-9-13-3]; [1-12-6-7-11-3]; [1-12-6-10-11-3] | 
| 4/2 | 0.6 | 60 | 68 | [4-5-6-7-8-2]; [4-5-6-7-11-2]; [4-5-6-10-11-2]; [4-5-9-10-11-2]; [4-9-10-11-2] | 
| 4/3 | 0.2 | 20 | 25 | [4-5-6-7-11-3]; [4-5-6-10-11-3]; [4-5-9-10-11-3]; [4-5-9-13-3]; [4-9-10-11-3]; [4-9-13-3] | 
| Link (a) | Nodes | Qij | Χij | True Link Flow | Best Estimated Link Flow | ||
|---|---|---|---|---|---|---|---|
| 1 | 1-5 | 7 | 71 | 1 | 4 | 79.70 | E 1 | 
| 2 | 1-12 | 9 | 55 | 1 | 4 | 64.75 | 64.75 | 
| 3 | 4-5 | 9 | 55 | 1 | 4 | 37.61 | 37.62 | 
| 4 | 4-9 | 12 | 71 | 1 | 4 | 71.96 | 71.91 | 
| 5 | 5-6 | 3 | 41 | 1 | 4 | 72.58 | 72.59 | 
| 6 | 5-9 | 9 | 41 | 1 | 4 | 44.83 | 44.86 | 
| 7 | 6-7 | 5 | 71 | 1 | 4 | 67.55 | 67.52 | 
| 8 | 6-10 | 5 | 27 | 1 | 4 | 22.78 | 22.79 | 
| 9 | 7-8 | 5 | 71 | 1 | 4 | 22.97 | E | 
| 10 | 7-11 | 9 | 71 | 1 | 4 | 44.54 | E | 
| 11 | 8-2 | 9 | 71 | 1 | 4 | 70.02 | 22.97 | 
| 12 | 9-10 | 10 | 55 | 1 | 4 | 52.34 | 44.54 | 
| 13 | 9-13 | 9 | 55 | 1 | 4 | 64.42 | 69.11 | 
| 14 | 10-11 | 6 | 71 | 1 | 4 | 75.13 | 75.12 | 
| 15 | 11-2 | 9 | 55 | 1 | 4 | 50.41 | 50.41 | 
| 16 | 11-3 | 8 | 55 | 1 | 4 | 69.27 | 69.26 | 
| 17 | 12-6 | 7 | 13 | 1 | 4 | 17.73 | 17.72 | 
| 18 | 12-8 | 14 | 55 | 1 | 4 | 47.02 | E | 
| 19 | 13-3 | 11 | 55 | 1 | 4 | 64.43 | 64.41 | 
| O/D | Path Structure | Path Times Characteristics in STRNP | ||||
|---|---|---|---|---|---|---|
| Free Flow Time | Min | Max | Mean | Standard Deviation | ||
| 1/2 | 1-5-6-7-8-2 | 29 | 29 | 309 | 47.8 | 21.5 | 
| 1-5-6-7-11-2 | 33 | 33 | 322 | 51.8 | 22 | |
| 1-5-6-10-11-2 | 30 | 30 | 320 | 50.8 | 22.8 | |
| 1-5-9-10-11-2 | 41 | 41 | 304 | 53.4 | 20.3 | |
| 1-12-6-7-8-2 | 35 | 35 | 326 | 48.2 | 23.8 | |
| 1-12-6-7-11-2 | 39 | 39 | 339 | 52.2 | 24.3 | |
| 1-12-6-10-11-2 | 36 | 36 | 337 | 51.2 | 25.1 | |
| 1-12-8-2 | 32 | 32 | 85 | 33.7 | 13 | |
| 1/3 | 1-5-6-7-11-3 | 32 | 32 | 319 | 50.6 | 22.3 | 
| 1-5-6-10-11-3 | 29 | 29 | 317 | 49.6 | 23.1 | |
| 1-5-9-10-11-3 | 40 | 40 | 301 | 52.2 | 20.5 | |
| 1-5-9-13-3 | 36 | 36 | 279 | 47.8 | 19.7 | |
| 1-12-6-7-11-3 | 38 | 38 | 343 | 51.1 | 24.7 | |
| 1-12-6-10-11-3 | 35 | 35 | 344 | 50.1 | 25.5 | |
| 4/2 | 4-5-6-7-8-2 | 31 | 31 | 167 | 42.3 | 8.8 | 
| 4-5-6-7-11-2 | 35 | 35 | 185 | 46.2 | 9.5 | |
| 4-5-6-10-11-2 | 32 | 32 | 180 | 45.2 | 10.2 | |
| 4-5-9-10-11-2 | 43 | 43 | 165 | 47.8 | 8 | |
| 4-9-10-11-2 | 37 | 37 | 127 | 40.5 | 5.9 | |
| 4/3 | 4-5-6-7-11-3 | 34 | 34 | 177 | 45.1 | 9.4 | 
| 4-5-6-10-11-3 | 31 | 31 | 175 | 44.1 | 10.2 | |
| 4-5-9-10-11-3 | 42 | 42 | 159 | 46.7 | 7.7 | |
| 4-5-9-13-3 | 38 | 38 | 124 | 42.3 | 6.6 | |
| 4-9-10-11-3 | 36 | 36 | 124 | 39.3 | 5.4 | |
| 4-9-13-3 | 32 | 32 | 83 | 34.9 | 4.3 | |
| Disclaimer/Publisher’s Note: The statements, opinions and data contained in all publications are solely those of the individual author(s) and contributor(s) and not of MDPI and/or the editor(s). MDPI and/or the editor(s) disclaim responsibility for any injury to people or property resulting from any ideas, methods, instructions or products referred to in the content. | 
© 2025 by the authors. Licensee MDPI, Basel, Switzerland. This article is an open access article distributed under the terms and conditions of the Creative Commons Attribution (CC BY) license (https://creativecommons.org/licenses/by/4.0/).
Share and Cite
Almutairi, A.; Owais, M. Reliable Vehicle Routing Problem Using Traffic Sensors Augmented Information. Sensors 2025, 25, 2262. https://doi.org/10.3390/s25072262
Almutairi A, Owais M. Reliable Vehicle Routing Problem Using Traffic Sensors Augmented Information. Sensors. 2025; 25(7):2262. https://doi.org/10.3390/s25072262
Chicago/Turabian StyleAlmutairi, Ahmed, and Mahmoud Owais. 2025. "Reliable Vehicle Routing Problem Using Traffic Sensors Augmented Information" Sensors 25, no. 7: 2262. https://doi.org/10.3390/s25072262
APA StyleAlmutairi, A., & Owais, M. (2025). Reliable Vehicle Routing Problem Using Traffic Sensors Augmented Information. Sensors, 25(7), 2262. https://doi.org/10.3390/s25072262
 
        


 
       