Sign in to use this feature.

Years

Between: -

Subjects

remove_circle_outline
remove_circle_outline
remove_circle_outline
remove_circle_outline
remove_circle_outline
remove_circle_outline
remove_circle_outline
remove_circle_outline
remove_circle_outline

Journals

remove_circle_outline
remove_circle_outline
remove_circle_outline
remove_circle_outline
remove_circle_outline
remove_circle_outline
remove_circle_outline
remove_circle_outline

Article Types

Countries / Regions

remove_circle_outline
remove_circle_outline
remove_circle_outline
remove_circle_outline
remove_circle_outline

Search Results (288)

Search Parameters:
Keywords = SSH

Order results
Result details
Results per page
Select all
Export citation of selected articles as:
20 pages, 512 KB  
Article
Assessment of Regional Residential Energy Performance Using Degree Days
by Akio Tanaka, Yutaka Tonooka and Yujiro Hirano
Buildings 2026, 16(5), 939; https://doi.org/10.3390/buildings16050939 - 27 Feb 2026
Viewed by 182
Abstract
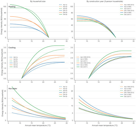
This study proposes a climate-adjusted framework for evaluating regional residential energy performance by introducing Energy Consumption per Degree-Day (ECDD), an indicator that normalizes end-use energy consumption by climatic demand. This study belongs to the second category of research. Using microdata from Japan’s Statistical [...] Read more.
This study proposes a climate-adjusted framework for evaluating regional residential energy performance by introducing Energy Consumption per Degree-Day (ECDD), an indicator that normalizes end-use energy consumption by climatic demand. This study belongs to the second category of research. Using microdata from Japan’s Statistical Survey on Household CO2 Emissions (SSH), we constructed a bias-reduced Household Micro-Resampled Population (HMRP) through stratified resampling that controls for climatic zone, urban scale, household size, dwelling type, and construction year, enabling consistent regional comparison. Results indicate that newer dwellings exhibit lower energy intensity. Heating and hot water ECDD show a positive nonlinear relationship with degree-days, converging under high thermal loads. In contrast, cooling-related ECDD shows a negative correlation with cooling degree-days, suggesting relatively efficient operation in warmer regions. These findings demonstrate that climate-adjusted efficiency is jointly shaped by structural characteristics and occupant behavior. The proposed ECDD–HMRP framework provides a practical and internationally relevant approach for climate-normalized residential energy assessment. Full article
(This article belongs to the Section Building Energy, Physics, Environment, and Systems)
Show Figures

Figure 1

13 pages, 1692 KB  
Article
The Topological Properties of the Non-Hermitian Su–Schrieffer–Heeger Model Incorporating Long-Range Hopping and Spin–Orbit Coupling
by Yanzhen Han, Shiyao Chong, Jingjing Du, Xiaolan Liu, Haili Guo, Ruikai Wang and Mingyue Hui
Magnetochemistry 2026, 12(3), 28; https://doi.org/10.3390/magnetochemistry12030028 - 24 Feb 2026
Viewed by 243
Abstract
Long-range hopping plays a crucial regulatory role in non-Hermitian topological systems. This paper systematically studies a non-Hermitian Su–Schrieffer–Heeger (SSH) model that incorporates both long-range hopping and spin–orbit coupling (SOC) within the framework of the generalized Brillouin zone (GBZ). We reveal that long-range hopping [...] Read more.
Long-range hopping plays a crucial regulatory role in non-Hermitian topological systems. This paper systematically studies a non-Hermitian Su–Schrieffer–Heeger (SSH) model that incorporates both long-range hopping and spin–orbit coupling (SOC) within the framework of the generalized Brillouin zone (GBZ). We reveal that long-range hopping can not only actively suppress the non-Hermitian skin effect, but can also cooperate with SOC to jointly modulate the stability regions of topological phases. SOC controls topological transitions through real or imaginary coupling properties and enhances the robustness of edge states. By constructing the GBZ and establishing the non-Bloch bulk–boundary correspondence, we demonstrate that the topological zero modes are entirely determined by the non-Bloch winding number. This study clarifies the key role of long-range hopping as a core regulatory parameter and provides a new paradigm for achieving the synergistic control of topological states and localized properties in non-Hermitian systems through designed couplings. Full article
(This article belongs to the Section Spin Crossover and Spintronics)
Show Figures

Figure 1

15 pages, 99689 KB  
Article
Machine Learning Topological Invariants in Disordered Systems
by Yang Yue, Zeming Fang, Ying Hu and Yue Sun
Symmetry 2026, 18(2), 362; https://doi.org/10.3390/sym18020362 - 15 Feb 2026
Viewed by 315
Abstract
The identification of topological phases in disordered systems is a significant field in condensed matter physics, where disorder breaks translational symmetry and invalidates conventional topological invariants defined in momentum space. Currently, machine learning offers promising alternatives in the identification of topological phases. In [...] Read more.
The identification of topological phases in disordered systems is a significant field in condensed matter physics, where disorder breaks translational symmetry and invalidates conventional topological invariants defined in momentum space. Currently, machine learning offers promising alternatives in the identification of topological phases. In this work, by regarding the population dynamics as input data, we used feedforward neural networks (FNNs), vanilla recurrent neural networks (RNNs), and long short-term memory (LSTM) networks to identify the topology in the Su–Schrieffer–Heeger (SSH) model and the disordered SSH model, respectively. We also compared the identification capabilities of different neural networks using different input data. Our results show that FNN has the lowest training cost and a relatively high prediction accuracy. However, when increasing the time length and reducing the number of time points, vanilla RNN has higher prediction accuracy. Furthermore, we develop an interactive web-based tool, enabling real-time topological phase prediction based on user-specified parameters. This study not only lays the foundation for researchers to identify topology by using population dynamics as the input data of neural networks but also provides an accessible platform to support data-driven exploration of complex quantum phases. Full article
(This article belongs to the Special Issue Symmetry-Related Quantum Phases in Exciton-Polariton Condensates)
Show Figures

Figure 1

15 pages, 1130 KB  
Article
Dissonance in the Algorithmic Era: Evaluating Showcase Digital Competence and Ethical Resilience in Communication Training
by Esma Kucukalic Ibrahimovic
Journal. Media 2026, 7(1), 38; https://doi.org/10.3390/journalmedia7010038 - 14 Feb 2026
Viewed by 302
Abstract
The disruptive acceleration of Generative Artificial Intelligence (GAI) has amplified the phenomenon of Global Friction (Globofriction), where technological speed undermines informational stability and weakens democratic resilience. Within higher education, this scenario demands training models capable of preparing future communicators to act as guarantors [...] Read more.
The disruptive acceleration of Generative Artificial Intelligence (GAI) has amplified the phenomenon of Global Friction (Globofriction), where technological speed undermines informational stability and weakens democratic resilience. Within higher education, this scenario demands training models capable of preparing future communicators to act as guarantors of truth amid automated erosion of discourse. This research evaluates the digital competence of Communication students through an interdisciplinary STEM-SSH (Science, Technology, Engineering, Mathematics—Social Sciences and Humanities) nexus approach based on the Kirkpatrick model. A mixed-methods methodology was employed, analyzing self-perception and cybersecurity data (n = 59), technical performance in the production of interactive infographics (n = 25), and qualitative evidence from reflection forums on systemic risks. The results reveal a “showcase digital competence”: a functional dissonance where future communicators demonstrate technical excellence under academic supervision but maintain negligent habits in their autonomous praxis. The study concludes that, given risks such as data porridge and strategic disinformation, it is urgent to transition toward a model of ethical resilience. This shift is imperative to reclaim the sovereignty of human judgment and ensure the integrity of public debate amidst current technological friction. Full article
Show Figures

Figure 1

26 pages, 6581 KB  
Article
FWinFormer: A Frequency-Domain Deep Learning Framework for 3D Ocean Subsurface Temperature Prediction
by Juntong Wu, Miao Hu, Xiulin Geng and Xun Zhang
Remote Sens. 2026, 18(4), 575; https://doi.org/10.3390/rs18040575 - 12 Feb 2026
Viewed by 211
Abstract
Subsurface temperature is an important parameter for characterizing oceanic physical processes, and accurate prediction of subsurface temperature is essential for understanding oceanic changes. Existing methods primarily focus on spatial modeling but offer limited characterization of the spatiotemporal structure and frequency features of sea [...] Read more.
Subsurface temperature is an important parameter for characterizing oceanic physical processes, and accurate prediction of subsurface temperature is essential for understanding oceanic changes. Existing methods primarily focus on spatial modeling but offer limited characterization of the spatiotemporal structure and frequency features of sea temperature. They also suffer from restricted receptive fields and limited ability to model long-term dependencies. In this study, we propose a deep learning model named Fourier Window Transformer (FWinFormer), which integrates frequency-domain modeling to predict the three-dimensional subsurface temperature over the next 24 days. The model incorporates both temporal and frequency characteristics to enhance prediction accuracy. It consists of three modules: a Spatial Block Encoder, a Translator, and a Spatial Block Decoder. The spatial encoding and decoding modules are designed to extract spatial features, while the Translator models multi-scale temporal features based on the features extracted by the encoding and decoding modules. The input consists of 24 days of historical satellite observations, including sea-surface temperature (SST), salinity (SSS), eastward velocity (SSU), northward velocity (SSV) and height (SSH). We compared the model predictions with reanalysis data and evaluated performance from the perspectives of temporal evolution, spatial distribution, and vertical structure. Additionally, we validated the predicted temperatures against in situ observations. The results show that the model achieves strong and consistent performance across various temporal scales and spatial regions, with MAE, RMSE, and R2 values of 0.529, 0.785, and 0.994, respectively, for the 24-day average prediction. Full article
(This article belongs to the Special Issue Artificial Intelligence for Ocean Remote Sensing (Second Edition))
Show Figures

Figure 1

10 pages, 1724 KB  
Article
Sexual Dimorphism in Three Populations of the Chiala Mountain Salamander, Batrachuperus karlschmidti (Caudata: Hynobiidae)
by Xiuying Liu, Chunhao Shen, Yuanhua Xu, Jian Song, Min Lou and Jianli Xiong
Animals 2026, 16(2), 332; https://doi.org/10.3390/ani16020332 - 21 Jan 2026
Viewed by 192
Abstract
Sexual dimorphism (SD) is a widespread phenomenon among animals and has attracted considerable interest in evolutionary biology. Most studies on SD have been limited to a single population, and few have focused on multiple populations. In this study, size and shape SD were [...] Read more.
Sexual dimorphism (SD) is a widespread phenomenon among animals and has attracted considerable interest in evolutionary biology. Most studies on SD have been limited to a single population, and few have focused on multiple populations. In this study, size and shape SD were evaluated in three populations of Batrachuperus karlschmidti, a hynobiid species endemic to China. SD was not found in body size, but was observed in body shape. Males had larger relative dimensions in head length, head width, forelimb length, forelimb width, hindlimb length, hindlimb width, and tail length. Conversely, females were larger in the relative dimension of interlimb distance. Sexual selection can account for SD in head and limbs, thereby enhancing male reproductive success. Conversely, fecundity selection drives SD in limbs, tail length, and interlimb distance, ultimately improving the reproductive ability of both sexes. Differences in sexual shape dimorphism (SShD) traits were also found among populations, which may be caused by dissimilar levels of selection forces in the environment. This study provides insight into identifying the causes that promote sexual dimorphism, as well as the degree of difference in SShD traits among populations. Full article
(This article belongs to the Section Herpetology)
Show Figures

Figure 1

31 pages, 15738 KB  
Article
HiT_DS: A Modular and Physics-Informed Hierarchical Transformer Framework for Spatial Downscaling of Sea Surface Temperature and Height
by Min Wang, Weixuan Liu, Rong Chu, Xidong Wang, Shouxian Zhu and Guanghong Liao
Remote Sens. 2026, 18(2), 292; https://doi.org/10.3390/rs18020292 - 15 Jan 2026
Viewed by 216
Abstract
Recent advances in satellite observations have expanded the use of Sea Surface Temperature (SST) and Sea Surface Height (SSH) data in climate and oceanography, yet their low spatial resolution limits fine-scale analyses. We propose HiT_DS, a modular hierarchical Transformer framework for high-resolution downscaling [...] Read more.
Recent advances in satellite observations have expanded the use of Sea Surface Temperature (SST) and Sea Surface Height (SSH) data in climate and oceanography, yet their low spatial resolution limits fine-scale analyses. We propose HiT_DS, a modular hierarchical Transformer framework for high-resolution downscaling of SST and SSH fields. To address challenges in multiscale feature representation and physical consistency, HiT_DS integrates three key modules: (1) Enhanced Dual Feature Extraction (E-DFE), which employs depth-wise separable convolutions to improve local feature modeling efficiently; (2) Gradient-Aware Attention (GA), which emphasizes dynamically important high-gradient structures such as oceanic fronts; and (3) Physics-Informed Loss Functions, which promote physical realism and dynamical consistency in the reconstructed fields. Experiments across two dynamically distinct oceanic regions demonstrate that HiT_DS achieves improved reconstruction accuracy and enhanced physical fidelity, with selective module combinations tailored to regional dynamical conditions. This framework provides an effective and extensible approach for oceanographic data downscaling. Full article
Show Figures

Figure 1

36 pages, 3587 KB  
Article
The Influence of Sunflower Seed Hull Content on the Mechanical, Thermal, and Functional Properties of PHBV-Based Biocomposites
by Grzegorz Janowski, Marta Wójcik, Irena Krešić, Wiesław Frącz, Łukasz Bąk, Ivan Gajdoš and Emil Spišák
Materials 2026, 19(2), 268; https://doi.org/10.3390/ma19020268 - 8 Jan 2026
Viewed by 540
Abstract
This paper presents the potential use of sunflower seed hulls (SSH) as a sustainable filler for poly(3-hydroxybutyrate-co-3-hydroxyvalerate) (PHBV) biocomposites. Ground SSH were incorporated into the PHBV matrix at loadings of 15, 30, and 45 wt% via extrusion and injection molding. The Fourier Transform [...] Read more.
This paper presents the potential use of sunflower seed hulls (SSH) as a sustainable filler for poly(3-hydroxybutyrate-co-3-hydroxyvalerate) (PHBV) biocomposites. Ground SSH were incorporated into the PHBV matrix at loadings of 15, 30, and 45 wt% via extrusion and injection molding. The Fourier Transform Infrared Spectroscopy (FTIR) analysis indicated the presence of possible interactions between the filler and the matrix. Mechanical testing revealed a significant increase in stiffness, with the tensile modulus increasing from 2.6 GPa for pure PHBV to approximately 4.5 GPa for the composite containing 45 wt% SSH. However, the tensile strength decreased by approximately 10–40%, while elongation at break dropped to 1.0–1.5%, depending on the SSH dosage, respectively. The thermal analysis indicated that high filler contents suppress crystallization during cooling under laboratory conditions in Differential Scanning Calorimetry (DSC) analysis due to the confinement effect. The key practical advantage is the exceptional improvement in dimensional stability with a processing shrinkage reduction of approximately 80% in the thickness direction. Although water absorption increased with filler loading, biocomposites containing 15–30 wt% SSH exhibited the optimal balance of high stiffness, hardness, and dimensional accuracy. These properties make the developed material a promising option for the production of precise technical molded parts. Full article
(This article belongs to the Special Issue Processing and Mechanical Properties of Polymer Composites)
Show Figures

Figure 1

15 pages, 2659 KB  
Article
Targeting Glutamine Transporters as a Novel Drug Therapy for Synovial Sarcoma
by Tran Duc Thanh, Naoki Takada, Hana Yao, Yoshitaka Ban, Naoto Oebisu, Manabu Hoshi, Nguyen Tran Quang Sang, Nguyen Van Khanh, Dang Minh Quang, Le Thi Thanh Thuy, Tran Trung Dung and Hidetomi Terai
Cancers 2026, 18(1), 15; https://doi.org/10.3390/cancers18010015 - 19 Dec 2025
Viewed by 727
Abstract
Background/Objectives: Synovial sarcoma (SS) is a malignant soft tissue neoplasm with good outcomes in adolescents with localized tumors, but poor outcomes in older adults and in advanced or metastatic cases. Targeting cancer metabolism, such as glutamine metabolism, is a promising therapeutic [...] Read more.
Background/Objectives: Synovial sarcoma (SS) is a malignant soft tissue neoplasm with good outcomes in adolescents with localized tumors, but poor outcomes in older adults and in advanced or metastatic cases. Targeting cancer metabolism, such as glutamine metabolism, is a promising therapeutic strategy. In this study, we investigated glutamine dependency in SS and assessed the therapeutic potential of inhibiting the glutamine transporter ASCT2 using V9302. Methods: Immunohistochemistry (IHC) was used to evaluate ASCT2 expression in SS and liposarcoma (LPS) specimen. The effects of glutamine deprivation and V9302 were examined in a SS cell line (HS-SY-II), patient-derived SS cells (SSH1), and a normal cell line (HEK293). Cell viability, apoptosis, and protein expression were assessed using the CCK-8 assay, flow cytometry, and Western blotting, respectively. The therapeutic efficacy of V9302 was evaluated in a xenograft model using IHC. Results: ASCT2 expression was elevated in SS tumor tissues compared with adjacent normal tissues and LPS specimens. Both the HS-SY-II cell line and SSH1 cells exhibited strong glutamine dependency for proliferation. V9302 selectively reduced HS-SY-II cell viability by suppressing the AKT/mTOR signaling pathway and inducing apoptosis via caspase-3 activation, with minimal effects on control cells. In vivo, V9302 administration significantly inhibited tumor growth without inducing systemic toxicity, and IHC of the treated tumors confirmed the suppression of the mTOR pathway and induction of apoptosis. Conclusions: Our findings suggest that SS is a glutamine-dependent malignancy and validate ASCT2 as a promising therapeutic target. The ASCT2 inhibitor V9302 demonstrated therapeutic efficacy both in vitro and in vivo, supporting its potential as a therapeutic agent for SS. Full article
(This article belongs to the Section Cancer Drug Development)
Show Figures

Figure 1

26 pages, 920 KB  
Review
Pioneering Insights into the Complexities of Salt-Sensitive Hypertension: Central Nervous System Mechanisms and Dietary Bioactive Compound Interventions
by Renjun Wang, Bo Xu, Xiping Liu, Qi Guo, Gregory Miodonski, Zhiying Shan, Dongshu Du and Qing-Hui Chen
Nutrients 2025, 17(24), 3961; https://doi.org/10.3390/nu17243961 - 18 Dec 2025
Viewed by 889
Abstract
Salt-sensitive hypertension (SSH) is an important and common subtype of hypertension, whose pathogenesis involves multi-level regulation, including the central nervous system (CNS), metabolic stress, and epigenetics. Dietary bioactive compounds have emerged as a research hotspot for SSH intervention due to their safety and [...] Read more.
Salt-sensitive hypertension (SSH) is an important and common subtype of hypertension, whose pathogenesis involves multi-level regulation, including the central nervous system (CNS), metabolic stress, and epigenetics. Dietary bioactive compounds have emerged as a research hotspot for SSH intervention due to their safety and multi-target effects. Although existing studies have focused on the CNS regulation of SSH or the role of individual dietary components, there is a lack of comprehensive analysis integrating multiple mechanisms, systematically summarizing multiple compounds, and incorporating a clinical translation perspective. This review first outlines the mechanisms of CNS pathways, endoplasmic reticulum (ER) stress, mitochondrial dysfunction, and epigenetic modifications in SSH. Then, it systematically reviews the mechanisms of action and preclinical and clinical research progress of bioactive compounds, including capsaicin, taurine, gamma-aminobutyric acid, tea, and anthocyanins in SSH. In summary, this review systematically clarifies the complex regulatory network of SSH and the intervention potential of dietary bioactive compounds from an integrated perspective, innovatively proposes a precise dietary intervention framework, and fills the research gaps in the integration of multiple mechanisms and systematic evaluation of compounds in existing studies. This framework not only provides a new integrated perspective for the basic research of SSH but also offers key references for clinical dietary guidance, functional food development, and the formulation of targeted intervention strategies. Full article
Show Figures

Figure 1

21 pages, 5556 KB  
Article
Investigation of Physics-Informed Methods for Improving Sea Surface Height Prediction Based on Neural Networks in the South China Sea
by Linxiao Huang, Yeqiang Shu, Jinglong Yao and Danian Liu
Remote Sens. 2025, 17(23), 3838; https://doi.org/10.3390/rs17233838 - 27 Nov 2025
Viewed by 766
Abstract
Sea surface height (SSH) derived from satellite altimetry is essential for oceanographic research and marine monitoring. Although artificial intelligence (AI) models show considerable potential in forecasting, their application in oceanography remains constrained by several limitations. To address these challenges, we propose a set [...] Read more.
Sea surface height (SSH) derived from satellite altimetry is essential for oceanographic research and marine monitoring. Although artificial intelligence (AI) models show considerable potential in forecasting, their application in oceanography remains constrained by several limitations. To address these challenges, we propose a set of physics-informed methods to improve SSH prediction based on neural networks in the South China Sea (SCS). The key strategies include: (1) incorporating land mask information to mitigate artifacts induced by the presence of land in marine data; (2) introducing a geostrophic constraint into the loss function; and applying latitude-dependent weighting to this constraint to account for the breakdown of geostrophic balance near the equator. On the test dataset, the physics-informed SimVPv2 (Phys-SV) model achieves an RMSE of 0.0173 m, a 13% improvement over the baseline SimVPv2 (Base-SV). The PredRNNv2 (PR) model also benefits significantly from the inclusion of land mask input, with RMSE reduced by 12% (from 0.0280 m to 0.0246 m). To the best of our knowledge, this study is the first to identify the artifact issue in AI models caused by land points in ocean data and to reveal the limitations of directly concatenating heterogeneous oceanic variables as model inputs. Full article
Show Figures

Figure 1

43 pages, 2371 KB  
Review
SHEAB: A Novel Automated Benchmarking Framework for Edge AI
by Mustafa Abdulkadhim and Sandor R. Repas
Technologies 2025, 13(11), 515; https://doi.org/10.3390/technologies13110515 - 11 Nov 2025
Cited by 2 | Viewed by 1996
Abstract
Edge computing is characterized by heterogeneous hardware, distributed deployment, and a need for on-site processing, which makes performance benchmarking challenging. This paper presents SHEAB (Scalable Heterogeneous Edge Automation Benchmarking), a novel framework designed to securely automate the benchmarking of Edge AI devices at [...] Read more.
Edge computing is characterized by heterogeneous hardware, distributed deployment, and a need for on-site processing, which makes performance benchmarking challenging. This paper presents SHEAB (Scalable Heterogeneous Edge Automation Benchmarking), a novel framework designed to securely automate the benchmarking of Edge AI devices at scale. The proposed framework enables concurrent performance evaluation of multiple edge nodes, drastically reducing the time-to-deploy (TTD) for benchmarking tasks compared to traditional sequential methods. SHEAB’s architecture leverages containerized microservices for orchestration and result aggregation, integrated with multi-layer security (firewalls, VPN tunneling, and SSH) to ensure safe operation in untrusted network environments. We provide a detailed system design and workflow, including algorithmic pseudocode for the SHEAB process. A comprehensive comparative review of related work highlights how SHEAB advances the state-of-the-art in edge benchmarking through its combination of secure automation and scalability. We detail a real-world implementation on eleven heterogeneous edge devices, using a centralized 48-core server to coordinate benchmarks. Statistical analysis of the experimental results demonstrates a 43.74% reduction in total benchmarking time and a 1.78× speedup in benchmarking throughput using SHEAB, relative to conventional one-by-one benchmarking. We also present mathematical formulations for performance gain and discuss the implications of our results. The framework’s effectiveness is validated through the concurrent execution of standard benchmarking workloads on distributed edge nodes, with results stored in a central database for analysis. SHEAB thus represents a significant step toward efficient and reproducible Edge AI performance evaluation. Future work will extend the framework to broader workloads and further improve parallel efficiency. Full article
(This article belongs to the Section Information and Communication Technologies)
Show Figures

Figure 1

11 pages, 1114 KB  
Article
Gait Recovery After Total Hip Arthroplasty with Subtrochanteric Osteotomy in Highly Dislocated Hips: A Retrospective Single-Center Cohort Study
by Chan-Jin Park, Gun-Woo Lee, Chan Young Lee and Kyung-Soon Park
J. Clin. Med. 2025, 14(20), 7446; https://doi.org/10.3390/jcm14207446 - 21 Oct 2025
Viewed by 832
Abstract
Background: We aimed to analyze various gait parameters before and after THA for patients with a highly dislocated hip to examine gait recovery and whether it is continued. Methods: This was a retrospective, single-center study. We enrolled 10 patients with a [...] Read more.
Background: We aimed to analyze various gait parameters before and after THA for patients with a highly dislocated hip to examine gait recovery and whether it is continued. Methods: This was a retrospective, single-center study. We enrolled 10 patients with a highly dislocated hip (10 hips) due to developmental dysplasia of the hip (DDH) or sequelae of septic arthritis of the hip (SSH). A spatio-temporal gait analysis was performed before THA with subtrochanteric osteotomy and one year after surgery for all patients, and 5 of them had a complete follow-up gait analysis at five years postoperatively. Demographics, clinical outcome, and radiological data were collected. Results: At one year postoperatively, the terminal double support (TDS) increased from 8.6% (4.3–12.6) to 11.3% (5.8–14.0) of the gait cycle (p = 0.02). The vertical ground reaction force (vGRF) increased from 0.96 N/BW (0.69–1.30) to 1.11 N/BW (0.95–1.31) for the first peak (p = 0.045) and from 0.87 N/BW (0.59–1.12) to 1.10 N/BW (1.00–1.30) for the second peak (p = 0.001). However, there was no improvement in any gait parameters at five years postoperatively compared to one year postoperatively. The mean HHS was 57.2 (43–67) before surgery and 79.6 (61–88) at the last follow-up (p = 0.001). The preoperative leg length discrepancy (LLD), which was 43.6 mm (18.2–71.6), and improved to 9.8 mm (2.1–22.1) after surgery. Conclusions: Improvements in stance-phase stability (TDS) and vertical ground reaction forces (vGRF) enhanced gait after THA in patients with highly dislocated hips; however, these gains were only observed until 1 year postoperatively, with no further improvement thereafter. Notably, the magnitude of improvement in TDS and vGRF may exceed that typically reported after THA for primary osteoarthritis. Full article
(This article belongs to the Section Orthopedics)
Show Figures

Figure 1

15 pages, 2817 KB  
Article
Universal Phase Correction for Quantum State Transfer in One-Dimensional Topological Spin Chains
by Tian Tian, Yingnan Yan and Shizhen Wang
Photonics 2025, 12(10), 1022; https://doi.org/10.3390/photonics12101022 - 16 Oct 2025
Viewed by 629
Abstract
Gap-protected topological channels are a promising way to realize robust and high-fidelity state transfer in quantum networks. Although various topological transfer protocols based on the Su-Schrieffer-Heeger (SSH) model or its variants have been proposed, the phase accumulation during the evolution, as an essential [...] Read more.
Gap-protected topological channels are a promising way to realize robust and high-fidelity state transfer in quantum networks. Although various topological transfer protocols based on the Su-Schrieffer-Heeger (SSH) model or its variants have been proposed, the phase accumulation during the evolution, as an essential aspect, is underestimated. Here, by numerically studying the phase information of quantum state transfer (QST) in one-dimensional (1D) topological spin chains, we uncover a universal phase correction ϕ0=(N1)π/2 for both adiabatic and diabatic topological schemes. Interestingly, the site-number-dependent phase correction satisfies Z4 symmetry and is equally effective for perfect mirror transmission in spin chains. Our work reveals a universal phase correction in 1D topologically protected QST, which will prompt a reevaluation of the topological protection mechanism in quantum systems. Full article
(This article belongs to the Section Quantum Photonics and Technologies)
Show Figures

Figure 1

28 pages, 25651 KB  
Article
Performance of Multi-Antenna GNSS Buoy and Co-Located Mooring Array Deployed Around Qianliyan Islet for Altimetry Satellite Calibration
by Bin Guan, Zhongmiao Sun, He Huang, Zhenhe Zhai, Xiaogang Liu, Jian Ma, Lingyong Huang, Zhiyong Huang, Mingda Ouyang, Mimi Zhang, Xiyu Xu and Lei Yang
Remote Sens. 2025, 17(20), 3436; https://doi.org/10.3390/rs17203436 - 15 Oct 2025
Viewed by 735
Abstract
To evaluate the prospects of multi-antenna GNSS buoy and mooring array in ocean altimetry satellite calibration, experiments are conducted in the ocean around Qianliyan islet in China’s Yellow Sea. The trials aim to validate the feasibility of establishing an ocean altimetry satellite calibration [...] Read more.
To evaluate the prospects of multi-antenna GNSS buoy and mooring array in ocean altimetry satellite calibration, experiments are conducted in the ocean around Qianliyan islet in China’s Yellow Sea. The trials aim to validate the feasibility of establishing an ocean altimetry satellite calibration site while assessing the performance of relevant calibration equipment. Utilizing one multi-antenna GNSS buoy system and one mooring array operating for over 20 days, the experiment incorporates continuous GNSS observation data from Qianliyan islet’s permanent station. Results reveal that high-frequency sea surface height (SSH) signals exhibit periods approaching or below 10 s, with the designed low-pass filter effectively attenuating these high-frequency components. Significant differences emerge in the power spectra of filtered SSH measurements between instruments: high-frequency signals detected by the mooring array demonstrate greater spectral concentration and lower signal intensity than those recorded by the GNSS buoy. Through multi-day synchronized observations, the height datum for mooring array SSH measurements is obtained, revealing average standard deviation of 2.76 cm in filtered SSH differences between platforms—validating both the system design and data processing methodology. This experiment successfully demonstrates the performance of calibration equipment, preliminarily verifies the effectiveness of ground-based calibration data processing techniques, and further confirms the technical viability of establishing an ocean altimetry satellite calibration site around Qianliyan islet. Full article
Show Figures

Figure 1

Back to TopTop