Sign in to use this feature.

Years

Between: -

Subjects

remove_circle_outline
remove_circle_outline
remove_circle_outline
remove_circle_outline
remove_circle_outline
remove_circle_outline
remove_circle_outline

Journals

Article Types

Countries / Regions

Search Results (39)

Search Parameters:
Keywords = SPRi biosensor

Order results
Result details
Results per page
Select all
Export citation of selected articles as:
16 pages, 3874 KB  
Article
Correlation Between Intrafollicular IL-10, Progesterone, and Bovine Oocyte Developmental Competence
by Aleksandra Teresa Pytel, Dawid Tobolski, Piotr Skup, Patrycja Strączyńska, Kinga Domrazek, Zdzisław Gajewski, Ewa Gorodkiewicz and Krzysztof Papis
Int. J. Mol. Sci. 2025, 26(23), 11364; https://doi.org/10.3390/ijms262311364 - 24 Nov 2025
Viewed by 427
Abstract
The developmental competence of oocytes is a critical limiting factor in bovine in vitro embryo production (IVEP). Our study aimed to investigate the relationship between the intrafollicular concentrations of interleukin-10 (IL-10) and progesterone (P4), follicle characteristics, and the subsequent developmental success of bovine [...] Read more.
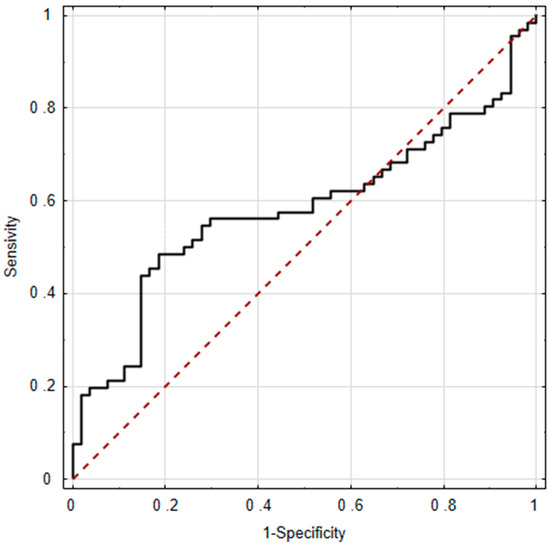
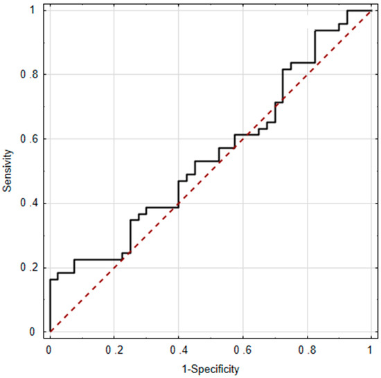
The developmental competence of oocytes is a critical limiting factor in bovine in vitro embryo production (IVEP). Our study aimed to investigate the relationship between the intrafollicular concentrations of interleukin-10 (IL-10) and progesterone (P4), follicle characteristics, and the subsequent developmental success of bovine oocytes. Follicular fluid (FF) and corresponding cumulus–oocyte complexes (n = 314) were collected from FSH-stimulated heifers. A novel, high-sensitivity Surface Plasmon Resonance Imaging biosensor was used to quantify IL-10, while P4 was measured by an enzyme-linked fluorescent assay. Oocytes were individually cultured to assess cleavage (Day 3) and blastocyst formation (Day 7). Statistical analysis revealed that intrafollicular IL-10 concentration was a significant positive predictor of developmental success, significantly correlating with blastocyst rate (ρ = 0.29, p = 0.016). Oocytes from follicles with IL-10 concentrations above an optimized cutoff of 142.16 pg/mL had a 16.33-fold greater chance of developing into a blastocyst (p = 0.006). A predictive model combining IL-10 and oocyte morphology demonstrated the highest accuracy for predicting blastocyst success (AUC = 0.724). Conversely, poor oocyte morphology (Grade 4) and large follicular volume (>1200 µL) were significantly associated with developmental failure. Intrafollicular P4 concentration was not directly correlated with embryo development but rather with follicle size. Our findings identify intrafollicular IL-10 as a potent biomarker for predicting bovine oocyte competence and suggest that its quantification using sensitive biosensor technology could enhance the efficiency of IVEP programs. Full article
Show Figures

Figure 1

14 pages, 1836 KB  
Article
A Novel Surface Plasmon Resonance Imaging (SPRi) Biosensor for the Determination of Bovine Interleukin-10: Development, Validation, and Application in Biological Fluids
by Aleksandra Pytel, Dawid Tobolski, Piotr Skup, Justyna Gargaś, Sylwia Flis, Zdzisław Gajewski, Ewa Gorodkiewicz and Krzysztof Papis
Int. J. Mol. Sci. 2025, 26(21), 10395; https://doi.org/10.3390/ijms262110395 - 25 Oct 2025
Cited by 1 | Viewed by 822
Abstract
Interleukin-10 (IL-10) is a pleiotropic cytokine that is pivotal in regulating the immune response. Its involvement in the pathophysiology of bovine diseases and its potential influence on oocyte developmental competence make it an important target for diagnostics and research. This study aimed to [...] Read more.
Interleukin-10 (IL-10) is a pleiotropic cytokine that is pivotal in regulating the immune response. Its involvement in the pathophysiology of bovine diseases and its potential influence on oocyte developmental competence make it an important target for diagnostics and research. This study aimed to develop and validate a novel, rapid, and sensitive analytical tool for its quantification. A specific biosensor based on Surface Plasmon Resonance Imaging (SPRi) was developed for the precise quantification of bovine IL-10, utilizing a polyclonal rabbit antibody immobilized on a gold chip for direct capture from complex biological matrices. The method was validated for its analytical performance, including linearity, sensitivity, precision, and selectivity. The developed method is characterized by a wide diagnostic range (1–1000 pg/mL) and high sensitivity, with a limit of detection (LOD) of 0.45 pg/mL and a limit of quantification (LOQ) of 1.49 pg/mL. The biosensor was successfully applied to measure IL-10 concentrations in bovine serum and follicular fluid, revealing significantly higher levels in follicular fluid. The validated SPRi biosensor is a rapid, sensitive, and cost-effective tool for determining IL-10 levels. Its successful application confirms its utility for veterinary diagnostics and highlights its potential for research in reproductive biology, particularly for assessing the follicular microenvironment. Full article
(This article belongs to the Section Molecular Pathology, Diagnostics, and Therapeutics)
Show Figures

Figure 1

19 pages, 2480 KB  
Article
Matrix Optical Biosensor for Determining YKL-40/CHI3L1—A Biomarker Potentially Associated with Alzheimer’s Disease
by Zuzanna Zielinska, Abdulelah Ba Tarfi and Ewa Gorodkiewicz
Biosensors 2025, 15(10), 687; https://doi.org/10.3390/bios15100687 - 10 Oct 2025
Viewed by 1029
Abstract
YKL-40 is a glycoprotein that may be present at elevated levels in many cancers and neurodegenerative diseases. It has been investigated in numerous studies as a potential biomarker for several conditions, including Alzheimer’s Disease (AD). In this study, a biosensor with Surface Plasmon [...] Read more.
YKL-40 is a glycoprotein that may be present at elevated levels in many cancers and neurodegenerative diseases. It has been investigated in numerous studies as a potential biomarker for several conditions, including Alzheimer’s Disease (AD). In this study, a biosensor with Surface Plasmon Resonance imaging (SPRi) detection, sensitive to YKL-40, was constructed for the detection of this analyte in the blood plasma of AD patients. Extensive validation of the biosensor was performed. This included the determination of analytical parameters such as the biosensor’s response characteristics, detection and quantification limits, precision, accuracy, repeatability, selectivity, stability, and performance in natural samples. Validation parameters were primarily tested using standard solutions, while natural samples were employed to evaluate repeatability, stability, and assay accuracy in three groups of samples from different patients. A YKL-40-specific antibody was used as the receptor layer, immobilized on a gold plate using the EDC/NHS protocol on thiol 11-MUA. The biosensor exhibited a wide operating range (1–200 ng/mL), a low detection limit (LOD) of 2 pg/mL, and a quantification limit (LOQ) of 7 pg/mL. High precision and accuracy were confirmed by the calculated standard deviations (SD) and coefficients of variation (CV), which ranged from 0.0009 to 7.02 ng/mL and from 0.12% to 9.24%, respectively. The sensor also demonstrated good repeatability (CV = 4.995%) and was capable of detecting the analyte of interest in complex biological matrices. Its applicability was confirmed in a study using plasma from AD patients and two selected control groups: plasma from smokers and patients with prostatitis. This allowed the assessment of YKL-40 levels across different groups. The results were consistent with literature values, and statistical analysis confirmed the significance of concentration differences between groups. Furthermore, ROC curve analysis confirmed the diagnostic usefulness of the constructed YKL-40 test in the context of Alzheimer’s disease. Full article
(This article belongs to the Section Optical and Photonic Biosensors)
Show Figures

Figure 1

21 pages, 3587 KB  
Article
Carboxymethyl Dextran-Based Biosensor for Simultaneous Determination of IDO-1 and IFN-Gamma in Biological Material
by Zuzanna Zielinska, Anna Sankiewicz, Natalia Kalinowska, Beata Zelazowska-Rutkowska, Tomasz Guszcz, Leszek Ambroziak, Miroslaw Kondratiuk and Ewa Gorodkiewicz
Biosensors 2025, 15(7), 444; https://doi.org/10.3390/bios15070444 - 10 Jul 2025
Cited by 1 | Viewed by 919
Abstract
Indoleamine 2,3-dioxygenase 1 (IDO-1) and interferon-gamma (IFN-γ) are proteins that play a significant role in inflammatory conditions and tumor development. The detection of IDO1 and IFN-γ is crucial for understanding their interplay in immune responses. This study introduced a novel method for the [...] Read more.
Indoleamine 2,3-dioxygenase 1 (IDO-1) and interferon-gamma (IFN-γ) are proteins that play a significant role in inflammatory conditions and tumor development. The detection of IDO1 and IFN-γ is crucial for understanding their interplay in immune responses. This study introduced a novel method for the simultaneous quantitative determination of IDO-1 and IFN-γ in different biological samples/materials. The method is based on an optical biosensor, with surface plasmon resonance detection carried out by the imaging version of the sensor (SPRi). Biotinylated antibodies immobilized on the surfaces of the linker and carboxymethylated dextran served as the recognition elements for the developed biosensor. Relevant studies were conducted to optimize the activities of the biosensor by employing appropriate reagent concentrations. Validation was performed for each protein separately; low detection and quantification limits were obtained (for IDO-1 LOD = 0.27 ng/mL, LOQ = 0.81 ng/mL; for IFN-γ LOD = 1.76 pg/mL and LOQ = 5.29 pg/mL). The sensor operating ranges were 0.001–10 ng/mL for IDO-1 and 0.1–1000 pg/mL for IFN-γ. The constructed biosensor demonstrated its sensitivity and precision when the appropriate analytical parameters were determined, based on the proposed method. It can also selectively capture IDO-1 and IFN-γ from a large sample matrix. The biosensor efficiency was confirmed by the determination of IDO-1 and IFN-γ in simultaneous measurements of the plasma and urine samples of patients diagnosed with bladder cancer and the control group. The outcomes were compared to those obtained using a certified ELISA test, demonstrating convergence between the two methodologies. The preliminary findings demonstrate the biosensor’s efficacy and suitability for comprehensive analyses of the examined biological samples. Full article
(This article belongs to the Special Issue Micro/Nanofluidic System-Based Biosensors)
Show Figures

Figure 1

13 pages, 1417 KB  
Article
Development of an SPRi Immune Method for the Quantitative Detection of Osteopontin
by Anna Sankiewicz, Beata Żelazowska-Rutkowska, Tomasz Guszcz and Ewa Gorodkiewicz
Sensors 2025, 25(12), 3628; https://doi.org/10.3390/s25123628 - 9 Jun 2025
Viewed by 935
Abstract
Osteopontin (OPN) is a protein that plays many essential functions in the human body. It is present in most tissues and body fluids. OPN, among other things, participates in wound healing, the formation and remodeling of bone, immune response, inflammation, angiogenesis, and tumor [...] Read more.
Osteopontin (OPN) is a protein that plays many essential functions in the human body. It is present in most tissues and body fluids. OPN, among other things, participates in wound healing, the formation and remodeling of bone, immune response, inflammation, angiogenesis, and tumor formation. A new analytical method, based on SPRi (surface plasmon resonance imaging) biosensors, has been developed to determine osteopontin in biological fluids. OPN was captured from a solution by an immobilized antibody (mouse or rabbit), a bioreceptor in the SPRi sensor. A separate validation process was carried out for each antibody used. The LOD and LOQ values obtained for the biosensor with mouse antibody were 0.014 ng mL−1 and 0.043 ng mL−1, respectively, and those obtained for the biosensor with rabbit antibody were 0.018 ng mL−1 and 0.055 ng mL−1, respectively. The response ranges of both biosensors were in a similar range: 0.05–1.00 ng mL−1. OPN was determined in blood plasma to demonstrate the sensor potential, showing good agreement with the data obtained using an ELISA test and reported in the literature. The presented method is characterized by ease and speed of measurement, and the process does not require special preparation of samples. Full article
(This article belongs to the Section Biosensors)
Show Figures

Figure 1

13 pages, 629 KB  
Article
Detection of Cadherin 12 in Plasma and Peritoneal Fluid Among Women with Endometriosis Using Novel Surface Plasmon Resonance Imaging (SPRi) Method
by Ksawery Goławski, Zuzanna Zielińska, Cezary Wojtyła, Łukasz Ołdak, Mariusz Kuźmicki, Sławomir Ławicki, Michał Ciebiera, Tadeusz Issat, Ewa Gorodkiewicz, Piotr Pierzyński and Piotr Laudański
Diagnostics 2025, 15(11), 1366; https://doi.org/10.3390/diagnostics15111366 - 28 May 2025
Viewed by 889
Abstract
Background: Endometriosis is a common gynecological disease linked to significant diagnostic challenges. Cadherin 12 (CDH12), as a member of adhesion molecules, is supposed to be involved in the pathogenesis of this disease and therefore can be a potential biomarker candidate. Methods: In this [...] Read more.
Background: Endometriosis is a common gynecological disease linked to significant diagnostic challenges. Cadherin 12 (CDH12), as a member of adhesion molecules, is supposed to be involved in the pathogenesis of this disease and therefore can be a potential biomarker candidate. Methods: In this study, we analyzed the concentration of CDH12 in plasma and peritoneal fluid samples collected from women with endometriosis and controls, using surface plasmon resonance imaging (SPRi). We collected plasma samples from 96 women and peritoneal fluid from 73 women after laparoscopy due to symptoms/ultrasound findings suggestive of endometriosis. The diagnosis was confirmed histologically. In the collected samples, we measured the concentrations of CDH12 using a novel technique utilizing an SPRi biosensor. Results: We found that peritoneal fluid CDH12 concentrations were lower in women with infertility compared to fertile women. However, we observed no differences in concentration of CDH12 between endometriosis and control groups in both plasma and peritoneal fluid. Additionally, in a study group of patients with confirmed endometriosis, we observed a significant positive correlation of CDH12 concentrations with patients’ age. Overall, plasma concentrations of CDH12 were significantly greater as compared to levels found in peritoneal fluid. Conclusion: Cadherin 12 has not been confirmed to show direct diagnostic potential for endometriosis using the SPRi method, at least in our cohort of patients. Full article
(This article belongs to the Collection Diagnosis of Endometriosis: Biomarkers and Clinical Methods)
Show Figures

Figure 1

20 pages, 2893 KB  
Article
A Study on the Levels of Selected Proangiogenic Proteins in Human Tissues and Plasma in Relation to Brain Glioma
by Zuzanna Zielinska, Julia Giełażyn, Zofia Dzieciol-Anikiej, Janusz Dzieciol, Piotr Mrozek, Joanna Reszec-Gielazyn and Ewa Gorodkiewicz
Int. J. Mol. Sci. 2025, 26(10), 4802; https://doi.org/10.3390/ijms26104802 - 16 May 2025
Cited by 1 | Viewed by 900
Abstract
Brain glioma is one of the most common malignant tumors of brain tissue. It is characterized by rich vascularization, which indicates the significant participation of angiogenesis in its growth and development. In its first stages, the disease is very often asymptomatic, and late [...] Read more.
Brain glioma is one of the most common malignant tumors of brain tissue. It is characterized by rich vascularization, which indicates the significant participation of angiogenesis in its growth and development. In its first stages, the disease is very often asymptomatic, and late diagnosis significantly limits possibilities of treatment. Tumor angiogenesis, i.e., the formation of new vessels, requires the presence of angiogenic compounds that will enable tumor progression by creating a path for the supply of nutrients. The proangiogenic compounds involved in the development of glioma include hypoxia-inducible factor 1α (HIF-1α), angiopoietin-2 (ANG-2), and interleukin-1β (IL-1β). The aim of this study was to analyze changes in the levels of these proteins in plasma samples of patients diagnosed with brain glioma in stages G1 to G4, and in a control group, using SPRi biosensors. The results obtained in plasma were compared with the concentrations obtained during the analysis of tissue homogenates from patients with glioma in stages G2 to G4. A statistically significant difference in plasma concentrations was obtained between the patient group and the control group. The concentrations of the markers in tissue homogenate samples were statistically higher than in blood plasma. There was no significant effect of gender, diet, smoking, or the patient’s general health condition (Karnofsky score) on the course of the disease. These factors do not directly increase the risk of developing brain glioma. Full article
(This article belongs to the Section Molecular Neurobiology)
Show Figures

Graphical abstract

13 pages, 2951 KB  
Article
Detection of Exosomal microRNA from Malignant Lung Cells Using a Surface Plasmon Resonance Imaging Biosensor
by Razvan Bocu
Biosensors 2025, 15(3), 159; https://doi.org/10.3390/bios15030159 - 3 Mar 2025
Cited by 2 | Viewed by 1573
Abstract
The consideration of micro ribonucleic acid (microRNA) molecules is justified by their ability to act as possible biomarkers, which may be used to detect the most prevalent type of lung cancer: non-small-cell lung cancer (NSCLC). This article describes a surface plasmon resonance imaging [...] Read more.
The consideration of micro ribonucleic acid (microRNA) molecules is justified by their ability to act as possible biomarkers, which may be used to detect the most prevalent type of lung cancer: non-small-cell lung cancer (NSCLC). This article describes a surface plasmon resonance imaging (SPRi) biosensor, which was considered to detect malignant lung cells using an Au/Ag heterostructure, as well as the DNA tetrahedron framework (DNATF). Considering the Au/Ag heterostructure and the DNATF, the proposed SPRi biosensor was evaluated. Thus, its detection range belongs to the interval 1.82 fM up to 28 nM. The measured limit of detection of this biosensor is 1.55 fM, and the generated images offer sufficient fidelity to conduct a precise medical analysis. Therefore, patients who suffer from NSCLC may be accurately and efficiently determined. The experimental evaluation, which is presented, suggests that this is a biosensor that is capable of optimizing the clinical detection of NSCLC. Full article
(This article belongs to the Special Issue Advanced Optical Methods for Biosensing)
Show Figures

Figure 1

15 pages, 2842 KB  
Article
NanoBioAnalytical (NBA) Platform to Decipher Extracellular Vesicles Secreted by Microvascular Endothelial Cells Under Benzo[a]pyrene Exposure
by Geetika Raizada, Joan Guillouzouic, Alain Rouleau, Eric Lesniewska, Eric Le Ferrec, Céline Elie-Caille and Wilfrid Boireau
Biosensors 2025, 15(2), 103; https://doi.org/10.3390/bios15020103 - 11 Feb 2025
Viewed by 1602
Abstract
Recent advances in the clinical extracellular vesicles (EVs) field highlight their potential as biomarkers for diverse diseases and therapeutic applications. This study provides an in-depth characterization of 10k EVs from human microvascular endothelial cells (HMEC-1) exposed to benzo[a]pyrene (B[a]P), a polycyclic aromatic hydrocarbon [...] Read more.
Recent advances in the clinical extracellular vesicles (EVs) field highlight their potential as biomarkers for diverse diseases and therapeutic applications. This study provides an in-depth characterization of 10k EVs from human microvascular endothelial cells (HMEC-1) exposed to benzo[a]pyrene (B[a]P), a polycyclic aromatic hydrocarbon found in food and smoke. Given EVs’ complexity, with numerous surface and cargo proteins, phenotyping remains challenging. Here, we introduce a multiplex biosensor, in µarray format, for profiling EVs from distinct cellular conditions, employing a multimodal approach that combines surface plasmon resonance imaging (SPRi) and in situ atomic force microscopy (AFM) to decipher EVs’ biochemical and biophysical properties. SPRi experiments showed notable EV capture differences on ligands such as Anti-CD36, Anti-CD81, and Anti-ApoA between treated and control conditions, likely due to B[a]P exposure. A complementary AFM study and statistical analyses revealed size differences between EVs from treated and control samples, with ligands like Annexin-V, Anti-CD36, and Anti-VEGFR1 emerging as ligands specific to potential cytotoxicity biomarkers. Our findings suggest that B[a]P exposure may increase EV size and alter marker expression, indicating phenotypic shifts in EVs under cytotoxic stress. The original combination of SPRi and AFM reveals valuable data on the phenotypical and morphological heterogeneities of EV subsets linked to cytotoxic stresses and highlights the potential of EVs as specific toxicological markers. Full article
Show Figures

Figure 1

14 pages, 862 KB  
Article
Is Osteopontin a Reliable Biomarker for Endometriosis?
by Aleksandra Zygula, Kamil Kiecka, Anna Sankiewicz, Mariusz Kuzmicki, Michal Ciebiera, Tadeusz Issat, Wojciech Drygas, Krzysztof Cendrowski, Ewa Gorodkiewicz and Piotr Laudanski
Int. J. Mol. Sci. 2024, 25(22), 11857; https://doi.org/10.3390/ijms252211857 - 5 Nov 2024
Cited by 2 | Viewed by 2102
Abstract
This study aimed to evaluate the concentration of osteopontin in peritoneal fluid and plasma as potential biomarkers for diagnosing endometriosis. Osteopontin levels were measured using surface plasmon resonance imaging (SPRI) biosensors in patients suspected of having endometriosis. Plasma samples were collected from 120 [...] Read more.
This study aimed to evaluate the concentration of osteopontin in peritoneal fluid and plasma as potential biomarkers for diagnosing endometriosis. Osteopontin levels were measured using surface plasmon resonance imaging (SPRI) biosensors in patients suspected of having endometriosis. Plasma samples were collected from 120 patients, and peritoneal fluid was collected from 86 patients. Based on the detection of endometriosis lesions during laparoscopy, participants were divided into a study group (patients with endometriosis) and a control group (patients without endometriosis). The results showed no significant differences in plasma osteopontin levels between women with endometriosis and the control group (19.86 ± 6.72 ng/mL vs. 18.39 ± 4.46 ng/mL, p = 0.15). Similarly, peritoneal fluid osteopontin concentrations did not differ significantly between patients with and without endometriosis (19.04 ± 5.37 ng/mL vs. 17.87 ± 5.13 ng/mL, p = 0.29). Furthermore, osteopontin levels in both plasma and peritoneal fluid were not significantly associated with the stage of endometriosis, the presence of endometrioma, or the menstrual cycle phase. The findings of this study do not support osteopontin concentration as a reliable biomarker for endometriosis. However, further research is necessary to explore osteopontin’s potential role in the disease. Full article
(This article belongs to the Section Molecular Pathology, Diagnostics, and Therapeutics)
Show Figures

Figure 1

17 pages, 4150 KB  
Article
Application of Surface Plasmon Resonance Imaging Biosensors for Determination of Fibronectin, Laminin-5, and Type IV Collagen in Plasma, Urine, and Tissue of Renal Cell Carcinoma
by Tomasz Guszcz, Anna Sankiewicz, Lech Gałek, Ewelina Chilinska-Kopko, Adam Hermanowicz and Ewa Gorodkiewicz
Sensors 2024, 24(19), 6371; https://doi.org/10.3390/s24196371 - 30 Sep 2024
Cited by 4 | Viewed by 2345
Abstract
Laminin, fibronectin, and collagen IV are pivotal extracellular matrix (ECM) components. The ECM environment governs the fundamental properties of tumors, including proliferation, vascularization, and invasion. Given the critical role of cell-matrix adhesion in malignant tumor progression, we hypothesize that the concentrations of these [...] Read more.
Laminin, fibronectin, and collagen IV are pivotal extracellular matrix (ECM) components. The ECM environment governs the fundamental properties of tumors, including proliferation, vascularization, and invasion. Given the critical role of cell-matrix adhesion in malignant tumor progression, we hypothesize that the concentrations of these proteins may be altered in the plasma of patients with clear cell renal cell carcinoma (ccRCC). This study aimed to evaluate the serum, urine, and tissue levels of laminin-5, collagen IV, and fibronectin among a control group and ccRCC patients, with the latter divided into stages T1–T2 and T3–T4 according to the TNM classification. We included 60 patients with histopathologically confirmed ccRCC and 26 patients diagnosed with chronic cystitis or benign prostatic hyperplasia (BPH). Collagen IV, laminin-5, and fibronectin were detected using Surface Plasmon Resonance Imaging biosensors. Significant differences were observed between the control group and ccRCC patients, as well as between the T1–T2 and T3–T4 subgroups. Levels were generally higher in plasma and tissue for fibronectin and collagen IV in ccRCC patients and lower for laminin. The ROC (Receiver operating characteristic) analysis yielded satisfactory results for differentiating between ccRCC patients and controls (AUC 0.84–0.93), with statistical significance for both fibronectin and laminin in plasma and urine. Analysis between the T1–T2 and T3–T4 groups revealed interesting findings for all examined substances in plasma (AUC 0.8–0.95). The results suggest a positive correlation between fibronectin and collagen levels and ccRCC staging, while laminin shows a negative correlation, implying a potential protective role. The relationship between plasma and urine concentrations of these biomarkers may be instrumental for tumor detection and staging, thereby streamlining therapeutic decision-making. Full article
(This article belongs to the Special Issue Recent Advances in Plasmon Resonance Sensors)
Show Figures

Figure 1

16 pages, 4020 KB  
Article
SPRi Biosensor for Simultaneous Determination of HIF-1α, Angiopoietin-2, and Interleukin-1β in Blood Plasma
by Zuzanna Zielinska, Lukasz Oldak, Tomasz Guszcz, Adam Hermanowicz and Ewa Gorodkiewicz
Sensors 2024, 24(17), 5481; https://doi.org/10.3390/s24175481 - 24 Aug 2024
Cited by 5 | Viewed by 2093
Abstract
A new analytical method, based on SPRi biosensors, has been developed for the simultaneous determination of the pro-angiogenic factors HIF-1α, angiopoietin-2 (ANG-2), and interleukin-1β (IL-1β) in biological fluids. These proteins take part in the process of angiogenesis, i.e., the creation of new blood [...] Read more.
A new analytical method, based on SPRi biosensors, has been developed for the simultaneous determination of the pro-angiogenic factors HIF-1α, angiopoietin-2 (ANG-2), and interleukin-1β (IL-1β) in biological fluids. These proteins take part in the process of angiogenesis, i.e., the creation of new blood vessels, which is a key stage of cancer development and metastasis. A separate validation process was carried out for each individual compound, indicating that the method can also be used to study one selected protein. Low values of the limit of detection (LOD) and quantification (LOQ) indicate that the developed method enables the determination of very low concentrations, in the order of pg/mL. The LOD values obtained for HIF-1α, ANG-2, and IL-1β were 0.09, 0.01, and 0.01 pg/mL, respectively. The LOQ values were 0.27, 0.039, and 0.02 pg/mL, and the response ranges of the biosensor were 5.00–100.00, 1.00–20.00, and 1.00–15.00 pg/mL. Moreover, determining the appropriate validation parameters confirmed that the design offers high precision, accuracy, and sensitivity. To prove the usefulness of the biosensor in practice, determinations were made in plasma samples from a control group and from a study group consisting of patients with diagnosed bladder cancer. The preliminary results obtained indicate that this biosensor can be used for broader analyses of bladder cancer. Each of the potential biomarkers, HIF-1α, ANG-2, and IL-1β, produced higher concentrations in the study group than in the control group. These are preliminary studies that serve to develop hypotheses, and their confirmation requires the analysis of a larger number of samples. However, the constructed biosensor is characterized by its ease and speed of measurement, and the method does not require special preparation of samples. SPRi biosensors can be used as a sensitive and highly selective method for determining potential blood biomarkers, which in the future may become part of the routine diagnosis of cancers. Full article
(This article belongs to the Section Biosensors)
Show Figures

Figure 1

13 pages, 4646 KB  
Article
Wavelength Division Multiplexing-Based High-Sensitivity Surface Plasmon Resonance Imaging Biosensor for High-Throughput Real-Time Molecular Interaction Analysis
by Zhenxiao Niu, Hao Du, Lin Ma, Jie Zhou, Zhengqiang Yuan, Ronghui Sun, Guanyu Liu, Fangteng Zhang and Youjun Zeng
Molecules 2024, 29(12), 2811; https://doi.org/10.3390/molecules29122811 - 13 Jun 2024
Cited by 6 | Viewed by 1990
Abstract
In this study, we report the successful development of a novel high-sensitivity intensity-based Surface Plasmon Resonance imaging (SPRi) biosensor and its application for detecting molecular interactions. By optimizing the excitation wavelength and employing a wavelength division multiplexing (WDM) algorithm, the system can determine [...] Read more.
In this study, we report the successful development of a novel high-sensitivity intensity-based Surface Plasmon Resonance imaging (SPRi) biosensor and its application for detecting molecular interactions. By optimizing the excitation wavelength and employing a wavelength division multiplexing (WDM) algorithm, the system can determine the optimal excitation wavelength based on the initial refractive index of the sample without adjusting the incidence angle. The experimental results demonstrate that the refractive index resolution of the system reaches 1.77×106 RIU. Moreover, it can obtain the optimal excitation wavelength for samples with an initial refractive index in the range of 1.333 to 1.370 RIU and accurately monitor variations within the range of 0.0037 RIU without adjusting the incidence angle. Additionally, our new SPRi technique realized real-time detection of high-throughput biomolecular binding processes, enabling analysis of kinetic parameters. This research is expected to advance the development of more accurate SPRi technologies for molecular interaction analysis. Full article
(This article belongs to the Special Issue Biosensors for Molecules Detection)
Show Figures

Graphical abstract

10 pages, 1230 KB  
Article
An Array SPRi Biosensor for the Determination of Follicle-Stimulating Hormone in Blood Plasma
by Anna Sankiewicz, Beata Zelazowska-Rutkowska, Zenon Lukaszewski, Adam Hermanowicz and Ewa Gorodkiewicz
Sensors 2023, 23(24), 9686; https://doi.org/10.3390/s23249686 - 7 Dec 2023
Cited by 4 | Viewed by 2206
Abstract
Follicle-stimulating hormone (FSH) regulates the development, growth, pubertal maturation and reproductive processes of the human body. The determination of serous FSH concentration is significant as an alternative to testicular biopsy in the case of boys suffering from cryptorchidism after orchidopexy, and as a [...] Read more.
Follicle-stimulating hormone (FSH) regulates the development, growth, pubertal maturation and reproductive processes of the human body. The determination of serous FSH concentration is significant as an alternative to testicular biopsy in the case of boys suffering from cryptorchidism after orchidopexy, and as a means of determining the menopausal stage in women. The aim of this investigation is to develop a specific array surface plasmon resonance imaging (SPRi) biosensor for the determination of FSH in body liquids such as blood plasma, obtaining sufficient sensitivity to determine FSH at levels characteristic for that hormone in blood plasma, without any signal enhancement. The biosensor consists of a mouse monoclonal anti-FSH antibody attached to the gold surface of a chip via a cysteamine linker. Its linear response range is from 0.08 mIU mL−1 (LOQ) to 20 mIU mL−1, and well covers most of the range of FSH activities found in blood without dilution. The precision of measurement is between 3.2% and 13.1% for model samples, and between 3.7% and 5.6% for spiked plasma samples. Recoveries are in the range from 94% to 108%. The biosensor has good selectivity, and is validated by comparison with ECLE, with good agreement of the results Full article
(This article belongs to the Special Issue Biosensors for Diagnostic Applications)
Show Figures

Figure 1

17 pages, 2424 KB  
Article
Development of an SPRi Test for the Quantitative Detection of Cadherin 12 in Human Plasma and Peritoneal Fluid
by Lukasz Oldak, Zenon Lukaszewski, Anna Leśniewska, Ksawery Goławski, Piotr Laudański and Ewa Gorodkiewicz
Int. J. Mol. Sci. 2023, 24(23), 16894; https://doi.org/10.3390/ijms242316894 - 29 Nov 2023
Cited by 1 | Viewed by 1783
Abstract
A new method for the determination of cadherin 12 (CDH12)—an adhesive protein that has a significant impact on the development, growth, and movement of cancer cells—was developed and validated. The method is based on a biosensor using surface plasmon resonance imaging (SPRi) detection. [...] Read more.
A new method for the determination of cadherin 12 (CDH12)—an adhesive protein that has a significant impact on the development, growth, and movement of cancer cells—was developed and validated. The method is based on a biosensor using surface plasmon resonance imaging (SPRi) detection. A quartz crystal microbalance was used to analyze the characteristics of the formation of successive layers of the biosensor, from the linker monolayer to the final capture of CDH12 from solution. The association equilibrium constant (KA = 1.66 × 1011 dm3 mol−1) and the dissociation equilibrium constant (KD = 7.52 × 10−12 mol dm−3) of the anti-CDH12 antibody–CDH12 protein complex were determined. The determined analytical parameters, namely the values determining the accuracy, precision, and repeatability of the method, do not exceed the permissible 20% deviations specified by the aforementioned institutions. The proposed method is also selective with respect to possible potential interferents, occurring in up to 100-fold excess concentration relative to the CDH12 concentration. The determined Limit of Quantification (LOQ = 4.92 pg mL−1) indicates the possibility of performing quantitative analysis in human plasma or peritoneal fluid without the need to concentrate the samples; however, particular attention should be paid to their storage conditions, as the analyte does not exhibit high stability. The Passing–Bablok regression model revealed good agreement between the reference method and the SPRi biosensor, with ρSpearman values of 0.961 and 0.925. Full article
Show Figures

Figure 1

Back to TopTop