A Data-Driven Method Based on Feature Engineering and Physics-Constrained LSTM-EKF for Lithium-Ion Battery SOC Estimation
Abstract
1. Introduction
2. Proposed LSTM_FILO_EKF Model
2.1. LSTM Neural Network
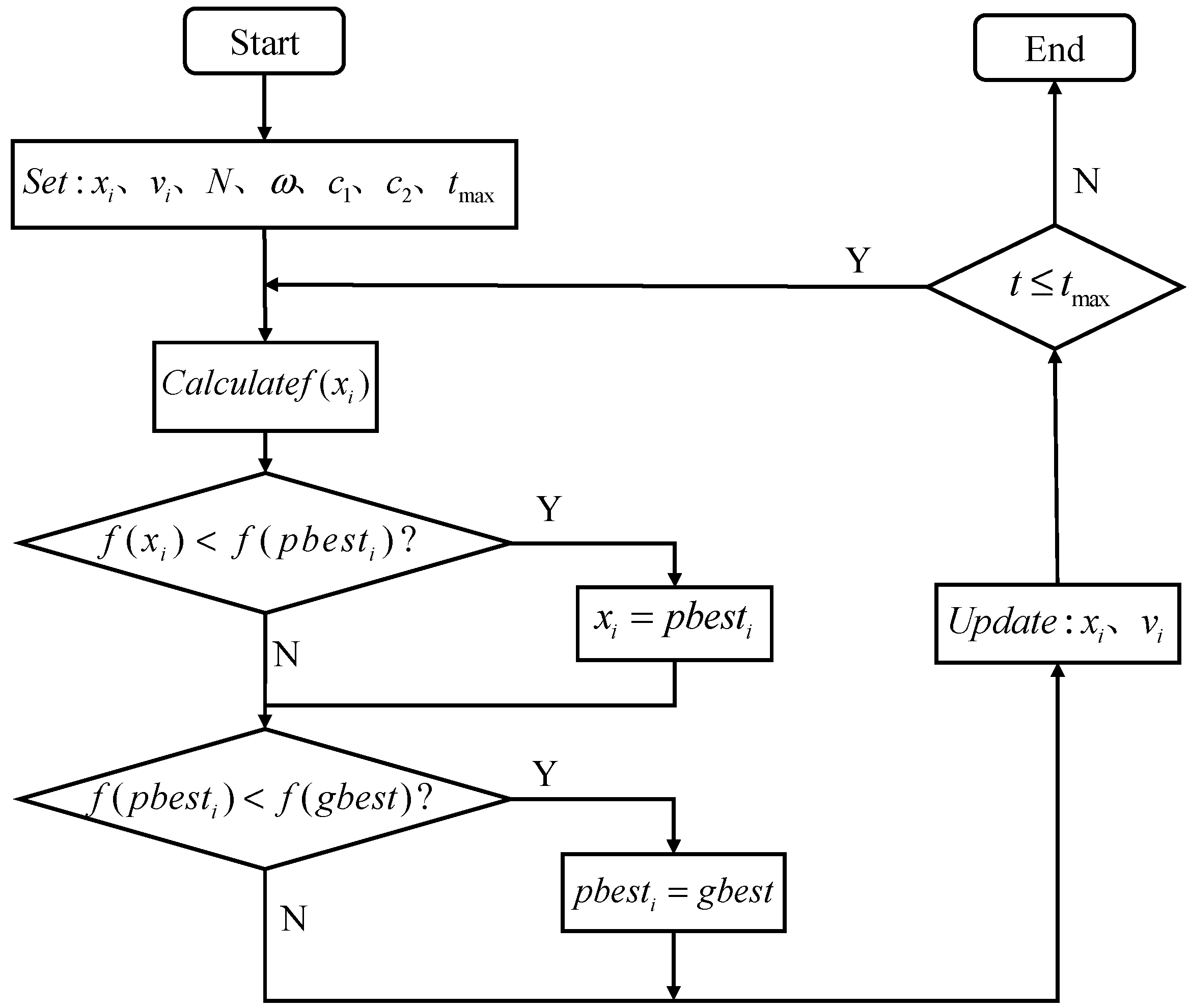
2.2. Particle Swarm Optimization
- Position: the coordinates of the solution in the search space, denoted as , where d is the dimension of the search space;
- Velocity: the direction and step size of the particle’s next iteration, denoted as . Each particle updates its velocity and position by tracking two extreme values;
- Individual extreme value: the optimal position found by the particle itself during iteration, denoted as ;
- Global extreme value: the optimal position found by the entire particle swarm so far, denoted as .
- : fitness value of the i-th particle;
- : optimal fitness value of the i-th particle;
- : global optimal fitness value;
- t represents the current iteration number;
- tmax represents the maximum number of iterations;
- N represents the number of particles in the swarm;
- ω denotes the inertia weight, which balances the global search capability and local search capability of the algorithm;
- and are learning factors, usually positive constants. adjusts the step size of the particle moving toward its own historical optimal position (cognitive component), while adjusts the step size of the particle moving toward the global historical optimal position (social component);
- and represent the velocity and position of the i-th particle at the t-th iteration, respectively.
2.3. Feature Introduction
2.4. Limit Output
- In the latter half of the region marked by the red ellipse, the battery operating current is 0 A (resting state). The original LSTM predictions exhibited SOC fluctuations that violated the electrochemical principle (SOC should remain stable during resting periods), while the purple curve (with physical constraints) maintains a horizontal trend, effectively correcting this qualitative deviation.
- In the first half of the marked region, although the original LSTM predictions aligned with the qualitative trend of the limit output strategy, they failed to meet quantitative requirements (i.e., the magnitude of SOC change did not match the current change amplitude). The purple curve adjusts this deviation by reducing the slope of SOC variation, ensuring consistency between the prediction increment and the actual current change.
2.5. EKF Filtering
- Predict the future state (a priori): .
- Predict the error covariance: .
- Calculate the Kalman gain: .
- Update the estimation with measurements (a posteriori): .
- Update the error covariance: .
2.6. Model Framework and Parameter Settings
3. Dataset and Evaluation Criteria
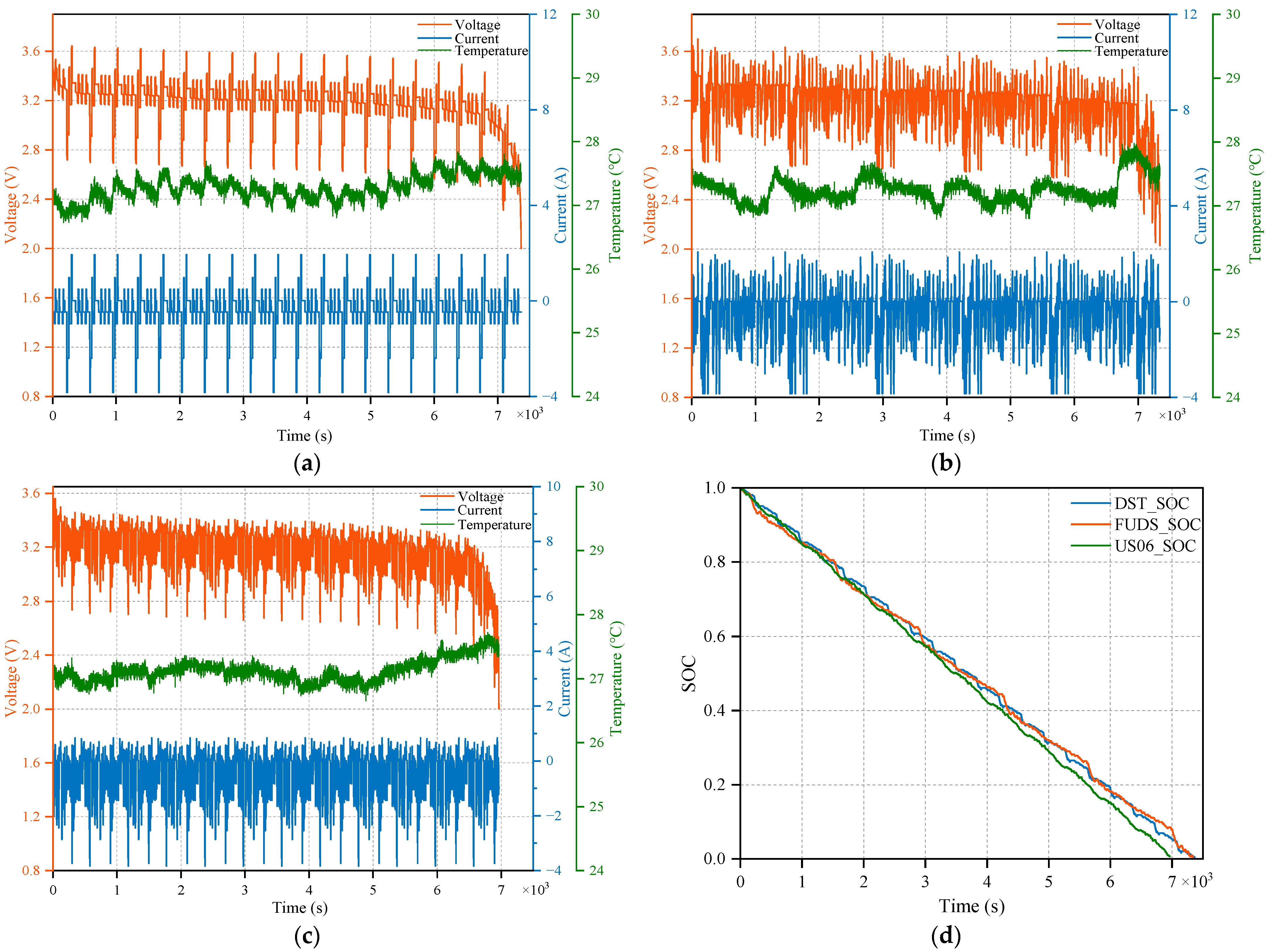
3.1. Dataset
3.2. Evaluation Criteria
4. Results and Discussion
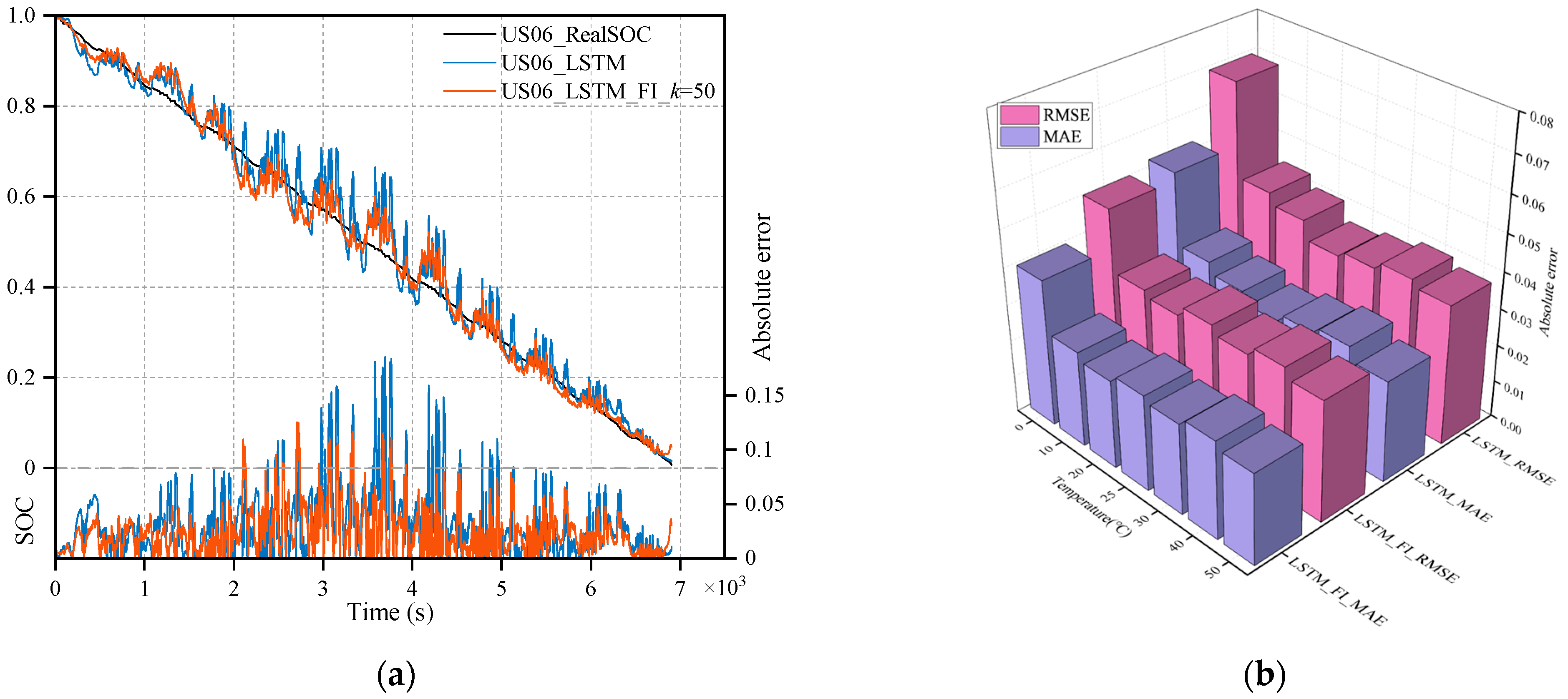
4.1. Prediction Results of Feature Introduction
4.2. Prediction Results After Limit Output
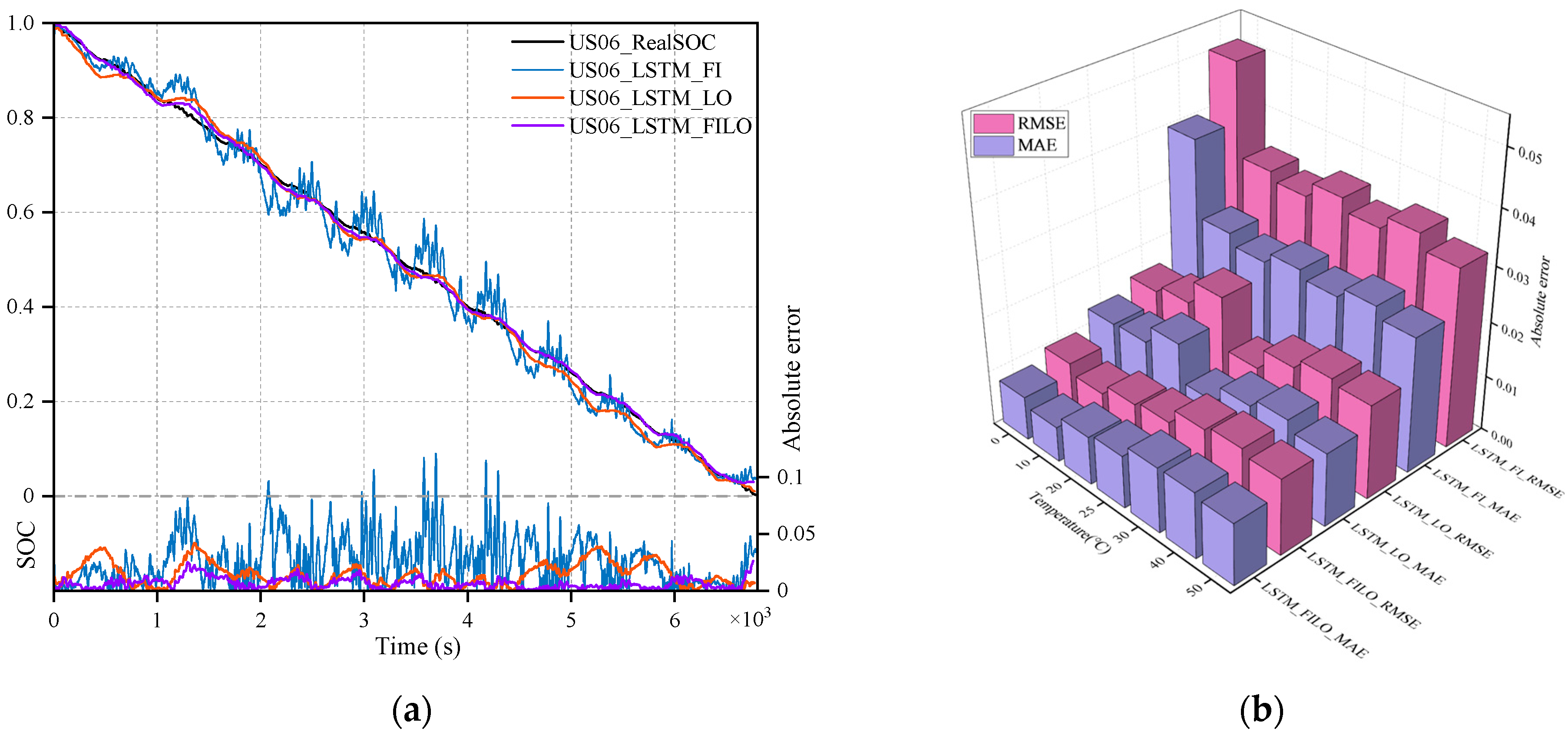
4.3. Prediction Results of Synergistic Feature Introduction and Limit Output
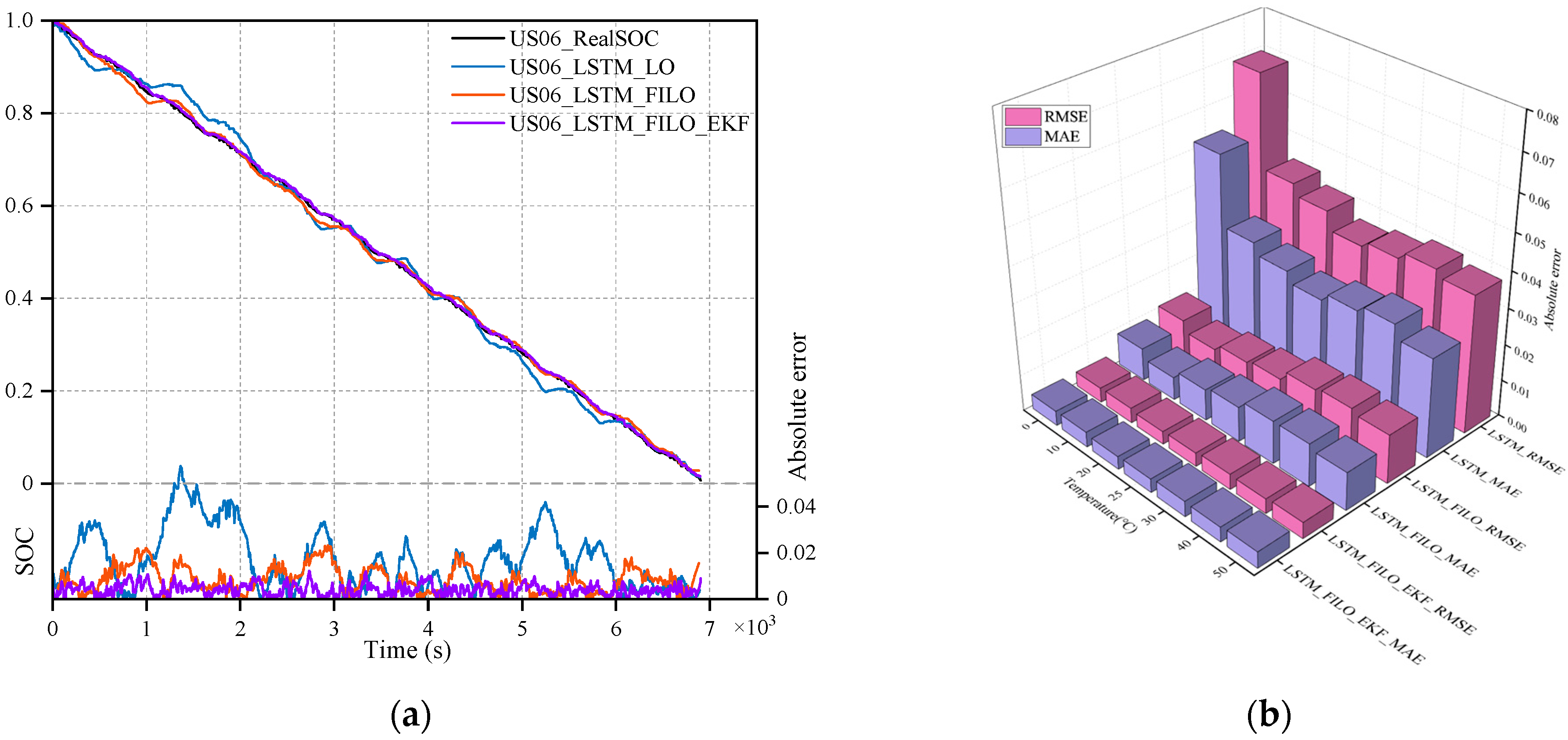
4.4. Prediction Results of LSTM_FILO_EKF
5. Conclusions
Author Contributions
Funding
Data Availability Statement
Conflicts of Interest
Abbreviations
| EVs | Electric Vehicles |
| BMS | Battery Management System |
| SOC | State of Charge |
| OCV | Open-Circuit Voltage |
| FF-RLS | Recursive Least Square with Forgetting Factor |
| EWMA | Exponentially Weighted Moving Average |
| PID | Proportional Integral Differential |
| AEKF | Adaptive Extended Kalman Filter |
| P2D | Pseudo-Two-Dimensional |
| ECM | Equivalent Circuit Model |
| OCVN | Open-Circuit Voltage Noise |
| LSTM | Long Short-Term Memory |
| TCN | Temporal Convolutional Network |
| GRU | Gated Recurrent Unit |
| WOA | Whale Optimization Algorithm |
| RF | Random Forest |
| RMSE | Root Mean Square Error |
| MAE | Mean Absolute Error |
| SOH | State of Health |
| CNN | Convolutional Neural Network |
| SVR | Support Vector Regression |
| EKF | Extended Kalman Filter |
| DST | Dynamic Stress Test |
| US06 | US06 High-Speed Driving Schedule |
| FUDS | Federal Urban Driving Schedule |
| NMC | Nickel Manganese Cobalt |
| ACKF | Adaptive Cubature Kalman Filter |
| AUKF | Adaptive Unscented Kalman Filter |
| FI | Feature Introduction |
| LO | Limit Output |
| PSO | Particle Swarm Optimization |
| RNN | Recurrent Neural Network |
References
- Li, Y.; Wei, Y.; Zhu, F.; Du, J.; Zhao, Z.; Ouyang, M. The path enabling storage of renewable energy toward carbon neutralization in China. eTransportation 2023, 16, 100226. [Google Scholar] [CrossRef]
- Zhai, M.; Wu, Y.; Tian, S.; Yuan, H.; Li, B.; Luo, X.; Huang, G.; Fu, Y.; Zhu, M.; Gu, Y.; et al. A circular economy approach for the global lithium-ion battery supply chain. Nature 2025, 646, 1114–1121. [Google Scholar] [CrossRef] [PubMed]
- Nyamathulla, S.; Dhanamjayulu, C. A review of battery energy storage systems and advanced battery management system for different applications: Challenges and recommendations. J. Energy Storage 2024, 86, 111179. [Google Scholar] [CrossRef]
- Luo, K.; Chen, X.; Zheng, H.; Shi, Z. A review of deep learning approach to predicting the state of health and state of charge of lithium-ion batteries. J. Energy Chem. 2022, 74, 159–173. [Google Scholar] [CrossRef]
- Tepe, B.; Jablonski, S.; Hesse, H.; Jossen, A. Lithium-ion battery utilization in various modes of e-transportation. eTransportation 2023, 18, 100274. [Google Scholar] [CrossRef]
- Hossain Lipu, M.S.; Hannan, M.A.; Karim, T.F.; Hussain, A.; Saad, M.H.M.; Ayob, A.; Miah, M.S.; Indra Mahlia, T.M. Intelligent algorithms and control strategies for battery management system in electric vehicles: Progress, challenges and future outlook. J. Clean. Prod. 2021, 292, 126044. [Google Scholar] [CrossRef]
- Kurucan, M.; Özbaltan, M.; Yetgin, Z.; Alkaya, A. Applications of artificial neural network based battery management systems: A literature review. Renew. Sustain. Energy Rev. 2024, 192, 114262. [Google Scholar] [CrossRef]
- Lu, W.; Yuan, Z.; Wang, T.; Li, P.; Zhang, Y. Will it get there? A deep learning model for predicting next-trip state of charge in Urban Green Freight Delivery with electric vehicles. eTransportation 2024, 22, 100372. [Google Scholar] [CrossRef]
- Ruan, H.; Barreras, J.V.; Engstrom, T.; Merla, Y.; Millar, R.; Wu, B. Lithium-ion battery lifetime extension: A review of derating methods. J. Power Sources 2023, 563, 232805. [Google Scholar] [CrossRef]
- Gräf, D.; Marschewski, J.; Ibing, L.; Huckebrink, D.; Fiebrandt, M.; Hanau, G.; Bertsch, V. What drives capacity degradation in utility-scale battery energy storage systems? The impact of operating strategy and temperature in different grid applications. J. Energy Storage 2022, 47, 103533. [Google Scholar] [CrossRef]
- Diaz-Londono, C.; Fambri, G.; Maffezzoni, P.; Gruosso, G. Enhanced EV charging algorithm considering data-driven workplace chargers categorization with multiple vehicle types. eTransportation 2024, 20, 100326. [Google Scholar] [CrossRef]
- Kadem, O.; Kim, J. Real-Time State of Charge-Open Circuit Voltage Curve Construction for Battery State of Charge Estimation. IEEE Trans. Veh. Technol. 2023, 72, 8613–8622. [Google Scholar] [CrossRef]
- Zhou, C.-C.; Su, Z.; Gao, X.-L.; Cao, R.; Yang, S.-C.; Liu, X.-H. Ultra-high-energy lithium-ion batteries enabled by aligned structured thick electrode design. Rare Met. 2022, 41, 14–20. [Google Scholar] [CrossRef]
- Yu, Q.; Huang, Y.; Tang, A.; Wang, C.; Shen, W. OCV-SOC-Temperature Relationship Construction and State of Charge Estimation for a Series– Parallel Lithium-Ion Battery Pack. IEEE Trans. Intell. Transp. Syst. 2023, 24, 6362–6371. [Google Scholar] [CrossRef]
- Zubi, G.; Dufo-López, R.; Carvalho, M.; Pasaoglu, G. The lithium-ion battery: State of the art and future perspectives. Renew. Sustain. Energy Rev. 2018, 89, 292–308. [Google Scholar] [CrossRef]
- Chemali, E.; Kollmeyer, P.J.; Preindl, M.; Ahmed, R.; Emadi, A. Long short-term memory networks for accurate state-of-charge estimation of Li-ion batteries. IEEE Trans. Ind. Electron. 2017, 65, 6730–6739. [Google Scholar] [CrossRef]
- Farmann, A.; Sauer, D.U. A study on the dependency of the open-circuit voltage on temperature and actual aging state of lithium-ion batteries. J. Power Sources 2017, 347, 1–13. [Google Scholar] [CrossRef]
- Ng, K.S.; Moo, C.-S.; Chen, Y.-P.; Hsieh, Y.-C. Enhanced coulomb counting method for estimating state-of-charge and state-of-health of lithium-ion batteries. Appl. Energy 2009, 86, 1506–1511. [Google Scholar] [CrossRef]
- Che, Y.; Xu, L.; Teodorescu, R.; Hu, X.; Onori, S. Enhanced SOC Estimation for LFP Batteries: A Synergistic Approach Using Coulomb Counting Reset, Machine Learning, and Relaxation. ACS Energy Lett. 2025, 10, 741–749. [Google Scholar] [CrossRef]
- Xiong, R.; Li, Z.; Li, H.; Wang, J.; Liu, G. A novel method for state of charge estimation of lithium-ion batteries at low-temperatures. Appl. Energy 2025, 377, 124514. [Google Scholar] [CrossRef]
- Zheng, F.; Xing, Y.; Jiang, J.; Sun, B.; Kim, J.; Pecht, M. Influence of different open circuit voltage tests on state of charge online estimation for lithium-ion batteries. Appl. Energy 2016, 183, 513–525. [Google Scholar] [CrossRef]
- Peng, S.; Zhang, D.; Dai, G.; Wang, L.; Jiang, Y.; Zhou, F. State of charge estimation for LiFePO4 batteries joint by PID observer and improved EKF in various OCV ranges. Appl. Energy 2025, 377, 124435. [Google Scholar] [CrossRef]
- Zhu, Y.; Xiong, Y.; Xiao, J.; Yi, T.; Li, C.; Sun, Y. An improved coulomb counting method based on non-destructive charge and discharge differentiation for the SOC estimation of NCM lithium-ion battery. J. Energy Storage 2023, 73, 108917. [Google Scholar] [CrossRef]
- Lai, X.; Sun, L.; Chen, Q.; Wang, M.; Chen, J.; Ke, Y.; Zheng, Y. A novel modeling methodology for hysteresis characteristic and state-of-charge estimation of LiFePO4 batteries. J. Energy Storage 2024, 101, 113807. [Google Scholar] [CrossRef]
- Zhang, K.; Xiong, R.; Li, Q.; Chen, C.; Tian, J.; Shen, W. A novel pseudo-open-circuit voltage modeling method for accurate state-of-charge estimation of LiFePO4 batteries. Appl. Energy 2023, 347, 121406. [Google Scholar] [CrossRef]
- Yu, Z.; Tian, Y.; Li, B. A simulation study of Li-ion batteries based on a modified P2D model. J. Power Sources 2024, 618, 234376. [Google Scholar] [CrossRef]
- Streb, M.; Andersson, M.; Klass, V.L.; Klett, M.; Johansson, M.; Lindbergh, G. Investigating re-parametrization of electrochemical model-based battery management using real-world driving data. eTransportation 2023, 16, 100231. [Google Scholar] [CrossRef]
- Lai, X.; Zheng, Y.; Sun, T. A comparative study of different equivalent circuit models for estimating state-of-charge of lithium-ion batteries. Electrochim. Acta 2018, 259, 566–577. [Google Scholar] [CrossRef]
- Berger, F.; Joest, D.; Barbers, E.; Quade, K.; Wu, Z.; Sauer, D.U.; Dechent, P. Benchmarking battery management system algorithms—Requirements, scenarios and validation for automotive applications. eTransportation 2024, 22, 100355. [Google Scholar] [CrossRef]
- Xiong, R.; Duan, Y.; Zhang, K.; Lin, D.; Tian, J.; Chen, C. State-of-charge estimation for onboard LiFePO4 batteries with adaptive state update in specific open-circuit-voltage ranges. Appl. Energy 2023, 349, 121581. [Google Scholar] [CrossRef]
- Severson, K.A.; Attia, P.M.; Jin, N.; Perkins, N.; Jiang, B.; Yang, Z.; Chen, M.H.; Aykol, M.; Herring, P.K.; Fraggedakis, D.; et al. Data-driven prediction of battery cycle life before capacity degradation. Nat. Energy 2019, 4, 383–391. [Google Scholar] [CrossRef]
- Quan, R.; Liu, P.; Li, Z.; Li, Y.; Chang, Y.; Yan, H. A multi-dimensional residual shrinking network combined with a long short-term memory network for state of charge estimation of Li-ion batteries. J. Energy Storage 2023, 57, 106263. [Google Scholar] [CrossRef]
- Abdolrasol, M.G.M.; Ayob, A.; Lipu, M.S.H.; Ansari, S.; Kiong, T.S.; Saad, M.H.M.; Ustun, T.S.; Kalam, A. Advanced data-driven fault diagnosis in lithium-ion battery management systems for electric vehicles: Progress, challenges, and future perspectives. eTransportation 2024, 22, 100374. [Google Scholar] [CrossRef]
- Chen, J.; Li, K.; Liu, W.; Yin, C.; Zhu, Q.; Tang, H. A novel state of charge estimation method for LiFePO4 battery based on combined modeling of physical model and machine learning model. J. Energy Storage 2025, 115, 115888. [Google Scholar] [CrossRef]
- Bao, G.; Liu, X.; Zou, B.; Yang, K.; Zhao, J.; Zhang, L.; Chen, M.; Qiao, Y.; Wang, W.; Tan, R. Collaborative framework of Transformer and LSTM for enhanced state-of-charge estimation in lithium-ion batteries. Energy 2025, 322, 135548. [Google Scholar] [CrossRef]
- Li, H.; Fu, L.; Long, X.; Liu, L.; Zeng, Z. A hybrid deep learning model for lithium-ion batteries state of charge estimation based on quantile regression and attention. Energy 2024, 294, 130834. [Google Scholar] [CrossRef]
- Wan, S.; Yang, H.; Lin, J.; Li, J.; Wang, Y.; Chen, X. Improved whale optimization algorithm towards precise state-of-charge estimation of lithium-ion batteries via optimizing LSTM. Energy 2024, 310, 133185. [Google Scholar] [CrossRef]
- Sulaiman, M.H.; Mustaffa, Z. State of charge estimation for electric vehicles using random forest. Green Energy Intell. Transp. 2024, 3, 100177. [Google Scholar] [CrossRef]
- Chen, Z.; Zhao, H.; Shu, X.; Zhang, Y.; Shen, J.; Liu, Y. Synthetic state of charge estimation for lithium-ion batteries based on long short-term memory network modeling and adaptive H-Infinity filter. Energy 2021, 228, 120630. [Google Scholar] [CrossRef]
- Wang, S.; Jiao, M.; Zhou, R.; Ren, Y.; Liu, H.; Lian, C. A multi-dimensional machine learning framework for accurate and efficient battery state of charge estimation. J. Power Sources 2024, 623, 235417. [Google Scholar] [CrossRef]
- Xu, P.; Li, J.; Xue, Q.; Sun, F. A syncretic state-of-charge estimator for LiFePO4 batteries leveraging expansion force. J. Energy Storage 2022, 50, 104559. [Google Scholar] [CrossRef]
- Wu, L.; Wei, X.; Lin, C.; Huang, Z.; Fan, Y.; Liu, C.; Fang, S. Battery SOC estimation with physics-constrained BiLSTM under different external pressures and temperatures. J. Energy Storage 2025, 117, 116205. [Google Scholar] [CrossRef]
- Li, Y.; Ye, M.; Wang, Q.; Lian, G.; Xia, B. An improved model combining machine learning and Kalman filtering architecture for state of charge estimation of lithium-ion batteries. Green Energy Intell. Transp. 2024, 3, 100163. [Google Scholar] [CrossRef]
- Tian, Y.; Lai, R.; Li, X.; Xiang, L.; Tian, J. A combined method for state-of-charge estimation for lithium-ion batteries using a long short-term memory network and an adaptive cubature Kalman filter. Appl. Energy 2020, 265, 114789. [Google Scholar] [CrossRef]
- Jiang, H.; Yin, L.; Xu, Z.; Hu, L.; Huang, W.; Zhao, Y. A novel hybrid framework for SOC estimation using PatchMixer-LSTM and adaptive UKF. Energy 2025, 335, 137891. [Google Scholar] [CrossRef]
- Hong, J.; Liang, F.; Yang, H.; Zhang, C.; Zhang, X.; Zhang, H.; Wang, W.; Li, K.; Yang, J. Multi-forword-step state of charge prediction for real-world electric vehicles battery systems using a novel LSTM-GRU hybrid neural network. eTransportation 2024, 20, 100322. [Google Scholar] [CrossRef]
- Ren, X.; Liu, S.; Yu, X.; Dong, X. A method for state-of-charge estimation of lithium-ion batteries based on PSO-LSTM. Energy 2021, 234, 121236. [Google Scholar] [CrossRef]
- Tang, X.; Wang, Y.; Chen, Z. A method for state-of-charge estimation of LiFePO4 batteries based on a dual-circuit state observer. J. Power Sources 2015, 296, 23–29. [Google Scholar] [CrossRef]
- Lin, C.; Mu, H.; Xiong, R.; Shen, W. A novel multi-model probability battery state of charge estimation approach for electric vehicles using H-infinity algorithm. Appl. Energy 2016, 166, 76–83. [Google Scholar] [CrossRef]
- Li, P.; Ao, Z.; Hou, J.; Xiang, S.; Wang, Z. Physics-informed mamba neural network with potential knowledge for state-of-charge estimation of lithium-ion batteries. J. Energy Storage 2025, 123, 116546. [Google Scholar] [CrossRef]
- Yang, F.; Zhang, S.; Li, W.; Miao, Q. State-of-charge estimation of lithium-ion batteries using LSTM and UKF. Energy 2020, 201, 117664. [Google Scholar] [CrossRef]


















| Step | Name | Description |
|---|---|---|
| 1 | Input Initial Values | Input the LSTM predicted value at time t , battery operating current at time t , predicted SOC value at time t − 1 , sampling frequency (∆t = 1 s), battery capacity (C), and compensation factor (λ). |
| 2 | Qualitative Analysis |
|
| 3 | Quantitative Analysis |
|
| 4 | Output Predicted Value | as the final predicted SOC value at time t. |
| Type | Hyperparameter | Value |
|---|---|---|
| Network Structure | Number of Hidden Layers | 1 |
| Number of Hidden Units | 32 | |
| Data Structure | Time Series Length | 200 |
| Sampling Frequency | 1 s | |
| Input Data Normalization Range | [−1, 1] | |
| Output Layer Activation Function | Sigmoid | |
| Optimizer | Adam | |
| Training Process | Initial Learning Rate | 0.01 |
| Minimum Batch Size | 64 | |
| Number of Training Epochs | 500 | |
| Loss Function | MSE |
| Battery Parameter | Specification (Value) |
|---|---|
| Nominal Capacity | 1100 mAh |
| Battery Material | LiFePO4 |
| Size | 18 × 65 mm |
| Cut-off Voltage | 2.0–3.6 V |
| Nominal Voltage | 3.2 V |
| Charging Current | 0.5 C (standard charging), 1.0 C (fast charging) |
| Standard Charging Method | 0.5 C constant current charging to 3.6 V, then constant voltage charging at 3.6 V until the charging current ≤ 0.05 C |
| Validation Set | Temperature (°C) | LSTM | LSTM_FI (k = 25) | LSTM_FI (k = 50) | LSTM_FI (k = 75) | ||||
|---|---|---|---|---|---|---|---|---|---|
| MAE | RMSE | MAE | RMSE | MAE | RMSE | MAE | RMSE | ||
| FUDS | 0 | 3.21% | 4.30% | 3.67% | 4.98% | 2.93% | 3.74% | 3.76% | 4.89% |
| 10 | 3.34% | 4.17% | 2.88% | 3.72% | 2.87% | 3.85% | 2.94% | 3.65% | |
| 20 | 2.87% | 3.90% | 2.82% | 3.76% | 2.64% | 3.55% | 3.34% | 4.51% | |
| 25 | 2.81% | 3.83% | 2.85% | 3.75% | 2.57% | 3.46% | 2.60% | 3.27% | |
| 30 | 3.15% | 4.13% | 2.93% | 3.88% | 2.73% | 3.75% | 2.59% | 3.28% | |
| 40 | 3.34% | 4.42% | 2.97% | 3.99% | 2.74% | 3.76% | 2.54% | 3.27% | |
| 50 | 3.39% | 4.47% | 3.00% | 4.07% | 3.00% | 3.97% | 2.65% | 3.46% | |
| US06 | 0 | 5.25% | 6.95% | 4.21% | 5.42% | 3.99% | 5.05% | 3.72% | 4.78% |
| 10 | 3.29% | 4.40% | 3.61% | 5.09% | 2.60% | 3.38% | 3.30% | 4.17% | |
| 20 | 2.99% | 4.10% | 3.25% | 4.65% | 2.40% | 3.23% | 2.47% | 3.35% | |
| 25 | 2.70% | 3.61% | 2.88% | 3.86% | 2.60% | 3.51% | 3.08% | 4.16% | |
| 30 | 2.93% | 3.77% | 3.01% | 4.13% | 2.46% | 3.29% | 2.63% | 3.49% | |
| 40 | 3.11% | 3.98% | 3.00% | 4.17% | 2.65% | 3.53% | 2.58% | 3.39% | |
| 50 | 2.74% | 3.80% | 3.02% | 4.09% | 2.86% | 3.76% | 2.93% | 3.85% | |
| Average | 3.22% | 4.27% | 3.15% | 4.25% | 2.79% | 3.70% | 2.94% | 3.82% | |
| Type | Hyperparameter | Value |
|---|---|---|
| Particle Parameter Setting | Number of Particles | 20 |
| Initial Inertia Weight | 0.9 | |
| Minimum Inertia Weight | 0.4 | |
| Individual Learning Factor | 2 | |
| Group Learning Factor | 2 | |
| Boundary Setting | Maximum Boundary Value | 5 |
| Minimum Boundary Value | 0.1 | |
| Optimization Process Setting | Maximum Number of Iterations | 50 |
| Particle Fitness | 0.5 × MAE + 0.5 × RMSE |
| = 0.9 | = gbest | = 1.1 | |
|---|---|---|---|
| MAE | 2.32% | 1.03% | 1.16% |
| RMSE | 2.39% | 1.28% | 1.34% |
| Validation Set | Temperature (°C) | LSTM | LSTM_FI k = 50 | LSTM_LO | |||
|---|---|---|---|---|---|---|---|
| MAE | RMSE | MAE | RMSE | MAE | RMSE | ||
| FUDS | 0 | 3.21% | 4.30% | 2.93% | 3.74% | 1.92% | 2.29% |
| 10 | 3.34% | 4.17% | 2.87% | 3.85% | 2.47% | 2.96% | |
| 20 | 2.87% | 3.90% | 2.64% | 3.55% | 1.94% | 2.43% | |
| 25 | 2.81% | 3.83% | 2.57% | 3.46% | 1.43% | 1.69% | |
| 30 | 3.15% | 4.13% | 2.73% | 3.75% | 1.53% | 1.93% | |
| 40 | 3.34% | 4.42% | 2.74% | 3.76% | 1.58% | 1.95% | |
| 50 | 3.39% | 4.47% | 3.00% | 3.97% | 1.58% | 1.88% | |
| US06 | 0 | 5.25% | 6.95% | 3.99% | 5.05% | 1.29% | 1.52% |
| 10 | 3.29% | 4.40% | 2.60% | 3.38% | 1.18% | 1.50% | |
| 20 | 2.99% | 4.10% | 2.40% | 3.23% | 1.64% | 2.11% | |
| 25 | 2.70% | 3.61% | 2.60% | 3.51% | 1.03% | 1.28% | |
| 30 | 2.93% | 3.77% | 2.46% | 3.29% | 1.33% | 1.57% | |
| 40 | 3.11% | 3.98% | 2.65% | 3.53% | 1.48% | 1.78% | |
| 50 | 2.74% | 3.80% | 2.86% | 3.76% | 1.32% | 1.71% | |
| Average | 3.22% | 4.27% | 2.79% | 3.70% | 1.55% | 1.90% | |
| Validation Set | Temperature (°C) | LSTM_FI | LSTM_LO | LSTM_FILO | |||
|---|---|---|---|---|---|---|---|
| MAE | RMSE | MAE | RMSE | MAE | RMSE | ||
| FUDS | 0 | 2.93% | 3.74% | 1.92% | 2.29% | 1.18% | 1.53% |
| 10 | 2.87% | 3.85% | 2.47% | 2.96% | 1.53% | 1.82% | |
| 20 | 2.64% | 3.55% | 1.94% | 2.43% | 1.45% | 1.78% | |
| 25 | 2.57% | 3.46% | 1.43% | 1.69% | 1.11% | 1.46% | |
| 30 | 2.73% | 3.75% | 1.53% | 1.93% | 1.22% | 1.58% | |
| 40 | 2.74% | 3.76% | 1.58% | 1.95% | 1.34% | 1.71% | |
| 50 | 3.00% | 3.97% | 1.58% | 1.88% | 1.26% | 1.64% | |
| US06 | 0 | 3.99% | 5.05% | 1.29% | 1.52% | 0.91% | 1.12% |
| 10 | 2.60% | 3.38% | 1.18% | 1.50% | 0.64% | 0.82% | |
| 20 | 2.40% | 3.23% | 1.64% | 2.11% | 0.87% | 1.01% | |
| 25 | 2.60% | 3.51% | 1.03% | 1.28% | 0.97% | 1.10% | |
| 30 | 2.46% | 3.29% | 1.33% | 1.57% | 1.19% | 1.39% | |
| 40 | 2.65% | 3.53% | 1.48% | 1.78% | 1.19% | 1.47% | |
| 50 | 2.86% | 3.76% | 1.32% | 1.71% | 1.05% | 1.35% | |
| Average | 2.79% | 3.70% | 1.55% | 1.90% | 1.14% | 1.41% | |
| Validation Set | Temperature (°C) | LSTM | LSTM_FILO | LSTM_FILO_EKF | |||
|---|---|---|---|---|---|---|---|
| MAE | RMSE | MAE | RMSE | MAE | RMSE | ||
| FUDS | 0 | 3.21% | 4.30% | 1.18% | 1.53% | 0.53% | 0.69% |
| 10 | 3.34% | 4.17% | 1.53% | 1.82% | 0.53% | 0.65% | |
| 20 | 2.87% | 3.9% | 1.45% | 1.78% | 0.54% | 0.69% | |
| 25 | 2.81% | 3.83% | 1.11% | 1.46% | 0.46% | 0.60% | |
| 30 | 3.15% | 4.13% | 1.22% | 1.58% | 0.50% | 0.64% | |
| 40 | 3.34% | 4.42% | 1.34% | 1.71% | 0.51% | 0.64% | |
| 50 | 3.39% | 4.47% | 1.26% | 1.64% | 0.50% | 0.63% | |
| US06 | 0 | 5.25% | 6.95% | 0.91% | 1.12% | 0.41% | 0.49% |
| 10 | 3.29% | 4.40% | 0.64% | 0.82% | 0.42% | 0.50% | |
| 20 | 2.99% | 4.10% | 0.87% | 1.01% | 0.36% | 0.43% | |
| 25 | 2.70% | 3.61% | 0.97% | 1.10% | 0.38% | 0.46% | |
| 30 | 2.93% | 3.77% | 1.19% | 1.39% | 0.43% | 0.49% | |
| 40 | 3.11% | 3.98% | 1.19% | 1.47% | 0.41% | 0.47% | |
| 50 | 2.74% | 3.80% | 1.05% | 1.35% | 0.45% | 0.51% | |
| Average | 3.22% | 4.27% | 1.14% | 1.41% | 0.46% | 0.56% | |
| Validation Set | Temperature (°C) | PIMNN | LSTM_ RNN | Transformer | RFORC_ LSTM | LSTM&UKF | LSTM_FILO_ EKF | |||
|---|---|---|---|---|---|---|---|---|---|---|
| MAE | RMSE | RMSE | RMSE | RMSE | MAE | RMSE | MAE | RMSE | ||
| FUDS | 0 | 1.97% | 2.70% | 3.87% | 1.81% | 1.26% | — | — | 0.53% | 0.69% |
| 10 | — | — | 3.19% | 1.34% | 1.33% | — | — | 0.53% | 0.65% | |
| 20 | 2.05% | 2.60% | 2.33% | 2.69% | 1.11% | — | — | 0.54% | 0.69% | |
| 25 | — | — | 2.06% | 1.14% | 1.13% | — | — | 0.46% | 0.60% | |
| 30 | — | — | 1.72% | 1.18% | 0.99% | — | — | 0.50% | 0.64% | |
| 40 | — | — | 1.37% | 1.47% | 0.89% | — | — | 0.51% | 0.64% | |
| 50 | — | — | 1.29% | 3.27% | 0.96% | — | — | 0.50% | 0.63% | |
| US06 | 0 | 1.58% | 1.99% | 3.94% | 2.80% | 1.56% | 0.63% | 0.73% | 0.41% | 0.49% |
| 10 | — | — | 3.11% | 2.56% | 1.19% | 0.21% | 0.29% | 0.42% | 0.50% | |
| 20 | 1.48% | 2.35% | 2.43% | 1.99% | 1.01% | 0.97% | 1.11% | 0.36% | 0.43% | |
| 25 | — | — | 2.25% | 2.21% | 0.91% | 0.82% | 0.93% | 0.38% | 0.46% | |
| 30 | — | — | 2.05% | 2.71% | 1.02% | 0.81% | 0.92% | 0.43% | 0.49% | |
| 40 | — | — | 1.61% | 2.10% | 0.92% | 0.89% | 1.03% | 0.41% | 0.47% | |
| 50 | — | — | 1.40% | 1.84% | 0.82% | 0.93% | 1.06% | 0.45% | 0.51% | |
| Average | 1.77% | 2.41% | 2.33% | 2.08% | 1.08% | 0.75% | 0.86% | 0.46% | 0.56% | |
Disclaimer/Publisher’s Note: The statements, opinions and data contained in all publications are solely those of the individual author(s) and contributor(s) and not of MDPI and/or the editor(s). MDPI and/or the editor(s) disclaim responsibility for any injury to people or property resulting from any ideas, methods, instructions or products referred to in the content. |
© 2026 by the authors. Licensee MDPI, Basel, Switzerland. This article is an open access article distributed under the terms and conditions of the Creative Commons Attribution (CC BY) license.
Share and Cite
Sun, Y.; You, S.; Hu, F.; Du, J. A Data-Driven Method Based on Feature Engineering and Physics-Constrained LSTM-EKF for Lithium-Ion Battery SOC Estimation. Batteries 2026, 12, 64. https://doi.org/10.3390/batteries12020064
Sun Y, You S, Hu F, Du J. A Data-Driven Method Based on Feature Engineering and Physics-Constrained LSTM-EKF for Lithium-Ion Battery SOC Estimation. Batteries. 2026; 12(2):64. https://doi.org/10.3390/batteries12020064
Chicago/Turabian StyleSun, Yujuan, Shaoyuan You, Fangfang Hu, and Jiuyu Du. 2026. "A Data-Driven Method Based on Feature Engineering and Physics-Constrained LSTM-EKF for Lithium-Ion Battery SOC Estimation" Batteries 12, no. 2: 64. https://doi.org/10.3390/batteries12020064
APA StyleSun, Y., You, S., Hu, F., & Du, J. (2026). A Data-Driven Method Based on Feature Engineering and Physics-Constrained LSTM-EKF for Lithium-Ion Battery SOC Estimation. Batteries, 12(2), 64. https://doi.org/10.3390/batteries12020064

