Sign in to use this feature.

Years

Between: -

Subjects

remove_circle_outline
remove_circle_outline
remove_circle_outline
remove_circle_outline
remove_circle_outline

Journals

Article Types

Countries / Regions

Search Results (13)

Search Parameters:
Keywords = S-pyroglutamic acid

Order results
Result details
Results per page
Select all
Export citation of selected articles as:
19 pages, 7279 KB  
Article
Multivariate Analysis of Key Taste Compounds in Soy Sauce and Model Construction for Its Saltiness Intensity
by Shiyu Li, Junjie Yin, Li Liang, Lili Zhang and Yuyu Zhang
Foods 2025, 14(24), 4182; https://doi.org/10.3390/foods14244182 - 5 Dec 2025
Viewed by 350
Abstract
Saltiness is a key characteristic that influences the quality of soy sauce. Currently, the evaluation of saltiness intensity in soy sauce relies on sensory evaluation methods, while a scientific and efficient model to quantify saltiness is lacking. Liquid chromatography–mass spectrometry (LC-MS) and inductively [...] Read more.
Saltiness is a key characteristic that influences the quality of soy sauce. Currently, the evaluation of saltiness intensity in soy sauce relies on sensory evaluation methods, while a scientific and efficient model to quantify saltiness is lacking. Liquid chromatography–mass spectrometry (LC-MS) and inductively coupled plasma–optical emission spectrometry (ICP-OES) were used to analyze key taste compounds in 10 soy sauce samples. According to sensory evaluation and taste addition experiments, the model for assessing the saltiness intensity of soy sauce was established. The results indicate that the umami amino acid (aspartic acid, 2.44~15.30 mg/mL; glutamic acid, 8.29~67.94 mg/mL) and the nucleotides 5′-inosinic acid (0.44~12.5 mg/mL) and 5′-guanylic acid (0.41~2.51 mg/mL) mainly contributed the saltiness intensity of soy sauce through umami synergy. Pyroglutamic acid (19.6~79.22 mg/mL) and lactic acid (0.77~0.85 mg/mL) are the primary taste-contributing organic acids to balance the taste profile in soy sauce. The Na+ (54.6 mg/mL) and K+ (8.13 mg/mL) contents are both relatively high, directly affecting the saltiness of the soy sauce. Through Spearman’s correlation analysis, 11 key taste compounds were identified to construct a multiple linear regression prediction model for saltiness intensity. The model demonstrates excellent predictive performance, providing a theoretical basis and methodological support for objectively evaluating soy sauce saltiness and reducing salt content through a scientific approach. Full article
(This article belongs to the Section Sensory and Consumer Sciences)
Show Figures

Figure 1

22 pages, 7099 KB  
Article
Assessing the Comparability of Degradation Profiles Between Biosimilar and Originator Anti-VEGF Monoclonal Antibodies Under Thermal Stress
by Ceren Pamukcu and Ahmet Emin Atik
Pharmaceuticals 2025, 18(9), 1267; https://doi.org/10.3390/ph18091267 - 26 Aug 2025
Viewed by 1495
Abstract
Background/Objectives: Forced degradation studies are critical for identifying potential degradation pathways of monoclonal antibodies (mAbs), particularly under thermal stress. Due to their structural complexity and sensitivity to elevated temperatures, mAbs are prone to fragmentation, aggregation, and post-translational modifications. This study aimed to [...] Read more.
Background/Objectives: Forced degradation studies are critical for identifying potential degradation pathways of monoclonal antibodies (mAbs), particularly under thermal stress. Due to their structural complexity and sensitivity to elevated temperatures, mAbs are prone to fragmentation, aggregation, and post-translational modifications. This study aimed to evaluate and compare the degradation profiles of biosimilar anti-VEGF mAb and its originator counterparts sourced from both the United States (U.S.) and the European Union (EU) under thermal stress conditions. To our knowledge, this represents one of the few studies conducting a direct head-to-head comparability assessment across biosimilar and two geographically sourced originators, integrating orthogonal analytical approaches. Methods: Biosimilar candidate and originator products (U.S. and EU) were incubated at 37 °C and 50 °C for 3, 7, and 14 days. Fragmentation profiles were assessed using validated non-reduced and reduced capillary electrophoresis–sodium dodecyl sulfate (CE-SDS) methods. Additionally, size-exclusion ultra-performance liquid chromatography (SE-UPLC) and liquid chromatography–tandem mass spectrometry (LC-MS/MS) assays were performed on samples stressed for 14 days to provide deeper insights into degradation pathways. Results: Non-reduced CE-SDS analysis indicated a time- and temperature-dependent increase in low-molecular-weight fragments and a corresponding decrease in the intact form, with more pronounced effects observed at 50 °C. Reduced CE-SDS revealed a more rapid increase in total impurity levels at 50 °C, accompanied by a decrease in total light and heavy chain content. SE-UPLC showed enhanced aggregation under thermal stress, more pronounced at 50 °C. LC-MS/MS analysis identified increased asparagine deamidation in the PENNY peptide and pyroglutamic acid formation (pE) at the N-terminus of the heavy chain. Conclusions: The degradation profiles of the biosimilar and originator mAbs were highly comparable under thermal stress, with no significant qualitative differences detected. By applying a multi-tiered analytical characterization technique, this study provides a comprehensive comparability assessment that underscores the robustness of biosimilarity even under forced degradation conditions. Full article
(This article belongs to the Special Issue Biosimilars Development Strategies)
Show Figures

Graphical abstract

19 pages, 3891 KB  
Article
A Snapshot, Using a Multi-Omic Approach, of the Metabolic Cross-Talk and the Dynamics of the Resident Microbiota in Ripening Cheese Inoculated with Listeria innocua
by Alessandra Tata, Andrea Massaro, Brunella Miano, Sara Petrin, Pietro Antonelli, Arianna Peruzzo, Alessandra Pezzuto, Michela Favretti, Marco Bragolusi, Carmela Zacometti, Carmen Losasso and Roberto Piro
Foods 2024, 13(12), 1912; https://doi.org/10.3390/foods13121912 - 18 Jun 2024
Cited by 5 | Viewed by 2139
Abstract
Raw milk cheeses harbor complex microbial communities. Some of these microorganisms are technologically essential, but undesirable microorganisms can also be present. While most of the microbial dynamics and cross-talking studies involving interaction between food-derived bacteria have been carried out on agar plates in [...] Read more.
Raw milk cheeses harbor complex microbial communities. Some of these microorganisms are technologically essential, but undesirable microorganisms can also be present. While most of the microbial dynamics and cross-talking studies involving interaction between food-derived bacteria have been carried out on agar plates in laboratory-controlled conditions, the present study evaluated the modulation of the resident microbiota and the changes of metabolite production directly in ripening raw milk cheese inoculated with Listeria innocua strains. Using a proxy of the pathogenic Listeria monocytogenes, we aimed to establish the key microbiota players and chemical signals that characterize Latteria raw milk cheese over 60 days of ripening time. The microbiota of both the control and Listeria-inoculated cheeses was analyzed using 16S rRNA targeted amplicon sequencing, while direct analysis in real time mass spectrometry (DART-HRMS) was applied to investigate the differences in the metabolic profiles of the cheeses. The diversity analysis showed the same microbial diversity trend in both the control cheese and the inoculated cheese, while the taxonomic analysis highlighted the most representative genera of bacteria in both the control and inoculated cheese: Lactobacillus and Streptococcus. On the other hand, the metabolic fingerprints revealed that the complex interactions between resident microbiota and L. innocua were governed by continuously changing chemical signals. Changes in the amounts of small organic acids, hydroxyl fatty acids, and antimicrobial compounds, including pyroglutamic acid, hydroxy-isocaproic acid, malic acid, phenyllactic acid, and lactic acid, were observed over time in the L. innocua-inoculated cheese. In cheese that was inoculated with L. innocua, Streptococcus was significantly correlated with the volatile compounds carboxylbenzaldheyde and cyclohexanecarboxylic acid, while Lactobacillus was positively correlated with some volatile and flavor compounds (cyclohexanecarboxylic acid, pyroxidal acid, aminobenzoic acid, and vanillic acid). Therefore, we determined the metabolic markers that characterize a raw milk cheese inoculated with L. innocua, the changes in these markers with the ripening time, and the positive correlation of flavor and volatile compounds with the resident microbiota. This multi-omics approach could suggest innovative food safety strategies based on the enhanced management of undesirable microorganisms by means of strain selection in raw matrices and the addition of specific antimicrobial metabolites to prevent the growth of undesirable microorganisms. Full article
(This article belongs to the Special Issue Foodomics Fifteen Years On From. Where Are We Now, What’s Next)
Show Figures

Figure 1

5 pages, 1166 KB  
Short Note
(S)-1-Methyl-2-oxoimidazolidine-4-carboxylic Acid
by Ashley L. Dey, Majid Motevalli, Isaac Abrahams and Peter B. Wyatt
Molbank 2024, 2024(2), M1835; https://doi.org/10.3390/M1835 - 12 Jun 2024
Viewed by 1788
Abstract
(S)-1-Methyl-2-oxoimidazolidine-4-carboxylic acid 1 is an analog of (S)-pyroglutamic acid, a key component of naturally occurring peptide hormones and synthetic pharmaceutical candidates. The reaction of (S)-2-amino-3-(methylamino)propionic acid with COCl2 and aqueous NaHCO3 followed by ion exchange [...] Read more.
(S)-1-Methyl-2-oxoimidazolidine-4-carboxylic acid 1 is an analog of (S)-pyroglutamic acid, a key component of naturally occurring peptide hormones and synthetic pharmaceutical candidates. The reaction of (S)-2-amino-3-(methylamino)propionic acid with COCl2 and aqueous NaHCO3 followed by ion exchange afforded 1, which was recrystallized from acetonitrile and then characterized by IR, 1H NMR, 13C NMR, polarimetry, elemental microanalysis, high-resolution mass spectrometry and single-crystal X-ray diffraction. The acid 1 crystallized in the orthorhombic chiral space group P212121 with cell constants a = 6.2275(4) Å, b = 8.3963(5) Å, c = 24.9490(14) Å. The X-ray crystal structure revealed that two distinct conformers of 1 occur at alternating positions within helices which are supported by hydrogen bonds. Each molecule of 1 is linked to its two neighbors in the helix by a total of three hydrogen bonds, and four molecules of 1 are contained within each turn of the helix. The pattern of hydrogen bonds illustrates a preference for the carboxylic acid group to act as a hydrogen bond donor and for the urea unit to be a hydrogen bond acceptor. Full article
Show Figures

Graphical abstract

14 pages, 2355 KB  
Article
Comparative Antioxidant Activity and Untargeted Metabolomic Analyses of Sour Cherry Cultivars Based on Ultra-Performance–Time of Flight–Mass Spectrometry
by Prabhjot Kaur, Ahmed G. Darwish, Islam El-Sharkawy, Ashutosh Singh and Jayasankar Subramanian
Plants 2024, 13(11), 1511; https://doi.org/10.3390/plants13111511 - 30 May 2024
Cited by 1 | Viewed by 1928
Abstract
This study was conducted for the comparative analysis of antioxidant activity and untargeted metabolomics of dark- and light-colored sour cherry cultivars grown in Canada. Based on our previous study, we selected four cultivars—‘Heimann R’, ‘Gorsemska’, V70142, and ‘Montmorency’—to determine the untargeted metabolites and [...] Read more.
This study was conducted for the comparative analysis of antioxidant activity and untargeted metabolomics of dark- and light-colored sour cherry cultivars grown in Canada. Based on our previous study, we selected four cultivars—‘Heimann R’, ‘Gorsemska’, V70142, and ‘Montmorency’—to determine the untargeted metabolites and their role in antioxidant activities. A total of 473 metabolites were identified from four sour cherry genotypes using UPLC–ToF–MS. Untargeted metabolomics revealed the dominant chemical groups present in sour cherries. PCA showed that the diversity in sour cherry metabolites was due to the genotype differences indicating iditol, malic acid, chlorobenzene, 2-mercaptobenzothiazole, and pyroglutamic acid as the predominant contributors. The variable importance in the projection (VIP > 1.0) in partial least-squares–discriminant analysis described 20 biomarker metabolites representing the cherry metabolome profiles. A heatmap of Pearson’s correlation analysis between the 20 biomarker metabolites and antioxidant activities identified seven antioxidant determinants that displayed the highest correlations with different types of antioxidant activities. TPC and TAC were evaluated using the Folin–Ciocalteu method. The total antioxidant activity was performed using three different assays (ABTS, FRAP, and DPPH). This study of correlating metabolomics and antioxidant activities elucidated that the higher nutritional value and biological functions of sour cherry genotypes can be useful for the development of nutraceutical and functional foods. Full article
Show Figures

Figure 1

18 pages, 3126 KB  
Article
Distinct Molecular Signatures of Amyloid-Beta and Tau in Alzheimer’s Disease Associated with Down Syndrome
by Shojiro Ichimata, Ivan Martinez-Valbuena, Seojin Lee, Jun Li, Ali M. Karakani and Gabor G. Kovacs
Int. J. Mol. Sci. 2023, 24(14), 11596; https://doi.org/10.3390/ijms241411596 - 18 Jul 2023
Cited by 10 | Viewed by 3551
Abstract
Limited comparative data exist on the molecular spectrum of amyloid-beta (Aβ) and tau deposition in individuals with Down syndrome (DS) and sporadic Alzheimer’s disease (sAD). We assessed Aβ and tau deposition severity in the temporal lobe and cerebellum of ten DS and ten [...] Read more.
Limited comparative data exist on the molecular spectrum of amyloid-beta (Aβ) and tau deposition in individuals with Down syndrome (DS) and sporadic Alzheimer’s disease (sAD). We assessed Aβ and tau deposition severity in the temporal lobe and cerebellum of ten DS and ten sAD cases. Immunohistochemistry was performed using antibodies against eight different Aβ epitopes (6F/3D, Aβ38, Aβ39, Aβ40, Aβ42, Aβ43, pyroglutamate Aβ at third glutamic acid (AβNp3E), phosphorylated- (p-)Aβ at 8th serine (AβpSer8)), and six different pathological tau epitopes (p-Ser202/Thr205, p-Thr231, p-Ser396, Alz50, MC1, GT38). Findings were evaluated semi-quantitatively and quantitatively using digital pathology. DS cases had significantly higher neocortical parenchymal deposition (Aβ38, Aβ42, and AβpSer8), and cerebellar parenchymal deposition (Aβ40, Aβ42, AβNp3E, and AβpSer8) than sAD cases. Furthermore, DS cases had a significantly larger mean plaque size (6F/3D, Aβ42, AβNp3E) in the temporal lobe, and significantly greater deposition of cerebral and cerebellar Aβ42 than sAD cases in the quantitative analysis. Western blotting corroborated these findings. Regarding tau pathology, DS cases had significantly more severe cerebral tau deposition than sAD cases, especially in the white matter (p-Ser202/Thr205, p-Thr231, Alz50, and MC1). Greater total tau deposition in the white matter (p-Ser202/Thr205, p-Thr231, and Alz50) of DS cases was confirmed by quantitative analysis. Our data suggest that the Aβ and tau molecular signatures in DS are distinct from those in sAD. Full article
Show Figures

Figure 1

16 pages, 13727 KB  
Article
GC-MS Studies on the Conversion and Derivatization of γ-Glutamyl Peptides to Pyroglutamate (5-Oxo-Proline) Methyl Ester Pentafluoropropione Amide Derivatives
by Alexander Bollenbach and Dimitrios Tsikas
Molecules 2022, 27(18), 6020; https://doi.org/10.3390/molecules27186020 - 15 Sep 2022
Cited by 7 | Viewed by 3747
Abstract
Glutathione (γ-L-glutamyl-L-cysteinyl-glycine, γ-Glu-Cys-Gly) is the most abundant intra-cellular dicarboxylic tripeptide with multiple physiological roles. In biological samples, glutathione exists in its reduced form GSH and in two stable oxidized forms, i.e., in its symmetric disulfide form GSSG and as S-glutathionyl residue in [...] Read more.
Glutathione (γ-L-glutamyl-L-cysteinyl-glycine, γ-Glu-Cys-Gly) is the most abundant intra-cellular dicarboxylic tripeptide with multiple physiological roles. In biological samples, glutathione exists in its reduced form GSH and in two stable oxidized forms, i.e., in its symmetric disulfide form GSSG and as S-glutathionyl residue in proteins. S-Glutathionylation is a post-translational modification, which is involved in several pathophysiological processes, including oxidative stress. The GSH-to-GSSG molar ratio is widely used as a measure of oxidative stress. γ-Glutamyl is the most characteristic structural moiety of GSH. We performed gas chromatography-mass spectrometry (GC-MS) studies for the development of a highly specific qualitative and quantitative method for γ-glutamyl peptides. We discovered intra-molecular conversion of GSH, GSSG, γ-Glu-Cys and of ophthalmic acid (OPH; γ-glutamyl-α-amino-n-butyryl-glycine) to pyroglutamate (pGlu; 5-oxo-proline, also known as pidolic acid) during their derivatization with 2 M HCl/CH3OH (60 min, 80 °C). For GC-MS analysis, the methyl esters (Me) were further derivatized with pentafluoropropionic (PFP) anhydride in ethyl acetate (1:4, v/v; 30 min, 65 °C) to their PFP derivatives. At longer reaction times, pGlu is hydrolyzed to Glu. Internal standards were prepared by derivatizing GSH, GSSG, γ-Glu-Cys and OPH in 2 M HCl/CD3OD. Quantification of the Me-PFP derivative of pGlu was performed in the electron-capture negative-ion chemical ionization (ECNICI) mode by selected-ion monitoring (SIM) of the mass-to-charge (m/z) ions 269 for unlabeled pGlu (d0Me-PFP-pGlu) and m/z 272 for the in situ prepared deuterium-labeled pGlu (d3Me-PFP-pGlu). Although not inherent to the analysis of small peptides, the present GC-MS method is useful to study several biochemical aspects of GSH. Using pentafluorobenzyl bromide (PFB-Br) as the derivatization reagent, we found that synthetic pGlu is converted in aqueous acetone (60 min, 50 °C) into its pentafluorobenzyl (PFB) ester (PFB-pGlu). This derivatization procedure is useful for the GC-MS analysis of free pGlu in the ECNICI mode. Quantitative analysis of PFB-pGlu by GC-MS requires the use of stable-isotope labeled analogs of pGlu as an internal standard. Full article
(This article belongs to the Special Issue Derivatization in Analytical Chemistry-II)
Show Figures

Figure 1

18 pages, 6924 KB  
Article
Effects of the Probiotic, Lactobacillus delbrueckii subsp. bulgaricus, as a Substitute for Antibiotics on the Gastrointestinal Tract Microbiota and Metabolomics Profile of Female Growing-Finishing Pigs
by Jiayuan Mo, Yujie Lu, Shan Jiang, Gang Yan, Tianqi Xing, Di Xu, Yaoyin He, Bingkun Xie, Ganqiu Lan, Baojian Chen and Jing Liang
Animals 2022, 12(14), 1778; https://doi.org/10.3390/ani12141778 - 11 Jul 2022
Cited by 14 | Viewed by 4237
Abstract
Lactobacillus delbrueckii subsp. bulgaricus (LDB) is an approved feed additive on the Chinese ‘Approved Feed Additives’ list. However, the possibility of LDB as an antibiotic replacement remains unclear. Particularly, the effect of LDB on microbiota and metabolites in the gastrointestinal tract (GIT) requires [...] Read more.
Lactobacillus delbrueckii subsp. bulgaricus (LDB) is an approved feed additive on the Chinese ‘Approved Feed Additives’ list. However, the possibility of LDB as an antibiotic replacement remains unclear. Particularly, the effect of LDB on microbiota and metabolites in the gastrointestinal tract (GIT) requires further explanation. This study aimed to identify the microbiota and metabolites present in fecal samples and investigate the relationship between the microbiota and metabolites to evaluate the potential of LDB as an antibiotic replacement in pig production. A total of 42 female growing-finishing pigs were randomly allocated into the antibiotic group (basal diet + 75 mg/kg aureomycin) and LDB (basal diet + 3.0 × 109 cfu/kg LDB) groups. Fecal samples were collected on days 0 and 30. Growth performance was recorded and assessed. 16S rRNA sequencing and liquid chromatography-mass spectrometry-based non-targeted metabolomics approaches were used to analyze the differences in microbiota and metabolites. Associations between the differences were calculated using Spearman correlations with the Benjamini–Hochberg adjustment. The LDB diet had no adverse effect on feed efficiency but slightly enhanced the average daily weight gain and average daily feed intake (p > 0.05). The diet supplemented with LDB increased Lactobacillus abundance and decreased that of Prevotellaceae_NK3B31_group spp. Dietary-supplemented LDB enhanced the concentrations of pyridoxine, tyramine, D-(+)-pyroglutamic acid, hypoxanthine, putrescine and 5-hydroxyindole-3-acetic acid and decreased the lithocholic acid concentration. The Lactobacillus networks (Lactobacillus, Peptococcus, Ruminococcaceae_UCG-004, Escherichia-Shigella, acetophenone, tyramine, putrescine, N-methylisopelletierine, N1-acetylspermine) and Prevotellaceae_NK3B31_group networks (Prevotellaceae_NK3B31_group, Treponema_2, monolaurin, penciclovir, N-(5-acetamidopentyl)acetamide, glycerol 3-phosphate) were the most important in the LDB effect on pig GIT health in our study. These findings indicate that LDB may regulate GIT function through the Lactobacillus and Prevotellaceae_NK3B31_group networks. However, our results were restrained to fecal samples of female growing-finishing pigs; gender, growth stages, breeds and other factors should be considered to comprehensively assess LDB as an antibiotic replacement in pig production. Full article
(This article belongs to the Special Issue Frontiers in Modulating Intestinal Health in Pigs)
Show Figures

Figure 1

17 pages, 2746 KB  
Article
Endophytic Bacteria Colonizing the Petiole of the Desert Plant Zygophyllum dumosum Boiss: Possible Role in Mitigating Stress
by Jansirani Srinivasan, Janardan Khadka, Nurit Novoplansky, Osnat Gillor and Gideon Grafi
Plants 2022, 11(4), 484; https://doi.org/10.3390/plants11040484 - 11 Feb 2022
Cited by 6 | Viewed by 3618
Abstract
Zygophyllum dumosum is a dominant shrub in the Negev Desert whose survival is accomplished by multiple mechanisms including abscission of leaflets to reduce whole plant transpiration while leaving the fleshy, wax-covered petioles alive but dormant during the dry season. Petioles that can survive [...] Read more.
Zygophyllum dumosum is a dominant shrub in the Negev Desert whose survival is accomplished by multiple mechanisms including abscission of leaflets to reduce whole plant transpiration while leaving the fleshy, wax-covered petioles alive but dormant during the dry season. Petioles that can survive for two full growing seasons maintain cell component integrity and resume metabolic activity at the beginning of the winter. This remarkable survival prompted us to investigate endophytic bacteria colonizing the internal tissues of the petiole and assess their role in stress tolerance. Twenty-one distinct endophytes were isolated by culturing from surface-sterile petioles and identified by sequencing of the 16S rDNA. Sequence alignments and the phylogenetic tree clustered the isolated endophytes into two phyla, Firmicutes and Actinobacteria. Most isolated endophytes displayed a relatively slow growth on nutrient agar, which was accelerated by adding petiole extracts. Metabolic analysis of selected endophytes showed several common metabolites whose level is affected by petiole extract in a species-dependent manner including phosphoric acid, pyroglutamic acid, and glutamic acid. Other metabolites appear to be endophyte-specific metabolites, such as proline and trehalose, which were implicated in stress tolerance. These results demonstrate the existence of multiple endophytic bacteria colonizing Z. dumosum petioles with the potential role in maintaining cell integrity and functionality via synthesis of multiple beneficial metabolites that mitigate stress and contribute to stress tolerance. Full article
(This article belongs to the Section Plant Protection and Biotic Interactions)
Show Figures

Figure 1

23 pages, 2690 KB  
Article
Genome and Metabolome MS-Based Mining of a Marine Strain of Aspergillus affinis
by Micael F. M. Gonçalves, Sandra Hilário, Marta Tacão, Yves Van de Peer, Artur Alves and Ana C. Esteves
J. Fungi 2021, 7(12), 1091; https://doi.org/10.3390/jof7121091 - 18 Dec 2021
Cited by 12 | Viewed by 5610
Abstract
Aspergillus section Circumdati encompasses several species that express both beneficial (e.g., biochemical transformation of steroids and alkaloids, enzymes and metabolites) and harmful compounds (e.g., production of ochratoxin A (OTA)). Given their relevance, it is important to analyze the genetic and metabolic diversity of [...] Read more.
Aspergillus section Circumdati encompasses several species that express both beneficial (e.g., biochemical transformation of steroids and alkaloids, enzymes and metabolites) and harmful compounds (e.g., production of ochratoxin A (OTA)). Given their relevance, it is important to analyze the genetic and metabolic diversity of the species of this section. We sequenced the genome of Aspergillus affinis CMG 70, isolated from sea water, and compared it with the genomes of species from section Circumdati, including A. affinis’s strain type. The A. affinis genome was characterized considering secondary metabolites biosynthetic gene clusters (BGCs), carbohydrate-active enzymes (CAZymes), and transporters. To uncover the biosynthetic potential of A. affinis CMG 70, an untargeted metabolomics (LC-MS/MS) approach was used. Cultivating the fungus in the presence and absence of sea salt showed that A. affinis CMG 70 metabolite profiles are salt dependent. Analyses of the methanolic crude extract revealed the presence of both unknown and well-known Aspergillus compounds, such as ochratoxin A, anti-viral (e.g., 3,5-Di-tert-butyl-4-hydroxybenzoic acid and epigallocatechin), anti-bacterial (e.g., 3-Hydroxybenzyl alcohol, l-pyroglutamic acid, lecanoric acid), antifungal (e.g., lpyroglutamic acid, 9,12,13-Trihydroxyoctadec-10-enoic acid, hydroxyferulic acid), and chemotherapeutic (e.g., daunomycinone, mitoxantrone) related metabolites. Comparative analysis of 17 genomes from 16 Aspergillus species revealed abundant CAZymes (568 per species), secondary metabolite BGCs (73 per species), and transporters (1359 per species). Some BGCs are highly conserved in this section (e.g., pyranonigrin E and UNII-YC2Q1O94PT (ACR toxin I)), while others are incomplete or completely lost among species (e.g., bikaverin and chaetoglobosins were found exclusively in series Sclerotiorum, while asperlactone seemed completely lost). The results of this study, including genome analysis and metabolome characterization, emphasize the molecular diversity of A. affinis CMG 70, as well as of other species in the section Circumdati. Full article
(This article belongs to the Special Issue Marine Fungus)
Show Figures

Figure 1

12 pages, 2244 KB  
Article
Tuliposides H–J and Bioactive Components from the Bulb of Amana edulis
by Chia-Lin Lee, Zhi-An Gao, Yun-Lian Jhan, Yuan-Shiun Chang and Chao-Jung Chen
Molecules 2021, 26(19), 5907; https://doi.org/10.3390/molecules26195907 - 29 Sep 2021
Cited by 3 | Viewed by 2911
Abstract
Three new tuliposides H–J (13) and 11 known compounds were obtained from the methanolic extracts of the bulbs of Amana edulis for the first time. Their structures were elucidated by NMR, MS, and IR spectroscopic data, optical rotation, and [...] Read more.
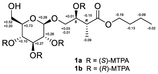
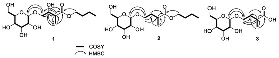
Three new tuliposides H–J (13) and 11 known compounds were obtained from the methanolic extracts of the bulbs of Amana edulis for the first time. Their structures were elucidated by NMR, MS, and IR spectroscopic data, optical rotation, and Mosher’s method. The melanogenesis properties of all the isolates were evaluated in B16 melanoma cells. Consequently, tributyl citrate (9) had anti-melanogenesis activity but was cytotoxic toward B16. (+)-Pyroglutamic acid (4), (+)-butyl 5-oxopyrrolidine-2-carboxylate (6), (–)-3-hydroxy-2-methylbutyrolactone (10), and 5-(hydroxymethyl)furfural (12) had increased melanin productions and tyrosinase activities. Those active components could be further studied as the candidates against melanoma and vitiligo for skin diseases or whitening/hypopigmentation for hair. Full article
(This article belongs to the Section Natural Products Chemistry)
Show Figures

Graphical abstract

11 pages, 758 KB  
Proceeding Paper
Synthesis of (2S,3S)-3-Aroyl Pyroglutamic Acid Amides
by Lucia Pincekova and Dusan Berkes
Chem. Proc. 2021, 3(1), 86; https://doi.org/10.3390/ecsoc-24-08377 - 14 Nov 2020
Cited by 1 | Viewed by 2556
Abstract
A new methodology for the asymmetric synthesis of enantiomerically enriched 3-aroyl pyroglutamic acid derivatives has been developed through effective 5-exo-tet cyclization of N-chloroacetyl aroylalanines. The three-step sequence starts with the synthesis of N-substituted (S,S)-2-amino-4-aryl-4-oxobutanoic acids [...] Read more.
A new methodology for the asymmetric synthesis of enantiomerically enriched 3-aroyl pyroglutamic acid derivatives has been developed through effective 5-exo-tet cyclization of N-chloroacetyl aroylalanines. The three-step sequence starts with the synthesis of N-substituted (S,S)-2-amino-4-aryl-4-oxobutanoic acids via highly diastereoselective tandem aza-Michael addition and crystallization-induced diastereomer transformation (CIDT). Their N-chloroacetylation followed by base-catalyzed cyclization and ultimate acid-catalyzed removal of chiral auxiliary without loss of stereochemical integrity furnishes the target substituted pyroglutamic acids. Finally, several series of their benzyl amides were prepared as 3-aroyl analogs of known P2X7 antagonists. Full article
Show Figures

Scheme 1

24 pages, 360 KB  
Article
Synthesis of New Optically Active 2-Pyrrolidinones
by Panagiota Moutevelis-Minakakis, Eleni Papavassilopoulou and Thomas Mavromoustakos
Molecules 2013, 18(1), 50-73; https://doi.org/10.3390/molecules18010050 - 21 Dec 2012
Cited by 6 | Viewed by 7341
Abstract
A new class of optically active 2-pyrrolidinones was synthesized, starting from S-pyroglutamic acid, a well known natural chiral synthon. The synthetic design followed led to the insertion of various substituents at positions 1 and 5 of the 2-pyrrolidinone ring, including the imidazole [...] Read more.
A new class of optically active 2-pyrrolidinones was synthesized, starting from S-pyroglutamic acid, a well known natural chiral synthon. The synthetic design followed led to the insertion of various substituents at positions 1 and 5 of the 2-pyrrolidinone ring, including the imidazole moiety. Some of them possess two or three stereogenic centers, the configuration of which was retained under the mild conditions used. The new compounds also carry an imidazole moiety, which, along with the 2-pyrrolidinone template, may prove pivotal to several biological processes. Full article
(This article belongs to the Section Organic Chemistry)
Show Figures

Figure 1

Back to TopTop