Effects of the Probiotic, Lactobacillus delbrueckii subsp. bulgaricus, as a Substitute for Antibiotics on the Gastrointestinal Tract Microbiota and Metabolomics Profile of Female Growing-Finishing Pigs
Abstract
Simple Summary
Abstract
1. Introduction
2. Materials and Methods
2.1. Animals and Sample Collection
2.2. 16S rRNA Amplicon Sequencing and Analysis
2.3. Untargeted Metabolomics Study and Analysis
2.4. Co-Occurrence Network of GIT Microbiota and Metabolites
3. Results
3.1. Growth Performance Analysis
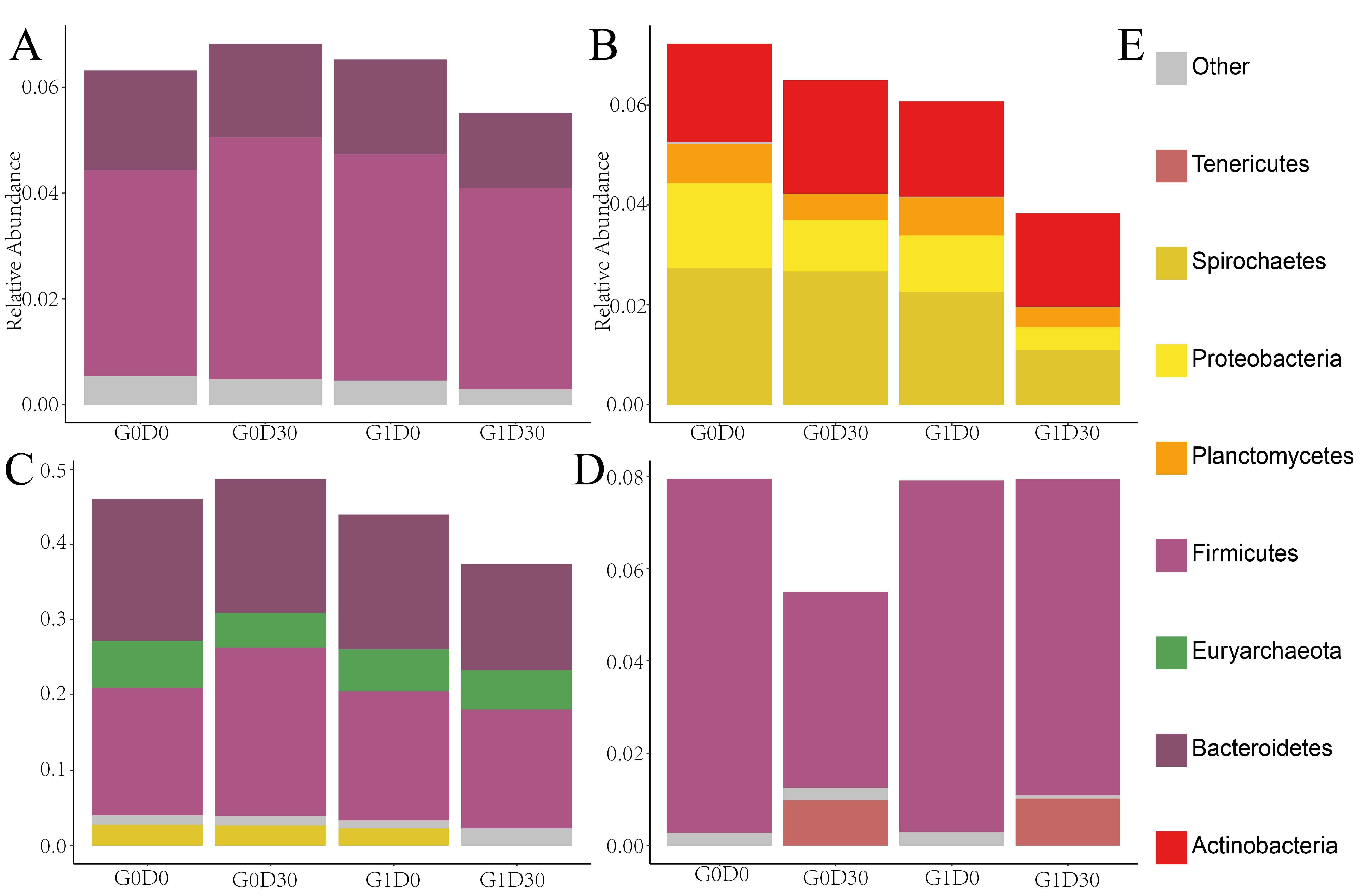
3.2. Fecal Microbiota Signatures
3.3. Fecal Metabolic Signatures
3.4. Co-Occurrence Network of the Fecal Microbiota and Metabolite Signatures
4. Discussion
5. Conclusions
Author Contributions
Funding
Institutional Review Board Statement
Data Availability Statement
Acknowledgments
Conflicts of Interest
References
- Satokari, R. Modulation of gut microbiota for health by current and next-generation probiotics. Nutrients 2019, 11, 1921. [Google Scholar] [CrossRef] [PubMed]
- Pourrajab, B.; Fatahi, S.; Sohouli, M.H.; Găman, M.A.; Shidfar, F. The effects of probiotic/synbiotic supplementation compared to placebo on biomarkers of oxidative stress in adults: A systematic review and meta-analysis of randomized controlled trials. Crit. Rev. Food Sci. Nutr. 2022, 62, 490–507. [Google Scholar] [CrossRef] [PubMed]
- Yan, R.; Wang, K.; Wang, Q.; Jiang, H.; Lu, Y.; Chen, X.; Zhang, H.; Su, X.; Du, Y.; Chen, L.; et al. Probiotic Lactobacillus casei Shirota prevents acute liver injury by reshaping the gut microbiota to alleviate excessive inflammation and metabolic disorders. Microb. Biotechnol. 2022, 15, 247–261. [Google Scholar] [CrossRef] [PubMed]
- Jia, L.; Zhang, X.; Li, X.; Schilling, W.; David Peebles, E.; Kiess, A.S.; Zhai, W.; Zhang, L. Bacitracin, Bacillus subtilis, and Eimeria spp. challenge exacerbates woody breast incidence and severity in broilers. Poult. Sci. 2022, 101, 101512. [Google Scholar] [CrossRef]
- Colombo, E.A.; Cooke, R.F.; Brandão, A.P.; Wiegand, J.B.; Schubach, K.M.; Sowers, C.A.; Duff, G.C.; Block, E.; Gouvêa, V.N. Performance, health, and physiological responses of newly received feedlot cattle supplemented with pre- and probiotic ingredients. Animal 2021, 15, 100214. [Google Scholar] [CrossRef]
- Sato, N.; Yuzawa, M.; Aminul, M.I.; Tomokiyo, M.; Albarracin, L.; Garcia-Castillo, V.; Ideka-Ohtsubo, W.; Iwabuchi, N.; Xiao, J.Z.; Garcia-Cancino, A.; et al. Evaluation of porcine intestinal epitheliocytes as an in vitro immunoassay system for the selection of probiotic bifidobacteria to alleviate inflammatory bowel disease. Probiotics Antimicrob. Proteins 2021, 13, 824–836. [Google Scholar] [CrossRef]
- Kim, H.; Fugaban, J.; Holzapfel, W.H.; Todorov, S.D. Selection of beneficial bacterial strains with potential as oral probiotic candidates. Probiotics Antimicrob. Proteins 2022. [Google Scholar] [CrossRef]
- Bujna, E.; Styevko, G.; Laskawy, P.; Rezessy-Szabo, J.; Nguyen, V.D.; Tran, A.; Ta Phuong, L.; Farkas, C.; Gupta, V.K.; Nguyen, Q.D. Synthesis of oligosaccharides with prebiotic potential by crude enzyme preparation from Bifidobacterium. Food Chem. 2022, 367, 130696. [Google Scholar] [CrossRef]
- Li, B.; Zhang, H.; Shi, L.; Li, R.; Luo, Y.; Deng, Y.; Li, S.; Li, R.; Liu, Z. Saccharomyces boulardii alleviates DSS-induced intestinal barrier dysfunction and inflammation in humanized mice. Food Funct. 2022, 13, 102–112. [Google Scholar] [CrossRef]
- Kim, A.H.; Hogarty, M.P.; Harris, V.C.; Baldridge, M.T. The complex interactions between rotavirus and the gut microbiota. Front. Cell. Infect. Microbiol. 2022, 10, 586751. [Google Scholar] [CrossRef]
- Grela, E.R.; Świątkiewicz, M.; Florek, M.; Bąkowski, M.; Skiba, G. Effect of inulin source and a probiotic supplement in pig diets on carcass traits, meat quality and fatty acid composition in finishing pigs. Animals 2021, 11, 2438. [Google Scholar] [CrossRef] [PubMed]
- Wang, K.; Cao, G.; Zhang, H.; Li, Q.; Yang, C. Effects of Clostridium butyricum and Enterococcus faecalis on growth performance, immune function, intestinal morphology, volatile fatty acids, and intestinal flora in a piglet model. Food Funct. 2019, 10, 7844–7854. [Google Scholar] [CrossRef] [PubMed]
- Crespo-Piazuelo, D.; Gardiner, G.E.; Ranjitkar, S.; Bouwhuis, M.A.; Ham, R.; Phelan, J.P.; Marsh, A.; Lawlor, P.G. Maternal supplementation with Bacillus altitudinis spores improves porcine offspring growth performance and carcass weight. Br. J. Nutr. 2021, 127, 403–420. [Google Scholar] [CrossRef] [PubMed]
- Pupa, P.; Apiwatsiri, P.; Sirichokchatchawan, W.; Pirarat, N.; Maison, T.; Koontanatechanon, A.; Prapasarakul, N. Use of Lactobacillus plantarum (strains 22F and 25F) and Pediococcus acidilactici (strain 72N) as replacements for antibiotic-growth promotants in pigs. Sci. Rep. 2021, 11, 12028. [Google Scholar] [CrossRef] [PubMed]
- Wang, W.; Ma, H.; Zhu, Y.; Ni, K.; Qin, G.; Tan, Z.; Wang, Y.; Wang, L.; Pang, H. Screening of lactic acid bacteria with inhibitory activity against etec k88 as feed additive and the effects on sows and piglets. Animals 2021, 11, 1719. [Google Scholar] [CrossRef]
- Zamojska, D.; Nowak, A.; Nowak, I.; Macierzyńska-Piotrowska, E. Probiotics and postbiotics as substitutes of antibiotics in farm animals: A review. Animals 2021, 11, 3431. [Google Scholar] [CrossRef]
- Wang, H.; Kim, I.H. Evaluation of Dietary Probiotic (Lactobacillus plantarum BG0001) Supplementation on the Growth Performance, Nutrient Digestibility, Blood Profile, Fecal Gas Emission, and Fecal Microbiota in Weaning Pigs. Animals 2021, 11, 2232. [Google Scholar] [CrossRef]
- Chen, Y.M.; Limaye, A.; Chang, H.W.; Liu, J.R. Screening of lactic acid bacterial strains with antiviral activity against porcine epidemic diarrhea. Probiotics Antimicrob. Proteins 2021, 14, 546–559. [Google Scholar] [CrossRef]
- Tian, Z.; Cui, Y.; Lu, H.; Wang, G.; Ma, X. Effect of long-term dietary probiotic Lactobacillus reuteri 1 or antibiotics on meat quality, muscular amino acids and fatty acids in pigs. Meat Sci. 2021, 171, 108234. [Google Scholar] [CrossRef]
- Geng, T.; He, F.; Su, S.; Sun, K.; Zhao, L.; Zhao, Y.; Bao, N.; Pan, L.; Sun, H. Probiotics Lactobacillus rhamnosus GG ATCC53103 and Lactobacillus plantarum JL01 induce cytokine alterations by the production of TCDA, DHA, and succinic and palmitic acids, and enhance immunity of weaned piglets. Res. Vet. Sci. 2021, 137, 56–67. [Google Scholar] [CrossRef]
- Dowarah, R.; Verma, A.K.; Agarwal, N. The use of Lactobacillus as an alternative of antibiotic growth promoters in pigs: A review. Anim Nutr. 2017, 3, 1–6. [Google Scholar] [CrossRef] [PubMed]
- Fajardo Bernárdez, P.; Fuciños González, C.; Méndez Batán, J.; Pastrana Castro, L.; Pérez Guerra, N. Performance and intestinal coliform counts in weaned piglets fed a probiotic culture (Lactobacillus casei subsp. casei CECT 4043) or an antibiotic. J. Food Prot. 2008, 71, 1797–1805. [Google Scholar] [CrossRef] [PubMed]
- Wang, K.; Hu, C.; Tang, W.; Azad, M.; Zhu, Q.; He, Q.; Kong, X. The enhancement of intestinal immunity in offspring piglets by maternal probiotic or synbiotic supplementation is associated with the alteration of gut microbiota. Front Nutr. 2021, 8, 686053. [Google Scholar] [CrossRef] [PubMed]
- Kok, C.R.; Hutkins, R. Yogurt and other fermented foods as sources of health-promoting bacteria. Nutr. Rev. 2018, 76 (Suppl. S1), 4–15. [Google Scholar] [CrossRef]
- Abedi, D.; Feizizadeh, S.; Akbari, V.; Jafarian-Dehkordi, A. In vitro anti-bacterial and anti-adherence effects of Lactobacillus delbrueckii subsp bulgaricus on Escherichia coli. Res. Pharm. Sci. 2013, 8, 260–268. [Google Scholar]
- Boyanova, L.; Gergova, G.; Markovska, R.; Yordanov, D.; Mitov, I. Bacteriocin-like inhibitory activities of seven Lactobacillus delbrueckii subsp. bulgaricus strains against antibiotic susceptible and resistant Helicobacter pylori strains. Lett. Appl. Microbiol. 2017, 65, 469–474. [Google Scholar] [CrossRef]
- Banerjee, P.; Merkel, G.J.; Bhunia, A.K. Lactobacillus delbrueckii ssp. bulgaricus B-30892 can inhibit cytotoxic effects and adhesion of pathogenic Clostridium difficile to Caco-2 cells. Gut Pathog. 2009, 1, 8. [Google Scholar] [CrossRef][Green Version]
- Quan, J.; Cai, G.; Yang, M.; Zeng, Z.; Ding, R.; Wang, X.; Zhuang, Z.; Zhou, S.; Li, S.; Yang, H.; et al. Exploring the fecal microbial composition and metagenomic functional capacities associated with feed efficiency in commercial DLY pigs. Front. Microbiol. 2019, 10, 52. [Google Scholar] [CrossRef]
- Kurilshikov, A.; Medina-Gomez, C.; Bacigalupe, R.; Radjabzadeh, D.; Wang, J.; Demirkan, A.; Le Roy, C.I.; Raygoza Garay, J.A.; Finnicum, C.T.; Liu, X.; et al. Large-scale association analyses identify host factors influencing human gut microbiome composition. Nat. Genet. 2021, 53, 156–165. [Google Scholar] [CrossRef]
- Zhang, X.; Yang, Y.; Su, J.; Zheng, X.; Wang, C.; Chen, S.; Liu, J.; Lv, Y.; Fan, S.; Zhao, A.; et al. Age-related compositional changes and correlations of gut microbiome, serum metabolome, and immune factor in rats. Geroscience 2021, 43, 709–725. [Google Scholar] [CrossRef]
- Nie, Q.; Hu, J.; Chen, H.; Geng, F.; Nie, S. Arabinoxylan ameliorates type 2 diabetes by regulating the gut microbiota and metabolites. Food Chem. 2022, 371, 131106. [Google Scholar] [CrossRef] [PubMed]
- Karasova, D.; Crhanova, M.; Babak, V.; Jerabek, M.; Brzobohaty, L.; Matesova, Z.; Rychlik, I. Development of piglet gut microbiota at the time of weaning influences development of postweaning diarrhea—A field study. Res. Vet. Sci. 2021, 135, 59–65. [Google Scholar] [CrossRef] [PubMed]
- Xiang, Q.; Wu, X.; Pan, Y.; Wang, L.; Cui, C.; Guo, Y.; Zhu, L.; Peng, J.; Wei, H. Early-life intervention using fecal microbiota combined with probiotics promotes gut microbiota maturation, regulates immune system development, and alleviates weaning stress in piglets. Int. J. Mol. Sci. 2020, 21, 503. [Google Scholar] [CrossRef] [PubMed]
- Wang, W.; Zijlstra, R.T.; Gänzle, M.G. Feeding limosilactobacillus fermentum k9-2 and lacticaseibacillus casei k9-1, or limosilactobacillus reuteri tmw1.656 reduces pathogen load in weanling pigs. Front. Microbiol. 2020, 11, 608293. [Google Scholar] [CrossRef]
- Xu, J.; Li, Y.; Yang, Z.; Li, C.; Liang, H.; Wu, Z.; Pu, W. Yeast Probiotics Shape the Gut Microbiome and Improve the Health of Early-Weaned Piglets. Front. Microbiol. 2018, 9, 2011. [Google Scholar] [CrossRef]
- Wu, J.; Ye, Y.; Quan, J.; Ding, R.; Wang, X.; Zhuang, Z.; Zhou, S.; Geng, Q.; Xu, C.; Hong, L.; et al. Using nontargeted LC-MS metabolomics to identify the Association of Biomarkers in pig feces with feed efficiency. Porc. Health Manag. 2021, 7, 39. [Google Scholar] [CrossRef]
- Mao, J.; Qi, S.; Cui, Y.; Dou, X.; Luo, X.M.; Liu, J.; Zhu, T.; Ma, Y.; Wang, H. Lactobacillus rhamnosus GG Attenuates Lipopolysaccharide-Induced Inflammation and Barrier Dysfunction by Regulating MAPK/NF-κB Signaling and Modulating Metabolome in the Piglet Intestine. J. Nutr. 2020, 150, 1313–1323. [Google Scholar] [CrossRef]
- Liang, J.; Kou, S.; Chen, C.; Raza, S.; Wang, S.; Ma, X.; Zhang, W.J.; Nie, C. Effects of Clostridium butyricum on growth performance, metabonomics and intestinal microbial differences of weaned piglets. BMC Microbiol. 2021, 21, 85. [Google Scholar] [CrossRef]
- Lim, M.Y.; Song, E.J.; Kang, K.S.; Nam, Y.D. Age-related compositional and functional changes in micro-pig gut microbiome. GeroScience 2019, 41, 935–944. [Google Scholar] [CrossRef]
- Wang, X.; Tsai, T.; Deng, F.; Wei, X.; Chai, J.; Knapp, J.; Apple, J.; Maxwell, C.V.; Lee, J.A.; Li, Y.; et al. Longitudinal investigation of the swine gut microbiome from birth to market reveals stage and growth performance associated bacteria. Microbiome 2019, 7, 109. [Google Scholar] [CrossRef]
- Han, G.G.; Lee, J.Y.; Jin, G.D.; Park, J.; Choi, Y.H.; Kang, S.K.; Chae, B.J.; Kim, E.B.; Choi, Y.J. Tracing of the fecal microbiota of commercial pigs at five growth stages from birth to shipment. Sci. Rep. 2018, 8, 6012. [Google Scholar] [CrossRef] [PubMed]
- Bolyen, E.; Rideout, J.R.; Dillon, M.R.; Bokulich, N.A.; Abnet, C.C.; Al-Ghalith, G.A.; Alexander, H.; Alm, E.J.; Arumugam, M.; Asnicar, F.; et al. Reproducible, interactive, scalable and extensible microbiome data science using QIIME 2. Nat. Biotechnol. 2019, 37, 852–857. [Google Scholar] [CrossRef] [PubMed]
- Rognes, T.; Flouri, T.; Nichols, B.; Quince, C.; Mahé, F. VSEARCH: A versatile open source tool for metagenomics. PeerJ 2016, 4, e2584. [Google Scholar] [CrossRef] [PubMed]
- Douglas, G.M.; Maffei, V.J.; Zaneveld, J.R.; Yurgel, S.N.; Brown, J.R.; Taylor, C.M.; Huttenhower, C.; Langille, M. PICRUSt2 for prediction of metagenome functions. Nat. Biotechnol. 2020, 38, 685–688. [Google Scholar] [CrossRef] [PubMed]
- Ward, T.; Larson, J.; Meulemans, J.; Hillmann, B.; Lynch, J.; Sidiropoulos, D.; Spear, R.J.; Caporaso, C.; Blekhman, R.; Knight, R.; et al. Bugbase predicts organism level microbiome phenotypes. bioRxiv 2017, 133462. [Google Scholar]
- Mo, J.; Sun, L.; Cheng, J.; Lu, Y.; Wei, Y.; Qin, G.; Liang, J.; Lan, G. Non-targeted metabolomics reveals metabolic characteristics of porcine atretic follicles. Front. Vet. Sci. 2021, 8, 679947. [Google Scholar] [CrossRef]
- Wang, S.; Yao, B.; Gao, H.; Zang, J.; Tao, S.; Zhang, S.; Huang, S.; He, B.; Wang, J. Combined supplementation of Lactobacillus fermentum and Pediococcus acidilactici promoted growth performance, alleviated inflammation, and modulated intestinal microbiota in weaned pigs. BMC Vet. Res. 2019, 15, 239. [Google Scholar] [CrossRef]
- Xin, J.; Zeng, D.; Wang, H.; Sun, N.; Zhao, Y.; Dan, Y.; Pan, K.; Jing, B.; Ni, X. Probiotic Lactobacillus johnsonii BS15 Promotes Growth Performance, Intestinal Immunity, and Gut Microbiota in Piglets. Probiotics Antimicrob. Proteins 2020, 12, 184–193. [Google Scholar] [CrossRef]
- Wu, S.; Wang, M.; Zhang, M.; He, J.Q. Metabolomics and microbiomes for discovering biomarkers of antituberculosis drugs-induced hepatotoxicity. Arch. Biochem. Biophys. 2022, 715, 109118. [Google Scholar] [CrossRef]
- Zhang, R.; Zhang, H.; Liu, J.; Zeng, X.; Wu, Y.; Yang, C. Rhamnolipids enhance growth performance by improving the immunity, intestinal barrier function, and metabolome composition in broilers. J. Sci. Food Agric. 2022, 102, 908–919. [Google Scholar] [CrossRef]
- Zhang, T.; Sun, P.; Geng, Q.; Fan, H.; Gong, Y.; Hu, Y.; Shan, L.; Sun, Y.; Shen, W.; Zhou, Y. Disrupted spermatogenesis in a metabolic syndrome model: The role of vitamin A metabolism in the gut-testis axis. Gut 2022, 71, 78–87. [Google Scholar] [CrossRef]
- Si, J.; Feng, L.; Gao, J.; Huang, Y.; Zhang, G.; Mo, J.; Zhu, S.; Qi, W.; Liang, J.; Lan, G. Evaluating the association between feed efficiency and the fecal microbiota of early-life Duroc pigs using 16S rRNA sequencing. AMB Express 2020, 10, 115. [Google Scholar] [CrossRef]
- Maldonado Galdeano, C.; Cazorla, S.I.; Lemme Dumit, J.M.; Vélez, E.; Perdigón, G. Beneficial Effects of Probiotic Consumption on the Immune System. Ann. Nutr. Metab. 2019, 74, 115–124. [Google Scholar] [CrossRef] [PubMed]
- Hede, S.V.; Olarte, L.; Chandramohan, L.; Kaplan, S.L.; Hulten, K.G. Streptococcus gallolyticus subsp. pasteurianus infection in twin infants. J. Clin. Microbiol. 2015, 53, 1419–1422. [Google Scholar] [CrossRef] [PubMed]
- Bergamaschi, M.; Tiezzi, F.; Howard, J.; Huang, Y.J.; Gray, K.A.; Schillebeeckx, C.; Schillebeeckx, C.; McNulty, N.P.; Maltecca, C. Gut microbiome composition differences among breeds impact feed efficiency in swine. Microbiome 2020, 8, 110. [Google Scholar] [CrossRef] [PubMed]
- Chen, Y.T.; Chiou, S.Y.; Hsu, A.H.; Lin, Y.C.; Lin, J.S. Lactobacillus rhamnosus strain lrh05 intervention ameliorated body weight gain and adipose inflammation via modulating the gut microbiota in high-fat diet-induced obese mice. Mol. Nutr. Food Res. 2022, 66, e2100348. [Google Scholar] [CrossRef] [PubMed]
- Sampath, V.; Duk Ha, B.; Kibria, S.; Kim, I.H. Effect of low-nutrient-density diet with probiotic mixture (Bacillus subtilis ms1, B. licheniformis SF5-1, and Saccharomyces cerevisiae) supplementation on performance of weaner pigs. J. Anim. Physiol. Anim. Nutr. (Berl.) 2022, 106, 61–68. [Google Scholar] [CrossRef]
- Widyarman, A.S.; Udawatte, N.S.; Roeslan, M.O.; Rizal, M.I.; Richi, M.; Kusnoto, J.; Seneviratne, C.J. Short- term effect of probiotic Lactobacillus reuteri consumption on the salivary microbiome profile of subjects undergoing orthodontic treatment with fixed appliances. J. Oral Microbiol. 2022, 14, 2067103. [Google Scholar] [CrossRef]
- Xu, X.; Yang, C.; Chang, J.; Wang, P.; Yin, Q.; Liu, C.; Gao, T.; Dang, X.; Lu, F. Dietary Supplementation with Compound Probiotics and Berberine Alters Piglet Production Performance and Fecal Microbiota. Animals 2020, 10, 511. [Google Scholar] [CrossRef]
- Lamont, E.I.; Gadkari, A.; Kerns, K.A.; To, T.T.; Daubert, D.; Kotsakis, G.; Bor, B.; He, X.; McLean, J.S. Modified SHI medium supports growth of a disease-state subgingival polymicrobial community in vitro. Mol. Oral Microbiol. 2021, 36, 37–49. [Google Scholar] [CrossRef]
- Simpson, B.W.; Trent, M.S. Pushing the envelope: LPS modifications and their consequences. Nat. Rev. Microbiol. 2019, 17, 403–416. [Google Scholar] [CrossRef] [PubMed]
- Silva, J.F.; Olivon, V.C.; Mestriner, F.; Zanotto, C.Z.; Ferreira, R.G.; Ferreira, N.S.; Silva, C.; Luiz, J.; Alves, J.V.; Fazan, R. Acute Increase in O-GlcNAc Improves Survival in Mice With LPS-Induced Systemic Inflammatory Response Syndrome. Front. Physiol. 2020, 10, 1614. [Google Scholar] [CrossRef] [PubMed]
- Tachedjian, G.; Aldunate, M.; Bradshaw, C.S.; Cone, R.A. The role of lactic acid production by probiotic Lactobacillus species in vaginal health. Res. Microbiol. 2017, 168, 782–792. [Google Scholar] [CrossRef] [PubMed]
- Jang, A.Y.; Rod-In, W.; Monmai, C.; Sohn, M.; Kim, T.R.; Jeon, M.G.; Park, W.J. Anti-inflammatory potential of Lactobacillus reuteri LM1071 via eicosanoid regulation in LPS-stimulated RAW264.7 cells. J. Appl. Microbiol. 2021. [Google Scholar] [CrossRef]
- Brahmachari, G.; Mandal, N.C.; Roy, R.; Ghosh, R.; Barman, S.; Sarkar, S.; Jash, S.K.; Mondal, S. A new pentacyclic triterpene with potent antibacterial activity from Limnophila indica Linn. (Druce). Fitoterapia 2013, 90, 104–111. [Google Scholar] [CrossRef] [PubMed]
- Szutowska, J.; Gwiazdowska, D.; Rybicka, I.; Pawlak-Lemańska, K.; Biegańska-Marecik, R.; Gliszczyńska-Świgło, A. Controlled fermentation of curly kale juice with the use of autochthonous starter cultures. Food Res. Int. 2021, 149, 110674. [Google Scholar] [CrossRef] [PubMed]
- Priyanka, V.; Ramesha, A.; Gayathri, D.; Vasudha, M. Molecular characterization of non-biogenic amines producing Lactobacillus plantarum GP11 isolated from traditional pickles using HRESI-MS analysis. J. Food Sci. Technol. 2021, 58, 2216–2226. [Google Scholar] [CrossRef]
- Lee, M.; Song, J.H.; Choi, E.J.; Yun, Y.R.; Lee, K.W.; Chang, J.Y. UPLC-QTOF-MS/MS and GC-MS Characterization of Phytochemicals in Vegetable Juice Fermented Using Lactic Acid Bacteria from Kimchi and Their Antioxidant Potential. Antioxidants 2021, 10, 1761. [Google Scholar] [CrossRef]
- Hirano, R.; Kume, A.; Nishiyama, C.; Honda, R.; Shirasawa, H.; Ling, Y.; Sugiyama, Y.; Nara, M.; Shimokawa, H.; Kawada, H.; et al. Putrescine Production by Latilactobacillus curvatus KP 3-4 Isolated from Fermented Foods. Microorganisms 2022, 10, 697. [Google Scholar] [CrossRef]
- Lalitsuradej, E.; Sirilun, S.; Sittiprapaporn, P.; Sivamaruthi, B.S.; Pintha, K.; Tantipaiboonwong, P.; Khongtan, S.; Fukngoen, P.; Peerajan, S.; Chaiyasut, C. The Effects of Synbiotics Administration on Stress-Related Parameters in Thai Subjects-A Preliminary Study. Foods 2022, 11, 759. [Google Scholar] [CrossRef]
- Choi, P.; Rhayat, L.; Pinloche, E.; Devillard, E.; de Paepe, E.; Vanhaecke, L.; Haesebrouck, F.; Ducatelle, R.; Van Immerseel, F.; Goossens, E. Bacillus Subtilis 29784 as a Feed Additive for Broilers Shifts the Intestinal Microbial Composition and Supports the Production of Hypoxanthine and Nicotinic Acid. Animals 2021, 11, 1335. [Google Scholar] [CrossRef] [PubMed]
- Yi, H.; Yang, G.; Xiong, Y.; Wu, Q.; Xiao, H.; Wen, X.; Yang, X.; Wang, L.; Jiang, Z. Integrated metabolomic and proteomics profiling reveals the promotion of Lactobacillus reuteri LR1 on amino acid metabolism in the gut-liver axis of weaned pigs. Food Funct. 2019, 10, 7387–7396. [Google Scholar] [CrossRef] [PubMed]
- Wang, Z.; Hu, J.; Zheng, W.; Yang, T.; Wang, X.; Xie, C.; Yan, X. Lactobacillus frumenti mediates energy production via fatty acid β-oxidation in the liver of early-weaned piglets. J. Anim. Sci. Biotechnol. 2019, 10, 95. [Google Scholar] [CrossRef] [PubMed]
- Tang, C.; Cao, G.; Zhao, W.; Bie, X.; Lu, F.; Lu, Z.; Lu, Y. Lactobacillus acidophilus NX2-6 Improved High-Fat Diet-Induced Glucose Metabolism Disorder Independent of Promotion of Insulin Secretion in Mice. J. Agric. Food Chem. 2021, 69, 15598–15610. [Google Scholar] [CrossRef] [PubMed]










| Material | Content | Material | Content | 
|---|---|---|---|
| Primary corn | 43.9% | DL-methionin (98.5%) | 0.155% | 
| Flour | 6% | L-Threonin (98.5%) | 0.136% | 
| Rice bran meal | 7.3% | Antioxidant | 0.02% | 
| Milk fat | 0.5% | Fragrances (Le Daxiang) | 0.005% | 
| Soybean meal | 17.8% | Emulsifier (bile acid) | 0.035% | 
| Expanded soybean | 5% | Phytase (high temperature resistant) | 0.015% | 
| Barley (with skin) | 15% | Vitamin E (500,000 IU) | 0.005% | 
| Calcium hydrogen phosphate | 1.12% | Glucose oxidase | 0.01% | 
| Stone powder | 1.19% | Premixed feed for growing pigs | 0.5% | 
| Sodium chloride | 0.3% | Choline chloride (50%) | 0.1% | 
| Bicarb | 0.1% | VitC (capsule) | 0.015% | 
| L-lysine hydrochloride (70%) | 0.487% | Ruyiruyi (Enterococcus faecium) | 0.05% | 
| Team | Content | Team | Content | 
|---|---|---|---|
| DE | 3.17(Mcal/kg) | ASH | 5.81% | 
| CP | 16.49% | CF | 3.15% | 
| Ca | 0.85% | Lys | 1.08% | 
| TP | 0.66% | Met | 0.42% | 
| AP | 0.35% | Cys | 0.28% | 
| EE | 5.75% | Thr | 0.75% | 
| Item | Parameter | Item | Parameter | 
|---|---|---|---|
| column temperature | 30 °C | mass range | 80 m/z to 1200 m/z | 
| autosampler temperature | 4 °C | sheath gas flow rate | 30 psi | 
| Sample injection volume | 2 µL | auxiliary gas flow rate | 10 psi | 
| Mobile phase A | water plus 0.1% formic acid | transmission Capillary temperature | 320 °C | 
| Mobile phase B | Methanol | primary scan resolutions | 70,000 | 
| spray voltage | 3.0 kV | secondary scan resolutions | 17,500 | 
| Time/min | Mobile Phase A/% | Mobile Phase B/% | 
|---|---|---|
| 0~3 | 95 | 5 | 
| 3~6 | 95~80 | 5~20 | 
| 7~20 | 80~0 | 20~100 | 
| 21~23 | 0 | 100 | 
| 23~23.1 | 0~95 | 100-5 | 
| 23~25 | 95 | 5 | 
| Team | Number | Average Initial Body Weight/Kg | Average Finish Body Weight/Kg | Average Daily Gain/g | Average Daily Feed Intake/Kg | Feed Efficiency | 
|---|---|---|---|---|---|---|
| G0 | 21 | 59.55 ± 1.45 | 88.28 ± 2.70 | 957.59 ± 65.50 | 2.55 ± 0.22 | 2.66 ± 0.07 | 
| G1 | 21 | 59.24 ± 3.31 | 88.36 ± 2.95 | 970.63 ± 13.54 | 2.61 ± 0.29 | 2.68 ± 0.27 | 
| Name | Formula | Molecular Weight (Da) | VIP Value | Fold Change (G0T0/G0T30) | HMDB Number | 
|---|---|---|---|---|---|
| ebelactone b | C21 H36 O4 | 352.26 | 2.12 | 2.62 | HMDB0251673 | 
| docosahexaenoic acid ethyl ester | C24 H36 O2 | 356.27 | 2.32 | 2.59 | HMDB0251557 | 
| monolaurin | C15 H30 O4 | 274.21 | 4.59 | 20.60 | HMDB0245396 | 
| 1-vinylimidazole | C5 H6 N2 | 94.05 | 2.68 | 0.46 | HMDB0244017 | 
| 3-hydroxy-4-methylcholesta-8,24-diene-4-carbaldehyde | C29 H46 O2 | 426.35 | 6.10 | 2.49 | HMDB0062387 | 
| capsi-amide | C17 H35 N O | 269.27 | 1.21 | 2.52 | HMDB0040940 | 
| 13-hydroxy-9-methoxy-10-oxo-11-octadecenoic acid | C19 H34 O5 | 342.24 | 1.29 | 0.44 | HMDB0040901 | 
| stearamide | C18 H37 N O | 283.29 | 1.01 | 2.54 | HMDB0034146 | 
| acetophenone | C8 H8 O | 120.06 | 18.60 | 0.39 | HMDB0033910 | 
| 15,16-dihydroxyoctadecanoic acid | C18 H36 O4 | 316.26 | 1.74 | 2.40 | HMDB0031008 | 
| N-methylisopelletierine | C9 H17 N O | 155.13 | 1.06 | 0.24 | HMDB0030326 | 
| thr-pro | C9 H16 N2 O4 | 216.11 | 1.14 | 0.43 | HMDB0029069 | 
| penciclovir | C10 H15 N5 O3 | 253.12 | 2.10 | 0.46 | HMDB0014444 | 
| O-arachidonoyl ethanolamine | C22 H37 N O2 | 347.28 | 1.04 | 2.40 | HMDB0013655 | 
| 1-linoleoyl glycerol | C21 H38 O4 | 354.28 | 5.18 | 2.40 | HMDB0011568 | 
| monoolein | C21 H40 O4 | 356.29 | 5.01 | 2.71 | HMDB0011567 | 
| 2-monolinolenin | C21 H36 O4 | 352.26 | 2.18 | 2.42 | HMDB0011540 | 
| oleoyl ethanolamide | C20 H39 N O2 | 325.30 | 1.21 | 2.42 | HMDB0002088 | 
| DL-atenolol | C14 H22 N2 O3 | 266.16 | 1.59 | 0.23 | HMDB0001924 | 
| putrescine | C4 H12 N2 | 88.10 | 1.81 | 0.25 | HMDB0001414 | 
| N1-acetylspermine | C12 H28 N4 O | 244.23 | 1.31 | 0.20 | HMDB0001186 | 
| ff-mas | C29 H46 O | 410.35 | 2.18 | 2.44 | HMDB0001023 | 
| 5-hydroxyindole-3-acetic acid | C10 H9 N O3 | 191.06 | 2.43 | 0.24 | HMDB0000763 | 
| tyramine | C8 H11 N O | 137.08 | 9.46 | 0.39 | HMDB0000306 | 
| D-(+)-pyroglutamic acid | C5 H7 N O3 | 129.04 | 3.03 | 0.30 | HMDB0000267 | 
| pyridoxine | C8 H11 N O3 | 169.07 | 1.25 | 0.47 | HMDB0000239 | 
| glycerol 3-phosphate | C3 H9 O6 P | 172.01 | 1.05 | 2.41 | HMDB0000126 | 
| adenine | C5 H5 N5 | 135.05 | 3.00 | 0.29 | HMDB0000034 | 
| androstenediol 3-tetrahydropyranyl ether | C24 H38 O3 | 374.28 | 5.40 | 2.89 | - | 
| 1-palmitoyl-2-hydroxy-sn-glycero-3-pe | C21 H44 N O7 P | 453.28 | 1.14 | 2.33 | - | 
| N-(2-acetylphenyl) formamide | C9 H9 N O2 | 163.06 | 8.38 | 0.46 | - | 
| 9,10,13-trihydroxyoctadecanoic acid | C18 H36 O5 | 332.26 | 1.03 | 0.45 | - | 
| 3-amino-4,7-dihydroxy-8-methylcoumarin | C10 H9 N O4 | 207.05 | 1.80 | 0.36 | - | 
| 2,4-dimethyl-2-imidazoline | C5 H10 N2 | 98.08 | 1.55 | 0.36 | - | 
| N-(5-acetamidopentyl) acetamide | C9 H18 N2 O2 | 186.14 | 1.20 | 0.33 | - | 
| stearoyl ethanolamide | C20 H41 N O2 | 309.30 | 1.08 | 2.48 | - | 
| messagenin | C29 H48 O3 | 444.36 | 4.42 | 2.19 | - | 
| oleanolic acid | C30 H48 O3 | 438.35 | 1.07 | 2.18 | - | 
| Name | Formula | NW (Da) | VIP | FC (G0T0/G0T30) | HMDB | 
| limaprost | C22 H36 O5 | 380.26 | 1.79 | 0.38 | HMDB0254093 | 
| etretinate | C23 H30 O3 | 354.22 | 2.11 | 2.93 | HMDB0252122 | 
| stercobilin | C33 H46 N4 O6 | 594.34 | 1.16 | 2.40 | HMDB0240259 | 
| 2,3,19,23-tetrahydroxyolean-12-en-28-oic acid | C30 H48 O6 | 504.34 | 1.84 | 2.54 | HMDB0034501 | 
| 1-oleoyl-rac-glycerol | C21 H40 O4 | 356.29 | 1.39 | 4.14 | HMDB0011567 | 
| traumatic acid | C12 H20 O4 | 228.14 | 1.00 | 0.44 | HMDB0000933 | 
| pseudouridine | C9 H12 N2 O6 | 244.07 | 2.10 | 0.45 | HMDB0000767 | 
| lithocholic acid | C24 H40 O3 | 376.30 | 19.14 | 2.71 | HMDB0000761 | 
| d-α-hydroxyglutaric acid | C5 H8 O5 | 148.04 | 3.26 | 0.40 | HMDB0000428 | 
| 3-deoxy-d-glycero-d-galacto-2-nonulosonic acid | C9 H16 O9 | 268.08 | 3.22 | 3.80 | HMDB0000425 | 
| 1-hydroxycholic acid | C24 H40 O6 | 424.28 | 2.41 | 0.48 | HMDB0000307 | 
| xanthine | C5 H4 N4 O2 | 152.03 | 6.65 | 3.54 | HMDB0000292 | 
| hypoxanthine | C5 H4 N4 O | 136.04 | 4.30 | 0.29 | HMDB0000157 | 
| adenine | C5 H5 N5 | 135.05 | 1.78 | 0.35 | HMDB0000034 | 
| 1-myristoyl-2-hydroxy-sn-glycero-3-pe | C19 H40 N O7 P | 425.25 | 1.35 | 2.60 | - | 
| 1-palmitoyl-2-hydroxy-sn-glycero-3-pe | C21 H44 N O7 P | 453.29 | 2.81 | 2.21 | - | 
| olean-12-ene-3,16,21,22,23,28-hexol | C30 H50 O6 | 506.36 | 2.01 | 2.40 | - | 
| volicitin | C23 H38 N2 O5 | 422.28 | 1.19 | 2.34 | - | 
| Publisher’s Note: MDPI stays neutral with regard to jurisdictional claims in published maps and institutional affiliations. | 
© 2022 by the authors. Licensee MDPI, Basel, Switzerland. This article is an open access article distributed under the terms and conditions of the Creative Commons Attribution (CC BY) license (https://creativecommons.org/licenses/by/4.0/).
Share and Cite
Mo, J.; Lu, Y.; Jiang, S.; Yan, G.; Xing, T.; Xu, D.; He, Y.; Xie, B.; Lan, G.; Chen, B.; et al. Effects of the Probiotic, Lactobacillus delbrueckii subsp. bulgaricus, as a Substitute for Antibiotics on the Gastrointestinal Tract Microbiota and Metabolomics Profile of Female Growing-Finishing Pigs. Animals 2022, 12, 1778. https://doi.org/10.3390/ani12141778
Mo J, Lu Y, Jiang S, Yan G, Xing T, Xu D, He Y, Xie B, Lan G, Chen B, et al. Effects of the Probiotic, Lactobacillus delbrueckii subsp. bulgaricus, as a Substitute for Antibiotics on the Gastrointestinal Tract Microbiota and Metabolomics Profile of Female Growing-Finishing Pigs. Animals. 2022; 12(14):1778. https://doi.org/10.3390/ani12141778
Chicago/Turabian StyleMo, Jiayuan, Yujie Lu, Shan Jiang, Gang Yan, Tianqi Xing, Di Xu, Yaoyin He, Bingkun Xie, Ganqiu Lan, Baojian Chen, and et al. 2022. "Effects of the Probiotic, Lactobacillus delbrueckii subsp. bulgaricus, as a Substitute for Antibiotics on the Gastrointestinal Tract Microbiota and Metabolomics Profile of Female Growing-Finishing Pigs" Animals 12, no. 14: 1778. https://doi.org/10.3390/ani12141778
APA StyleMo, J., Lu, Y., Jiang, S., Yan, G., Xing, T., Xu, D., He, Y., Xie, B., Lan, G., Chen, B., & Liang, J. (2022). Effects of the Probiotic, Lactobacillus delbrueckii subsp. bulgaricus, as a Substitute for Antibiotics on the Gastrointestinal Tract Microbiota and Metabolomics Profile of Female Growing-Finishing Pigs. Animals, 12(14), 1778. https://doi.org/10.3390/ani12141778
 
         
                                                

 
       