Sign in to use this feature.

Years

Between: -

Subjects

remove_circle_outline
remove_circle_outline
remove_circle_outline
remove_circle_outline
remove_circle_outline
remove_circle_outline

Journals

Article Types

Countries / Regions

Search Results (27)

Search Parameters:
Keywords = Radon Fourier Transform

Order results
Result details
Results per page
Select all
Export citation of selected articles as:
38 pages, 9589 KB  
Article
Identification of Interactions Between the Effects of Geodynamic Activity and Changes in Radon Concentration as Markers of Seismic Events
by Lidia Fijałkowska-Lichwa, Damian Kasza, Marcin Zając, Tadeusz A. Przylibski and Marek Kaczorowski
Appl. Sci. 2025, 15(15), 8199; https://doi.org/10.3390/app15158199 - 23 Jul 2025
Viewed by 573
Abstract
This article describes the interactions between radon emissions and tectonic movements that accompany seismic activity as a function of time. The interpretation is based on advanced data analysis methods, such as Fourier wavelet transform, SGolay correlation analysis, and time-based data categorization. The dataset [...] Read more.
This article describes the interactions between radon emissions and tectonic movements that accompany seismic activity as a function of time. The interpretation is based on advanced data analysis methods, such as Fourier wavelet transform, SGolay correlation analysis, and time-based data categorization. The dataset comprised the measurement results of 222Rn activity concentrations and the effects of the tectonic activity of rock masses acquired from two water-tube tiltmeters and five SRDN-3 radon probes. The analysis included four seismic events with moderate and light magnitudes (≥4.0), with a hypocenter at a depth of 1–10 km, located approximately 75 km from the research site. Each seismic shock had a different distribution of rock mass phases recorded by the integrated (probe-tiltmeter) measurement system. The results indicate that at the research site, the radon-tectonic signal is best identified between 25 and 48 h and between 49 and 72 h before the seismic shock. Positive correlations between the tectonic signal and the radon signal associated with the tension phase in the rock mass and negative correlations between the tectonic signal and the radon signal associated with the compression phase allow the description of the behavior of the rock mass before the seismic shock. Mixed correlations (positive and negative) indicate that both the stress and strain phases of the rock mass are recorded. The observed correlations seem particularly promising, as they can be recorded already 1–3 days before the seismic event, allowing an appropriately early response to the expected seismic event. Full article
Show Figures

Figure 1

14 pages, 285 KB  
Article
Stability of the Comparison Problem for the Spherical Radon Transform
by Tian Li, Longyu Wu and Quanxin Zhu
Mathematics 2025, 13(3), 542; https://doi.org/10.3390/math13030542 - 6 Feb 2025
Viewed by 860
Abstract
This paper addresses the comparison problem for the spherical Radon transform, which was posed by Koldobsky, Roysdon, and Zvavitch. By applying Fourier analytic techniques, we derive linear stability results for both the affirmative and negative solutions to this problem. Furthermore, we investigate the [...] Read more.
This paper addresses the comparison problem for the spherical Radon transform, which was posed by Koldobsky, Roysdon, and Zvavitch. By applying Fourier analytic techniques, we derive linear stability results for both the affirmative and negative solutions to this problem. Furthermore, we investigate the linear separation in this framework. Full article
18 pages, 722 KB  
Article
Fast Generalized Radon–Fourier Transform Based on Blind Speed Sidelobe Traction
by Difeng Sun, He Xu, Jin Li, Zutang Wu, Jun Yang, Youcao Wu, Baoguo Zhang, Qianqian Cheng and Jianbing Li
Remote Sens. 2025, 17(3), 475; https://doi.org/10.3390/rs17030475 - 30 Jan 2025
Cited by 1 | Viewed by 1225
Abstract
The generalized Radon–Fourier transform (GRFT) is a well-established coherent accumulation technique for high-speed and high-mobility target detection. However, this method tends to suffer from the difficulty of identifying the main lobe from multiple blind speed sidelobes (BSSLs) and the computational complexity is generally [...] Read more.
The generalized Radon–Fourier transform (GRFT) is a well-established coherent accumulation technique for high-speed and high-mobility target detection. However, this method tends to suffer from the difficulty of identifying the main lobe from multiple blind speed sidelobes (BSSLs) and the computational complexity is generally high. To address these challenges, we propose a new method, namely the BSSL Traction Particle Swarm Optimization (BTPSO), to robustly and accurately extract the main lobe. In the method, the relationship between the main lobe and the BSSLs is used to attract particles to potential positions of the main lobe in the group when trapped in local optimal, and a new termination criterion in which multiple particles should converge to the same optimal value is proposed to avoid local convergence. Simulation examples show that the proposed method can improve the probability of converging to the main lobe peak while reducing cost time, and its good adaptability to low signal-to-noise ratio (SNR) cases is well verified. Full article
Show Figures

Figure 1

21 pages, 6412 KB  
Article
Detection of Flight Target via Multistatic Radar Based on Geosynchronous Orbit Satellite Irradiation
by Jia Dong, Peng Liu, Bingnan Wang and Yaqiu Jin
Remote Sens. 2024, 16(23), 4582; https://doi.org/10.3390/rs16234582 - 6 Dec 2024
Cited by 1 | Viewed by 2657
Abstract
As a special microwave detection system, multistatic radar has obvious advantages in covert operation, anti-jamming, and anti-stealth due to its configuration of spatial diversity. As a high-orbit irradiation source, a geosynchronous orbit satellite (GEO) has the advantages of a low revisit period, large [...] Read more.
As a special microwave detection system, multistatic radar has obvious advantages in covert operation, anti-jamming, and anti-stealth due to its configuration of spatial diversity. As a high-orbit irradiation source, a geosynchronous orbit satellite (GEO) has the advantages of a low revisit period, large beam coverage area, and stable power of ground beam compared with traditional passive radar irradiation sources. This paper focuses on the key technologies of flight target detection in multistatic radar based on geosynchronous orbit satellite irradiation with one transmitter and multiple receivers. We carry out the following work: Firstly, we aim to address the problems of low signal-to-noise ratio (SNR) and range cell migration of high-speed cruise targets. The Radon–Fourier transform constant false alarm rate detector-range cell migration correction (RFT-CFAR-RCMC) is adopted to realize the coherent integration of echoes with range cell migration correction (RCM) and Doppler phase compensation. It significantly improves the SNR. Furthermore, we utilize the staggered PRF to solve the ambiguity and obtain multi-view data. Secondly, based on the aforementioned target multi-view detection data, the linear least square (LLS) multistatic positioning method combining bistatic range positioning (BR) and time difference of arrival positioning (TDOA) is used, which constructs the BR and TDOA measurement equations and linearizes by mathematical transformation. The measurement equations are solved by the LLS method, and the target positioning and velocity inversion are realized by the fusion of multistatic data. Finally, using target positioning data as observation values of radar, the Kalman filter (KF) is used to achieve flight trajectory tracking. Numerical simulation verifies the effectiveness of the proposed process. Full article
Show Figures

Figure 1

22 pages, 13490 KB  
Article
Combined Coherent and Non-Coherent Long-Time Integration Method for High-Speed Target Detection Using High-Frequency Radar
by Gan Liu, Yingwei Tian, Biyang Wen and Chen Liu
Remote Sens. 2024, 16(12), 2139; https://doi.org/10.3390/rs16122139 - 13 Jun 2024
Cited by 5 | Viewed by 3560
Abstract
High-frequency (HF) radar plays a crucial role in the detection of far-range, stealth, and high-speed targets. Nevertheless, the echo signal of such targets typically exhibits a low signal-to-noise ratio (SNR) and significant amplitude fluctuations because their radar cross-section (RCS) accounting for the HF [...] Read more.
High-frequency (HF) radar plays a crucial role in the detection of far-range, stealth, and high-speed targets. Nevertheless, the echo signal of such targets typically exhibits a low signal-to-noise ratio (SNR) and significant amplitude fluctuations because their radar cross-section (RCS) accounting for the HF band is in the resonance region. While enhancing detection performance often requires long-time integration, existing algorithms inadequately consider the impact of amplitude fluctuation. In response to this challenge, this article introduces an improved approach based on coherent and non-coherent integration. Initially, coherent integration, employing the generalized Radon Fourier transform (GRFT), is utilized to derive a candidate detection set of targets’ range–time trajectories. This involves a joint solution for range migration (RM) and Doppler frequency migration (DFM) through a multi-parameter motion model search. Subsequently, the removal of low SNR pulses, followed by non-coherent integration, is implemented to mitigate amplitude fluctuation, referred to as Amplitude Fluctuation Suppression (AFS), and refine the detection outcomes. Both simulation and experiment results are provided to prove the effectiveness of the proposed AFS-GRFT algorithm. Full article
Show Figures

Figure 1

22 pages, 1843 KB  
Article
Long-Time Coherent Integration for the Spatial-Based Bistatic Radar Based on Dual-Scale Decomposition and Conditioned CPF
by Suqi Li, Yihan Wang, Yanfeng Liang and Bailu Wang
Remote Sens. 2024, 16(10), 1798; https://doi.org/10.3390/rs16101798 - 18 May 2024
Viewed by 1904
Abstract
This paper addresses the problem of weak maneuvering target detection in the space-based bistatic radar system through long-time coherent integration (LTCI). The space-based bistatic radar is vulnerable to the high-order range migration (RM) and Doppler frequency migration (DFM), since the target, the receiver [...] Read more.
This paper addresses the problem of weak maneuvering target detection in the space-based bistatic radar system through long-time coherent integration (LTCI). The space-based bistatic radar is vulnerable to the high-order range migration (RM) and Doppler frequency migration (DFM), since the target, the receiver and the transmitter all can play fast movement independently. To correct high- order RM and DFM, this usually involves joint high-dimensional parameter searching, incurring a large computational burden. In our previous work, a dual-scale (DS) decomposition of motion parameters was proposed, in which the optimal GRFT is conditionally decoupled into two cascade procedures called the modified generalized inverse Fourier transform (GIFT) and generalized Fourier transform (GFT), resulting in the DS-GRFT detector. However, even if the DS-GRFT detector preserves the superior performance and dramatically decreases the complexity, high-dimensional searching is still required. In this paper, by analyzing the structure of the DS-GRFT detector, we further designed a conditioned cubic phase function (CCPF) tailored to the range–slow-time signal after GIFT, breaking the joint high-dimensional searching into independent one-dimensional searching. Then, by connecting the proposed CCPF with the GIFT, we achieved a new LTCI detector called the DS-GIFT-CCPF detector, which obtained a significant computational cost reduction with acceptable performance loss, as demonstrated in numerical experiments. Full article
Show Figures

Figure 1

18 pages, 21673 KB  
Article
Long-Term Coherent Integration Algorithm for High-Speed Target Detection
by Yao He, Guanghui Zhao and Kai Xiong
Sensors 2024, 24(8), 2603; https://doi.org/10.3390/s24082603 - 18 Apr 2024
Cited by 2 | Viewed by 2702
Abstract
Long-term coherent integration (CI) can effectively improve the radar detection capability for high-speed targets. However, the range walk (RW) effect caused by high-speed motion significantly degrades the detection performance. To improve detection performance, this study proposes an improved algorithm based on the modified [...] Read more.
Long-term coherent integration (CI) can effectively improve the radar detection capability for high-speed targets. However, the range walk (RW) effect caused by high-speed motion significantly degrades the detection performance. To improve detection performance, this study proposes an improved algorithm based on the modified Radon inverse Fourier transform (denoted as IMRIFT). The proposed algorithm uses parameter searching for velocity estimation, designs a compensation function based on the relationship between velocity and distance walk and Doppler ambiguity terms, and performs CI based on the compensated signal. IMRIFT can achieve RW correction, avoid the blind-speed sidelobe (BSSL) effect caused by velocity mismatch, and improve detection performance, while ensuring low computational complexity. In addition, considering the relationship between energy concentration regions and bandwidth in the 2D frequency domain, a fast method based on IMIRFT is proposed, which can balance computational cost and detection capacity. Finally, a series of comparative experiments are conducted to demonstrate the effectiveness of the proposed algorithm and the fast method. Full article
(This article belongs to the Section Radar Sensors)
Show Figures

Figure 1

21 pages, 3036 KB  
Article
Coherent Accumulation for Measuring Maneuvering Weak Targets Based on Stepped Dechirp Generalized Radon–Fourier Transform
by Yuxian Sun, Shaoqiang Chang, Bowen Cai, Dewu Wang and Quanhua Liu
Remote Sens. 2023, 15(21), 5161; https://doi.org/10.3390/rs15215161 - 29 Oct 2023
Viewed by 2011
Abstract
The problem of accurately measuring the motion parameters of low radar cross-section (RCS) maneuvering targets has long been a hurdle in the radar technology landscape. Small targets, due to their elusive characteristics, are particularly difficult to detect with conventional radar systems. In this [...] Read more.
The problem of accurately measuring the motion parameters of low radar cross-section (RCS) maneuvering targets has long been a hurdle in the radar technology landscape. Small targets, due to their elusive characteristics, are particularly difficult to detect with conventional radar systems. In this paper, we investigate the capabilities of dechirp-receiving stepped-frequency radar, a modern system using a linear frequency modulation signal for downconversion. This permits the radar to function at reduced sampling rates while maintaining the transmission of large-bandwidth signals and achieving synthetic imaging. Our primary contribution is introducing the stepped dechirp generalized Radon–Fourier transform (stepped DGRFT) algorithm. This novel approach allows the radar system to perform coherent accumulation, enhancing the accuracy of motion parameter estimates for low-RCS maneuvering targets. Results from our simulations and measured data analysis validate the effectiveness of our proposed algorithm, demonstrating its superiority over other methods. Full article
(This article belongs to the Special Issue Target Detection, Tracking and Imaging Based on Radar)
Show Figures

Figure 1

31 pages, 3399 KB  
Article
A Quasi-Coherent Detection Method Based on Radon–Fourier Transform Using Multi-Frequency-Based Passive Bistatic Radar
by Junjie Li, Chunyi Song and Zhiwei Xu
Remote Sens. 2023, 15(17), 4309; https://doi.org/10.3390/rs15174309 - 31 Aug 2023
Cited by 1 | Viewed by 2295
Abstract
Passive bistatic radar (PBR)-based moving target detection (MTD) has benefited greatly from multi-frequency (MF) integration, which can effectively improve the detection capability of weak targets. However, with the increase in the coherent processing interval (CPI) and carrier-frequency separation, Doppler spread will appear in [...] Read more.
Passive bistatic radar (PBR)-based moving target detection (MTD) has benefited greatly from multi-frequency (MF) integration, which can effectively improve the detection capability of weak targets. However, with the increase in the coherent processing interval (CPI) and carrier-frequency separation, Doppler spread will appear in the range-Doppler maps (RDMs) over different frequency bands, which severely limits the processing gain of MF integration. In this paper, a novel MTD algorithm is proposed to achieve both long-time integration and quasi-coherent MF integration. More specifically, the proposed method consists of two main steps, where a modified Radon–Fourier transform (RFT), termed as MF-based RFT (MF-RFT), is, firstly, used to eliminate the Doppler spread via designing a sequential of MF-based Doppler filter banks. Following the MF-RFT, a phase-compensation-based method is also developed to further remove the residual phase errors. This method involves formulating an optimization problem based on the minimum-entropy criterion and employing a particle swarm optimization (PSO) algorithm to solve it, after which quasi-coherent MF integration can be achieved with robustness. Both numerical results and field test results based on digital video broadcasting-satellite (DVB-S) signals demonstrate that the proposed algorithm outperforms the existing methods in the scenario of weak MTD. Full article
(This article belongs to the Special Issue Breakthroughs in Passive Radar Technologies)
Show Figures

Graphical abstract

17 pages, 5675 KB  
Technical Note
A Coherent Integration and Parameter Estimation Method for Constant Radial Acceleration Weak Target via SOKT-IAR-LVD
by Renli Zhang and Nan Xu
Remote Sens. 2023, 15(17), 4227; https://doi.org/10.3390/rs15174227 - 28 Aug 2023
Cited by 1 | Viewed by 1547
Abstract
In order to enhance the detection and parameter estimation capacity to the maneuvering target with complex motions, a low complexity coherent integration and parameter estimation method named SOKT-IAR-LVD is proposed in this paper. In SOKT-IAR-LVD, first, the second-order keystone transform (SOKT) is utilized [...] Read more.
In order to enhance the detection and parameter estimation capacity to the maneuvering target with complex motions, a low complexity coherent integration and parameter estimation method named SOKT-IAR-LVD is proposed in this paper. In SOKT-IAR-LVD, first, the second-order keystone transform (SOKT) is utilized to eliminate the range curvature induced by target acceleration. Second, improved axis rotation (IAR) is applied to regulate the linear range migration by rotating the fast time axis and the target envelope is aligned along the slow time axis with a quadratic phase characteristic. At last, the target signal is coherently integrated via the Lv’s Distribution (LVD) transform. The target motion parameters, including range, velocity, and acceleration, are estimated by the IAR and LVD results. The integration gain and computational load of SOKT-IAR-LVD are analyzed. Without needing to estimate the Doppler ambiguity number and target acceleration, the computational burden of SOKT-IAR-LVD is three orders of magnitude lower than that of the Radon-Lv’s Distribution (RLVD) method. Simulation results demonstrate that the detection performance of SOKT-IAR-LVD is almost the same as that of RLVD and that the required input SNR of SOKT-IAR-LVD is 17.4 dB lower than that of SOKT–Radon Fourier transform (SOKT-RFT) when the detection threshold is set to 12 dB. Full article
(This article belongs to the Special Issue Advances in Radar Systems for Target Detection and Tracking)
Show Figures

Figure 1

31 pages, 4110 KB  
Article
Multi-Dimensional Spread Target Detection with Across Range-Doppler Unit Phenomenon Based on Generalized Radon-Fourier Transform
by Guanxing Wang, Yangkai Wei, Zegang Ding, Pengjie You, Siyuan Liu and Tianyi Zhang
Remote Sens. 2023, 15(8), 2158; https://doi.org/10.3390/rs15082158 - 19 Apr 2023
Cited by 2 | Viewed by 2328
Abstract
Severe phenomena of across range-Doppler unit (ARDU) and decoherence occur when radar detects high-speed and high-maneuvering targets, causing degradation in detection performance of traditional FFT radar detection methods. The improvement in radar resolution causes a multi-dimensional spread phenomenon, where different scattering centers of [...] Read more.
Severe phenomena of across range-Doppler unit (ARDU) and decoherence occur when radar detects high-speed and high-maneuvering targets, causing degradation in detection performance of traditional FFT radar detection methods. The improvement in radar resolution causes a multi-dimensional spread phenomenon, where different scattering centers of the target are distributed on different range units, along with motion parameters such as velocity and acceleration. Unfortunately, current radar detection methods focus solely on range spread targets and cannot handle multi-dimensional spread, leading to a significant decline in detection performance. To overcome this problem, this paper proposes several methods to achieve high detection performance for multi-dimensional spread target detection with ARDU phenomenon. Firstly, the generalized likelihood ratio test (GLRT) is derived, and the energy integration generalized Rayleigh Fourier transform (EI-GRFT) is introduced to improve the detection performance of range spread cross-unit targets. Additionally, the double-threshold based hybrid GRFT (DT-HGRFT) is presented as an enhancement of EI-GRFT, enabling long-time integration along slow time and integration among multiple scatters by using HGRFT and multi-dimensional sliding double-threshold detection, respectively. Furthermore, a method for joint detections of multiple DT-HGRFTs is provided to handle the case where the number of scattering centers of multi-dimensional spread targets is unknown. Finally, a detailed theoretical analysis of the performance of the proposed method is presented, along with extensive simulations and practical experiments to demonstrate the effectiveness of the proposed methods. Full article
Show Figures

Figure 1

15 pages, 6703 KB  
Article
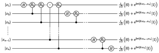
Quantum 3D FFT in Tomography
by Georgia Koukiou and Vassilis Anastassopoulos
Appl. Sci. 2023, 13(6), 4009; https://doi.org/10.3390/app13064009 - 21 Mar 2023
Cited by 3 | Viewed by 2471
Abstract
The Radon transform constitutes the conventional tool for tomosynthesis, i.e., the composition of cross-sections of an object from its projections. It is actually a version of the Fourier Transform, which is accompanied by the appropriate digital high pass filters for correct distribution of [...] Read more.
The Radon transform constitutes the conventional tool for tomosynthesis, i.e., the composition of cross-sections of an object from its projections. It is actually a version of the Fourier Transform, which is accompanied by the appropriate digital high pass filters for correct distribution of energy among the reconstructed frequency components. The Radon transform and its inverse are employed in their 2D and 3D versions, respectively, and the whole procedure is verified by the a priori known cross-sections to be reconstructed (known fandom). Usually, 3D medical image cubes, which are to be reconstructed, require powerful computational tools since the 2D projections are of high-resolution containing millions of pixels. Although the 3D FFT is very fast, the large number of projections will result in a 3D spectrum of very large dimensions. Inverting this spectrum with the inverse 3D FFT is extremely time consuming. In this work, the implementation of the 2D Radon transform using the 2D Quantum Fourier Transform is analytically presented. Simultaneously, its inverse version is realized by means of the Quantum inverse 3D FFT. For this purpose, a review of the necessary quantum computational units is presented for the implementation of the quantum 3D FFT and simultaneously simple examples of tomosynthesis are given by means of the quantum version of the 2D Radon transform and its inverse 3D counterpart. The whole procedure of the quantum tomosynthesis is analytically described. Full article
Show Figures

Figure 1

24 pages, 9636 KB  
Article
Time-Range Adaptive Focusing Method Based on APC and Iterative Adaptive Radon-Fourier Transform
by Jian Guan, Jiazheng Pei, Yong Huang, Xiaolong Chen and Baoxin Chen
Remote Sens. 2022, 14(23), 6182; https://doi.org/10.3390/rs14236182 - 6 Dec 2022
Cited by 4 | Viewed by 2507
Abstract
In conventional radar signal processing, the cascade of pulse compression (i.e., matched filter) and Radon-Fourier transform (RFT) can extract the estimated scattering coefficient of the target in the range-velocity dimension through long-time coherent integration (i.e., long-time focusing). However, matched filter has problems such [...] Read more.
In conventional radar signal processing, the cascade of pulse compression (i.e., matched filter) and Radon-Fourier transform (RFT) can extract the estimated scattering coefficient of the target in the range-velocity dimension through long-time coherent integration (i.e., long-time focusing). However, matched filter has problems such as range sidelobes. RFT belongs to a standard time-dimension matched filter, which will cause velocity sidelobes of strong targets. The range-velocity sidelobes caused by matched filter and RFT will mask other weak targets and affect the subsequent signal processing processes such as target detection and tracking. To suppress range-velocity sidelobes and achieve better range-velocity focusing, this paper proposes a time-range adaptive focusing method named APC-IARFT for short, which is based on adaptive pulse compression (APC) and newly proposed iterative adaptive Radon-Fourier transform (IARFT). In the APC-IARFT method, the radar time-range adaptive focusing consists of two steps: range-dimension adaptive focusing and long-time adaptive focusing in the velocity dimension. The APC method can realize range-dimension adaptive focusing and suppress range sidelobes of strong targets. Then, based on the minimum variance distortionless response (MVDR) formulation, the proposed IARFT method iteratively designs time-dimension adaptive filter of each range-velocity grid according to the received signal processed by APC to suppress velocity sidelobes of strong targets and achieve long-time adaptive focusing. Compared with the conventional cascade of matched filter and RFT, the cascade of matched filter and adaptive Radon-Fourier transform (ARFT), the results show that the proposed time-range adaptive focusing method (i.e., APC-IARFT) is competent for a variety of scenarios. Full article
(This article belongs to the Special Issue Radar High-Speed Target Detection, Tracking, Imaging and Recognition)
Show Figures

Graphical abstract

19 pages, 9180 KB  
Article
Targets’ Radial and Tangential Velocities Estimation Based on Vortex Electromagnetic Waves
by Caipin Li, Shengyuan Li, Dong You, Wencan Peng, Jinwei Li, Yu Li, Qiang Li and Zhanye Chen
Remote Sens. 2022, 14(16), 3861; https://doi.org/10.3390/rs14163861 - 9 Aug 2022
Cited by 7 | Viewed by 2996
Abstract
The orbital angular momentum (OAM) of a vortex electromagnetic wave (VEW) has gained attention as a newly explored information carrier. OAM modes provide vortex azimuth resolution, which is a new degree of freedom (DOF) in radar application. Due to the special characteristics of [...] Read more.
The orbital angular momentum (OAM) of a vortex electromagnetic wave (VEW) has gained attention as a newly explored information carrier. OAM modes provide vortex azimuth resolution, which is a new degree of freedom (DOF) in radar application. Due to the special characteristics of the vortex azimuth domain, VEW shares compound Doppler information of two-dimensional (2D) speed. This paper proposes a 2D target velocity estimation method for VEW radar. The Doppler effect of VEW is first analyzed. Based on the relativity of tangential speed and OAM mode, a pulse-by-pulse OAM mode-changing strategy is designed. Then, a modified Radon–Fourier transformation (RFT) is proposed to estimate the compound Doppler frequency while range migration is compensated. In addition, decoupling and ambiguity-solving procedures are applied to the compound Doppler frequency estimation to obtain tangential and radial speed estimations separately. According to the simulation analyses, the effectiveness of the proposed method is verified. Full article
Show Figures

Figure 1

15 pages, 4045 KB  
Article
Long-Time Coherent Integration for Maneuvering Target Based on Second-Order Keystone Transform and Lv’s Distribution
by Denghui Yao, Xiaoyong Zhang and Zhengbo Sun
Electronics 2022, 11(13), 1961; https://doi.org/10.3390/electronics11131961 - 23 Jun 2022
Cited by 7 | Viewed by 2497
Abstract
Maneuvering target detection is a challenging task for radar due to its maneuverability and weak energy. Long-term coherent integration can remarkably increase signal energy to improve the target detection ability. Unfortunately, high velocity and acceleration of the target will produce linear range migration [...] Read more.
Maneuvering target detection is a challenging task for radar due to its maneuverability and weak energy. Long-term coherent integration can remarkably increase signal energy to improve the target detection ability. Unfortunately, high velocity and acceleration of the target will produce linear range migration (LRM), quadratic range migration (QRM), and Doppler frequency migration (DFM), which seriously degrades the coherent integration gain and further deteriorates target detection performance. To solve this problem, a method based on second-order Keystone transform (SKT) and Lv’s distribution (LVD), also combined with Radon Fourier transform (RFT), i.e., SKTLVD, is proposed in this paper. The LRM is firstly corrected by using RFT. Then, the SKT is employed to remove QRM. Finally, LVD is utilized to eliminate the DFM and achieve coherent integration. Compared with several representative methods, the SKTLVD consumes low computation and obtains good target detection performance, striking a balance between computational cost and target detection ability. Numerical simulations and real measured radar data demonstrate that the proposed method can obtain considerable coherent integral gain under acceptable computational complexity. Full article
(This article belongs to the Section Circuit and Signal Processing)
Show Figures

Figure 1

Back to TopTop