Detection of Flight Target via Multistatic Radar Based on Geosynchronous Orbit Satellite Irradiation
Abstract
1. Introduction
2. GEO-Airship Multistatic Radar Configuration
2.1. GEO-Airship Bistatic Radar
2.1.1. Spatial Configuration and Signal Model
2.1.2. Bistatic Detection Performance
2.2. Multistatic Radar Based on Geosynchronous Orbit Satellite Irradiation
3. Coherent Integration for Bistatic Radar
3.1. RFT-CFAR-RCMC Detection Algorithm
3.1.1. Radon-Fourier Transform in Bistatic Radar
3.1.2. Two-Dimensional Cell Average Constant False Alarm Rate Detector
3.1.3. Range Cell Migration Correction
3.2. Ambiguity Resolution Based on Staggered PRF
4. Target Positioning and Trajectory Tracking
4.1. LLS Multistatic Positioning Method Combining BR and TDOA
4.2. Trajectory Tracking Algorithm Based on Kalman Filter
- For each time step, obtain the state prediction of the current time according to the state estimation of the previous time.
- Using the posterior error covariance at the previous time, calculate the prior error covariance at the current time.
- According to the prior error covariance, calculate the Kalman gain.
- Correct the state prediction by Kalman gain and observation state to obtain the optimal estimation.
- Calculate the posterior error covariance by Kalman gain and prior error covariance.
5. Numerical Simulation and Performance Analysis
5.1. Description of Simulation Parameters
5.2. Coherent Integration in GEO-Airship Bistatic Radar
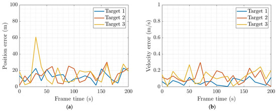
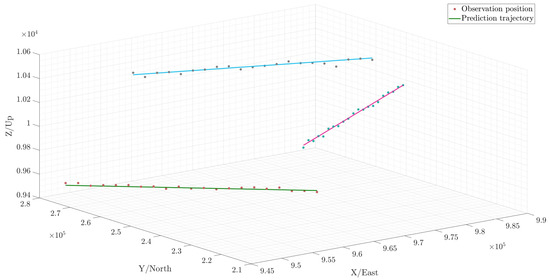
5.3. Target Positioning and Trajectory Tracking in Multistatic Radar
6. Discussion
7. Conclusions
- (1)
- For the low SNR of echo and RCM of high-speed flight target, we propose the RFT-CFAR-RCMC detection algorithm. The coherent integration of Radon–Fourier transform can realize the Doppler phase compensation and decoupling of RCM and phase modulation. Moreover, comparing with other coherent algorithm, the RFT has the advantage of insensitive to Doppler ambiguity. Benefiting from the SNR gain of RFT, the 2D-CA-CFAR in parameter domain can be a kind of effective and reliable detector to exact the signal peak from complex background caused by noise and harmonic. We analyze the one-dimensional spectrum and construct the filter to compensate the RCM phase and obtain the well focusing effect of target pulse in range–Doppler domain.
- (2)
- For the range ambiguity and velocity ambiguity of high-speed target detection, we introduce the ambiguity resolution based on staggered PRF. The proposed method is based on the minimize MSE principle, reordering and selecting the enumeration data for multiple frames data. In addition, we also discuss the parameter condition of the proposed method, in order to ensure each data from different PRF in the same group.
- (3)
- For the multiple views and multiple frames detection data, we propose the LLS multistatic positioning method and combining BR and TDOA to obtain the spatial position estimation and velocity inversion of the target. Based on the multistatic positioning principle, the proposed method uses the BR and TDOA to construct the measurement equation and uses the simple mathematical transform to realize the matrix linearization. We use the LLS method to solve the linear equation group to obtain the position and velocity estimation.
- (4)
- We propose a Kalman filter to realize an optimal estimation of the target position and velocity. The obvious advantage of KF is the better accuracy. The error distribution and RMSE calculation in simulation verify this.
Author Contributions
Funding
Data Availability Statement
Acknowledgments
Conflicts of Interest
References
- Zhang, R.; Huang, C.; Li, Z.; Wu, J.; Yang, J. Maritime Moving Target Detection Technique Via Space-Time Integration of Passive Radar with Geosynchronous Illuminator. J. Signal Process 2022, 38, 1405–1415. [Google Scholar] [CrossRef]
- Daniel, L.; Hristov, S.; Lyu, X.; Stove, A.G.; Cherniakov, M.; Gashinova, M. Design and Validation of a Passive Radar Concept for Ship Detection Using Communication Satellite Signals. IEEE Trans. Aerosp. Electron. Syst. 2017, 53, 3115–3134. [Google Scholar] [CrossRef]
- Xu, H.; Huang, L.; Qiu, X.; Han, B.; Zhong, L.; Meng, D. A New Geosynchronous SAR Constellation and Its Signal Characteristics. IEEE Access 2019, 7, 101539–101551. [Google Scholar] [CrossRef]
- Braun, H.M.; Baessler, H.; Jonas, C. Daily Monitoring of the Mediterranean Sea by Geosynchronous SAR. In Proceedings of the 2016 IEEE Radar Conference (RadarConf), Philadelphia, PA, USA, 2–6 May 2016; pp. 1–4. [Google Scholar]
- Jiang, M.; Hu, W.; Ding, C.; Liu, G. The Effects of Orbital Perturbation on Geosynchronous Synthetic Aperture Radar Imaging. IEEE Geosci. Remote Sens. Lett. 2015, 12, 1106–1110. [Google Scholar] [CrossRef]
- Hobbs, S.; Mitchell, C.; Forte, B.; Holley, R.; Snapir, B.; Whittaker, P. System Design for Geosynchronous Synthetic Aperture Radar Missions. IEEE Trans. Geosci. Remote Sens. 2014, 52, 7750–7763. [Google Scholar] [CrossRef]
- Kong, L.; Li, X.; Cui, G.; Yi, W.; Yang, Y. Coherent Integration Algorithm for a Maneuvering Target with High-Order Range Migration. IEEE Trans. Signal Process. 2015, 63, 4474–4486. [Google Scholar] [CrossRef]
- Yu, J.; Xu, J.; Peng, Y.-N.; Xia, X.-G. Radon-Fourier Transform for Radar Target Detection (III): Optimality and Fast Implementations. IEEE Trans. Aerosp. Electron. Syst. 2012, 48, 991–1004. [Google Scholar] [CrossRef]
- Fu, M.; Sun, H.; Deng, Z.; Li, Y.; Zhang, Y. A Novel Method for Fast Detection of High-Speed Targets. Signal Process. 2021, 182, 107938. [Google Scholar] [CrossRef]
- Carlson, B.D.; Evans, E.D.; Wilson, S.L. Search Radar Detection and Track with the Hough Transform. I. System Concept. IEEE Trans. Aerosp. Electron. Syst. 1994, 30, 102–108. [Google Scholar] [CrossRef]
- Carlson, B.D.; Evans, E.D.; Wilson, S.L. Search Radar Detection and Track with the Hough Transform. II. Detection Statistics. IEEE Trans. Aerosp. Electron. Syst. 1994, 30, 109–115. [Google Scholar] [CrossRef]
- Carlson, B.D.; Evans, E.D.; Wilson, S.L. Search Radar Detection and Track with the Hough Transform. III. Detection Performance with Binary Integration. IEEE Trans. Aerosp. Electron. Syst. 1994, 30, 116–125. [Google Scholar] [CrossRef]
- Zhang, S.; Zeng, T.; Long, T.; Yuan, H. Dim Target Detection Based on Keystone Transform. In Proceedings of the IEEE International Radar Conference, Arlington, VA, USA, 9–12 May 2005; pp. 889–894. [Google Scholar]
- Perry, R.P.; DiPietro, R.C.; Fante, R.L. Coherent Integration with Range Migration Using Keystone Formatting. In Proceedings of the 2007 IEEE Radar Conference, Waltham, MA, USA, 17–20 April 2007; pp. 863–868. [Google Scholar]
- Huang, P.; Liao, G.; Yang, Z.; Xia, X.-G.; Ma, J.-T.; Ma, J. Long-Time Coherent Integration for Weak Maneuvering Target Detection and High-Order Motion Parameter Estimation Based on Keystone Transform. IEEE Trans. Signal Process. 2016, 64, 4013–4026. [Google Scholar] [CrossRef]
- Sun, Z.; Li, X.; Yi, W.; Cui, G.; Kong, L. Detection of Weak Maneuvering Target Based on KT-MFP. In Proceedings of the 2017 IEEE Radar Conference (RadarConf), Seattle, WA, USA, 8–12 May 2017; pp. 1488–1492. [Google Scholar]
- Li, Y.; Zeng, T.; Long, T.; Wang, Z. Range Migration Compensation and Doppler Ambiguity Resolution by Keystone Transform. In Proceedings of the 2006 CIE International Conference on Radar, Shanghai, China, 16–19 October 2006; pp. 1–4. [Google Scholar]
- Xu, J.; Yu, J.; Peng, Y.-N.; Xia, X.-G. Radon-Fourier Transform for Radar Target Detection, I: Generalized Doppler Filter Bank. IEEE Trans. Aerosp. Electron. Syst. 2011, 47, 1186–1202. [Google Scholar] [CrossRef]
- Xu, J.; Yu, J.; Peng, Y.-N.; Xia, X.-G. Radon-Fourier Transform for Radar Target Detection (II): Blind Speed Sidelobe Suppression. IEEE Trans. Aerosp. Electron. Syst. 2011, 47, 2473–2489. [Google Scholar] [CrossRef]
- Xu, J.; Xia, X.-G.; Peng, S.-B.; Yu, J.; Peng, Y.-N.; Qian, L.-C. Radar Maneuvering Target Motion Estimation Based on Generalized Radon-Fourier Transform. IEEE Trans. Signal Process. 2012, 60, 6190–6201. [Google Scholar] [CrossRef]
- Yu, W.; Lu, X.; Su, W.; Gu, H.; Yang, J. Complex Migration Correction and Coherent Integration Algorithm for Radar Target with Arbitrary Moving Direction. Digit. Signal Process. 2022, 129, 103674. [Google Scholar] [CrossRef]
- Li, X.; Cui, G.; Yi, W.; Kong, L. Radar Maneuvering Target Detection and Motion Parameter Estimation Based on TRT-SGRFT. Signal Process. 2017, 133, 107–116. [Google Scholar] [CrossRef]
- Willis, N.J. Bistatic Radar; Scitech Pub Inc.: Raleigh, NC, USA, 2004; ISBN 978-1891121456. [Google Scholar]
- Khalaf-Allah, M.; Michler, O. Average Linear Least Squares Positioning: Preliminary Results. In Proceedings of the 2020 21st International Radar Symposium (IRS), Warsaw, Poland, 5–8 October 2020; pp. 163–166. [Google Scholar]
- Noroozi, A.; Nayebi, M.M.; Amiri, R. Iterative Constrained Weighted Least Squares Solution for Target Localization in Distributed MIMO Radar. In Proceedings of the 2019 27th Iranian Conference on Electrical Engineering (ICEE), Yazd, Iran, 30 April–2 May 2019; pp. 1710–1714. [Google Scholar]
- Wen, J.-H.; Li, J.-S.; Yang, C.-Y.; Chen, C.-H.; Chen, H.-C. Localization Scheme of Multistatic Radars System Based on the Information of Measured Signal. In Proceedings of the 2014 Ninth International Conference on Broadband and Wireless Computing, Communication and Applications, Guangzhou, China, 8–10 November 2014; pp. 462–466. [Google Scholar]
- Yang, L.; Gao, H.; Ling, Y.; Zhou, S.; Li, B. 3D Joint Estimation of Position and Velocity for a Moving Target in Multistatic Radar System by VHC-2WLS Algorithm. IEEE Commun. Lett. 2020, 24, 1939–1943. [Google Scholar] [CrossRef]
- Fatima, G.; Stoica, P.; Aubry, A.; De Maio, A.; Babu, P. Optimal Placement of the Receivers for Multistatic Target Localization. IEEE Trans. Radar Syst. 2024, 2, 391–403. [Google Scholar] [CrossRef]
- Zou, Y.; Shu, Y.; Zhang, Q.; Wan, X.; Shu, Z. Research on Multi-Target Tracking Technology Based on Particle Filter. In Proceedings of the 2023 IEEE 3rd International Conference on Power, Electronics and Computer Applications (ICPECA), Shenyang, China, 29–31 January 2023; pp. 570–574. [Google Scholar]
- Kumari, B.L.; Divya, V.Y.; Raju, K.P. Performance Analysis of Extended Kalman Filter for Single and Multi Target Tracking. In Proceedings of the 2015 13th International Conference on Electromagnetic Interference and Compatibility (INCEMIC), Visakhapatnam, India, 22–23 July 2015; pp. 202–204. [Google Scholar]
- Shen, J.; Liu, Y.; Wang, S.; Sun, Z. Evaluation of Unscented Kalman Filter and Extended Kalman Filter for Radar Tracking Data Filtering. In Proceedings of the 2014 European Modelling Symposium, Pisa, Italy, 21–23 October 2014; pp. 190–194. [Google Scholar]
- Zhu, Y.; Wang, Z.; Yin, Y.; Chen, W. Feature-Aided Multi-Target Tracking Method in Sea Clutter Using Scanning Radar Data. In Proceedings of the 2021 IEEE 6th International Conference on Signal and Image Processing (ICSIP), Nanjing, China, 22–24 October 2021; pp. 615–619. [Google Scholar]
- Finn, H.M.; Johnson, R.S. Adaptive Detection Mode with Threshold Control as a Function of Spatially Sampled Clutter-Level Estimates. RCA Rev. 1968, 29, 414–463. [Google Scholar]
- Smith, M.E.; Varshney, P.K. Intelligent CFAR Processor Based on Data Variability. IEEE Trans. Aerosp. Electron. Syst. 2000, 36, 837–847. [Google Scholar] [CrossRef]
- van Rossum, W.; Anitori, L. Simultaneous Resolution of Range-Doppler Ambiguities Using Agile Pulse Intervals with Sparse Signal Processing. In Proceedings of the 2020 IEEE Radar Conference (RadarConf20), Florence, Italy, 21–25 September 2020; pp. 1–6. [Google Scholar]
- Yang, X.; Tang, J.; Liu, Y. A Novel Multi-Radar Plot Fusion Scheme Based on Parallel and Serial Plot Fusion Algorithm. In Proceedings of the 2017 2nd International Conference on Frontiers of Sensors Technologies (ICFST), Shenzhen, China, 14–16 April 2017; pp. 213–217. [Google Scholar]
- Welch, G.; Bishop, G. An Introduction to the Kalman Filter; Department of Computer Science, University of North Carolina at Chapel Hill: Chapel Hill, NC, USA, 2006. [Google Scholar]
- Becker (www.kalmanfilter.net), A. Online Kalman Filter Tutorial. Available online: https://www.kalmanfilter.net/ (accessed on 12 May 2024).


















| Platform | Position | Velocity |
|---|---|---|
| GEO | ||
| Airship R1 | ||
| Airship R2 | ||
| Airship R3 | ||
| Airship R4 |
| Target | Position | Velocity |
|---|---|---|
| Target 1 | ||
| Target 2 | ||
| Target 3 |
| Parameters | Value |
|---|---|
| Carrier frequency | 3 GHz |
| Pulse time width | 10 us |
| Pulse bandwidth | 30 MHz |
| Sampling frequency | 30 MHz |
| Coherent pulse number | 512 |
| Array of coprime PRF | [1300, 1400, 1500] Hz |
| RMSE | Target 1 | Target 2 | Target 3 |
|---|---|---|---|
| Position | 11.2539 m | 8.4031 m | 14.4911 m |
| Velocity | 0.0881 m/s | 0.1615 m/s | 0.4633 m/s |
Disclaimer/Publisher’s Note: The statements, opinions and data contained in all publications are solely those of the individual author(s) and contributor(s) and not of MDPI and/or the editor(s). MDPI and/or the editor(s) disclaim responsibility for any injury to people or property resulting from any ideas, methods, instructions or products referred to in the content. |
© 2024 by the authors. Licensee MDPI, Basel, Switzerland. This article is an open access article distributed under the terms and conditions of the Creative Commons Attribution (CC BY) license (https://creativecommons.org/licenses/by/4.0/).
Share and Cite
Dong, J.; Liu, P.; Wang, B.; Jin, Y. Detection of Flight Target via Multistatic Radar Based on Geosynchronous Orbit Satellite Irradiation. Remote Sens. 2024, 16, 4582. https://doi.org/10.3390/rs16234582
Dong J, Liu P, Wang B, Jin Y. Detection of Flight Target via Multistatic Radar Based on Geosynchronous Orbit Satellite Irradiation. Remote Sensing. 2024; 16(23):4582. https://doi.org/10.3390/rs16234582
Chicago/Turabian StyleDong, Jia, Peng Liu, Bingnan Wang, and Yaqiu Jin. 2024. "Detection of Flight Target via Multistatic Radar Based on Geosynchronous Orbit Satellite Irradiation" Remote Sensing 16, no. 23: 4582. https://doi.org/10.3390/rs16234582
APA StyleDong, J., Liu, P., Wang, B., & Jin, Y. (2024). Detection of Flight Target via Multistatic Radar Based on Geosynchronous Orbit Satellite Irradiation. Remote Sensing, 16(23), 4582. https://doi.org/10.3390/rs16234582

