Sign in to use this feature.

Years

Between: -

Subjects

remove_circle_outline
remove_circle_outline
remove_circle_outline
remove_circle_outline
remove_circle_outline
remove_circle_outline
remove_circle_outline

Journals

Article Types

Countries / Regions

Search Results (172)

Search Parameters:
Keywords = RF oscillator

Order results
Result details
Results per page
Select all
Export citation of selected articles as:
27 pages, 8122 KB  
Article
Research on MICP Restoration Technology for Earthen City Walls Damaged by Primary Vegetation Capping in China
by Ruihua Shang, Chenyang Li, Xiaoju Yang, Pengju Han and Weiwei Liu
Microorganisms 2025, 13(12), 2802; https://doi.org/10.3390/microorganisms13122802 - 9 Dec 2025
Viewed by 195
Abstract
As a typical representative of soft capping, primary vegetation capping has both protective and destructive effects on earthen city walls. Addressing its detrimental aspects constitutes the central challenge of this project. Because the integration of MICP technology with plants offered advantages, including soil [...] Read more.
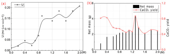
As a typical representative of soft capping, primary vegetation capping has both protective and destructive effects on earthen city walls. Addressing its detrimental aspects constitutes the central challenge of this project. Because the integration of MICP technology with plants offered advantages, including soil solidification, erosion resistance, and resilience to dry–wet cycles and freeze–thaw cycles, the application of MICP technology to root–soil composites was proposed as a potential solution. Employing a combined approach of RF-RFE-CV modeling and microscopic imaging on laboratory samples from the Western City Wall of the Jinyang Ancient City in Taiyuan, Shanxi Province, China, key factors and characteristics in the mineralization process of Sporosarcina pasteurii were quantified and observed systematically to define the optimal pathway for enhancing urease activity and calcite yield. The conclusions were as follows. The urease activity of Sporosarcina pasteurii was primarily regulated by three key parameters with bacterial concentration, pH value, and the intensity of urease activity, which required stage-specific dynamic control throughout the growth cycle. Bacterial concentration consistently emerged as a high-importance feature across multiple time points, with peak effectiveness observed at 24 h (1.127). pH value remained a highly influential parameter across several time points, exhibiting maximum impact at around 8 h (1.566). With the intensity of urease activity, pH exerted a pronounced influence during the early cultivation stage, whereas inoculation volume gained increasing importance after 12 h. To achieve maximum urease activity, the use of CASO AGAR Medium 220 and the following optimized culture conditions was recommended: an activation culture time of 27 h, an inoculation age of 16 h, an inoculation volume of 1%, a culture temperature of 32 °C, an initial pH of 8, and an oscillation speed of 170 r/min. Furthermore, to maximize the yield of CaCO3 in output and the yield of calcite in CaCO3, the following conditions and procedures were recommended: a ratio of urea concentration to Ca2+ concentration of 1 M:1.3 M, using the premix method of Sporosarcina pasteurii, quiescent reaction, undisturbed filtration, and drying at room-temperature in the shade environment. Full article
(This article belongs to the Section Environmental Microbiology)
Show Figures

Figure 1

24 pages, 5862 KB  
Article
Design and Optimization of a RF Mixer for Electromagnetic Sensor Backend
by Xudong Hao, Xiao Wang and Yansheng Li
Eng 2025, 6(11), 286; https://doi.org/10.3390/eng6110286 - 27 Oct 2025
Viewed by 579
Abstract
In radio frequency (RF) systems, the mixer is a critical component for achieving frequency conversion in electromagnetic sensor backends. This paper proposes a mixer design methodology aimed at improving noise figure and conversion gain specifically for sensor signal processing applications. This design employs [...] Read more.
In radio frequency (RF) systems, the mixer is a critical component for achieving frequency conversion in electromagnetic sensor backends. This paper proposes a mixer design methodology aimed at improving noise figure and conversion gain specifically for sensor signal processing applications. This design employs a process incorporating high-quality bipolar junction transistors (BJTs) and adopts a mixer-first architecture instead of a conventional low noise amplifier (LNA). By optimizing the layout and symmetry of the BJTs, the input impedance can be flexibly adjusted, thereby simplifying the receiver front-end while simultaneously improving local oscillator (LO) feedthrough. Design and simulation were completed using Advanced Design System (ADS) 2020 software. Simulation results demonstrate that the proposed mixer exhibits significant advantages in suppressing noise and interference while enhancing conversion gain, making it particularly suitable for electromagnetic sensor backend applications. Full article
Show Figures

Figure 1

29 pages, 22311 KB  
Article
Comprehensive Optoelectronic Study of Copper Nitride: Dielectric Function and Bandgap Energies
by Manuel Ballester, Almudena P. Marquez, Eduardo Blanco, Jose M. Manuel, Maria I. Rodriguez-Tapiador, Susana M. Fernandez, Florian Willomitzer, Aggelos K. Katsaggelos and Emilio Marquez
Nanomaterials 2025, 15(20), 1577; https://doi.org/10.3390/nano15201577 - 16 Oct 2025
Viewed by 506
Abstract
Copper nitride (Cu3N) is gaining attention as an eco-friendly thin-film semiconductor in a myriad of applications, including storage devices, microelectronic components, photodetectors, and photovoltaic cells. This work presents a detailed optoelectronic study of Cu3N thin films grown by reactive [...] Read more.
Copper nitride (Cu3N) is gaining attention as an eco-friendly thin-film semiconductor in a myriad of applications, including storage devices, microelectronic components, photodetectors, and photovoltaic cells. This work presents a detailed optoelectronic study of Cu3N thin films grown by reactive RF-magnetron sputtering under pure N2. An overview of the state-of-the-art literature on this material and its potential applications is also provided. The studied films consist of Cu3N polycrystals with a cubic anti-ReO3 type structure exhibiting a preferential (100) orientation. Their optical properties across the UV-Vis-NIR spectral range were investigated using a combination of multi-angle spectroscopic ellipsometry, broadband transmission, and reflection measurements. Our model employs a stratified geometrical approach, primarily to capture the depth-dependent compositional variations of the Cu3N film while also accounting for surface roughness and the underlying glass substrate. The complex dielectric function of the film material is precisely determined through an advanced dispersion model that combines multiple oscillators. By integrating the Tauc–Lorentz, Gaussian, and Drude models, this approach captures the distinct electronic transitions of this polycrystal. This customized optical model allowed us to accurate extract both the indirect (1.83–1.85 eV) and direct (2.38–2.39 eV) bandgaps. Our multifaceted characterization provides one of the most extensive studies of Cu3N thin films to date, paving the way for optimized device applications and broader utilization of this promising binary semiconductor, and showing its particular potential for photovoltaic given its adequate bandgap energies for solar applications. Full article
Show Figures

Figure 1

29 pages, 2868 KB  
Article
224-CPSK–CSS–WCDMA FPGA-Based Reconfigurable Chaotic Modulation for Multiuser Communications in the 2.45 GHz Band
by Jose-Cruz Nuñez-Perez, Miguel-Angel Estudillo-Valdez, José-Ricardo Cárdenas-Valdez, Gabriela-Elizabeth Martinez-Mendivil and Yuma Sandoval-Ibarra
Electronics 2025, 14(20), 3995; https://doi.org/10.3390/electronics14203995 - 12 Oct 2025
Viewed by 416
Abstract
This article presents an innovative chaotic communication scheme that integrates the multiuser access technique known as Wideband Code Division Multiple Access (W-CDMA) with the chaos-based selective strategy Chaos-Based Selective Symbol (CSS) and the unconventional modulation Chaos Parameter Shift Keying (CPSK). The system is [...] Read more.
This article presents an innovative chaotic communication scheme that integrates the multiuser access technique known as Wideband Code Division Multiple Access (W-CDMA) with the chaos-based selective strategy Chaos-Based Selective Symbol (CSS) and the unconventional modulation Chaos Parameter Shift Keying (CPSK). The system is designed to operate in the 2.45 GHz band and provides a robust and efficient alternative to conventional schemes such as Quadrature Amplitude Modulation (QAM). The proposed CPSK modulation enables the encoding of information for multiple users by regulating the 36 parameters of a Reconfigurable Chaotic Oscillator (RCO), theoretically allowing the simultaneous transmission of up to 224 independent users over the same channel. The CSS technique encodes each user’s information using a unique chaotic segment configuration generated by the RCO; this serves as a reference for binary symbol encoding. W-CDMA further supports the concurrent transmission of data from multiple users through orthogonal sequences, minimizing inter-user interference. The system was digitally implemented on the Artix-7 AC701 FPGA (XC7A200TFBG676-2) to evaluate logic-resource requirements, while RF validation was carried out using a ZedBoard FPGA equipped with an AD9361 transceiver. Experimental results demonstrate optimal performance in the 2.45 GHz band, confirming the effectiveness of the chaos-based W-CDMA approach as a multiuser access technique for high-spectral-density environments and its potential for use in 5G applications. Full article
Show Figures

Figure 1

19 pages, 3475 KB  
Article
Tree-Based Surrogate Model for Predicting Aerodynamic Coefficients of Iced Transmission Conductor Lines
by Guoliang Ye, Zhiguo Li, Anjun Wang, Zhiyi Liu, Ruomei Tang and Guizao Huang
Infrastructures 2025, 10(9), 243; https://doi.org/10.3390/infrastructures10090243 - 15 Sep 2025
Cited by 1 | Viewed by 498
Abstract
Ultra-high-voltage (UHV) transmission lines are prone to galloping and oscillations under ice and wind loads, posing risks to system reliability and safety. Accurate aerodynamic coefficients are essential for evaluating these effects, but conventional wind tunnel and CFD methods are costly and inefficient for [...] Read more.
Ultra-high-voltage (UHV) transmission lines are prone to galloping and oscillations under ice and wind loads, posing risks to system reliability and safety. Accurate aerodynamic coefficients are essential for evaluating these effects, but conventional wind tunnel and CFD methods are costly and inefficient for practical applications. To address these challenges, this study develops a surrogate model for rapid and accurate prediction of aerodynamic coefficients for six-bundle conductors. Initially, a CFD model to calculate the aerodynamic coefficients of six-bundle conductors was proposed and validated against wind tunnel experimental results. Subsequently, Latin hypercube sampling (LHS) was employed to generate datasets covering wind speed, icing shape, icing thickness, and wind attack angle. High-throughput numerical simulations established a comprehensive aerodynamic database used to train and validate multiple tree-based surrogate models, including decision tree (DT), random forest (RF), extremely randomized trees (ERTs), gradient boosted decision tree (GBDT), and extreme gradient boosting (XGBoost). Comparative analysis revealed that the XGBoost-based model achieved the highest prediction accuracy, with an R2 of 0.855 and superior generalization performance. Feature importance analysis further highlighted wind speed and icing shape as the dominant influencing factors. The results confirmed the XGBoost surrogate as the most effective among the tested models, providing a fast and reliable tool for aerodynamic prediction, vibration risk assessment, and structural optimization in UHV transmission systems. Full article
(This article belongs to the Section Infrastructures and Structural Engineering)
Show Figures

Figure 1

21 pages, 6275 KB  
Article
Design of a Low-Cost Flat E-Band Down-Converter with Variable Conversion Gain
by Mehrdad Harifi-Mood, Mansoor Dashti Ardakani, Djilali Hammou, Emilia Moldovan, Bryan Hosein and Serioja O. Tatu
Sensors 2025, 25(17), 5492; https://doi.org/10.3390/s25175492 - 3 Sep 2025
Viewed by 1192
Abstract
This paper presents the design and implementation of a wideband diode-based down-converter operating from 60 to 90 GHz with a variable flat conversion gain. The proposed down-converter is implemented utilizing the Miniature Hybrid-Microwave Integrated Circuit (MHMIC) technology. It is composed of a wideband [...] Read more.
This paper presents the design and implementation of a wideband diode-based down-converter operating from 60 to 90 GHz with a variable flat conversion gain. The proposed down-converter is implemented utilizing the Miniature Hybrid-Microwave Integrated Circuit (MHMIC) technology. It is composed of a wideband double-balanced mixer, a Local Oscillator (LO) chain, and a differential TransImpedance Amplifier (TIA) with a variable gain. The designed mixer uses a novel topology exhibiting minimum reflection and high isolation between the RF and LO ports across a wide operating frequency of 30 GHz. In this topology, two balanced detectors generate the differential IF signal with minimum reflection. The characteristic impedance (Z0) of the mixer is set to be 70.7Ω, to minimize trace widths to reduce the mutual coupling and increasing the bandwidth. The OPA 657 is the core of the designed differential TIA with a variable gain. In addition, the LO chain of the down-converter utilized a combination of an active (×2) and a passive (×3) multiplier to generate enough RF power in the desired frequency range. Also, a WR-12 waveguide to Substrate Integrated Waveguide (SIW) transition is designed for the RF and LO ports that operates through the E-band. The proposed down-converter demonstrates excellent performance, with a high isolation between RF and LO ports exceeding 22 dB and a maximum conversion gain of 5 dB, and a response with a variation of ±5 dB across the band. The proposed mixer exhibits a return loss of better than 10 dB at both RF and LO ports, and it consumes a power of 560 mW. Full article
(This article belongs to the Special Issue Recent Development of Millimeter-Wave Technologies)
Show Figures

Figure 1

28 pages, 885 KB  
Article
Conformal Transformations and Self-Sustaining Processes in Electric Circuits
by Mario J. Pinheiro
Appl. Sci. 2025, 15(17), 9333; https://doi.org/10.3390/app15179333 - 25 Aug 2025
Viewed by 777
Abstract
This work establishes the first derivation of geometry-dependent Kirchhoff’s laws via conformal symmetry, enabling new types of self-sustaining circuits unattainable in classical lumped-element theory. Building on Bessel-Hagen’s extension of Noether’s theorem to Maxwell’s equations, we develop a conformal circuit formalism that fundamentally extends [...] Read more.
This work establishes the first derivation of geometry-dependent Kirchhoff’s laws via conformal symmetry, enabling new types of self-sustaining circuits unattainable in classical lumped-element theory. Building on Bessel-Hagen’s extension of Noether’s theorem to Maxwell’s equations, we develop a conformal circuit formalism that fundamentally extends traditional circuit theory through two key innovations: (1) Geometry-dependent weighting factors (wiai1) in Kirchhoff’s laws derived from scaling symmetry; (2) A dilaton-like field (δ) mediating energy exchange between circuits and conformal backgrounds. Unlike prior symmetry applications in electromagnetism, our approach directly maps the 15-parameter conformal group to component-level circuit transformations, predicting experimentally verifiable phenomena: (i) 10.2% deviations from classical current division in RF splitters; (ii) 4.2% resonant frequency shifts with 2.67× Q-factor enhancement; (iii) Power-law scaling (Jza2) in cylindrical conductors. This theoretical framework proposes how conformal symmetry could enable novel circuit behaviors, including potential self-sustaining oscillations, subject to experimental validation. Full article
(This article belongs to the Section Energy Science and Technology)
Show Figures

Figure 1

17 pages, 2458 KB  
Article
Personal Identification Using 3D Topographic Cubes Extracted from EEG Signals by Means of Automated Feature Representation
by Muhammed Esad Oztemel and Ömer Muhammet Soysal
Signals 2025, 6(3), 43; https://doi.org/10.3390/signals6030043 - 21 Aug 2025
Cited by 1 | Viewed by 906
Abstract
Electroencephalogram (EEG)-based identification offers a promising biometric solution by leveraging the uniqueness of individual brain activity patterns. This study proposes a framework based on a convolutional autoencoder (CAE) along with a traditional classifier for identifying individuals using EEG brainprints. The convolutional autoencoder extracts [...] Read more.
Electroencephalogram (EEG)-based identification offers a promising biometric solution by leveraging the uniqueness of individual brain activity patterns. This study proposes a framework based on a convolutional autoencoder (CAE) along with a traditional classifier for identifying individuals using EEG brainprints. The convolutional autoencoder extracts a compact and discriminative representation from the topographic data cubes that capture both spatial and temporal dynamics of neural oscillations. The latent tensor features extracted by the CAE are subsequently classified by a machine learning module utilizing Support Vector Machine (SVM), Random Forest (RF), k-Nearest Neighbor (KNN), and Artificial Neural Network (ANN) models. EEG data were collected under three conditions—resting state, music stimuli, and cognitive task—to investigate a diverse range of neural responses. Training and testing datasets were extracted from separate sessions to enable a true longitudinal analysis. The performance of the framework was evaluated using the Area Under the Curve (AUC) and accuracy (ACC) metrics. The effect of subject identifiability was also investigated. The proposed framework achieved a performance score up to a maximum AUC of 99.89% and ACC of 96.98%. These results demonstrate the effectiveness of the proposed automated subject-specific patterns in capturing stable EEG brainprints and support the potential of the proposed framework for reliable, session-independent EEG-based biometric identification. Full article
Show Figures

Figure 1

35 pages, 10269 KB  
Article
Effect of Environmental Variability on Lobster Stocks (Panulirus) in Waters off Brazil and Cuba
by Raul Cruz, Antônio G. Ferreira, João V. M. Santana, Marina T. Torres, Juliana C. Gaeta, Jessica L. S. Da Silva, Carlos G. Barreto, Carlos A. Borda, Jade O. Abreu, Rafael D. Viana, Francisco R. de Lima and Israel H. A. Cintra
Diversity 2025, 17(8), 572; https://doi.org/10.3390/d17080572 - 15 Aug 2025
Viewed by 1101
Abstract
We evaluated the impact of environmental variability on lobster Panulirus argus and Panulirus laevicauda resources in the waters off Brazil and southern Cuba. This study also covered aspects of larval recruitment associated with the availability of fishing resources in the Southern and Northern [...] Read more.
We evaluated the impact of environmental variability on lobster Panulirus argus and Panulirus laevicauda resources in the waters off Brazil and southern Cuba. This study also covered aspects of larval recruitment associated with the availability of fishing resources in the Southern and Northern Hemispheres. Satellite-generated environmental data were sampled from 18 stations, 6 of which were in the sea off southern Cuba, 6 of which were in the coastal region of Brazil, and 6 of which were offshore near Brazil, covering important lobster fishing grounds and phyllosoma-rich areas of ocean surface circulation along the offshore boundary. The Southern Oscillation Index (SOI) was used to quantify the global ocean–atmosphere variability. Other environmental parameters included in the analysis were the monthly coastal sea levels, surface temperature (SST), salinity, wind/current speed, chlorophyll-a (Chl-a) concentrations, rainfall (RF), and Amazon River discharge (ARD). Variations in the level of puerulus settlement, juveniles, and population harvest in the coastal region of Brazil and Cuba were used to better understand the impact of environmental variability on organisms in their larval stages and their subsequent recruitment to fisheries. The surface temperature, chlorophyll-a concentration, and wind/current patterns were significantly associated with the variability in puerulus settlement. Larger-scale processes (as proxied by the SOI) affected RF, ARD, and sea levels, which reached a maximum during La Niña. As for Brazil, the full-year landings prediction model included Chl-a concentration, SST, RF, and ARD and their association with lobster landings (LLs). The landing predictions for Cuba were based on fluctuations in the Chl-a concentration and SST. Full article
(This article belongs to the Special Issue Ecology and Biogeography of Marine Benthos—2nd Edition)
Show Figures

Graphical abstract

19 pages, 1107 KB  
Article
A Novel Harmonic Clocking Scheme for Concurrent N-Path Reception in Wireless and GNSS Applications
by Dina Ibrahim, Mohamed Helaoui, Naser El-Sheimy and Fadhel Ghannouchi
Electronics 2025, 14(15), 3091; https://doi.org/10.3390/electronics14153091 - 1 Aug 2025
Viewed by 1017
Abstract
This paper presents a novel harmonic-selective clocking scheme that facilitates concurrent downconversion of spectrally distant radio frequency (RF) signals using a single low-frequency local oscillator (LO) in an N-path receiver architecture. The proposed scheme selectively generates LO harmonics aligned with multiple RF bands, [...] Read more.
This paper presents a novel harmonic-selective clocking scheme that facilitates concurrent downconversion of spectrally distant radio frequency (RF) signals using a single low-frequency local oscillator (LO) in an N-path receiver architecture. The proposed scheme selectively generates LO harmonics aligned with multiple RF bands, enabling simultaneous downconversion without modification of the passive mixer topology. The receiver employs a 4-path passive mixer configuration to enhance harmonic selectivity and provide flexible frequency planning.The architecture is implemented on a printed circuit board (PCB) and validated through comprehensive simulation and experimental measurements under continuous wave and modulated signal conditions. Measured results demonstrate a sensitivity of 55dBm and a conversion gain varying from 2.5dB to 9dB depending on the selected harmonic pair. The receiver’s performance is further corroborated by concurrent (dual band) reception of real-world signals, including a GPS signal centered at 1575 MHz and an LTE signal at 1179 MHz, both downconverted using a single 393 MHz LO. Signal fidelity is assessed via Normalized Mean Square Error (NMSE) and Error Vector Magnitude (EVM), confirming the proposed architecture’s effectiveness in maintaining high-quality signal reception under concurrent multiband operation. The results highlight the potential of harmonic-selective clocking to simplify multiband receiver design for wireless communication and global navigation satellite system (GNSS) applications. Full article
(This article belongs to the Section Microwave and Wireless Communications)
Show Figures

Figure 1

21 pages, 11260 KB  
Article
GaN HEMT Oscillators with Buffers
by Sheng-Lyang Jang, Ching-Yen Huang, Tzu Chin Yang and Chien-Tang Lu
Micromachines 2025, 16(8), 869; https://doi.org/10.3390/mi16080869 - 28 Jul 2025
Viewed by 750
Abstract
With their superior switching speed, GaN high-electron-mobility transistors (HEMTs) enable high power density, reduce energy losses, and increase power efficiency in a wide range of applications, such as power electronics, due to their high breakdown voltage. GaN-HEMT devices are subject to long-term reliability [...] Read more.
With their superior switching speed, GaN high-electron-mobility transistors (HEMTs) enable high power density, reduce energy losses, and increase power efficiency in a wide range of applications, such as power electronics, due to their high breakdown voltage. GaN-HEMT devices are subject to long-term reliability due to the self-heating effect and lattice mismatch between the SiC substrate and the GaN. Depletion-mode GaN HEMTs are utilized for radio frequency applications, and this work investigates three wide-bandgap (WBG) GaN HEMT fixed-frequency oscillators with output buffers. The first GaN-on-SiC HEMT oscillator consists of an HEMT amplifier with an LC feedback network. With the supply voltage of 0.8 V, the single-ended GaN oscillator can generate a signal at 8.85 GHz, and it also supplies output power of 2.4 dBm with a buffer supply of 3.0 V. At 1 MHz frequency offset from the carrier, the phase noise is −124.8 dBc/Hz, and the figure of merit (FOM) of the oscillator is −199.8 dBc/Hz. After the previous study, the hot-carrier stressed RF performance of the GaN oscillator is studied, and the oscillator was subject to a drain supply of 8 V for a stressing step time equal to 30 min and measured at the supply voltage of 0.8 V after the step operation for performance benchmark. Stress study indicates the power oscillator with buffer is a good structure for a reliable structure by operating the oscillator core at low supply and the buffer at high supply. The second balanced oscillator can generate a differential signal. The feedback filter consists of a left-handed transmission-line LC network by cascading three unit cells. At a 1 MHz frequency offset from the carrier of 3.818 GHz, the phase noise is −131.73 dBc/Hz, and the FOM of the 2nd oscillator is −188.4 dBc/Hz. High supply voltage operation shows phase noise degradation. The third GaN cross-coupled VCO uses 8-shaped inductors. The VCO uses a pair of drain inductors to improve the Q-factor of the LC tank, and it uses 8-shaped inductors for magnetic coupling noise suppression. At the VCO-core supply of 1.3 V and high buffer supply, the FOM at 6.397 GHz is −190.09 dBc/Hz. This work enhances the design techniques for reliable GaN HEMT oscillators and knowledge to design high-performance circuits. Full article
(This article belongs to the Special Issue Research Trends of RF Power Devices)
Show Figures

Figure 1

20 pages, 21323 KB  
Article
C Band 360° Triangular Phase Shift Detector for Precise Vertical Landing RF System
by Víctor Araña-Pulido, B. Pablo Dorta-Naranjo, Francisco Cabrera-Almeida and Eugenio Jiménez-Yguácel
Appl. Sci. 2025, 15(15), 8236; https://doi.org/10.3390/app15158236 - 24 Jul 2025
Viewed by 533
Abstract
This paper presents a novel design for precise vertical landing of drones based on the detection of three phase shifts in the range of ±180°. The design has three inputs to which the signal transmitted from an oscillator located at the landing point [...] Read more.
This paper presents a novel design for precise vertical landing of drones based on the detection of three phase shifts in the range of ±180°. The design has three inputs to which the signal transmitted from an oscillator located at the landing point arrives with different delays. The circuit increases the aerial tracking volume relative to that achieved by detectors with theoretical unambiguous detection ranges of ±90°. The phase shift measurement circuit uses an analog phase detector (mixer), detecting a maximum range of ±90°and a double multiplication of the input signals, in phase and phase-shifted, without the need to fulfill the quadrature condition. The calibration procedure, phase detector curve modeling, and calculation of the input signal phase shift are significantly simplified by the use of an automatic gain control on each branch, dwhich keeps input amplitudes to the analog phase detectors constant. A simple program to determine phase shifts and guidance instructions is proposed, which could be integrated into the same flight control platform, thus avoiding the need to add additional processing components. A prototype has been manufactured in C band to explain the details of the procedure design. The circuit uses commercial circuits and microstrip technology, avoiding the crossing of lines by means of switches, which allows the design topology to be extrapolated to much higher frequencies. Calibration and measurements at 5.3 GHz show a dynamic range greater than 50 dB and a non-ambiguous detection range of ±180°. These specifications would allow one to track the drone during the landing maneuver in an inverted cone formed by a surface with an 11 m radius at 10 m high and the landing point, when 4 cm between RF inputs is considered. The errors of the phase shifts used in the landing maneuver are less than ±3°, which translates into 1.7% losses over the detector theoretical range in the worst case. The circuit has a frequency bandwidth of 4.8 GHz to 5.6 GHz, considering a 3 dB variation in the input power when the AGC is limiting the output signal to 0 dBm at the circuit reference point of each branch. In addition, the evolution of phases in the landing maneuver is shown by means of a small simulation program in which the drone trajectory is inside and outside the tracking range of ±180°. Full article
(This article belongs to the Section Applied Physics General)
Show Figures

Figure 1

9 pages, 1793 KB  
Article
Improved DC and RF Characteristics of GaN HEMT Using a Back-Barrier and Locally Doped Barrier Layer
by Shuxiang Sun, Lulu Liu, Gangchuan Qu, Xintong Xie and J. Ajayan
Micromachines 2025, 16(7), 779; https://doi.org/10.3390/mi16070779 - 30 Jun 2025
Cited by 1 | Viewed by 1248
Abstract
To enhance the DC and RF performance of AlGaN/GaN HEMTs, a novel device structure was proposed and investigated through simulation. The key innovation of this new structure lies in the incorporation of an Al0.7In0.15Ga0.15N back-barrier layer and [...] Read more.
To enhance the DC and RF performance of AlGaN/GaN HEMTs, a novel device structure was proposed and investigated through simulation. The key innovation of this new structure lies in the incorporation of an Al0.7In0.15Ga0.15N back-barrier layer and an N-type locally doped AlGaN barrier layer (BD-HEMT), based on conventional device architecture. The Al0.7In0.15Ga0.15N back-barrier layer effectively confines electrons within the channel, thereby increasing the electron concentration. Simultaneously, the N-type locally doped AlGaN barrier layer introduced beneath the gate supplies additional electrons to the channel, further enhancing the electron density. These modifications collectively lead to improved DC and RF characteristics of the device. Compared to the conventional AlGaN/GaN HEMT, BD-HEMT achieves a 24.8% increase in saturation drain current and a 10.4% improvement in maximum transconductance. Furthermore, the maximum cutoff frequency and maximum oscillation frequency are enhanced by 14.8% and 21.2%, respectively. Full article
(This article belongs to the Special Issue Advances in GaN- and SiC-Based Electronics: Design and Applications)
Show Figures

Figure 1

23 pages, 4929 KB  
Article
Low Phase Noise, Dual-Frequency Pierce MEMS Oscillators with Direct Print Additively Manufactured Amplifier Circuits
by Liguan Li, Di Lan, Xu Han, Tinghung Liu, Julio Dewdney, Adnan Zaman, Ugur Guneroglu, Carlos Molina Martinez and Jing Wang
Micromachines 2025, 16(7), 755; https://doi.org/10.3390/mi16070755 - 26 Jun 2025
Cited by 3 | Viewed by 1635
Abstract
This paper presents the first demonstration and comparison of two identical oscillator circuits employing piezoelectric zinc oxide (ZnO) microelectromechanical systems (MEMS) resonators, implemented on conventional printed-circuit-board (PCB) and three-dimensional (3D)-printed acrylonitrile butadiene styrene (ABS) substrates. Both oscillators operate simultaneously at dual frequencies (260 [...] Read more.
This paper presents the first demonstration and comparison of two identical oscillator circuits employing piezoelectric zinc oxide (ZnO) microelectromechanical systems (MEMS) resonators, implemented on conventional printed-circuit-board (PCB) and three-dimensional (3D)-printed acrylonitrile butadiene styrene (ABS) substrates. Both oscillators operate simultaneously at dual frequencies (260 MHz and 437 MHz) without the need for additional circuitry. The MEMS resonators, fabricated on silicon-on-insulator (SOI) wafers, exhibit high-quality factors (Q), ensuring superior phase noise performance. Experimental results indicate that the oscillator packaged using 3D-printed chip-carrier assembly achieves a 2–3 dB improvement in phase noise compared to the PCB-based oscillator, attributed to the ABS substrate’s lower dielectric loss and reduced parasitic effects at radio frequency (RF). Specifically, phase noise values between −84 and −77 dBc/Hz at 1 kHz offset and a noise floor of −163 dBc/Hz at far-from-carrier offset were achieved. Additionally, the 3D-printed ABS-based oscillator delivers notably higher output power (4.575 dBm at 260 MHz and 0.147 dBm at 437 MHz). To facilitate modular characterization, advanced packaging techniques leveraging precise 3D-printed encapsulation with sub-100 μm lateral interconnects were employed. These ensured robust packaging integrity without compromising oscillator performance. Furthermore, a comparison between two transistor technologies—a silicon germanium (SiGe) heterojunction bipolar transistor (HBT) and an enhancement-mode pseudomorphic high-electron-mobility transistor (E-pHEMT)—demonstrated that SiGe HBT transistors provide superior phase noise characteristics at close-to-carrier offset frequencies, with a significant 11 dB improvement observed at 1 kHz offset. These results highlight the promising potential of 3D-printed chip-carrier packaging techniques in high-performance MEMS oscillator applications. Full article
(This article belongs to the Section E:Engineering and Technology)
Show Figures

Figure 1

17 pages, 2350 KB  
Article
Acute Heterogeneous Changes in Muscle and Tendon Viscoelastic Properties Following a VO₂max Treadmill Test in High-Level Male Soccer Players
by Karol Skotniczny, Artur Terbalyan, Michał Krzysztofik, Robert Roczniok, Miłosz Drozd, Łukasz Radzimiński and Jakub Jarosz
Appl. Sci. 2025, 15(13), 6986; https://doi.org/10.3390/app15136986 - 20 Jun 2025
Viewed by 701
Abstract
Background: This study aimed to investigate the acute changes in muscle and tendon viscoelastic properties in response to a progressive treadmill VO2max test among professional male soccer players. Methods: Bilateral assessments at five sites—the Achilles tendon (AT), biceps femoris, semitendinosus, rectus [...] Read more.
Background: This study aimed to investigate the acute changes in muscle and tendon viscoelastic properties in response to a progressive treadmill VO2max test among professional male soccer players. Methods: Bilateral assessments at five sites—the Achilles tendon (AT), biceps femoris, semitendinosus, rectus femoris (RF), and sternocleidomastoid (SCM)—measured tone (oscillation frequency), dynamic stiffness, logarithmic decrement (elasticity), stress relaxation time, and creep. Each site was probed five times and values averaged. Repeated-measures ANOVA (Time × Side) with Bonferroni correction tested pre- to post-exercise changes; Pearson’s r examined associations with VO2max. Results: Significant Time effects (all p < 0.05) were observed for RF frequency (ηp2 = 0.226), RF creep (ηp2 = 0.144), AT stiffness (ηp2 ≈ 0.035), AT frequency (ηp2 = 0.035), and SCM frequency (ηp2 = 0.037). Post-exercise, right AT stiffness fell by 65 ± 14 N/m (p = 0.015), while left AT stiffness rose by 22 ± 9 N/m (p = 0.015). RF stiffness decreased by 28 ± 6 N/m (p < 0.001) and tone by 1.2 ± 0.3 Hz (p < 0.001), with creep (+0.08 ± 0.02; p < 0.001) and relaxation time (+1.5 ± 0.7 ms; p < 0.001) increasing. SCM tone declined by 0.8 ± 0.4 Hz (p = 0.010). Baseline RF properties—frequency (r = −0.597), stiffness (r = −0.59), relaxation time (r = 0.53), and creep (r = 0.48)—correlated moderately with VO2max (all p < 0.05). Conclusions: These findings suggest that viscoelastic adaptations to exhaustive aerobic exercise are tissue- and side-specific, and that rectus femoris viscoelastic properties may serve as potential indicators of endurance readiness. Full article
(This article belongs to the Special Issue Advances in Sport Physiology, Nutrition, and Metabolism)
Show Figures

Figure 1

Back to TopTop