Sign in to use this feature.

Years

Between: -

Subjects

remove_circle_outline
remove_circle_outline
remove_circle_outline
remove_circle_outline
remove_circle_outline
remove_circle_outline
remove_circle_outline
remove_circle_outline
remove_circle_outline

Journals

remove_circle_outline
remove_circle_outline
remove_circle_outline
remove_circle_outline

Article Types

Countries / Regions

remove_circle_outline
remove_circle_outline
remove_circle_outline
remove_circle_outline
remove_circle_outline

Search Results (1,343)

Search Parameters:
Keywords = Quantitative trait loci

Order results
Result details
Results per page
Select all
Export citation of selected articles as:
14 pages, 3672 KB  
Article
Genetic Dissection of Carotenoid Variation by Integrating Quantitative Trait Loci Mapping and Candidate Region Association Study in Sweet Corn
by Yingjie Zhao, Jingtao Qu, Wei Gu, Diansi Yu, Hui Wang, Zhonglin Zhang, Felix San Vicente Garcia, Mengxia Yang, Xiaoyu Sun, Hongjian Zheng and Yuan Guan
Plants 2026, 15(1), 50; https://doi.org/10.3390/plants15010050 (registering DOI) - 23 Dec 2025
Abstract
Sweet corn is widely cultivated and valued for its palatability and nutritional quality, with kernels accumulating substantial carotenoids, which serve as essential antioxidants and vitamin A precursors. This study elucidated the genetic basis of carotenoid variation in sweet corn kernels by integrating quantitative [...] Read more.
Sweet corn is widely cultivated and valued for its palatability and nutritional quality, with kernels accumulating substantial carotenoids, which serve as essential antioxidants and vitamin A precursors. This study elucidated the genetic basis of carotenoid variation in sweet corn kernels by integrating quantitative trait loci (QTL) mapping with a candidate region association study. Seven carotenoid-related traits were quantified in a recombinant inbred line (RIL) population and its parental lines. QTL mapping based on a high-density genotyping-by-target sequencing (GBTS) map and BLUE values across two environments identified 15 loci on chromosomes 5, 6, 7, 8, and 9, explaining 3.83–17.25% of the phenotypic variance. Notably, chromosome 6 harbored a cluster of major-effect QTLs regulating β-cryptoxanthin, zeaxanthin, lutein, total carotenoids, and provitamin A contents. A regional association study within these linkage-defined intervals detected 71 significant SNPs (Bonferroni p < 1/n) and identified Zm00001d036238, encoding a GDSL esterase/lipase, as a strong candidate gene associated with β-cryptoxanthin accumulation. This gene exhibited kernel-specific expression in the endosperm and harbored a downstream cis-variant (Chr6: 78,466,427) correlated with increased carotenoid content. Allelic effect analysis indicated that the A/A genotype conferred markedly higher β-cryptoxanthin levels than other genotypes. Collectively, these findings provide valuable genetic resources for marker-assisted selection and biofortification breeding to enhance the nutritional quality of sweet corn. Full article
14 pages, 939 KB  
Review
Advancements in Molecular Breeding Techniques for Soybeans
by Ivan Fetisov, Olga Eizikovich, Dominique Charles Diouf, Elena Romanova and Parfait Kezimana
Plants 2026, 15(1), 5; https://doi.org/10.3390/plants15010005 - 19 Dec 2025
Viewed by 140
Abstract
Recent advances in molecular breeding techniques have greatly accelerated the development of improved soybean varieties with enhanced agronomic and nutritional traits. This review summarizes current research on innovative molecular approaches, including marker-assisted selection (MAS), genomic selection (GS), CRISPR/Cas9-mediated gene editing, and RNA interference [...] Read more.
Recent advances in molecular breeding techniques have greatly accelerated the development of improved soybean varieties with enhanced agronomic and nutritional traits. This review summarizes current research on innovative molecular approaches, including marker-assisted selection (MAS), genomic selection (GS), CRISPR/Cas9-mediated gene editing, and RNA interference (RNAi) for soybean improvement. Marker-assisted selection using simple sequence repeats (SSRs) and single-nucleotide polymorphisms (SNPs) has facilitated the efficient identification and incorporation of desired traits such as disease resistance, abiotic stress tolerance, and improved seed quality. Genomic selection has improved prediction accuracy for complex quantitative traits such as yield by integrating genome-wide molecular markers with phenotypic data. CRISPR/Cas9 technology has enabled precise genetic modification, resulting in soybeans with improved oil composition, increased isoflavone content and resistance to biotic stresses. RNA interference has successfully modulated gene expression to optimize nutritional properties and stress responses. These molecular breeding approaches overcome the limitations of traditional methods by shortening the breeding cycle and allowing for simultaneous improvement of multiple traits. The integration of these complementary techniques offers promising avenues for developing climate-resilient, high-yielding soybean varieties with improved nutritional profiles to address global food security challenges. Full article
Show Figures

Figure 1

20 pages, 1186 KB  
Review
Research Progress on Genetic Factors of Poultry Egg Quality: A Review
by Liu Yang, Yang Yang, Yadi Jing, Meixia Zhang, Min Zhang, Shuer Zhang, Chao Qi, Weiqing Ma, Muhammad Zahoor Khan and Mingxia Zhu
Animals 2025, 15(24), 3652; https://doi.org/10.3390/ani15243652 - 18 Dec 2025
Viewed by 86
Abstract
Egg quality is a critical economic trait in poultry production, influencing consumer preference and production efficiency. The genetic and epigenetic regulation of egg quality involves complex biological pathways across various traits such as shell quality, albumen composition, and yolk biochemistry. This review synthesizes [...] Read more.
Egg quality is a critical economic trait in poultry production, influencing consumer preference and production efficiency. The genetic and epigenetic regulation of egg quality involves complex biological pathways across various traits such as shell quality, albumen composition, and yolk biochemistry. This review synthesizes recent advances in the genetic, molecular, and epigenetic mechanisms that determine poultry egg quality. Specifically, it focuses on external traits such as eggshell strength, color, and thickness, and internal traits including albumen height, yolk composition, and the Haugh unit. Through genome-wide association studies (GWAS), quantitative trait loci (QTL) mapping, whole-genome sequencing (WGS), and multi-omics approaches, key candidate genes such as OC-116, CALB1, CA2 (shell formation), OVAL, SPINK5, SERPINB14 (albumen quality), and FGF9, PIAS1, NOX5 (lipid metabolism) have been identified. These genes play a pivotal role in shell biomineralization, albumen protein regulation, and yolk lipid transport. This review also explores the heritability of these traits, emphasizing the challenges posed by polygenic architecture and the influence of environmental factors. Furthermore, it addresses the dynamic spatiotemporal regulation of egg quality traits, including epigenetic layers such as DNA methylation, histone modifications, RNA methylation, and post-translational protein modifications. This paper highlights the application of these findings to breeding programs via genomic selection, marker-assisted breeding, and epigenetic engineering approaches. Future directions for precision breeding and the development of functional eggs with enhanced quality are also discussed. Full article
(This article belongs to the Section Poultry)
Show Figures

Figure 1

18 pages, 2910 KB  
Article
Identification of Major QTLs and Candidate Genes Determining Stem Strength in Soybean
by Xinyue Wang, Liu Liu, Yuting Cheng, Xiaoyang Ding, Jiaxin Yu, Peiyuan Li, Hesong Gu, Wenbo Xu, Wenwen Jiang, Chunming Xu and Na Zhao
Agronomy 2025, 15(12), 2905; https://doi.org/10.3390/agronomy15122905 - 17 Dec 2025
Viewed by 80
Abstract
Stem strength is a key factor influencing lodging resistance in soybeans and other crops. To identify quantitative trait loci (QTLs) associated with stem strength in soybean, we assessed the peak forces required to break a 20 cm stem base segment for each individual [...] Read more.
Stem strength is a key factor influencing lodging resistance in soybeans and other crops. To identify quantitative trait loci (QTLs) associated with stem strength in soybean, we assessed the peak forces required to break a 20 cm stem base segment for each individual within a collection of 2138 plants from eight F2 and F3 segregating populations in 2023 and 2024. These populations were derived from four crosses between soybean varieties with contrasting stem strength. Most populations exhibited an approximately normal distribution of stem strength. Using BSA-seq, we identified 17 QTLs associated with stem strength from four populations. Among these, one QTL overlapped with a previously reported locus, while the remaining 16 represented novel loci. Notably, nine loci overlapped with known lodging QTLs, suggesting a genetic relationship between stem strength and lodging. Three QTLs were repeatedly detected in multiple populations, indicating their stability. Further linkage mapping with molecular markers confirmed these three stable QTLs. Among them, qSS10 and qSS19-2 were identified as major QTLs, refined to 1.06 Mb and 1.54 Mb intervals, with phenotypic variation explained (PVE) 23.31–25.15% and 14.21–19.93%, respectively. Within these stable QTL regions, we identified 13 candidate genes and analyzed their sequence variation and expression profiles. Collectively, our findings provide a valuable foundation for future research on stem strength in soybeans and reveal novel genetic loci and candidate genes that may be utilized for the genetic improvement of soybean lodging resistance and yield stability. Full article
Show Figures

Figure 1

25 pages, 3702 KB  
Article
Seed the Difference: QTL Mapping Reveals Several Major Loci for Seed Size in Cannabis sativa L.
by Stephen Eunice Manansala-Siazon, Paolo Miguel Siazon, Erwin Tandayu, Lennard Garcia-de Heer, Adam Burn, Qi Guo, Jos C. Mieog and Tobias Kretzschmar
Plants 2025, 14(24), 3853; https://doi.org/10.3390/plants14243853 - 17 Dec 2025
Viewed by 243
Abstract
Cannabis sativa L. has been cultivated for millennia as a source of food and fibre. Increasing demand for functional foods has renewed interest in C. sativa seeds (hempseeds), which are rich in essential fatty acids and amino acids. However, a near-global moratorium on [...] Read more.
Cannabis sativa L. has been cultivated for millennia as a source of food and fibre. Increasing demand for functional foods has renewed interest in C. sativa seeds (hempseeds), which are rich in essential fatty acids and amino acids. However, a near-global moratorium on C. sativa cultivation and research throughout most of the 20th century has delayed crop improvement using modern breeding approaches. As a result, genetic loci contributing to key agronomic traits, including with respect to maximizing yield as a seed crop, remain largely unknown. In this study, a feminized segregating F2 mapping population, derived from a tall parent with spacious inflorescences and large seeds and a short-stature parent with compact inflorescences and small seeds, was phenotyped for key seed and agronomic traits related to yield. A mid-density Single Nucleotide Polymorphism (SNP) genotyping panel was used to generate a genetic linkage map of 291.5 cM with 455 SNPs. Quantitative Trait Locus (QTL) mapping identified major loci for hundred-seed weight—qHSW3, 26.59 percent variance explained (PVE), seed volume—qSV1, 33.24 PVE, and plant height—qPH9, 46.99 PVE. Our results provide novel target regions, associated molecular markers, and candidate genes for future breeding efforts to improve C. sativa. Full article
Show Figures

Figure 1

18 pages, 1205 KB  
Article
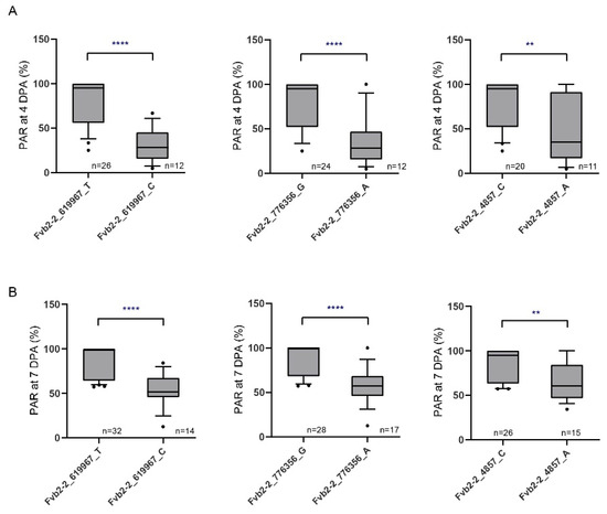
Genetic Dissection of Petal Abscission Rate in Strawberry Unveils QTLs and Hormonal Pathways for Gray Mold Avoidance
by Guilin Xiao, Xiangguo Zeng, Dongmei Zhang and Yongchao Han
Horticulturae 2025, 11(12), 1525; https://doi.org/10.3390/horticulturae11121525 - 16 Dec 2025
Viewed by 152
Abstract
Gray mold, caused by Botrytis cinerea, is a devastating disease of strawberry, with petal abscission rate (PAR) being a critical disease-avoidance trait. Rapid petal abscission removes a key infection site for the pathogen, thereby reducing disease incidence. To dissect the genetic basis [...] Read more.
Gray mold, caused by Botrytis cinerea, is a devastating disease of strawberry, with petal abscission rate (PAR) being a critical disease-avoidance trait. Rapid petal abscission removes a key infection site for the pathogen, thereby reducing disease incidence. To dissect the genetic basis of PAR, a segregating F1 population was constructed from a cross between ‘Benihoppe’ (rapid abscission) and ‘Sweet Charlie’ (slow abscission). Utilizing BSR-Seq analysis of extreme bulks, five high-confidence quantitative trait loci (QTLs) were identified on chromosomes Fvb2-2, Fvb4-4, and Fvb6-3. These QTLs encompassed 672 candidate genes, with enrichment in “Plant hormone signal transduction” pathway. Integrated analysis of gene expression and SNPs identified 16 candidate genes, including those involved in flowering time (e.g., ELF3, HUA2 and AGL62) and plant hormone (e.g., ANT, RTE (ethylene), NDL2, FPF1 (auxin), and CYP707A7, ABF2 (abscisic acid) signaling, as well as calcium transport (ACA1, ECA3). Fourteen Kompetitive Allele-Specific PCR (KASP) markers were developed from candidate genes, with four markers showing significant correlations with PAR. This study provides the first genetic mapping of PAR in strawberry, revealing candidate genes and molecular markers that will facilitate the breeding of cultivars with improved gray mold resistance through enhanced petal abscission. Full article
(This article belongs to the Section Genetics, Genomics, Breeding, and Biotechnology (G2B2))
Show Figures

Figure 1

13 pages, 826 KB  
Article
Gene-Level Analyses of Novel Olfactory-Related Signal from Severe SARS-CoV-2 GWAS Reveal Association with Disease Mortality
by Yu Chen Zhao, Xinan Wang, Yujia Lu, Rounak Dey, Yuchen Liu, Francesca Giacona, Elizabeth A. Abe, Emma White, Li Su, Qingyi Wei, Xihong Lin, Lorelei A. Mucci, Jehan Alladina and David C. Christiani
COVID 2025, 5(12), 206; https://doi.org/10.3390/covid5120206 - 14 Dec 2025
Viewed by 179
Abstract
Importance: The coronavirus disease 2019 (COVID-19) was the third leading cause of mortality in the United States for three years in a row. The genetic contributions to disease severity remain unclear and many previously identified single nucleotide polymorphisms (SNPs) have not been replicated [...] Read more.
Importance: The coronavirus disease 2019 (COVID-19) was the third leading cause of mortality in the United States for three years in a row. The genetic contributions to disease severity remain unclear and many previously identified single nucleotide polymorphisms (SNPs) have not been replicated nor linked with functional significance. Objective: To identify SNPs associated with mortality among hospitalized COVID-19 patients supplemented by expression quantitative trait loci (eQTL) evidence to infer plausible functional mechanisms related to COVID-19 severity. Design: A quality-controlled genome-wide association study (GWAS) supported by robust gene-level omnibus kernel association tests (SKAT-O), functional prediction, and eQTL analyses of the top GWAS signal. Setting: Massachusetts General Hospital (MGH). Participants: 370 adult ICU patients with SARS-CoV-2 infection and acute hypoxemic respiratory failure and floor patients with mild hypoxemia managed with supplemental oxygen consecutively admitted to MGH between March and June 2020 (Surge 1), and January and March 2021 (Surge 2) with baseline clinical characteristics and demographics collected. Exposures: Low-pass genotyped SNPs from whole blood and aggregated SNP-sets of potential disease susceptibility loci with ±500 kb flanking regions. Main Outcomes & Measures: Genome-wide individual SNP associations and SNP-set associations with mortality outcomes from 370 severe COVID-19 cases. Results: After LD pruning (<0.8) and false discovery rate adjustment (<0.05), we identified rs7420371 G>A of the receptor transporter protein 5 (RTP5) gene as the top independent signal significantly associated with 30- and 60-day mortality among severe COVID-19 patients (OR, 2.32; 95% CI, 1.59–3.39; p = 4.92 × 10−9 and OR, 2.06; 95% CI, 1.43–2.97; p = 5.43 × 10−8, respectively). SKAT-O analyses on the RTP5 SNP-set showed associations with both mortality outcomes (p = 5.90 × 10−5 and 6.17 × 10−5, respectively). eQTL analysis showed rs7420371 A allele significantly upregulated the mRNA expression of RTP5 in 266 cerebellum tissues, in 277 cerebellar hemisphere tissues, and in 270 cerebral cortex samples. Conclusions & Relevance: We discovered a novel, independent, and potentially functional SNP RTP5 rs7420371 G>A to be significantly associated with COVID-19 mortality. The A allele is significantly associated with elevated mRNA expression of RTP5 in the brain, an important protein coding gene that modulates olfactory binding and taste perceptions in response to SARS-CoV-2 infection. Full article
(This article belongs to the Section Long COVID and Post-Acute Sequelae)
Show Figures

Figure 1

16 pages, 1648 KB  
Article
QTL Mapping with Single-Segment Substitution Lines Reveals Genetic Links Between Nitrogen Efficiency and Root Traits in Maize
by Dongya Li, Yuanyuan Liang and Yi Wang
Agronomy 2025, 15(12), 2869; https://doi.org/10.3390/agronomy15122869 - 14 Dec 2025
Viewed by 123
Abstract
Maize requires substantial nitrogen input, and nitrogen deficiency significantly impairs root development, reducing yield. Therefore, improving maize root system architecture under low-nitrogen (LN) conditions is critical for improving nitrogen use efficiency (NUE). However, the genetic relationship between nitrogen efficiency and root traits is [...] Read more.
Maize requires substantial nitrogen input, and nitrogen deficiency significantly impairs root development, reducing yield. Therefore, improving maize root system architecture under low-nitrogen (LN) conditions is critical for improving nitrogen use efficiency (NUE). However, the genetic relationship between nitrogen efficiency and root traits is unclear in maize. Here, we conducted a hydroponic experiment during the seedling stage using maize single-segment substitution lines (SSSLs) derived from a cross between the N-efficient inbred line Xu178 and the N-inefficient inbred line Zong3. Quantitative trait loci (QTL) mapping was performed for root architecture traits under both high-nitrogen (HN) and LN conditions. We identified a total of 160 QTLs, with 101 and 59 detected under HN and LN conditions, respectively. These included 19 for root total length (RTL), 43 for root surface area (RSA), 24 for root average diameter (RAD), 60 for root volume (RV), and 14 for root tip number (RTN), distributed across all ten chromosomes, with the highest number on chromosome 1. Additive effects of individual QTLs ranged from −33.14% to 331.16%. Notably, we discovered a major HN-specific QTL cluster on segments end–umc1929 (Bin 7.00) and bnlg1655 (Bin 10.03), and a key LN-specific cluster on segment umc1883–bnlg249 (Bin 6.00). These findings not only highlight distinct genetic bases for nitrogen adaptation at the seedling stage but also provide valuable molecular markers and candidate genomic regions for the marker-assisted breeding of nitrogen-efficient maize varieties. Full article
(This article belongs to the Section Crop Breeding and Genetics)
Show Figures

Figure 1

48 pages, 6600 KB  
Review
Genetic and Epigenetic Mechanisms Underpinning Biotic Stress Resilience of Brassica Vegetables
by Mst. Arjina Akter, Mei Iwamura, Shrawan Singh, Md Asad-Ud Doullah, Ryo Fujimoto, Henrik U. Stotz and Hasan Mehraj
Plants 2025, 14(24), 3765; https://doi.org/10.3390/plants14243765 - 10 Dec 2025
Viewed by 533
Abstract
Breeding for disease-resistant varieties is a sustainable solution to reduce substantial production losses caused by pathogenic infestations in Brassica vegetables, bypassing environmentally risky disease management practices. Host-resistant genetic mechanisms aid breeders to identify resistance loci and linked markers for the clubroot, Fusarium yellows, [...] Read more.
Breeding for disease-resistant varieties is a sustainable solution to reduce substantial production losses caused by pathogenic infestations in Brassica vegetables, bypassing environmentally risky disease management practices. Host-resistant genetic mechanisms aid breeders to identify resistance loci and linked markers for the clubroot, Fusarium yellows, downy mildew, black rot, stem rot, soft rot, white rust, and turnip mosaic virus diseases in Brassica vegetables. Introgression of the resistance (R) genes by marker-assisted selection (MAS) breeding strategies allow the development of disease-resilient varieties. Brassica rapa clubroot-resistant genes (CRa, CRc, CRd, CRk, and Crr5) have been introgressed into Chinese cabbage, while CR genes (CRa, CRb, CRc, Crr1, Crr2, and Crr3) from B. rapa were also introgressed into B. oleracea. Beyond MAS, R genes can be precisely engineered by CRISPR-based technologies into precise and durable resistant varieties. The involvement of DNA methylation and histone modifications epigenetically regulate resistance mechanisms, often via ethylene/salicylic acid/jasmonic acid signaling pathways. DNA methylation mediates systemic acquired resistance by the differential expression of genes such as JAZ1, PR3, and NDR1. Future progress will depend on identifying epiQTLs and epi-markers linked to R genes. Epigenetic insights with genetic knowledge will facilitate breeding of biotic stress-resilient Brassica vegetables. This review synthesizes current molecular understanding of biotic stressors and provides future directions for disease resistance breeding of Brassica vegetable plants. Full article
Show Figures

Figure 1

11 pages, 1243 KB  
Article
An ETS2 Enhancer Variant May Modulate Gene Expression and Contribute to Defining a Genetic Risk Profile for SLE Susceptibility
by Andrea Latini, Giada De Benedittis, Chiara Morgante, Carlo Perricone, Fulvia Ceccarelli, Fabrizio Conti, Giuseppe Novelli, Cinzia Ciccacci and Paola Borgiani
Genes 2025, 16(12), 1462; https://doi.org/10.3390/genes16121462 - 8 Dec 2025
Viewed by 212
Abstract
Background/Objectives: Systemic lupus erythematosus (SLE) is a multifactorial autoimmune disease strongly influenced by genetic factors. Genome-wide association studies (GWASs) have identified numerous non-coding susceptibility loci, but their functional roles remain poorly understood. The single-nucleotide variant (SNV) rs2836882, located in an enhancer near [...] Read more.
Background/Objectives: Systemic lupus erythematosus (SLE) is a multifactorial autoimmune disease strongly influenced by genetic factors. Genome-wide association studies (GWASs) have identified numerous non-coding susceptibility loci, but their functional roles remain poorly understood. The single-nucleotide variant (SNV) rs2836882, located in an enhancer near the ETS2 proto-oncogene, has been implicated in immune regulation, though its contribution to SLE is unclear. Methods: We analyzed rs2836882 in 246 Italian patients with SLE and 216 matched controls using TaqMan genotyping. A weighted genetic risk score (wGRS) combining rs2836882 with other known SLE variants was calculated. ETS2 mRNA expression was quantified by RT-qPCR in PBMCs from 60 individuals, and in silico analyses assessed the variant’s functional context. Results: The rs2836882 risk allele was significantly associated with SLE (OR = 1.54, p = 0.02). Patients showed a markedly higher wGRS than controls (p < 0.00001), confirming an additive genetic burden. In silico data indicated that rs2836882 lies within an active enhancer region (H3K4me1/H3K27ac+) containing PU.1 binding motifs and functions as an expression quantitative trait locus (eQTL) for ETS2. Expression analysis demonstrated that carriers of the risk allele exhibited significantly increased ETS2 expression compared to non-carriers (p = 0.002) in both groups. Conclusions: In conclusion, rs2836882 is a functional regulatory variant that enhances ETS2 transcription and contributes to increased SLE susceptibility. These findings establish a mechanistic link between a non-coding GWAS locus and disease risk, emphasizing the role of regulatory variants in autoimmune pathogenesis and supporting the integration of functional non-coding variants into genetic risk models for improved patient stratification. Full article
(This article belongs to the Special Issue Genetic and Epigenetic Insights in Autoimmune Diseases)
Show Figures

Figure 1

15 pages, 4015 KB  
Article
Growth-Rate Related Quantitative Trait Locus Analysis of Monokaryotic Isolates of Grifola albicans f. huishuhua (Maitake)
by Panpan Zhang, Junling Wang, Guojie Li, Shangshang Xiao, Lei Sun, Xiao Li, Jinghua Tian, Ming Li and Shoumian Li
J. Fungi 2025, 11(12), 865; https://doi.org/10.3390/jof11120865 - 5 Dec 2025
Viewed by 365
Abstract
A genetic linkage map of Grifola albicans f. huishuhua (Maitake) is an important resource for chromosome analysis and the genetic basis of phenotypic variation determination. A total of 92 monokaryotic isolates were selected from the F1 generation of Q3-8 × Y1-18 in this [...] Read more.
A genetic linkage map of Grifola albicans f. huishuhua (Maitake) is an important resource for chromosome analysis and the genetic basis of phenotypic variation determination. A total of 92 monokaryotic isolates were selected from the F1 generation of Q3-8 × Y1-18 in this study. Restriction site-associated DNA sequencing, as well as identification of single nucleotide polymorphisms (SNPs), was performed, aiming to illustrate a high-density genetic linkage map. A total of 1122 high-quality SNP markers were located on a map with a length of 1473.60 centimorgan (cM) by screening 589534 SNPs. This map covers 12 linkage groups (LGs) with an average genetic distance of 122.80 cM. Three quantitative trait loci (QTLs) related to the growth rate of G. albicans f. huishuhua strains were identified using the composite interval mapping method. These QTLs were mapped to linkage groups (LGs) as follows: LG3 (qmgv), LG4 (qmb), LG5 (qmd), LG8 (qrdm1, qrdm2), and LG10 (qmgrc1, qmgrc2, qmgrc3). The genes associated with mycelial growth rate and biomass production of these strains were identified. This information could be used for molecular marker-assisted selective breeding in G. albicans f. huishuhua. Full article
Show Figures

Figure 1

26 pages, 7833 KB  
Article
An Integrated Meta-QTL and Transcriptome Analysis Provides Candidate Genes Associated with Drought Tolerance in Rice Seedlings
by Yinji Jin, Weize Dou, Tianhao Wang, Zhuo Jin and Songquan Wu
Plants 2025, 14(23), 3645; https://doi.org/10.3390/plants14233645 - 29 Nov 2025
Viewed by 489
Abstract
Drought stress, intensified by climate change, poses a significant threat to global rice security. To identify stable quantitative trait loci (QTL) associated with drought tolerance in rice under different genetic backgrounds and environmental conditions, this study combined 901 drought-tolerant QTLs reported in 52 [...] Read more.
Drought stress, intensified by climate change, poses a significant threat to global rice security. To identify stable quantitative trait loci (QTL) associated with drought tolerance in rice under different genetic backgrounds and environmental conditions, this study combined 901 drought-tolerant QTLs reported in 52 independent studies published between 2000 and 2023, which were subsequently meta-analyzed and condensed into 77 meta-QTLs (MQTLs). Among them, 23 MQTLs were validated in seven independent genome-wide association studies (GWAS) on drought tolerance in rice, each conducted using different natural populations. The confidence intervals (CIs) of the MQTLs were substantially narrowed, with the reduction factor ranging from 2.44 to 20.40 relative to the original QTLs. To further explore key genes for drought tolerance, we screened for genes located within the MQTL regions and differentially expressed in our RNA-seq data, yielding 3851 drought-responsive differentially expressed genes (DEGs). These DEGs were then subjected to a refinement process that included Mfuzz clustering, cis-regulatory element (CRE) analysis, protein–protein interaction (PPI) network analysis and AlphaFold-based structural modeling of their encoded proteins. This stepwise filtering identified eleven drought-responsive hub proteins, nine with annotated functions and two functionally uncharacterized. Following further prioritization, LOC_Os04g35340 and Os07g0141400 were established as core candidate genes (CGs) for dissecting the genetic and biochemical basis of drought tolerance in rice. Full article
(This article belongs to the Special Issue Mechanism of Drought and Salinity Tolerance in Crops)
Show Figures

Figure 1

22 pages, 2483 KB  
Article
GWAS Combined with RNA-Seq for Candidate Gene Identification of Soybean Cyst Nematode Disease and Functional Characterization of GmRF2-like Gene
by Shuo Qu, Miaoli Zhang, Shihao Hu, Gengchen Song, Haiyan Li, Weili Teng, Yongguang Li, Xue Zhao and Yingpeng Han
Agronomy 2025, 15(12), 2752; https://doi.org/10.3390/agronomy15122752 - 28 Nov 2025
Viewed by 268
Abstract
Soybean (Glycine max) is a globally important grain and oil crop, but its yield and quality are severely limited by soybean cyst nematode (SCN, Heterodera glycines Ichinohe), a devastating soil-borne pathogen. Here, we evaluated SCN race 3 resistance in 306 soybean [...] Read more.
Soybean (Glycine max) is a globally important grain and oil crop, but its yield and quality are severely limited by soybean cyst nematode (SCN, Heterodera glycines Ichinohe), a devastating soil-borne pathogen. Here, we evaluated SCN race 3 resistance in 306 soybean germplasms and combined a genome-wide association study (GWAS) with transcriptome analysis to identify key resistance-related genes. GWAS using 30× resequencing data (632,540 SNPs) revealed 77 significant quantitative trait loci (QTLs) associated with SCN resistance, while transcriptome comparison between the extreme resistant accession Dongnong L10 and susceptible Heinong 37 identified 4185 upregulated and 3195 downregulated genes. Integrating these results, we characterized the GmRF2-like gene as a candidate resistance gene. Subcellular localization showed GmRF2-like encodes a nuclear-localized protein. Functional validation via soybean hairy root transformation demonstrated that overexpression of GmRF2-like significantly inhibits SCN race 3 infection. Collectively, our findings confirm that GmRF2-like plays a positive role in soybean resistance to SCN race 3, providing critical insights for dissecting the molecular mechanism of SCN resistance and facilitating the development of resistant soybean varieties. Full article
Show Figures

Figure 1

15 pages, 3180 KB  
Article
Comparative Transcriptomic and Metabolomic Profiling of Ovaries from Two Pig Breeds with Contrasting Reproductive Phenotype
by Sui Liufu, Jun Ouyang, Yi Jiang, Lanlin Xiao, Bohe Chen, Kaiming Wang, Wenwu Chen, Xin Xu, Caihong Liu and Haiming Ma
Agriculture 2025, 15(23), 2471; https://doi.org/10.3390/agriculture15232471 - 28 Nov 2025
Viewed by 248
Abstract
Although numerous quantitative trait loci (QTLs) and candidate genes have been implicated in litter size in certain pig breeds, the genetic basis underlying the pronounced differences in reproductive capacity among breeds remains incompletely understood. To elucidate the underlying mechanisms responsible for the heterogeneity [...] Read more.
Although numerous quantitative trait loci (QTLs) and candidate genes have been implicated in litter size in certain pig breeds, the genetic basis underlying the pronounced differences in reproductive capacity among breeds remains incompletely understood. To elucidate the underlying mechanisms responsible for the heterogeneity in reproductive capacity, we performed integrated transcriptomic and metabolomic analyses on ovarian tissues from two pig breeds with contrasting litter sizes: Diannan Small-ear (DSE) pigs and Yorkshire (YK) pigs. YK pigs exhibited significantly higher total born piglets. Transcriptome analysis revealed that upregulated DEGs in YK ovaries were enriched in ovarian steroidogenesis, retinol metabolism, vitamin digestion/absorption, and folate biosynthesis. In contrast, DSE pigs showed enrichment in inflammatory and immune-related pathways. Furthermore, integrative transcriptomic and metabolomic analysis revealed that upregulated DEGs in YK pigs, such as STAR and COL3A1, and concurrently elevated metabolites (e.g., L-threonine, L-asparagine, L-proline, L-methionine, arachidonic acid, and progesterone) were jointly enriched in three key pathways: protein digestion and absorption, mineral absorption, and aldosterone synthesis and secretion. These genes and metabolites are implicated in granulosa cell and oocyte proliferation, maturation, and protection against oxidative damage. Our findings provide a theoretical foundation for future strategies aimed at improving reproductive performance through targeted modulation of key genes and metabolites. Full article
Show Figures

Figure 1

38 pages, 17385 KB  
Review
Breeding for Disease Resistance in Cucumber: Current Status, Genetic Insights, and Genomic Resources
by Simranjot Kaur, Shallu Thakur, Prerna Sabharwal and Geoffrey Meru
Horticulturae 2025, 11(12), 1440; https://doi.org/10.3390/horticulturae11121440 - 28 Nov 2025
Viewed by 945
Abstract
Cucumber (Cucumis sativus L.) is a globally important crop valued for both fresh consumption and processing, particularly in the United States. It was the first specialty crop among horticultural crops with a publicly available draft genome, providing a foundation for molecular breeding [...] Read more.
Cucumber (Cucumis sativus L.) is a globally important crop valued for both fresh consumption and processing, particularly in the United States. It was the first specialty crop among horticultural crops with a publicly available draft genome, providing a foundation for molecular breeding and trait discovery. However, cucumber production faces significant yield losses due to a wide range of biotic stresses. The crop is highly susceptible to fungal, viral, and bacterial pathogens throughout its lifecycle. To combat these challenges, breeders deploy conventional and contemporary breeding strategies to develop disease-resistant cultivars. Advances in high-throughput sequencing and genomic tools, such as quantitative trait loci mapping, genome-wide association studies, and genomic selection, have accelerated the identification and subsequent integration of resistance genes and loci into elite cucumber germplasm. This review highlights recent progress in resistance breeding for biotic stress management in cucumber, with a focus on major diseases caused by fungal, viral, and bacterial pathogens. It emphasizes the role of genomic tools, the discovery of key resistance genes and QTLs, and the potential of modern breeding approaches to improve crop resilience. Continued innovation and integration of emerging technologies will be essential for developing durable, broad-spectrum resistance in future cucumber cultivars. Full article
(This article belongs to the Section Genetics, Genomics, Breeding, and Biotechnology (G2B2))
Show Figures

Figure 1

Back to TopTop