Sign in to use this feature.

Years

Between: -

Subjects

remove_circle_outline
remove_circle_outline
remove_circle_outline
remove_circle_outline
remove_circle_outline
remove_circle_outline

Journals

Article Types

Countries / Regions

Search Results (18)

Search Parameters:
Keywords = QUAV

Order results
Result details
Results per page
Select all
Export citation of selected articles as:
21 pages, 4761 KB  
Article
Active Fault-Tolerant Cooperative Control for Multi-QUAVs Using Relative Measurement Information
by Yujiang Zhong, Xi Chen, Ping Li, Pinfan Hou, Zhen Wang and Kunlin Nie
Drones 2025, 9(10), 699; https://doi.org/10.3390/drones9100699 - 11 Oct 2025
Viewed by 621
Abstract
This paper investigates actuator fault-tolerant cooperative control of multiple quadrotor unmanned aerial vehicles (multi-QUAVs) under restricted communication conditions, where only relative output measurements are available. By appropriately transforming and scaling the control inputs and outputs of the multi-QUAVs, an observable subsystem is constructed. [...] Read more.
This paper investigates actuator fault-tolerant cooperative control of multiple quadrotor unmanned aerial vehicles (multi-QUAVs) under restricted communication conditions, where only relative output measurements are available. By appropriately transforming and scaling the control inputs and outputs of the multi-QUAVs, an observable subsystem is constructed. A decoupled fault estimation observer is then designed for this subsystem to estimate actuator faults and the leader’s input signal. Based on the fault estimation information and relative measurement information among QUAVs, a node-based active fault-tolerant cooperative control law is developed. This approach enables multi-QUAVs to achieve consensus-based formation solely relying on relative output information, even in the presence of actuator faults. Finally, the effectiveness of the proposed active fault-tolerant cooperative control method is verified by simulation. Full article
(This article belongs to the Section Artificial Intelligence in Drones (AID))
Show Figures

Figure 1

18 pages, 4509 KB  
Article
Reinforcement Learning Stabilization for Quadrotor UAVs via Lipschitz-Constrained Policy Regularization
by Jiale Quan, Weijun Hu, Xianlong Ma and Gang Chen
Drones 2025, 9(10), 675; https://doi.org/10.3390/drones9100675 - 26 Sep 2025
Viewed by 1097
Abstract
Reinforcement learning (RL), and in particular Proximal Policy Optimization (PPO), has shown promise in high-precision quadrotor unmanned aerial vehicle (QUAV) control. However, the performance of PPO is highly sensitive to the choice of the clipping parameter, and inappropriate settings can lead to unstable [...] Read more.
Reinforcement learning (RL), and in particular Proximal Policy Optimization (PPO), has shown promise in high-precision quadrotor unmanned aerial vehicle (QUAV) control. However, the performance of PPO is highly sensitive to the choice of the clipping parameter, and inappropriate settings can lead to unstable training dynamics and excessive policy oscillations, which limit deployment in safety-critical aerial applications. To address this issue, we propose a stability-aware dynamic clipping parameter adjustment strategy, which adapts the clipping threshold ϵt in real time based on a stability variance metric St. This adaptive mechanism balances exploration and stability throughout the training process. Furthermore, we provide a Lipschitz continuity interpretation of the clipping mechanism, showing that its adaptation implicitly adjusts a bound on the policy update step, thereby offering a deterministic guarantee on the oscillation magnitude. Extensive simulation results demonstrate that the proposed method reduces policy variance by 45% and accelerates convergence compared to baseline PPO, resulting in smoother control responses and improved robustness under dynamic operating conditions. While developed within the PPO framework, the proposed approach is readily applicable to other on policy policy gradient methods. Full article
Show Figures

Figure 1

30 pages, 5222 KB  
Article
A Backstepping Sliding Mode Control of a Quadrotor UAV Using a Super-Twisting Observer
by Vicente Borja-Jaimes, Jarniel García-Morales, Ricardo Fabricio Escobar-Jiménez, Gerardo Vicente Guerrero-Ramírez and Manuel Adam-Medina
Appl. Sci. 2025, 15(18), 10120; https://doi.org/10.3390/app151810120 - 16 Sep 2025
Viewed by 1143
Abstract
This study addresses robust trajectory tracking for quadrotor unmanned aerial vehicles (QUAVs) under partial state measurements and bounded external disturbances. To this end, a control framework is introduced that integrates backstepping sliding mode control (BSMC) with a super-twisting observer (STO). In this scheme, [...] Read more.
This study addresses robust trajectory tracking for quadrotor unmanned aerial vehicles (QUAVs) under partial state measurements and bounded external disturbances. To this end, a control framework is introduced that integrates backstepping sliding mode control (BSMC) with a super-twisting observer (STO). In this scheme, only position and attitude are directly measured while the STO reconstructs the linear and angular velocities in real time. The estimated states are then fed into the control law, enabling accurate trajectory tracking and robust performance without full-state feedback or explicit disturbance compensation. The approach is validated through three simulation scenarios: nominal full-state feedback, observer-based control without disturbances, and observer-based control under bounded time-varying perturbations. Quantitative metrics confirm consistent tracking accuracy and closed-loop stability across all scenarios. These results demonstrate the effectiveness of the integrated BSMC–STO framework for QUAV operations in sensor-limited and disturbance-prone environments. Full article
(This article belongs to the Section Aerospace Science and Engineering)
Show Figures

Figure 1

22 pages, 10231 KB  
Article
Fault-Tolerant-Based Neural Network ESO Adaptive Sliding Mode Tracking Control for QUAVs Used in Education and Teaching Under Disturbances
by Ziyang Zhang, Yang Liu, Pengju Si, Haoxiang Ma and Huan Wang
Drones 2025, 9(9), 630; https://doi.org/10.3390/drones9090630 - 7 Sep 2025
Cited by 1 | Viewed by 874
Abstract
In this paper, an adaptive sliding mode fault-tolerant control (FTC) scheme is proposed for small Quadrotor Unmanned Aerial Vehicles (QUAVs) used in education and teaching formation in the presence of systematic unknown external disturbances with actuator failures. A radial basis function neural network [...] Read more.
In this paper, an adaptive sliding mode fault-tolerant control (FTC) scheme is proposed for small Quadrotor Unmanned Aerial Vehicles (QUAVs) used in education and teaching formation in the presence of systematic unknown external disturbances with actuator failures. A radial basis function neural network (RBFNN) is employed to handle the nonlinear interaction function, and a fault-tolerant-based NN extended state observer (NNESO) is designed to estimate the unknown external disturbance. Meanwhile, an adaptive fault observer is developed to estimate and compensate for the fault parameters of the system. To achieve satisfactory trajectory tracking performance for the QUAV, an adaptive sliding mode control (SMC) strategy is designed. This strategy mitigates the strong coupling effects among the design parameters within the QUAV formation. The stability of the closed-loop system is rigorously demonstrated by Lyapunov analysis, and the controlled QUAV formation can achieve the desired tracking position. Simulation results verify the effectiveness of the proposed control method. Full article
Show Figures

Figure 1

19 pages, 9202 KB  
Article
Fuzzy Adaptive Fixed-Time Bipartite Consensus Self-Triggered Control for Multi-QUAVs with Deferred Full-State Constraints
by Chenglin Wu, Shuai Song, Xiaona Song and Heng Shi
Drones 2025, 9(8), 591; https://doi.org/10.3390/drones9080591 - 20 Aug 2025
Viewed by 683
Abstract
This paper investigates the interval type-2 (IT2) fuzzy adaptive fixed-time bipartite consensus self-triggered control for multiple quadrotor unmanned aerial vehicles with deferred full-state constraints and input saturation under cooperative-antagonistic interactions. First, a uniform nonlinear transformation function, incorporating a shifting function, is constructed to [...] Read more.
This paper investigates the interval type-2 (IT2) fuzzy adaptive fixed-time bipartite consensus self-triggered control for multiple quadrotor unmanned aerial vehicles with deferred full-state constraints and input saturation under cooperative-antagonistic interactions. First, a uniform nonlinear transformation function, incorporating a shifting function, is constructed to achieve the deferred asymmetric constraints on the vehicle states and eliminate the restrictions imposed by feasibility criteria. Notably, the proposed framework provides a unified solution for unconstrained, constant/time-varying, and symmetric/asymmetric constraints without necessitating controller reconfiguration. By employing interval type-2 fuzzy logic systems and an improved self-triggered mechanism, an IT2 fuzzy adaptive fixed-time self-triggered controller is designed to allow the control signals to perform on-demand self-updating without the need for additional hardware monitors, effectively mitigating bandwidth over-consumption. Stability analysis indicates that all states in the closed-loop attitude system are fixed-time bounded while strictly adhering to deferred time-varying constraints. Finally, illustrative examples are presented to validate the effectiveness of the proposed control scheme. Full article
(This article belongs to the Special Issue Path Planning, Trajectory Tracking and Guidance for UAVs: 3rd Edition)
Show Figures

Figure 1

20 pages, 4152 KB  
Article
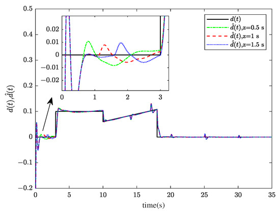
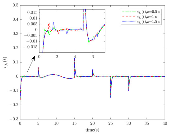
Fault Detection and Distributed Consensus Fault-Tolerant Control for Multiple Quadrotor UAVs Based on Nussbaum-Type Function
by Kun Yan, Jinxing Fan, Jianing Tang and Chuchao He
Aerospace 2025, 12(8), 734; https://doi.org/10.3390/aerospace12080734 - 19 Aug 2025
Viewed by 843
Abstract
In this work, a fault detection method and a distributed consensus fault-tolerant control (FTC) scheme are proposed for multiple quadrotor unmanned aerial vehicles (multi-QUAVs) with actuator faults. In order to identify the actuator faults in time, an auxiliary state observer is constructed first. [...] Read more.
In this work, a fault detection method and a distributed consensus fault-tolerant control (FTC) scheme are proposed for multiple quadrotor unmanned aerial vehicles (multi-QUAVs) with actuator faults. In order to identify the actuator faults in time, an auxiliary state observer is constructed first. Subsequently, a fault detection scheme based on the observer error is presented, which can improve the early warning ability of the multi-QUAVs. Meanwhile, to handle unknown sudden faults, the Nussbaum function approach is combined with the consensus theory to design a distributed consensus FTC strategy for multi-QUAVs. Compared with the traditional direct fault estimation method using the projection function technique, the proposed Nussbaum-based FTC method can avoid the singularity problem of the controller in a simple way. Moreover, all error signals of the closed-loop system are proved to be uniformly ultimately bounded via Lyapunov stability theory and the consensus control algorithm. Finally, simulation comparison results indicate the early warning capability of the fault detection method and the formation maintenance performance of the developed fault-tolerant controller. Full article
(This article belongs to the Section Aeronautics)
Show Figures

Figure 1

23 pages, 2404 KB  
Article
Observer-Based Adaptive Neural Control of Quadrotor Unmanned Aerial Vehicles Subject to Model Uncertainties and External Disturbances
by Rashin Mousavi, Arash Mousavi, Yashar Mousavi, Mahsa Tavasoli, Aliasghar Arab, Ibrahim Beklan Kucukdemiral and Afef Fekih
Actuators 2024, 13(12), 529; https://doi.org/10.3390/act13120529 - 21 Dec 2024
Cited by 2 | Viewed by 2878
Abstract
Quadrotor unmanned aerial vehicles (QUAVs) are widely recognized for their versatility and advantages across diverse applications. However, their inherent instability and underactuated dynamics pose significant challenges, particularly under external disturbances and parametric model uncertainties. This paper presents an advanced observer-based control framework to [...] Read more.
Quadrotor unmanned aerial vehicles (QUAVs) are widely recognized for their versatility and advantages across diverse applications. However, their inherent instability and underactuated dynamics pose significant challenges, particularly under external disturbances and parametric model uncertainties. This paper presents an advanced observer-based control framework to address these challenges, introducing a high-gain disturbance observer (HGDO) integrated with a neural-network-based adaptive fractional sliding mode control (NN-AFSMC) scheme. The proposed HGDO-NN-AFSMC ensures robust position and attitude tracking by effectively compensating for external disturbances and model uncertainties. A direct control approach is employed, significantly reducing computational complexity by minimizing the need for frequent online parameter updates while maintaining high tracking precision and robustness. The stability of the control system is rigorously analyzed using Lyapunov theory, and comprehensive simulation studies validate the proposed scheme’s superior performance compared to other advanced control approaches, particularly in dynamic and uncertain operational environments. The proposed HGDO-NN-AFSMC achieves a position tracking error of less than 0.03 m and an attitude tracking error below 0.02 radians, even under external disturbances and parametric uncertainties of 20%. Compared to conventional robust feedback linearization (RFBL) and nonsingular fast terminal sliding mode control (NFTSMC), the proposed method improves position tracking accuracy by 25% and reduces settling time by approximately 18%. Full article
(This article belongs to the Special Issue Data-Driven Control for Vehicle Dynamics)
Show Figures

Figure 1

26 pages, 2893 KB  
Article
Fractional-Order Sliding Mode Observer for Actuator Fault Estimation in a Quadrotor UAV
by Vicente Borja-Jaimes, Antonio Coronel-Escamilla, Ricardo Fabricio Escobar-Jiménez, Manuel Adam-Medina, Gerardo Vicente Guerrero-Ramírez, Eduardo Mael Sánchez-Coronado and Jarniel García-Morales
Mathematics 2024, 12(8), 1247; https://doi.org/10.3390/math12081247 - 20 Apr 2024
Cited by 14 | Viewed by 2464
Abstract
In this paper, we present the design of a fractional-order sliding mode observer (FO-SMO) for actuator fault estimation in a quadrotor unmanned aerial vehicle (QUAV) system. Actuator faults can significantly compromise the stability and performance of QUAV systems; therefore, early detection and compensation [...] Read more.
In this paper, we present the design of a fractional-order sliding mode observer (FO-SMO) for actuator fault estimation in a quadrotor unmanned aerial vehicle (QUAV) system. Actuator faults can significantly compromise the stability and performance of QUAV systems; therefore, early detection and compensation are crucial. Sliding mode observers (SMOs) have recently demonstrated their accuracy in estimating faults in QUAV systems under matched uncertainties. However, existing SMOs encounter difficulties associated with chattering and sensitivity to initial conditions and noise. These challenges significantly impact the precision of fault estimation and may even render fault estimation impossible depending on the magnitude of the fault. To address these challenges, we propose a new fractional-order SMO structure based on the Caputo derivative definition. To demonstrate the effectiveness of the proposed FO-SMO in overcoming the limitations associated with classical SMOs, we assess the robustness of the FO-SMO under three distinct scenarios. First, we examined its performance in estimating actuator faults under varying initial conditions. Second, we evaluated its ability to handle significant chattering phenomena during fault estimation. Finally, we analyzed its performance in fault estimation under noisy conditions. For comparison purposes, we assess the performance of both observers using the Normalized Root-Mean-Square Error (NRMSE) criterion. The results demonstrate that our approach enables more accurate actuator fault estimation, particularly in scenarios involving chattering phenomena and noise. In contrast, the performance of classical (non-fractional) SMO suffers significantly under these conditions. We concluded that our FO-SMO is more robust to initial conditions, chattering phenomena, and noise than the classical SMO. Full article
(This article belongs to the Special Issue Control Theory and Computational Intelligence)
Show Figures

Figure 1

23 pages, 10860 KB  
Article
Reducing Oscillations for Obstacle Avoidance in a Dense Environment Using Deep Reinforcement Learning and Time-Derivative of an Artificial Potential Field
by Zhilong Xi, Haoran Han, Jian Cheng and Maolong Lv
Drones 2024, 8(3), 85; https://doi.org/10.3390/drones8030085 - 1 Mar 2024
Cited by 11 | Viewed by 3689
Abstract
Obstacle avoidance plays a crucial role in ensuring the safe path planning of quadrotor unmanned aerial vehicles (QUAVs). In this study, we propose a hierarchical framework for obstacle avoidance, which combines the use of artificial potential field (APF) and deep reinforcement learning (DRL) [...] Read more.
Obstacle avoidance plays a crucial role in ensuring the safe path planning of quadrotor unmanned aerial vehicles (QUAVs). In this study, we propose a hierarchical framework for obstacle avoidance, which combines the use of artificial potential field (APF) and deep reinforcement learning (DRL) for training low-level motion controllers. Unlike traditional potential field methods, our approach modifies the state information received by the motion controllers using the outputs of the APF path planner. Specifically, the assumed target position is pushed away from obstacles, resulting in adjustments to the perceived position errors. Additionally, we address path oscillations by incorporating the target’s velocity information, which is calculated based on the time-derivative of the repulsive force. Experimental results have validated the effectiveness of our proposed framework in avoiding collisions with obstacles and reducing oscillations. Full article
(This article belongs to the Special Issue Path Planning, Trajectory Tracking and Guidance for UAVs)
Show Figures

Figure 1

13 pages, 824 KB  
Article
NN-Based Parallel Model Predictive Control for a Quadrotor UAV
by Jun Qi, Jiru Chu, Zhao Xu, Cong Huang and Minglei Zhu
Processes 2023, 11(6), 1706; https://doi.org/10.3390/pr11061706 - 2 Jun 2023
Cited by 2 | Viewed by 2338
Abstract
A novel neural network (NN)-based parallel model predictive control (PMPC) method is proposed to deal with the tracking problem of the quadrotor unmanned aerial vehicles (Q-UAVs) system in this article. It is well known that the dynamics of Q-UAVs are changeable while the [...] Read more.
A novel neural network (NN)-based parallel model predictive control (PMPC) method is proposed to deal with the tracking problem of the quadrotor unmanned aerial vehicles (Q-UAVs) system in this article. It is well known that the dynamics of Q-UAVs are changeable while the system is operating in some specific environments. In this case, traditional NN-based MPC methods are not applicable because their model networks are pre-trained and kept constant throughout the process. To solve this problem, we propose the PMPC algorithm, which introduces parallel control structure and experience pool replay technology into the MPC method. In this algorithm, an NN-based artificial system runs in parallel with the UAV system to reconstruct its dynamics model. Furthermore, the experience replay technology is used to maintain the accuracy of the reconstructed model, so as to ensure the effectiveness of the model prediction algorithm. Furthermore, a convergence proof of the artificial system is also given in this paper. Finally, numerical results and analysis are given to demonstrate the effectiveness of the PMPC algorithm. Full article
Show Figures

Figure 1

22 pages, 7680 KB  
Article
Unknown Input Observer-Based Fixed-Time Trajectory Tracking Control for QUAV with Actuator Saturation and Faults
by Shikai Shao, Shuangyin Xu, Yuanjie Zhao and Xiaojing Wu
Drones 2023, 7(6), 344; https://doi.org/10.3390/drones7060344 - 25 May 2023
Cited by 4 | Viewed by 1913
Abstract
The trajectory tracking control problem of a quadrotor unmanned aerial vehicle (QUAV) subject to external disturbances, inertia uncertainties, actuator faults, and input saturation is addressed in this paper. In contrast with previous works, input saturation herein refers to rotor speed saturation rather than [...] Read more.
The trajectory tracking control problem of a quadrotor unmanned aerial vehicle (QUAV) subject to external disturbances, inertia uncertainties, actuator faults, and input saturation is addressed in this paper. In contrast with previous works, input saturation herein refers to rotor speed saturation rather than thrust and torque saturation. First, the control system is decoupled into translational and rotational subsystems. Then, for both subsystems, two novel fixed-time unknown input observers (UIO) based on disturbance filtering are developed to estimate the lumped disturbance rapidly and precisely without awareness of the boundary of disturbances. Furthermore, fixed-time tracking controllers for translational and rotational subsystems are proposed based on the estimation values provided by UIO to stabilize tracking errors into a small region in fixed time regardless of the initial values. The theoretical analysis based on the Lyapunov method is presented to demonstrate the stability. Finally, the simulation results show that the proposed control method is effective. The comparison simulation is carried out to validate superiority of the proposed observer and its advantage can be summed up as: (1) the upper bound of the disturbance or its derivative is not needed; (2) the estimation results are smoother and the observation precision is higher due to the absence of sign function; (3) the mutant disturbance can be also estimated quickly and precisely. Full article
Show Figures

Figure 1

17 pages, 576 KB  
Article
Fixed-Time Adaptive Tracking Control for a Quadrotor Unmanned Aerial Vehicle with Input Saturation
by Haihui Wang, Guozeng Cui and Huayi Li
Actuators 2023, 12(3), 130; https://doi.org/10.3390/act12030130 - 18 Mar 2023
Cited by 6 | Viewed by 2482
Abstract
Considering the problem of tracking control for a quadrotor unmanned aerial vehicle (QUAV) with input saturation, parameter uncertainties and external disturbances, a command filtered backstepping-based fixed-time adaptive control scheme was developed. The problem of “explosion of complexity” (EOC) is tackled by utilizing the [...] Read more.
Considering the problem of tracking control for a quadrotor unmanned aerial vehicle (QUAV) with input saturation, parameter uncertainties and external disturbances, a command filtered backstepping-based fixed-time adaptive control scheme was developed. The problem of “explosion of complexity” (EOC) is tackled by utilizing the fixed-time command filter, and the influence of filtered error is removed based on the fractional power-error-compensation mechanism. A fixed-time auxiliary system was designed to compensate for the input saturation of the QUAV. It strictly proves that the closed-loop system signals are fixed-time bounded, and the tracking errors converge to a sufficiently small region near the origin in a fixed time, and the convergence time is independent of the initial states. Finally, the effectiveness of the proposed fixed-time adaptive control algorithm is demonstrated via a numerical simulation. Full article
(This article belongs to the Section Control Systems)
Show Figures

Figure 1

28 pages, 1315 KB  
Article
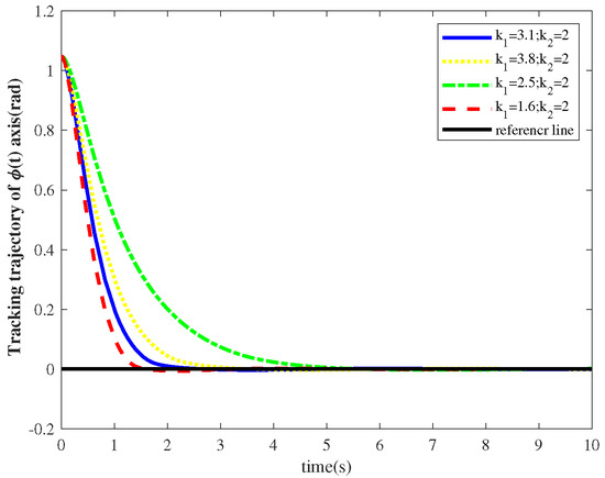
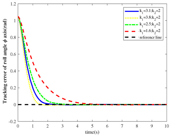
A Switching Mode Control Scheme for the Hovering Control of Quadrotor Unmanned Aerial Vehicles
by Nana Cheng and Chaoli Wang
Mathematics 2023, 11(4), 994; https://doi.org/10.3390/math11040994 - 15 Feb 2023
Cited by 3 | Viewed by 1875
Abstract
This paper presents a novel switching mode control scheme for the six-DOF hovering control of underactuated quadrotor unmanned aerial vehicles (QUAVs) with strong coupling. Through this paper, the full six states of the position and attitude of the QUAV can be controlled to [...] Read more.
This paper presents a novel switching mode control scheme for the six-DOF hovering control of underactuated quadrotor unmanned aerial vehicles (QUAVs) with strong coupling. Through this paper, the full six states of the position and attitude of the QUAV can be controlled to the special target configuration in a fixed time. First, a continuously differentiable fixed time controller with a state constraint was designed for the position system. Second, a fixed-time integral sliding mode controller was designed for the attitude subsystem. Thirdly, a switching law was designed to switch the above two types of controllers a limited number of times during hovering control. Additionally, the crash problem is fully discussed during the entire control process. In summary, the full-state hover mission was completed. The simulation experiments verify the effectiveness of the control algorithm. Full article
Show Figures

Figure 1

19 pages, 1406 KB  
Article
Fault Estimation Method for Nonlinear Time-Delay System Based on Intermediate Observer-Application on Quadrotor Unmanned Aerial Vehicle
by Qingnan Huang, Jingru Qi, Xisheng Dai, Qiqi Wu, Xianming Xie and Enze Zhang
Sensors 2023, 23(1), 34; https://doi.org/10.3390/s23010034 - 20 Dec 2022
Cited by 8 | Viewed by 2368
Abstract
In this paper, the problem of actuator and sensor faults of a quadrotor unmanned aerial vehicle (QUAV) system is studied. In the system fault model, time delay, nonlinear term, and disturbances of QUAV during the flight are considered. A fault estimation algorithm based [...] Read more.
In this paper, the problem of actuator and sensor faults of a quadrotor unmanned aerial vehicle (QUAV) system is studied. In the system fault model, time delay, nonlinear term, and disturbances of QUAV during the flight are considered. A fault estimation algorithm based on an intermediate observer is proposed. To deal with a single actuator fault, an intermediate variable is introduced, and the intermediate observer is designed for the system to estimate fault. For simultaneous actuator and sensor faults, the system is first augmented, and then two intermediate variables are introduced, and an intermediate observer is designed for the augmented system to estimate the system state, faults, and disturbances. The Lyapunov–Krasovskii functional is used to prove that the estimation error system is uniformly eventually bounded. The simulation results verify the feasibility and effectiveness of the proposed fault estimation method. Full article
(This article belongs to the Section Fault Diagnosis & Sensors)
Show Figures

Figure 1

26 pages, 11303 KB  
Article
Fault-Tolerant Control for Quadrotor Based on Fixed-Time ESO
by Lei Liu, Junjie Liu, Junfang Li, Yuehui Ji, Yu Song, Liang Xu and Wenxing Niu
Mathematics 2022, 10(22), 4386; https://doi.org/10.3390/math10224386 - 21 Nov 2022
Cited by 8 | Viewed by 2348
Abstract
Focusing on the actuator fault of the quadrotor unmanned aerial vehicle (QUAV), an active fault-tolerant control scheme based on fixed-time linear active disturbance rejection control is proposed. Firstly, in order to simplify the complex dynamic model, the virtual control quantity is introduced to [...] Read more.
Focusing on the actuator fault of the quadrotor unmanned aerial vehicle (QUAV), an active fault-tolerant control scheme based on fixed-time linear active disturbance rejection control is proposed. Firstly, in order to simplify the complex dynamic model, the virtual control quantity is introduced to decouple the flight control system of the QUAV. Secondly, the fixed-time extended state observer (ESO) is utilized to estimate and compensate the internal uncertainty, external disturbance and actuator fault of the QUAV in fixed time. Thirdly, a continuous output feedback controller based on fixed-time ESO is designed to keep the stability of the flight control system with actuator fault and external disturbance. Finally, the closed-loop stability of the flight control system is demonstrated by Lyapunov function. The numerical simulation is carried and the results also verify the effectiveness of the proposed control scheme. Full article
Show Figures

Figure 1

Back to TopTop