Fault Estimation Method for Nonlinear Time-Delay System Based on Intermediate Observer-Application on Quadrotor Unmanned Aerial Vehicle
Abstract
1. Introduction
- For a single actuator fault, the effect of time delay is considered, an intermediate variable is introduced, and the intermediate observer is designed to estimate the state of the system and the actuator fault.
- When actuator fault and sensor fault occur at the same time, we consider the influence of time delay, unknown input, and measurement noise disturbances in order to facilitate the handling of a sensor fault. The original system is augmented first, two intermediate variables are introduced, and the intermediate observer is designed for the augmented system, which is used to estimate the system state, actuator fault, sensor fault, and disturbances.
2. Design of the Intermediate Observer
2.1. Observer Design for Actuator Fault Diagnosis
2.2. Observer Design for Actuator and Sensor Faults Diagnosis
3. Simulation Results
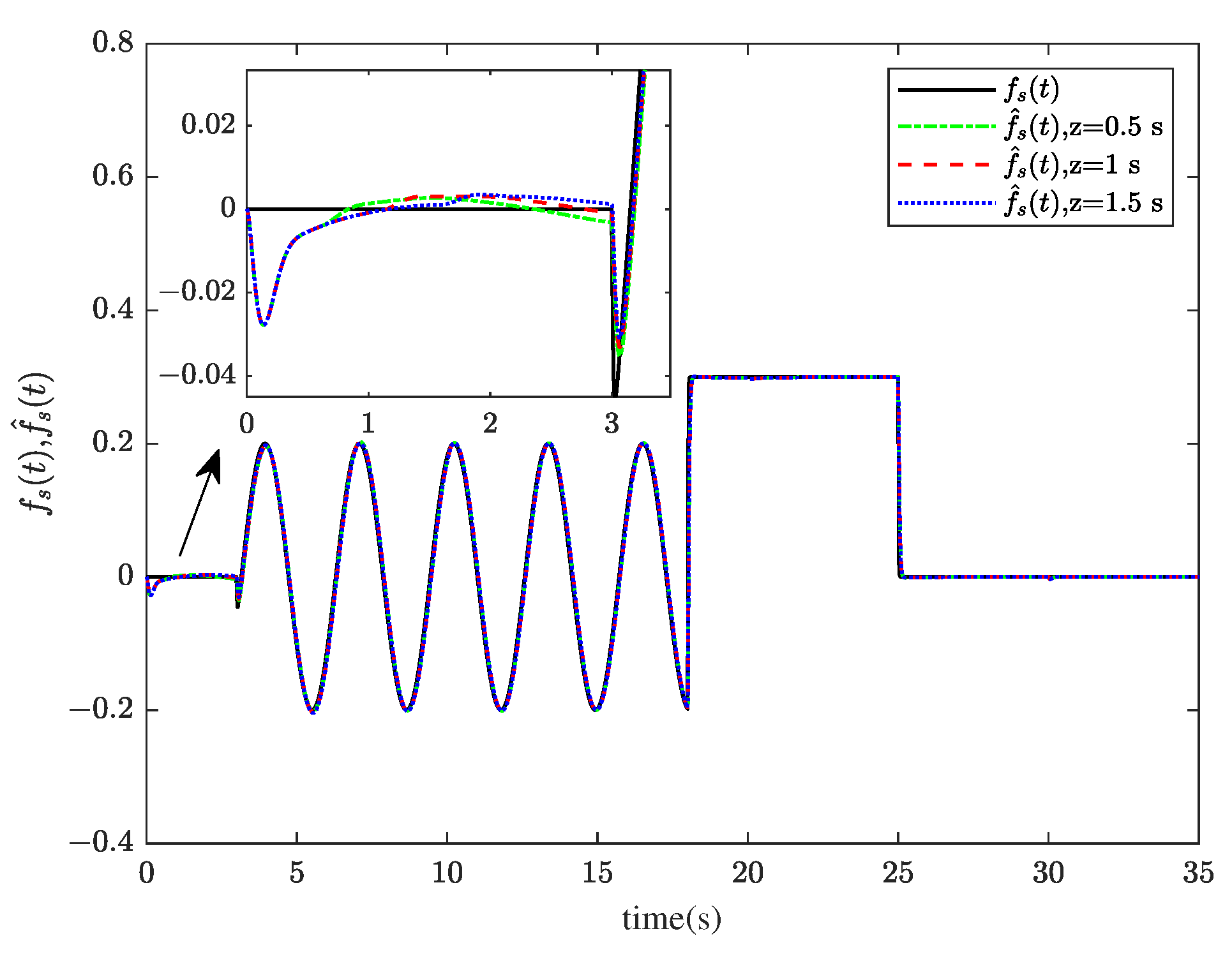
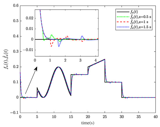
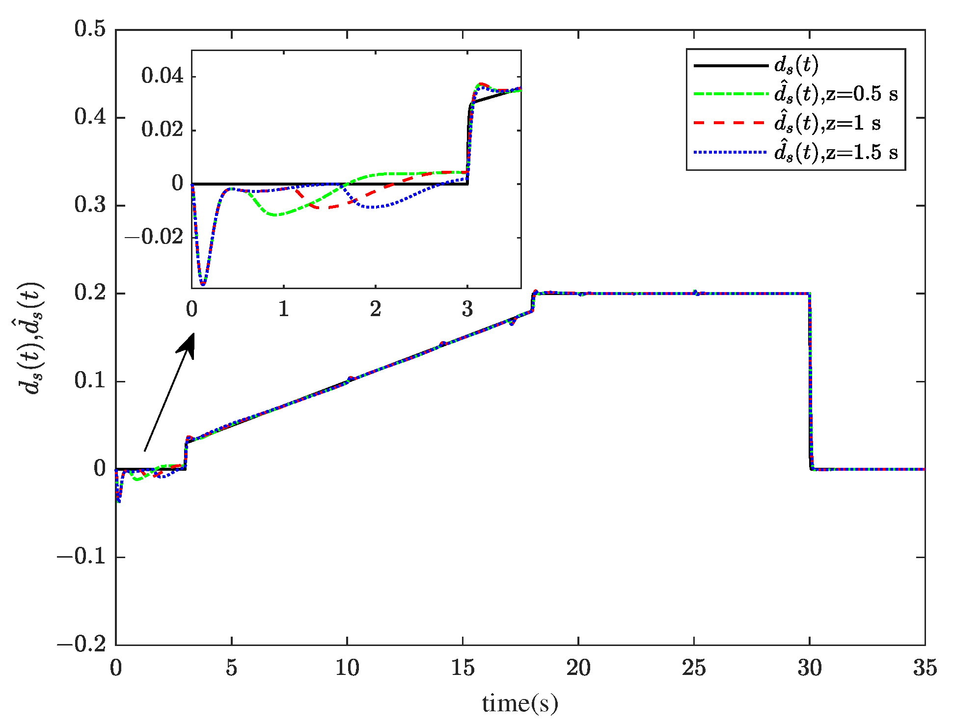
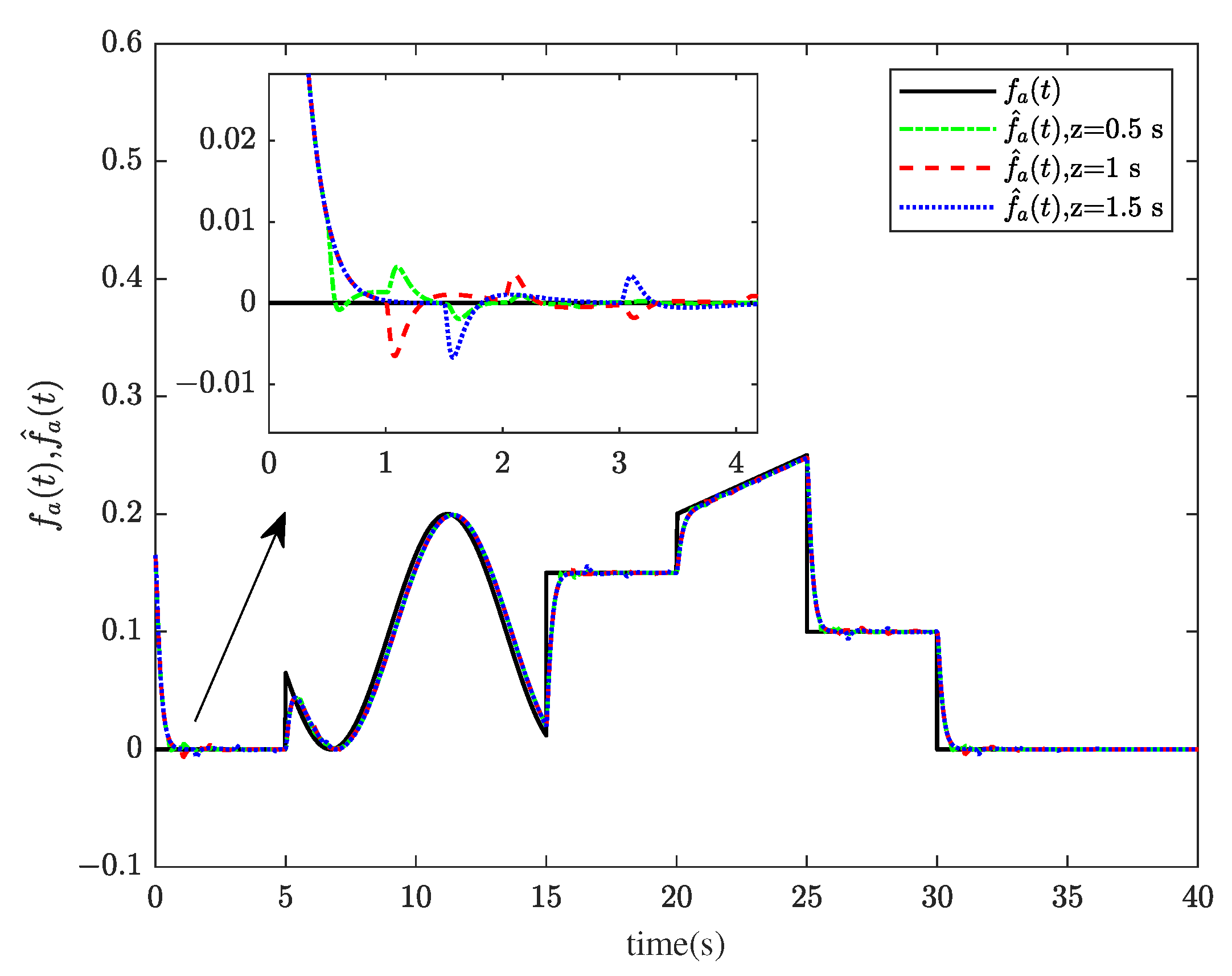
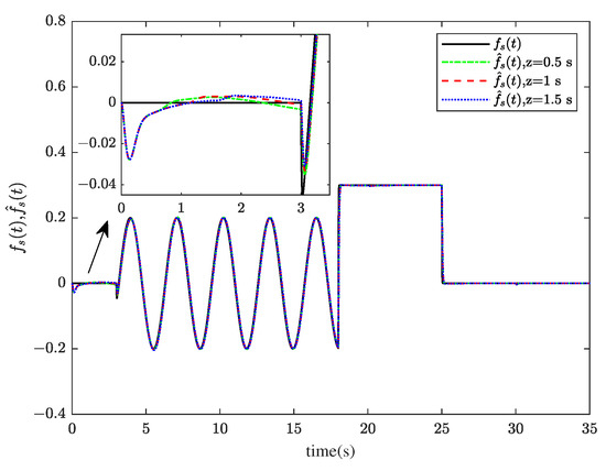
3.1. Actuator Fault Simulation
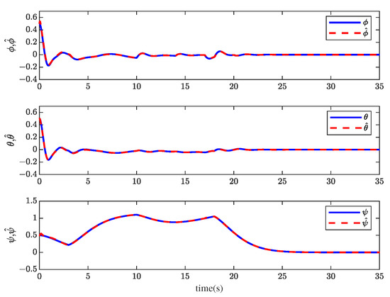
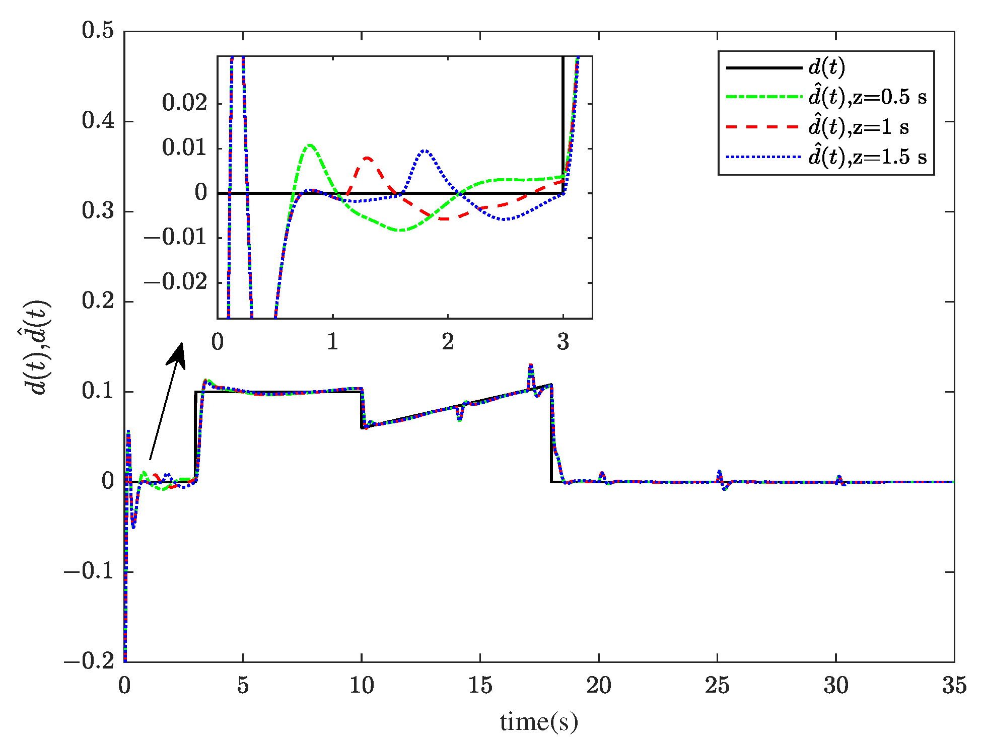
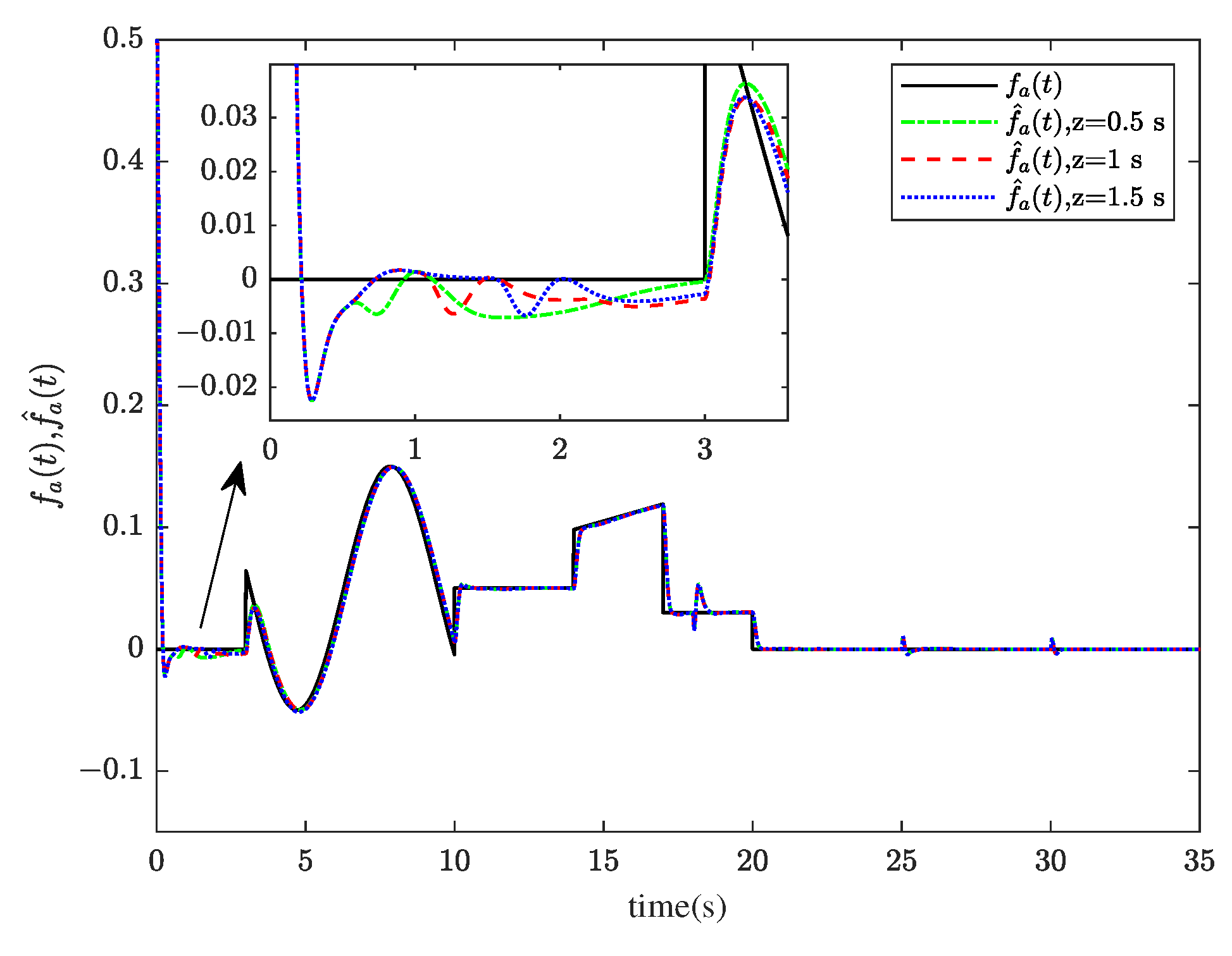
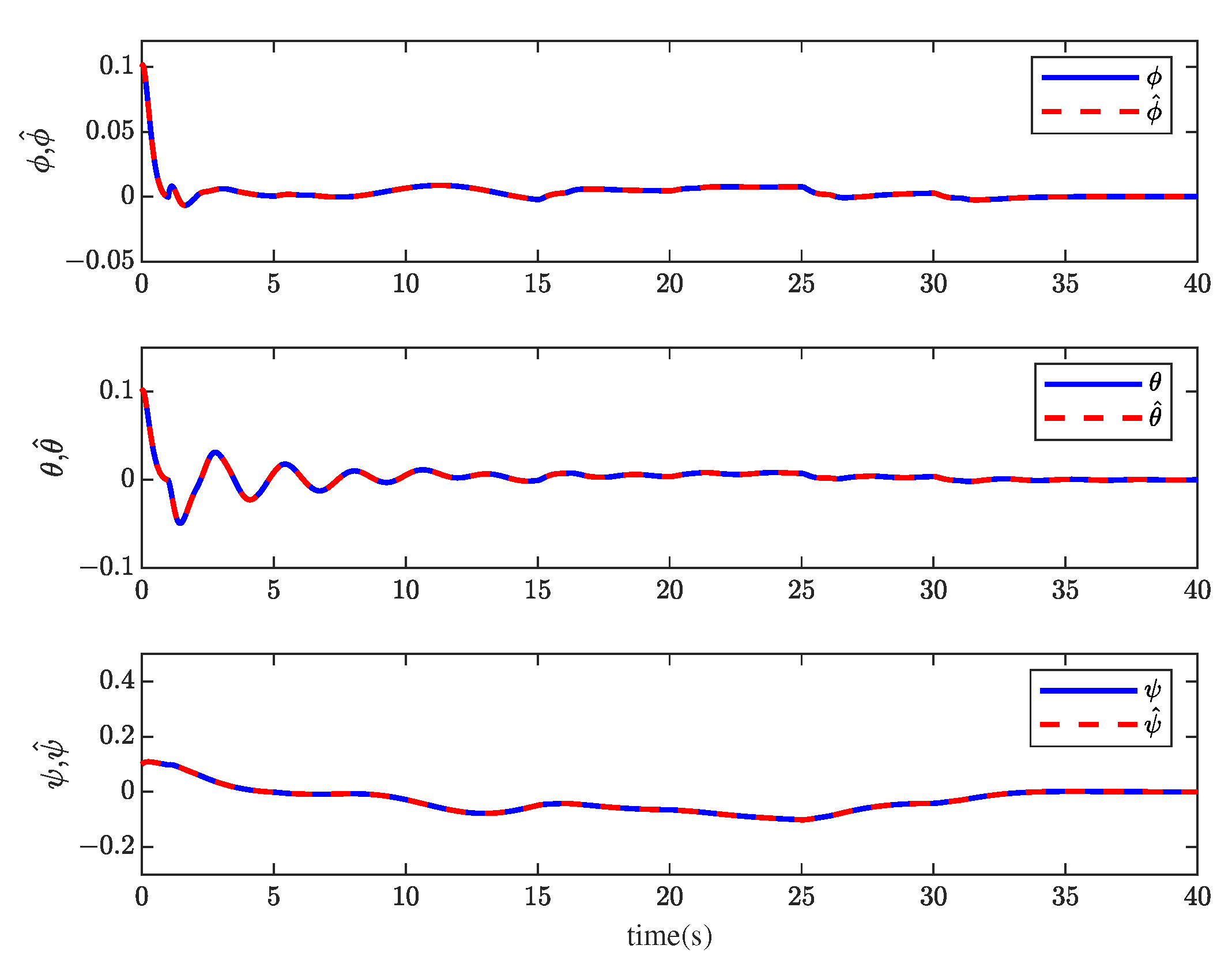
3.2. Actuator and Sensor Faults Simulation
4. Conclusions
Author Contributions
Funding
Institutional Review Board Statement
Informed Consent Statement
Data Availability Statement
Conflicts of Interest
References
- Zhang, Y.; Chamseddine, A.; Rabbath, C.A.; Gordon, B.W.; Su, C.Y.; Rakheja, S.; Fulford, C.; Apkarian, J.; Gosselin, P. Development of advanced FDD and FTC techniques with application to an unmanned quadrotor helicopter testbed. J. Franklin Inst. 2013, 350, 2396–2422. [Google Scholar] [CrossRef]
- Mahony, R.; Kumar, V.; Corke, P. Multirotor aerial vehicles: Modeling, estimation, and control of quadrotor. IEEE Rob. Autom. Mag. 2012, 19, 20–32. [Google Scholar] [CrossRef]
- Lotufo, M.A.; Colangelo, L.; Novara, C. Control design for UAV quadrotors via embedded model control. IEEE Trans. Control Syst. Technol. 2019, 28, 1741–1756. [Google Scholar] [CrossRef]
- Radoglou-Grammatikis, P.; Sarigiannidis, P.; Lagkas, T.; Moscholios, I. A compilation of UAV applications for precision agriculture. Comput. Netw. 2020, 172, 107148. [Google Scholar] [CrossRef]
- Zohdi, T.I. Multiple UAVs for mapping: A review of basic modeling, simulation and applications. Annu. Rev. Environ. Resour. 2018, 43, 523–543. [Google Scholar] [CrossRef]
- Abbaspour, A.; Aboutalebi, P.; Yen, K.K.; Sargolzaei, A. Neural adaptive observer-based sensor and actuator fault detection in nonlinear systems: Application in UAV. ISA Trans. 2017, 67, 317–329. [Google Scholar] [CrossRef]
- Zhou, L.; Leng, S.; Liu, Q.; Wang, Q. Intelligent UAV swarm cooperation for multiple targets tracking. IEEE Internet Things J. 2021, 9, 743–754. [Google Scholar] [CrossRef]
- Dong, X.; Hua, Y.; Zhou, Y.; Ren, Z.; Zhong, Y. Theory and experiment on formation-containment control of multiple multirotor unmanned aerial vehicle systems. IEEE Trans. Autom. Sci. Eng. 2018, 16, 229–240. [Google Scholar] [CrossRef]
- Ouyang, J.; Pan, Y.; Xu, B.; Lin, M.; Zhu, W.P. Achieving Secrecy Energy Efficiency Fairness in UAV-Enabled Multi-User Communication Systems. IEEE Wirel. Commun. Lett. 2022, 11, 918–922. [Google Scholar] [CrossRef]
- Yu, Z.; Zhang, Y.; Jiang, B.; Yu, X.; Fu, J.; Jin, Y.; Chai, T. Distributed adaptive fault-tolerant close formation flight control of multiple trailing fixed-wing UAVs. ISA Trans. 2020, 106, 181–199. [Google Scholar] [CrossRef]
- Nguyen, N.P.; Xuan Mung, N.; Hong, S.K. Actuator fault detection and fault-tolerant control for hexacopter. Sensors 2019, 19, 4721. [Google Scholar] [CrossRef] [PubMed]
- Fourlas, G.K.; Karras, G.C. A survey on fault diagnosis and fault-tolerant control methods for unmanned aerial vehicles. Machines 2021, 9, 197. [Google Scholar] [CrossRef]
- Tang, P.; Lin, D.; Zheng, D.; Fan, S.; Ye, J. Observer based finite-time fault tolerant quadrotor attitude control with actuator faults. Aerosp. Sci. Technol. 2020, 104, 105968. [Google Scholar] [CrossRef]
- Willsky, A.S. A survey of design methods for failure detection in dynamic systems. Automatica 1976, 12, 601–611. [Google Scholar] [CrossRef]
- Hwang, I.; Kim, S.; Kim, Y.; Seah, C.E. A survey of fault detection, isolation, and reconfiguration methods. IEEE Trans. Control Syst. Technol. 2009, 18, 636–653. [Google Scholar] [CrossRef]
- Gao, Z.; Cecati, C.; Ding, S.X. A survey of fault diagnosis and fault-tolerant techniques—Part I: Fault diagnosis with model-based and signal-based approaches. IEEE Trans. Ind. Electron. 2015, 62, 3757–3767. [Google Scholar] [CrossRef]
- Freddi, A.; Longhi, S.; Monteriu, A. A diagnostic thau observer for a class of unmanned vehicles. J. Intell. Rob. Syst. 2012, 67, 61–73. [Google Scholar] [CrossRef]
- Liu, C.; Jiang, B.; Zhang, K. Incipient fault detection using an associated adaptive and sliding-mode observer for quadrotor helicopter attitude control systems. Circuits Syst. Signal Process. 2016, 35, 3555–3574. [Google Scholar] [CrossRef]
- Avram, R.C.; Zhang, X.; Muse, J. Quadrotor actuator fault diagnosis and accommodation using nonlinear adaptive estimators. IEEE Trans. Control Syst. Technol. 2017, 25, 2219–2226. [Google Scholar] [CrossRef]
- Cen, Z.; Noura, H.; Susilo, T.B.; Younes, Y.A. Robust fault diagnosis for quadrotor UAVs using adaptive Thau observer. J. Intell. Rob. Syst. 2014, 73, 573–588. [Google Scholar] [CrossRef]
- Chen, F.; Jiang, R.; Zhang, K.; Jiang, B.; Tao, G. Robust backstepping sliding-mode control and observer-based fault estimation for a quadrotor UAV. IEEE Trans. Ind. Electron. 2016, 63, 5044–5056. [Google Scholar] [CrossRef]
- Avram, R.C.; Zhang, X.; Muse, J. Quadrotor sensor fault diagnosis with experimental results. J. Intell. Rob. Syst. 2017, 86, 115–137. [Google Scholar] [CrossRef]
- Zarei, J.; Shokri, E. Robust sensor fault detection based on nonlinear unknown input observer. Measurement 2014, 48, 355–367. [Google Scholar] [CrossRef]
- Aboutalebi, P.; Abbaspour, A.; Forouzannezhad, P.; Sargolzaei, A. A novel sensor fault detection in an unmanned quadrotor based on adaptive neural observer. J. Intell. Rob. Syst. 2018, 90, 473–484. [Google Scholar] [CrossRef]
- Yang, J.; Zhu, F.; Wang, X.; Bu, X. Robust sliding-mode observer-based sensor fault estimation, actuator fault detection and isolation for uncertain nonlinear systems. Int. J. Control Autom. Syst. 2015, 13, 1037–1046. [Google Scholar] [CrossRef]
- Yang, H.; Yin, S. Actuator and sensor fault estimation for time-delay Markov jump systems with application to wheeled mobile manipulators. IEEE Trans. Ind. Inf. 2019, 16, 3222–3232. [Google Scholar] [CrossRef]
- Yang, J.; Zhu, F. FDI design for uncertain nonlinear systems with both actuator and sensor faults. Asian J. Control 2015, 17, 213–224. [Google Scholar] [CrossRef]
- Zhu, J.W.; Yang, G.H.; Wang, H.; Wang, F. Fault estimation for a class of nonlinear systems based on intermediate estimator. IEEE Trans. Autom. Control 2015, 61, 2518–2524. [Google Scholar] [CrossRef]
- Li, J.; Huang, S.J. Integrated observer based fault estimation for a class of Lipschitz nonlinear systems. Int. J. Robust Nonlinear Control 2020, 30, 5678–5692. [Google Scholar] [CrossRef]
- Liu, Y.; Wang, Y. Actuator and sensor fault estimation for discrete-time switched T–S fuzzy systems with time delay. J. Franklin Inst. 2021, 358, 1619–1634. [Google Scholar] [CrossRef]
- Zhu, F.; Tang, Y.; Wang, Z. Interval-Observer-based fault detection and isolation design for TS fuzzy system based on zonotope analysis. IEEE Trans. Fuzzy Syst. 2021, 30, 945–955. [Google Scholar] [CrossRef]
- Ha, Q.P.; Trinh, H. State and input simultaneous estimation for a class of nonlinear systems. Automatica 2004, 40, 1779–1785. [Google Scholar] [CrossRef]











| Parameters | Value | Unit |
|---|---|---|
| N·m/V | ||
| N·m/V | ||
| N·m·s | ||
| N·m·s | ||
| N·m·s | ||
| N·m/V | ||
| kg·m | ||
| kg·m | ||
| kg·m | ||
| l | m |
| t | [0 s, 5 s) | [5 s, 20 s) | [15 s, 20 s) | [20 s, 25 s) | [25 s, 30 s) | [30 s, 40 s] |
|---|---|---|---|---|---|---|
| 0 | 0 |
| t | [0 s, 3 s) | [3 s, 10 s) | [10 s, 14 s) | [14 s, 17 s) | [17 s, 20 s) | [20 s, 35 s] |
|---|---|---|---|---|---|---|
| 0 | 0 | |||||
| [0 s, 3 s) | [3 s, 18 s) | [18 s, 25 s) | [25 s, 35 s] | |||
| 0 | 0 | |||||
| [0 s, 3 s) | [3 s, 10 s) | [10 s, 18 s) | [18 s, 35 s) | |||
| 0 | 0 | |||||
| [0 s, 3 s) | [3 s, 18 s) | [18 s, 30 s) | [30 s, 35 s) | |||
| 0 | 0 |
Disclaimer/Publisher’s Note: The statements, opinions and data contained in all publications are solely those of the individual author(s) and contributor(s) and not of MDPI and/or the editor(s). MDPI and/or the editor(s) disclaim responsibility for any injury to people or property resulting from any ideas, methods, instructions or products referred to in the content. |
© 2022 by the authors. Licensee MDPI, Basel, Switzerland. This article is an open access article distributed under the terms and conditions of the Creative Commons Attribution (CC BY) license (https://creativecommons.org/licenses/by/4.0/).
Share and Cite
Huang, Q.; Qi, J.; Dai, X.; Wu, Q.; Xie, X.; Zhang, E. Fault Estimation Method for Nonlinear Time-Delay System Based on Intermediate Observer-Application on Quadrotor Unmanned Aerial Vehicle. Sensors 2023, 23, 34. https://doi.org/10.3390/s23010034
Huang Q, Qi J, Dai X, Wu Q, Xie X, Zhang E. Fault Estimation Method for Nonlinear Time-Delay System Based on Intermediate Observer-Application on Quadrotor Unmanned Aerial Vehicle. Sensors. 2023; 23(1):34. https://doi.org/10.3390/s23010034
Chicago/Turabian StyleHuang, Qingnan, Jingru Qi, Xisheng Dai, Qiqi Wu, Xianming Xie, and Enze Zhang. 2023. "Fault Estimation Method for Nonlinear Time-Delay System Based on Intermediate Observer-Application on Quadrotor Unmanned Aerial Vehicle" Sensors 23, no. 1: 34. https://doi.org/10.3390/s23010034
APA StyleHuang, Q., Qi, J., Dai, X., Wu, Q., Xie, X., & Zhang, E. (2023). Fault Estimation Method for Nonlinear Time-Delay System Based on Intermediate Observer-Application on Quadrotor Unmanned Aerial Vehicle. Sensors, 23(1), 34. https://doi.org/10.3390/s23010034

