Sign in to use this feature.

Years

Between: -

Subjects

remove_circle_outline
remove_circle_outline
remove_circle_outline
remove_circle_outline
remove_circle_outline
remove_circle_outline
remove_circle_outline
remove_circle_outline

Journals

Article Types

Countries / Regions

Search Results (12)

Search Parameters:
Keywords = Pima cotton

Order results
Result details
Results per page
Select all
Export citation of selected articles as:
16 pages, 4877 KB  
Article
Mini-Jacquard Weft-Knit in Peruvian Pima Cotton as a Print-Free Alternative: CAD Simulation, Prototyping, and Fabric Pattern Characterization
by Praxedes Jeanpierre Merino-Ramirez and Rebeca Salvador-Reyes
Textiles 2025, 5(4), 54; https://doi.org/10.3390/textiles5040054 - 10 Nov 2025
Viewed by 908
Abstract
This study develops and validates a weft knitted Mini-Jacquard in Peruvian Pima cotton as a print-free coloration strategy by integrating CAD-based pattern simulation with prototype manufacturing. A three-color design (red, blue, white) was programmed on a flat knitting machine using a 10 × [...] Read more.
This study develops and validates a weft knitted Mini-Jacquard in Peruvian Pima cotton as a print-free coloration strategy by integrating CAD-based pattern simulation with prototype manufacturing. A three-color design (red, blue, white) was programmed on a flat knitting machine using a 10 × 14 rapport. Color-wise yarn consumption was computed directly from the digital pattern, and the physical sample was characterized through combustion testing and optical micrographs. The prototype exhibited a yarn count of ~20/1 Ne, S-twist (~11.18 TPI), and 100% cellulosic composition. The blue yarn showed the highest consumption (≈73.81%), followed by white (≈19.65%) and red (≈6.55%), consistent with the digital rapport’s color distribution. The CAD stage ensured pattern fidelity and supported raw-material planning; the knitted sample showed a soft hand, dimensional stability, and sharp motif definition upon visual assessment. A sustainability and comparative analysis with chemical printing was conducted, revealing that the Mini-Jacquard achieved the highest design accuracy and tactile comfort, outperforming screen printing and heat transfer in geometric fidelity, chromatic homogeneity, and texture. The Mini-Jacquard optimized operational times (320 min/m2) compared to transfer printing (332 min/m2) and screen printing (740 min/m2), reducing process stages and complexity. Although Jacquard production involves higher energy costs ($34.8) and material expenses ($11.6), it provides greater structural value and durability, positioning it for high-end applications. Moreover, the Mini-Jacquard could reduce water consumption by approximately 90% and thermal energy use by 70%, eliminating chemical residues and extending fabric lifespan, thus offering high sustainability and circular potential. A transparent scenario-based analysis indicates substantial reductions in water and thermal-energy use when omitting printing/fixation/washing stages, along with the elimination of printing-stage effluents. Overall, design-integrated coloration via Mini-Jacquard is technically feasible and potentially eco-efficient for Pima-cotton value chains, with applications in apparel, accessories, and functional textiles. Full article
Show Figures

Figure 1

14 pages, 1594 KB  
Article
Improvement of Cottonseed Oil and Fatty Acids Through Introgression Breeding in Upland Cotton
by Savyata Kandel, Francisco Omar Holguin, Claudia Galvan, Yi Zhu, Jane Dever, Carol Kelly, Derek Whitelock and Jinfa Zhang
Plants 2025, 14(19), 3078; https://doi.org/10.3390/plants14193078 - 5 Oct 2025
Cited by 1 | Viewed by 2620
Abstract
Upland cotton is an important fiber and oilseed crop. Cottonseed produces approximately 15% of farm gate value in cotton production. Therefore, improvement of cottonseed oil can significantly increase the economic return of cotton production with the same land use and investment. However, genetic [...] Read more.
Upland cotton is an important fiber and oilseed crop. Cottonseed produces approximately 15% of farm gate value in cotton production. Therefore, improvement of cottonseed oil can significantly increase the economic return of cotton production with the same land use and investment. However, genetic variation in cottonseed oil is highly limited within upland cotton, limiting the genetic gain in cottonseed oil. Introgression breeding can alleviate this bottleneck effect by introducing desirable genes from Pima to Upland cotton. The objective of this study was to evaluate introgression lines (ILs) for better cottonseed oil. A population of 590 ILs, developed from a cross between Acala 1517-99 and Pima, was grown in Las Cruces, NM in 2022 which was used for the fatty acid methyl ester analysis through gas chromatography. There was a high level of variation in cottonseed oil and fatty acids. In the biplot, cottonseed oil was positively correlated with oleic acid and negatively related with palmitic acid. The cluster analysis identified a group of ILs with the highest average oil and oleic acid. As a result, ILs with better oil profiles were identified for further testing and analysis toward the development of high-quality cotton varieties with higher and better oil. Full article
Show Figures

Figure 1

14 pages, 2135 KB  
Article
Casparian Strip Fortification as a Defense Mechanism to Fusarium oxysporum f. sp. vasinfectum Race 4 Infection in a Highly Resistant Gossypium barbadense Cultivar
by Stephen Parris, Sonika Kumar, Zhigang Li, Jim Olvey, Mike Olvey, Don C. Jones and Christopher A. Saski
Genes 2025, 16(10), 1158; https://doi.org/10.3390/genes16101158 - 29 Sep 2025
Viewed by 789
Abstract
Background/Objectives: Fusarium wilt of cotton, caused by Fusarium oxysporum f. sp. vasinfectum (FOV), is a destructive vascular disease that severely impacts cotton production. Among its variants, race 4 (FOV4) is especially aggressive, leading to early season stand losses and yield reductions. While resistant [...] Read more.
Background/Objectives: Fusarium wilt of cotton, caused by Fusarium oxysporum f. sp. vasinfectum (FOV), is a destructive vascular disease that severely impacts cotton production. Among its variants, race 4 (FOV4) is especially aggressive, leading to early season stand losses and yield reductions. While resistant cultivars of Gossypium barbadense (pima cotton) have been developed, the molecular basis of this resistance remains unclear. This study aimed to characterize transcriptomic responses associated with FOV4 resistance in pima cotton. Methods: We conducted an in vitro infection assay using two G. barbadense cultivars with contrasting phenotypes: the highly resistant ‘DP348RF’ and the highly susceptible ‘GB1031’. Root tissues were sampled at multiple stages of infection, and RNA sequencing was performed to identify differentially expressed genes and pathways contributing to resistance. Results: Resistant plants ‘DP348RF’ showed strong induction of genes related to reactive oxygen species (ROS) metabolism, chitinase activity, and lignification compared to the susceptible cultivar. Notably, genes involved in the biosynthesis and reinforcement of the Casparian strip, a critical biochemical barrier limiting pathogen penetration into vascular tissues, were uniquely and significantly upregulated in resistant roots. These transcriptional responses suggest that fortification of cell wall barriers and enhanced antimicrobial defenses contribute to effective restriction of FOV4 colonization. Conclusions: Our findings identify a distinct molecular signature of resistance to FOV4 in pima cotton, with Casparian strip reinforcement emerging as a potential mechanism limiting vascular infection. These insights provide a foundation for breeding strategies aimed at improving Fusarium wilt resistance in cotton. Full article
Show Figures

Figure 1

12 pages, 1183 KB  
Article
Cotton Fiber Strength Measurement and Its Relation to Structural Properties from Fourier Transform Infrared Spectroscopic Characterization
by Yongliang Liu
Textiles 2024, 4(1), 126-137; https://doi.org/10.3390/textiles4010009 - 19 Mar 2024
Cited by 1 | Viewed by 3110
Abstract
There has been an interest in understanding the relationship between textile cotton fiber strength (or tenacity) and structure for better fiber quality measurement and enhancement. This study utilized coupled Stelometer and high volume instrument (HVI) measurements with attenuated total reflection Fourier transform infrared [...] Read more.
There has been an interest in understanding the relationship between textile cotton fiber strength (or tenacity) and structure for better fiber quality measurement and enhancement. This study utilized coupled Stelometer and high volume instrument (HVI) measurements with attenuated total reflection Fourier transform infrared spectroscopy methods to relate fiber strength and associated properties (Stelometer elongation and HVI micronaire) with structure properties on six Upland (as A, B, C, D, E, and F) and one Pima cultivar. Although Stelometer tenacity agreed with HVI strength in general, the Upland D cultivar (immature) was observed to show the lowest HVI strength value, while the Upland F cultivar (larger infrared crystallinity index) was found to possess the smallest Stelometer tenacity value. A few strong and significant correlations were noted, for example, between infrared crystallinity and Stelometer elongation for the Upland A fibers, between infrared maturity and Stelometer tenacity for the Upland C fibers, and between infrared maturity and HVI strength for the Upland D fibers. Furthermore, there were apparent distinctions in regressions and statistics of examined correlations between each Upland cultivar and their combined fiber set, addressing the challenge of understanding the unique response between fiber physical and structure properties from different measurements even within one cotton cultivar. Full article
Show Figures

Graphical abstract

22 pages, 10398 KB  
Article
Modeling and Optimization of High-Capacity Experimental Reclaimers to Minimize the Seed and Lint Loss during Roller Ginning of Upland and Pima Cotton
by Jaya Shankar Tumuluru, Carlos B. Armijo, Derek P. Whitelock and Paul A. Funk
Processes 2023, 11(10), 2868; https://doi.org/10.3390/pr11102868 - 29 Sep 2023
Cited by 3 | Viewed by 2020
Abstract
In the present study, two high-capacity experimental roller gin reclaimers, (a) a modified 3-saw cylinder stick machine (three-saw) and (b) a modified 2-saw cylinder gin stand feeder (700), were optimized with respect to reclaimer saw cylinder speed and carryover/seed ratio to minimize the [...] Read more.
In the present study, two high-capacity experimental roller gin reclaimers, (a) a modified 3-saw cylinder stick machine (three-saw) and (b) a modified 2-saw cylinder gin stand feeder (700), were optimized with respect to reclaimer saw cylinder speed and carryover/seed ratio to minimize the seed and lint loss for both Pima and Upland cotton varieties and were compared to a conventional roller gin reclaimer operated by the ginning industry under standard conditions. Developed regression models adequately described the seed and lint loss phenomena during the reclaiming process. Surface plots indicated that the reclaimer saw cylinder speed and carryover/seed ratio impacted the seed and lint loss for both the 3-saw and 700 reclaimers. Under optimized conditions, the 700 reclaimer resulted in lower lint and seed loss compared to the 3-saw reclaimer when using Upland cotton. In the case of Pima cotton, under optimized conditions, the 3-saw reclaimer had 38% lower lint loss and 24% higher seed loss compared to the 700 reclaimer. The regression equations of both 3-saw and 700 reclaimers were further used to optimize the reclaimers in parallel arrangement to minimize the seed and lint loss. With Upland cotton, the economic loss was about 2.5 times greater with the conventional reclaimer compared to the 3-saw and 700 reclaimers ($15.97/bale loss for the conventional, $8.63 for the 3-saw, and $6.44 for the 700 reclaimers). With Pima cotton, the conventional reclaimer resulted in a lower economic loss ($3.44/bale) compared to the 700 reclaimer which had a loss of about $3.59/bale. Full article
(This article belongs to the Special Issue Industrial Applications of Modeling Tools)
Show Figures

Graphical abstract

24 pages, 3777 KB  
Article
Domestication over Speciation in Allopolyploid Cotton Species: A Stronger Transcriptomic Pull
by Josef J. Jareczek, Corrinne E. Grover, Guanjing Hu, Xianpeng Xiong, Mark A. Arick II, Daniel G. Peterson and Jonathan F. Wendel
Genes 2023, 14(6), 1301; https://doi.org/10.3390/genes14061301 - 20 Jun 2023
Cited by 8 | Viewed by 3852
Abstract
Cotton has been domesticated independently four times for its fiber, but the genomic targets of selection during each domestication event are mostly unknown. Comparative analysis of the transcriptome during cotton fiber development in wild and cultivated materials holds promise for revealing how independent [...] Read more.
Cotton has been domesticated independently four times for its fiber, but the genomic targets of selection during each domestication event are mostly unknown. Comparative analysis of the transcriptome during cotton fiber development in wild and cultivated materials holds promise for revealing how independent domestications led to the superficially similar modern cotton fiber phenotype in upland (G. hirsutum) and Pima (G. barbadense) cotton cultivars. Here we examined the fiber transcriptomes of both wild and domesticated G. hirsutum and G. barbadense to compare the effects of speciation versus domestication, performing differential gene expression analysis and coexpression network analysis at four developmental timepoints (5, 10, 15, or 20 days after flowering) spanning primary and secondary wall synthesis. These analyses revealed extensive differential expression between species, timepoints, domestication states, and particularly the intersection of domestication and species. Differential expression was higher when comparing domesticated accessions of the two species than between the wild, indicating that domestication had a greater impact on the transcriptome than speciation. Network analysis showed significant interspecific differences in coexpression network topology, module membership, and connectivity. Despite these differences, some modules or module functions were subject to parallel domestication in both species. Taken together, these results indicate that independent domestication led G. hirsutum and G. barbadense down unique pathways but that it also leveraged similar modules of coexpression to arrive at similar domesticated phenotypes. Full article
(This article belongs to the Special Issue Cotton Genes, Genetics, and Genomics)
Show Figures

Figure 1

9 pages, 1801 KB  
Communication
Traditional Fabric and Medicinal Use Are the Leading Factors of In Situ Conservation of Gossypium barbadense in Central Brazil
by Kálita Cristina Moreira Cardoso, Guilherme Hoffmann Barroso, Fabio Oliveira Freitas, Ivandilson Pessoa Pinto de Menezes, Catarina Fernandes Silva, Nair Helena Castro Arriel, Valdinei Sofiatti and Lucia Vieira Hoffmann
Sustainability 2023, 15(5), 4552; https://doi.org/10.3390/su15054552 - 3 Mar 2023
Cited by 6 | Viewed by 2873
Abstract
The Sea Island cotton Gossypium barbadense has been present in Brazil for at least 750 years. Cultivated worldwide, the fibres present superior quality; therefore, farmers’ seeds are an important genetic resource and in situ maintenance is essential to complement ex situ conservation. To [...] Read more.
The Sea Island cotton Gossypium barbadense has been present in Brazil for at least 750 years. Cultivated worldwide, the fibres present superior quality; therefore, farmers’ seeds are an important genetic resource and in situ maintenance is essential to complement ex situ conservation. To understand how the species has been conserved in situ and investigate the socio-economic aspects which may ensure the continuity of its conservation, we conducted expeditions to three different municipalities situated in Brazilian Cerrado, Goiás state, Brazil—one of which is a traditional community, the quilombo Kalunga community—interviewed plant maintainers and compared our results with data from the Brazilian Institute of Geography and Statistics. There is hand spinning and hand weaving for home uses and commercialization within and outside the traditional community, which contribute to the continuity of the in situ conservation of Gossypium barbadense. Medicinal use is more determinant than hand weaving in deciding to keep plants and seeds. Fabric handicraft is a predominantly female, low-income activity. Interviews with cotton hand spinners indicated that in situ maintenance may be favoured by access to weaving looms and improvement in the marketing and sale of their products. Policies valuing handicrafts can ensure the continuity of biodiversity and disseminate and vivify traditions in addition to maintaining an income for the artisans. Full article
(This article belongs to the Section Sustainable Agriculture)
Show Figures

Figure 1

8 pages, 827 KB  
Article
Quantitative Trait Locus Mapping for Fusarium Wilt Race 4 Resistance in a Recombinant Inbred Line Population of Pima Cotton (Gossypium Barbadense)
by Abdelraheem Abdelraheem, Yi Zhu and Jinfa Zhang
Pathogens 2022, 11(10), 1143; https://doi.org/10.3390/pathogens11101143 - 3 Oct 2022
Cited by 13 | Viewed by 2838
Abstract
Fusarium oxysporum f. sp. vasinfectum (FOV) race 4 (FOV4) causes seedling death immediately after emergence, in addition to leaf chlorosis and necrosis, vascular discoloration, plant wilting, defoliation, and plant death at late stages. Breeding for FOV4 resistance is the most cost effective management [...] Read more.
Fusarium oxysporum f. sp. vasinfectum (FOV) race 4 (FOV4) causes seedling death immediately after emergence, in addition to leaf chlorosis and necrosis, vascular discoloration, plant wilting, defoliation, and plant death at late stages. Breeding for FOV4 resistance is the most cost effective management method. In this study, 163 recombinant inbred lines (RILs) of FOV4-resistant Pima S-6 × susceptible 89590, together with the two parents (Gossypium barbadense), were artificially inoculated with FOV4 and assayed for resistance based on foliar disease severity ratings (DSR) at 30 days post inoculation (dpi) in two replicated tests in the greenhouse or controlled conditions. Significant genotypic variations were detected for FOV4 resistance in a combined analysis of variance. Although a significant genotype × test interaction was detected for DSR, the 10 most resistant RILs had significantly and consistently lower DSR than the susceptible parent in both tests. The heritability estimate for DSR was 0.65, indicating that two-thirds of the phenotypic variation for FOV4 resistance in this Pima RIL population was due to genetic factors. Based on 404 polymorphic SSR markers, five and four quantitative trait loci (QTL) on six chromosomes (c14, c17, c19, c21, c24, and c25) were detected in Tests 1 and 2, respectively, and each explained 15 to 29% of the phenotypic variation. Three QTL on c17, c24, and c25 were in common between the two tests, accounting for 60% and 75% of the QTL detected in Tests 1 and 2, respectively. The three QTL were also reported in previous studies and will be useful for marker-assisted selection for FOV4 resistance in Pima cotton. Full article
(This article belongs to the Special Issue Current Research on Fusarium)
Show Figures

Figure 1

40 pages, 36344 KB  
Article
Features of Chromosome Introgression from Gossypium barbadense L. into G. hirsutum L. during the Development of Alien Substitution Lines
by Marina Feliksovna Sanamyan, Shukhrat Umarovich Bobohujayev, Sharoffidin Sayfiddinovich Abdukarimov, Abdusalom Khasanboyevich Makamov and Olga Gennadevna Silkova
Plants 2022, 11(4), 542; https://doi.org/10.3390/plants11040542 - 18 Feb 2022
Cited by 9 | Viewed by 4850
Abstract
The creation of G. barbadense L./G. hirsutum L. chromosome-substitution lines is an important method to transfer agronomically valuable traits from G. barbadense into G. hirsutum. In this study, 30 monosomic lines of G. hirsutum from the Cytogenetic Collection of Uzbekistan, created [...] Read more.
The creation of G. barbadense L./G. hirsutum L. chromosome-substitution lines is an important method to transfer agronomically valuable traits from G. barbadense into G. hirsutum. In this study, 30 monosomic lines of G. hirsutum from the Cytogenetic Collection of Uzbekistan, created in the genotypic background of line L-458, were used in crosses with the G. barbadense line Pima 3-79 to create substitution lines. In the course of this work, new monosomic lines were identified for chromosome 12 and monotelodisome 6 of the Atsubgenome and for chromosomes 17, 21, and 22 of the Dtsubgenome using chromosome-specific SSR markers and a well-defined tester set of cotton translocation lines (USA). Compared to those in the F1 hybrids, a strong decrease in the crossing and setting rates was found in the BC1F1 backcross lines, with the substitution of chromosomes 2, 4, 6, 7, and 12 of the Atsubgenome and 17, 18, 21, and 22 of the Dtsubgenome. The F1 and BC1F1 offspring from interspecific crosses differed in their transmission of univalents. Despite the regular pairing of chromosomes and the high meiotic index, interspecific aneuploid hybrids were characterized by a decrease in pollen fertility, which may indicate hidden structural variability in these genomes that did not affect meiotic division. The identification of chromosomes using chromosome-specific SSR markers in the early stages of plant development has greatly accelerated the detection of monosomic plants. The analysis of morphobiological traits revealed that monosomic F1 hybrids were more similar to the donor line, while BC1F1 hybrids were more similar to the recurrent parent but also showed previously undetected traits. Full article
Show Figures

Figure 1

9 pages, 1125 KB  
Communication
Uncovering the Host Range for Maize Pathogen Magnaporthiopsis maydis
by Shlomit Dor and Ofir Degani
Plants 2019, 8(8), 259; https://doi.org/10.3390/plants8080259 - 30 Jul 2019
Cited by 26 | Viewed by 4349
Abstract
The fungus Magnaporthiopsis maydis is a soil-borne, seed-borne vascular wilt pathogen that causes severe damage to sensitive Zea mays L. (maize) hybrids throughout Egypt, Israel, India, Spain, and other countries. It can undergo virulence variations and survive as spores, sclerotia, or mycelia on [...] Read more.
The fungus Magnaporthiopsis maydis is a soil-borne, seed-borne vascular wilt pathogen that causes severe damage to sensitive Zea mays L. (maize) hybrids throughout Egypt, Israel, India, Spain, and other countries. It can undergo virulence variations and survive as spores, sclerotia, or mycelia on plant residues. Maize, Lupinus termis L. (lupine) and Gossypium hirsutum L. (cotton) are the only known hosts of M. maydis. Identification of new plant hosts that can assist in the survival of the pathogen is an essential step in restricting disease outbreak and spread. Here, by field survey and growth chamber pathogenicity test, accompanied by real-time PCR analysis, the presence of the fungal DNA inside the roots of cotton (Pima cv.) plants was confirmed in infested soil. Moreover, we identified M. maydis in Setaria viridis (green foxtail) and Citrullus lanatus (watermelon, Malali cv.). Infected watermelon sprouts had delayed emergence and development, were shorter, and had reduced root and shoot biomass. M. maydis infection also affected root biomass and phenological development of cotton plants but caused only mild symptoms in green foxtail. No M. maydis DNA was detected in Hordeum vulgare (barley, Noga cv.) and the plants showed no disease symptoms except for reduced shoot weight. These findings are an important step towards uncovering the host range and endophytic behavior of M. maydis, encouraging expanding this evaluation to other plant species. Full article
(This article belongs to the Special Issue Detection and Diagnostics of Fungal and Oomycete Plant Pathogens)
Show Figures

Figure 1

24 pages, 2156 KB  
Article
Comparative Transcriptomic Analysis of Biological Process and Key Pathway in Three Cotton (Gossypium spp.) Species Under Drought Stress
by Md Mosfeq-Ul Hasan, Fanglu Ma, Faisal Islam, Muhammad Sajid, Zakaria H. Prodhan, Feng Li, Hao Shen, Yadong Chen and Xuede Wang
Int. J. Mol. Sci. 2019, 20(9), 2076; https://doi.org/10.3390/ijms20092076 - 27 Apr 2019
Cited by 30 | Viewed by 5969
Abstract
Drought is one of the most important abiotic stresses that seriously affects cotton growth, development, and production worldwide. However, the molecular mechanism, key pathway, and responsible genes for drought tolerance incotton have not been stated clearly. In this research, high-throughput next generation sequencing [...] Read more.
Drought is one of the most important abiotic stresses that seriously affects cotton growth, development, and production worldwide. However, the molecular mechanism, key pathway, and responsible genes for drought tolerance incotton have not been stated clearly. In this research, high-throughput next generation sequencing technique was utilized to investigate gene expression profiles of three cotton species (Gossypium hirsutum, Gossypium arboreum, and Gossypium barbadense L.) under drought stress. A total of 6968 differentially expressed genes (DEGs) were identified, where 2053, 742, and 4173 genes were tested as statistically significant; 648, 320, and 1998 genes were up-regulated, and 1405, 422, and 2175 were down-regulated in TM-1, Zhongmian-16, and Pima4-S, respectively. Total DEGs were annotated and classified into functional groups under gene ontology analysis. The biological process was present only in tolerant species(TM-1), indicating drought tolerance condition. The Kyoto encyclopedia of genes and genomes showed the involvement of plant hormone signal transduction and metabolic pathways enrichment under drought stress. Several transcription factors associated with ethylene-responsive genes (ICE1, MYB44, FAMA, etc.) were identified as playing key roles in acclimatizing to drought stress. Drought also caused significant changes in the expression of certain functional genes linked to abscisic acid (ABA) responses (NCED, PYL, PP2C, and SRK2E), reactive oxygen species (ROS) related in small heat shock protein and 18.1 kDa I heat shock protein, YLS3, and ODORANT1 genes. These results will provide deeper insights into the molecular mechanisms of drought stress adaptation in cotton. Full article
(This article belongs to the Section Molecular Plant Sciences)
Show Figures

Figure 1

23 pages, 3436 KB  
Article
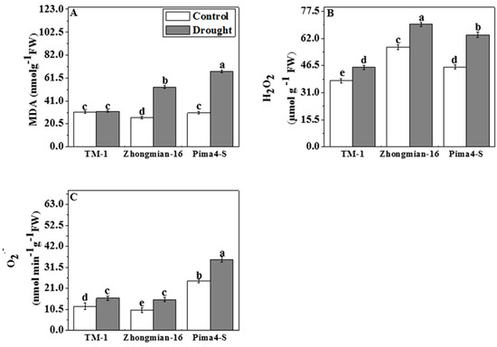
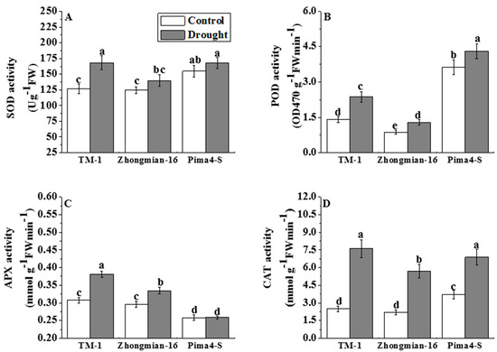
Molecular and Physio-Biochemical Characterization of Cotton Species for Assessing Drought Stress Tolerance
by Md Mosfeq-Ul Hasan, Fanglu Ma, Zakaria Hossain Prodhan, Feng Li, Hao Shen, Yadong Chen and Xuede Wang
Int. J. Mol. Sci. 2018, 19(9), 2636; https://doi.org/10.3390/ijms19092636 - 6 Sep 2018
Cited by 51 | Viewed by 8073
Abstract
Drought stress significantly limits cotton growth and production due to the necessity of water at every stage of crop growth. Hence, it is essential to identify tolerant genetic resources and understand the mechanisms of drought tolerance in economically and socially important plants such [...] Read more.
Drought stress significantly limits cotton growth and production due to the necessity of water at every stage of crop growth. Hence, it is essential to identify tolerant genetic resources and understand the mechanisms of drought tolerance in economically and socially important plants such as cotton. In this study, molecular and physio-biochemical investigations were conducted by analyzing different parameters by following standard protocols in three different cotton species, namely TM-1 (Gossypium hirsutum), Zhongmian-16 (Gossypium arboreum), and Pima4-S (Gossypium barbadense). Drought stress significantly decreased plant growth, chlorophyll content, net photosynthetic rate (Pn), stomatal conductance (Gs), maximum photochemical efficiency of PSII (Fv/Fm), and relative water content. TM-1 resulted in more tolerance than the other two species. The accumulation of proline, soluble proteins, soluble sugars, hydrogen peroxide (H2O2), and superoxide radicals (O2) increased significantly in TM-1. In addition, TM-1 maintained the integrity of the chloroplast structure under drought conditions. The relative expression level of drought-responsive genes including coding for transcription factors and other regulatory proteins or enzymes controlling genes (ERF, ERFB, DREB, WRKY6, ZFP1, FeSOD, CuZnSOD, MAPKKK17, P5CR, and PRP5) were higher in TM-1 under drought, conferring a more tolerant status than in Zhongmian-16 and Pima4-S. The findings of this research could be utilized for predicting a tolerant cotton genotype as well as evaluating prospective cotton species in the variety development program. Full article
(This article belongs to the Section Molecular Plant Sciences)
Show Figures

Figure 1

Back to TopTop