Sign in to use this feature.

Years

Between: -

Subjects

remove_circle_outline
remove_circle_outline
remove_circle_outline
remove_circle_outline
remove_circle_outline
remove_circle_outline
remove_circle_outline
remove_circle_outline
remove_circle_outline

Journals

Article Types

Countries / Regions

Search Results (138)

Search Parameters:
Keywords = Physical Domain Reconstruction

Order results
Result details
Results per page
Select all
Export citation of selected articles as:
30 pages, 3637 KB  
Article
A Hybrid-Dimensional Iterative Coupled Modeling of Lubrication Flow in Deformable Geological Media with Discrete Fracture Networks
by Yue Xu, Tao You and Qizhi Zhu
Materials 2026, 19(7), 1444; https://doi.org/10.3390/ma19071444 - 4 Apr 2026
Viewed by 246
Abstract
Fluid-driven fracture processes are central to the development of subsurface energy systems such as geothermal and hydrocarbon reservoirs. Although phase-field formulations have become a widely used tool for describing fracture initiation and growth, the diffuse representation of cracks makes it difficult to resolve [...] Read more.
Fluid-driven fracture processes are central to the development of subsurface energy systems such as geothermal and hydrocarbon reservoirs. Although phase-field formulations have become a widely used tool for describing fracture initiation and growth, the diffuse representation of cracks makes it difficult to resolve flow behavior accurately inside discrete fracture networks (DFNs) and to represent hydro-mechanical coupling in a sharp-interface sense. This study develops a hybrid-dimensional iterative framework for lubrication-flow simulation in deformable fractured geomaterials. By leveraging phase-field point clouds together with non-conforming discretization schemes for both the solid matrix and fracture domains, the proposed framework enables the dynamic reconstruction of evolving fracture networks. The theoretical formulation and numerical implementation of the coupling strategy are presented in detail. Hydraulic benchmark examples verify the performance of the fluid flow solver under various physical conditions. The classical Sneddon problem and Khristianovic–Geertsma–de Klerk (KGD) model are employed to validate the solid deformation solver, confirming accurate predictions of crack opening displacement and mesh independence in fracture width calculation. Additional simulations with complex pre-existing fracture patterns further demonstrate the applicability of the framework to coupled hydro-mechanical analysis in fractured media. Full article
Show Figures

Graphical abstract

41 pages, 25740 KB  
Article
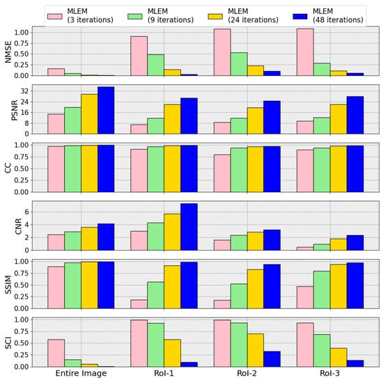
Standardized Images and Evaluation Metrics for Tomography
by Anna Frixou, Theodoros Leontiou, Efstathios Stiliaris and Costas N. Papanicolas
Tomography 2026, 12(4), 49; https://doi.org/10.3390/tomography12040049 - 1 Apr 2026
Viewed by 222
Abstract
Background/Objectives: Modern tomographic reconstruction methods—including physics-informed and AI-based approaches—can produce very high fidelity images. In this regime, widely used global image quality metrics often approach saturation, making it harder to distinguish residual differences between methods and identify remaining performance gaps. This study introduces [...] Read more.
Background/Objectives: Modern tomographic reconstruction methods—including physics-informed and AI-based approaches—can produce very high fidelity images. In this regime, widely used global image quality metrics often approach saturation, making it harder to distinguish residual differences between methods and identify remaining performance gaps. This study introduces a physically grounded and standardized evaluation framework designed to retain sensitivity beyond conventional global metrics and support both comparison and systematic improvement in tomographic reconstruction methods. Methods: The proposed framework defines standardized reference images—“Source”, “Detector”, “Ideal”, and “Realistic”—using Monte Carlo simulations, with the Ideal Image serving as a physically grounded benchmark. Reconstruction performance is evaluated using pixel-wise difference and χ2 maps, Region-of-Interest analysis, intensity (gray-value) histogram comparisons, and the Structure and Contrast Index (SCI), computed on difference maps. Demonstrations use simulated SPECT data reconstructed with ART, MLEM, and RISE-1. Results: Across case studies, SCI and χ2-based diagnostics reveal structured residuals and localized deficiencies not evident from global similarity metrics such as SSIM or NMSE. Comparative analyses show that methods with similar global scores can exhibit distinct residual structures and region-specific performance variations, while improved agreement in the sinogram domain does not necessarily translate into improved image fidelity. Histogram-based diagnostics provide complementary information on intensity redistribution not captured by pixel-domain summaries. Conclusions: The framework provides a reproducible, physically meaningful, and sensitive approach for evaluating tomographic reconstruction performance in the high-fidelity regime. By combining standardized reference images with multi-domain and multi-metric analysis, it enables robust benchmarking and supports physically consistent interpretation of reconstruction quality. Full article
Show Figures

Figure 1

21 pages, 3485 KB  
Article
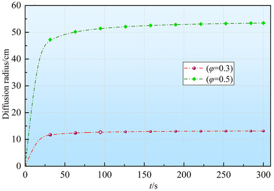
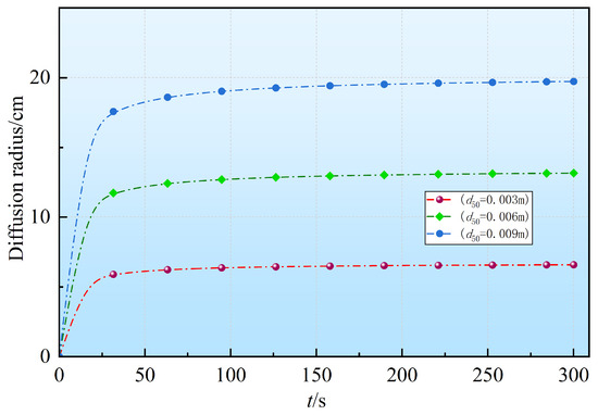
Coupling of Characteristic Particle Size of Rock and Soil Mass with Slurry Diffusion Path: Penetration Grouting Mechanism of Bingham Cement Grout
by Jiaxuan Lu and Zhiquan Yang
Eng 2026, 7(4), 160; https://doi.org/10.3390/eng7040160 - 1 Apr 2026
Viewed by 212
Abstract
The coupling between the key parameters of rock and soil particle composition and slurry diffusion paths exerts a significant influence on actual grouting effectiveness. Based on the spherical penetration grouting model for Bingham cement grout, this study optimizes the fractal permeability model by [...] Read more.
The coupling between the key parameters of rock and soil particle composition and slurry diffusion paths exerts a significant influence on actual grouting effectiveness. Based on the spherical penetration grouting model for Bingham cement grout, this study optimizes the fractal permeability model by coupling the characteristic particle size, porosity, and tortuosity, overcoming the deficiency of single-factor porosity consideration in existing permeability models. Unlike existing studies that only use experimentally measured permeability coefficients, this study employs a physically meaningful permeability model that realizes the synergistic coupling of soil particle composition, pore microstructure, and macroscopic permeability, and further establishes a penetration grouting mechanism that integrates the actual slurry diffusion path tortuosity into the classical spherical diffusion framework. A novel high-precision volume measurement method for grouting stone bodies based on point cloud 3D reconstruction is proposed, and a COMSOL-based visual numerical simulation program is developed by embedding the above coupling permeability model. The accuracy of the optimized mechanism is verified by a combination of model tests, numerical simulations, and theoretical analysis, which makes up for the existing grouting mechanism for loose gravelly soil failing to consider the synergistic influence of rock–soil particle composition parameters and the actual diffusion path. The research results indicate the following: (1) Adopting loose gravelly soil—which is more consistent with actual field conditions—as the grouted medium can effectively predict the reinforcement effect of heterogeneous media in grouting engineering. (2) Compared with theoretical values calculated by mechanisms that ignore the effect of the diffusion paths, those derived from the grouting mechanism that couples the rock and soil characteristic particle size with the Bingham cement grout diffusion path are closer to the experimental values. (3) The visual simulation results exhibit high morphological consistency with the actual grouting stone bodies, and the vast majority of the grout diffusion range falls within the numerical simulation domain. The findings of this study provide targeted theoretical and technical guidance for grouting design under complex geological conditions of loose gravelly soil layers. Full article
(This article belongs to the Section Chemical, Civil and Environmental Engineering)
Show Figures

Figure 1

24 pages, 16213 KB  
Article
Monitoring Remote Archaeological Sites Through Open-Access Satellite Datasets Against Natural Hazards—Case Study: Delos
by Ana Sofia Duțu, Vlad Florin Osztrovszky, Kyriakos Michaelides and Athos Agapiou
Heritage 2026, 9(4), 143; https://doi.org/10.3390/heritage9040143 - 31 Mar 2026
Viewed by 242
Abstract
This research presents a comprehensive multi-domain environmental assessment of Delos Island, a UNESCO World Heritage Site, through integration of long-term atmospheric and satellite remote sensing datasets. A significant methodological contribution of this research is the development of a cross-mission harmonization approach that enables [...] Read more.
This research presents a comprehensive multi-domain environmental assessment of Delos Island, a UNESCO World Heritage Site, through integration of long-term atmospheric and satellite remote sensing datasets. A significant methodological contribution of this research is the development of a cross-mission harmonization approach that enables the reconstruction of a continuous, multi-decadal atmospheric record. By implementing a hierarchical calibration pipeline to harmonise Ozone Monitoring Instrument (OMI) and Tropospheric Monitoring Instrument (TROPOMI) observations, the study effectively eliminated a 6.61-fold systematic instrument offset, producing a 21-year time series (2004–2025) of tropospheric NO2 concentrations. Simultaneously, a 24-year analysis (2000–2024) of coastline dynamics was conducted using the Landsat archive to quantify land area changes across the island and within a 1.03 km2 Archaeological Area of Interest (AOI). Results indicate that atmospheric NO2 concentrations stabilised following a 2015 peak, while coastal erosion represents a measurable risk to structural integrity. Net land loss of 18,400 m2 was documented within the AOI, driven by localised geomorphological factors and exposure to Meltemi winds. The results indicate that these environmental processes are physically independent yet collectively require a multilayered conservation strategy to protect vulnerable archaeological heritage from atmospheric pollution and coastal retreat. Furthermore, the research highlights the value of long-term satellite datasets spanning more than two decades for supporting heritage monitoring and management, especially in remote or hard-to-reach locations. Through the analysis of the spatial and temporal characteristics of these sensors, the research enables the identification of hazard proxies that can inform risk-aware decision-making. Full article
Show Figures

Figure 1

24 pages, 3376 KB  
Article
EMDiC: Physics-Informed Conditional Diffusion Denoising for Frequency-Domain Electromagnetic Signals
by Zhenlin Du, Miaomiao Gao, Zhijie Qu and Xiaojuan Zhang
Appl. Sci. 2026, 16(7), 3249; https://doi.org/10.3390/app16073249 - 27 Mar 2026
Viewed by 277
Abstract
Frequency-domain electromagnetic (FDEM) measurements for shallow subsurface exploration are frequently corrupted by noise, which masks weak secondary-field responses and degrades interpretation. We propose an electromagnetic diffusion CNN (EMDiC) for 1D multi-frequency FDEM denoising, where denoising is formulated as conditional diffusion-based generation. EMDiC combines [...] Read more.
Frequency-domain electromagnetic (FDEM) measurements for shallow subsurface exploration are frequently corrupted by noise, which masks weak secondary-field responses and degrades interpretation. We propose an electromagnetic diffusion CNN (EMDiC) for 1D multi-frequency FDEM denoising, where denoising is formulated as conditional diffusion-based generation. EMDiC combines an analytic frequency–spatial encoder, a Feature-wise Linear Modulation (FiLM)-conditioned convolutional hourglass backbone, and a physics-informed composite loss built on velocity loss to improve waveform reconstruction under severe noise. A reproducible synthetic dataset is constructed through layered-earth forward modeling with concentric Transmitter–Receiver (TX–RX) geometry, multiple target categories, and mixed noise waveforms. On synthetic benchmarks covering multiple noise levels and material types, EMDiC achieves the best overall performance in Root Mean Square Error (RMSE), Signal-to-Noise Ratio (SNR), and Normalized cross-correlation (NCC) among 1D U-Net, diffusion-based variants, and representative neural baselines, with the clearest gains under medium-to-strong noise and for targets with pronounced induction responses. Ablation experiments verify the complementary contributions of electromagnetic positional encoding (EMPE), FiLM conditioning, and the composite loss. Field data validation with a self-developed GEM-3 system further shows that EMDiC improves cross-frequency coherence and suppresses oscillations while preserving the main response characteristics. Full article
Show Figures

Figure 1

23 pages, 3226 KB  
Article
A Detection and Recognition Method for Interference Signals Based on Radio Frequency Fingerprint Characteristics
by Yang Guo and Yuan Gao
Electronics 2026, 15(7), 1393; https://doi.org/10.3390/electronics15071393 - 27 Mar 2026
Viewed by 271
Abstract
With the advancement of 5G and the Internet of Things (IoT), traditional upper-layer authentication mechanisms are vulnerable to attacks, while quantum computing threatens cryptographic security. Radio frequency fingerprint identification (RFFI) offers a physical-layer solution by exploiting inherent hardware imperfections. However, in complex electromagnetic [...] Read more.
With the advancement of 5G and the Internet of Things (IoT), traditional upper-layer authentication mechanisms are vulnerable to attacks, while quantum computing threatens cryptographic security. Radio frequency fingerprint identification (RFFI) offers a physical-layer solution by exploiting inherent hardware imperfections. However, in complex electromagnetic environments, narrowband and especially agile interference (characterized by low power and narrow bandwidth) can severely distort fingerprint features, rendering conventional detection algorithms ineffective. To address this challenge, this paper proposes a novel interference detection framework tailored for Orthogonal Frequency Division Multiplexing (OFDM) systems. First, a signal transmission model incorporating non-ideal hardware characteristics (e.g., DC offset, I/Q imbalance) is established. Based on this model, we design an agile interference detection algorithm comprising two key components: (1) a time-series anomaly detection method that fuses multi-domain expert features (fractal, complexity, and high-order statistics) with machine learning, demonstrating superior performance over the traditional CME algorithm under narrowband interference, and (2) a progressive search segmental detection algorithm that, combined with reconstruction error features extracted by an autoencoder, effectively identifies low-power agile interference by appropriately trading-off computation time for detection sensitivity. Finally, an OFDM simulation platform is developed to validate the proposed methods. The results show that the segmental detection algorithm achieves reliable detection at a jammer-to-signal ratio (JSR) as low as −10 dB, significantly outperforming existing approaches and enhancing the robustness of RFFI in challenging interference environments. Full article
Show Figures

Figure 1

24 pages, 3072 KB  
Article
Physics-Informed Neural Network for Parameter Inference in a Tumor Model
by Lilla Kisbenedek, Levente Kovács and Dániel András Drexler
Mathematics 2026, 14(7), 1102; https://doi.org/10.3390/math14071102 - 25 Mar 2026
Viewed by 457
Abstract
Mechanistic tumor growth models are widely used to describe disease progression and treatment response, but their utility depends on accurate estimation of parameters governing the underlying biological processes. In this study, we employ a Physics-Informed Neural Network (PINN) to estimate the parameters of [...] Read more.
Mechanistic tumor growth models are widely used to describe disease progression and treatment response, but their utility depends on accurate estimation of parameters governing the underlying biological processes. In this study, we employ a Physics-Informed Neural Network (PINN) to estimate the parameters of a tumor growth model that captures both tumor dynamics and drug effects. We introduce a piecewise PINN that splits the time domain at dosing events to handle non-smooth dose-driven dynamics, and we incorporate drug injection by representing the pharmacokinetic subsystem analytically via an impulse-response function. The approach is evaluated on synthetic tumor-volume trajectories generated from known parameter sets and dosing schedules from an experimental cohort of 54 mice. Across the cohort, the PINN accurately reconstructs total tumor volume and robustly estimates the tumor proliferation rate a, with inferred values closely aligned with the true values (R2=0.841). The framework was also able to estimate the drug killing effect parameter b. This consistency is further supported by forward ODE simulations using the PINN-estimated parameters. Within the evaluated setting, performance depended on the model structure, parameter identifiability, and training configuration, underscoring the need for careful loss weighting and further validation. Overall, the results demonstrate the feasibility of piecewise PINNs for parameter inference in tumor growth models and support their further study in realistic therapeutic settings. Full article
(This article belongs to the Special Issue Modeling, Identification and Control of Biological Systems)
Show Figures

Figure 1

17 pages, 3495 KB  
Article
Spectral-Efficient End-to-End Beamforming for 6G XL-MIMO: Synergizing Channel Sensing and Spatial–Frequency Sparsity with Deep Learning
by Ya Wen, Xiaoping Zeng and Xin Xie
Sensors 2026, 26(7), 2012; https://doi.org/10.3390/s26072012 - 24 Mar 2026
Viewed by 397
Abstract
Extremely Large-Scale Multiple-Input Multiple-Output (XL-MIMO) is positioned as a transformative technology for sixth-generation (6G) networks, effectively turning base stations into high-resolution sensing and communication hubs. However, the practical deployment of XL-MIMO is hindered by the “curse of dimensionality,” specifically the prohibitive overhead associated [...] Read more.
Extremely Large-Scale Multiple-Input Multiple-Output (XL-MIMO) is positioned as a transformative technology for sixth-generation (6G) networks, effectively turning base stations into high-resolution sensing and communication hubs. However, the practical deployment of XL-MIMO is hindered by the “curse of dimensionality,” specifically the prohibitive overhead associated with Channel State Information (CSI) sensing and feedback, alongside the computational latency of massive antenna arrays. To resolve the conflict between high-resolution sensing requirements and limited bandwidth resources, this paper proposes a novel two-stage beamforming architecture that synergizes physics-aware dimensionality reduction with deep learning. First, by exploiting the inherent sparsity of XL-MIMO channels in the angle-delay domain, we design a Spatial–Frequency Concentration Block (SFCB). This module functions as a hard-attention sensing mechanism, performing efficient source-end dimensionality reduction on raw CSI at the User Equipment (UE) via precise feature extraction and adaptive energy truncation. Second, we develop a highly adaptable Direct Integrated Precoding Network (DIP-I). Departing from the conventional “sense-reconstruct-then-precode” paradigm, DIP-I learns end-to-end mapping to directly regress the optimal precoding matrix at the Base Station (BS). Comprehensive simulations utilizing the COST 2100 and QuaDRiGa hybrid channel models demonstrate that, under a massive 512-antenna configuration, the proposed framework achieves exceptional beamforming gain. Furthermore, it significantly reduces sensing data overhead and inference latency, offering a superior trade-off between spectral efficiency and hardware resource consumption for future 6G sensing-communication integrated systems. Full article
(This article belongs to the Section Sensor Networks)
Show Figures

Figure 1

27 pages, 28242 KB  
Article
Physics-Informed Side-Scan Sonar Perception: Tackling Weak Targets and Sparse Debris via Geometric and Frequency Decoupling
by Bojian Yu, Rongsheng Lin, Hanxiang Zhou, Jianxiong Zhang and Xinwei Zhang
Sensors 2026, 26(6), 1938; https://doi.org/10.3390/s26061938 - 19 Mar 2026
Viewed by 256
Abstract
Side-scan sonar (SSS) serves as the primary perceptual instrument for Autonomous Underwater Vehicles (AUVs) in large-scale marine search and rescue (SAR) operations. However, the detection of critical targets is frequently hindered by severe hydro-acoustic noise, the spatial discontinuity of wreckage, and the weak [...] Read more.
Side-scan sonar (SSS) serves as the primary perceptual instrument for Autonomous Underwater Vehicles (AUVs) in large-scale marine search and rescue (SAR) operations. However, the detection of critical targets is frequently hindered by severe hydro-acoustic noise, the spatial discontinuity of wreckage, and the weak visual signatures of small targets. To surmount these challenges, this paper presents WPG-DetNet. First, we introduce a Wavelet-Embedded Residual Backbone (WERB) to reconstruct the conventional downsampling paradigm. By substituting standard pooling with the Discrete Wavelet Transform (DWT), this architecture explicitly disentangles high-frequency noise from structural information in the frequency domain, thereby achieving the adaptive preservation of edge fidelity for large human-made targets while filtering out speckle interference. Then, addressing the distinct challenge of discontinuous aircraft wreckage, the framework further incorporates a Debris Graph Reasoning Module (D-GRM). This module models scattered fragments as nodes in a topological graph to capture long-range semantic dependencies, transforming isolated instance recognition into context-aware scene understanding. Finally, to bridge the gap between AI and underwater physics, we design a Shadow-Aided Decoupling Head (SADH) equipped with a physics-informed geometric loss. By enforcing mathematical consistency between target height and acoustic shadow length, this mechanism establishes a rigorous discriminative criterion capable of distinguishing weak-echo human bodies from seabed rocks based on shadow geometry. Experiments on the SCTD dataset demonstrate that WPG-DetNet achieves a mean Average Precision (mAP50) of 97.5% and a Recall of 96.9%. Quantitative analysis reveals that our framework outperforms the classic Faster R-CNN by a margin of 12.8% in mAP50 and surpasses the Transformer-based RT-DETR-R18 by 5.6% in high-precision localization metrics (mAP50:95). Simultaneously, WPG-DetNet maintains superior efficiency with an inference speed of 62.5 FPS and a lightweight parameter count of 16.8 M, striking an optimal balance between robust perception and the real-time constraints of AUV operations. Full article
(This article belongs to the Section Physical Sensors)
Show Figures

Figure 1

34 pages, 3357 KB  
Article
Sequence-Preserving Dual-FoV Defense for Traffic Sign and Light Recognition in Autonomous Vehicles
by Abhishek Joshi, Janhavi Krishna Koda and Abhishek Phadke
Sensors 2026, 26(5), 1737; https://doi.org/10.3390/s26051737 - 9 Mar 2026
Viewed by 435
Abstract
For Autonomous Vehicles (AVs), recognizing traffic lights and signs is critical for safety because perception errors directly affect navigation decisions. Real-world disturbances such as glare, rain, dirt, and graffiti, as well as digital adversarial attacks, can lead to dangerous misclassifications. Current research lacks [...] Read more.
For Autonomous Vehicles (AVs), recognizing traffic lights and signs is critical for safety because perception errors directly affect navigation decisions. Real-world disturbances such as glare, rain, dirt, and graffiti, as well as digital adversarial attacks, can lead to dangerous misclassifications. Current research lacks (i) temporal continuity (stable detection across consecutive frames to prevent flickering misclassifications), (ii) multi-field-of-view (FoV) sensing, and (iii) integrated defenses against both digital and natural degradation. This paper presents two principal contributions: (1) a three-layer defense framework integrating feature squeezing, inference-time temperature scaling (softmax τ = 3 without distillation training), and entropy-based anomaly detection with sequence-level temporal voting; (2) a 500 sequence dual-FoV benchmark (30k base frames, 150k with perturbations) from aiMotive, Waymo, Udacity, and Texas sources across four operational design domains. The unified defense stack achieves 79.8% mAP on a 100-sequence test set (6k base frames, 30k with perturbations), reducing attack success rate from 37.4% to 18.2% (51% reduction) and high-risk misclassifications by 32%. Cross-FoV validation and temporal voting enhance stability under lighting changes (+3.5% mAP) and occlusions (+2.7% mAP). Defense improvements (+9.5–9.6% mAP) remain consistent across native 3D (aiMotive, Waymo) and projected 2D (Udacity, Texas) annotations. Preliminary recapture experiments (n = 15 scenarios) show 2.5% synthetic–physical ASR gap (p = 0.18), though larger validation is needed. Code, models, and dataset reconstruction tools are publicly available. Full article
Show Figures

Figure 1

31 pages, 11837 KB  
Article
Inversion of ϕ-OTDR Spatial Windowing Effects Using Wiener Deconvolution for Improved Acoustic Wavefield Reconstruction
by Shangming Du, Tianwei Chen, Yuxing Duan, Ke Jiang, Song Wu, Can Guo and Lei Liang
Sensors 2026, 26(5), 1706; https://doi.org/10.3390/s26051706 - 8 Mar 2026
Viewed by 335
Abstract
The spatial response of rectangular pulse heterodyne phase-sensitive optical time-domain reflectometry (ϕ-OTDR) to an acoustic event is characterized by a windowing function rather than a point-like sensitivity. This effect degrades the system’s spatial resolution and introduces systematic errors in array signal [...] Read more.
The spatial response of rectangular pulse heterodyne phase-sensitive optical time-domain reflectometry (ϕ-OTDR) to an acoustic event is characterized by a windowing function rather than a point-like sensitivity. This effect degrades the system’s spatial resolution and introduces systematic errors in array signal processing. This work presents modeling analysis and a mitigation strategy for this fundamental limitation. The spatial windowing effect is modeled as a point spread function (PSF) derived from physical mechanisms and system parameters, including the pulse width, gauge length, and intra-pulse intensity dynamics. The PSF model is validated against measurements under near-ideal conditions using a fiber-coupled tuning fork. A Wiener filter-based deconvolution method is utilized to invert the windowed spatial response towards a point-like response. The effectiveness of this inversion is demonstrated through enhanced spatial resolution and accurate reconstruction of two-dimensional wavefront geometry. Furthermore, the impact of this effect on array signal processing is quantitatively evaluated. The results demonstrate that the proposed method effectively suppresses systematic errors in wavefield analysis, and specifically enhances the accuracy and confidence of steered response power—phase transform (SRP-PHAT) spatial spectrum estimation. This study provides a systematic framework for understanding, quantifying, and inverting the spatial response in ϕ-OTDR, enabling accurate and interpretable acoustic field sensing. Full article
(This article belongs to the Special Issue Distributed Sensors: Development and Applications)
Show Figures

Figure 1

10 pages, 2899 KB  
Article
A Deep Learning Framework for Multi-Plane Computer-Generated Holography
by Jiafeng Zeng, Yi Chen, Entong Kuang, Xinrui Li, Xiangsheng Xie and Qiang Wang
Photonics 2026, 13(3), 252; https://doi.org/10.3390/photonics13030252 - 4 Mar 2026
Viewed by 500
Abstract
Multi-plane computer-generated holography is a key technology for enabling volumetric and near-eye displays. However, its widespread adoption remains constrained by the high computational cost of phase optimization and the persistent issue of axial crosstalk between depth planes. In this work, we propose a [...] Read more.
Multi-plane computer-generated holography is a key technology for enabling volumetric and near-eye displays. However, its widespread adoption remains constrained by the high computational cost of phase optimization and the persistent issue of axial crosstalk between depth planes. In this work, we propose a physics-informed deep learning framework that directly generates holograms for 3D multi-plane displays. Our approach implements a learnable mapping from spatial distributions to depth-dependent reconstructions and incorporates a trainable Fourier transform layer, enabling end-to-end optimization entirely in the physical domain (i.e., from the hologram plane to the multi-plane reconstruction). As a result, hologram generation time is decreased significantly, while effectively suppressing crosstalk across axial planes. Experimental validation demonstrates that the obtained phase hologram successfully reconstructs sparse multi-plane structured patterns with low visible crosstalk. These results highlight the potential of deep learning to advance practical applications in dynamic 3D display and holographic optical tweezer technologies. Full article
Show Figures

Figure 1

16 pages, 8417 KB  
Article
High-Fidelity Scanning-Free Lensless Microscopy via Adaptive OPD-Domain Fusion for Live-Cell and Tissue Imaging
by Jiajia Wu, Yining Li, Yuheng Luo, Leiting Pan, Pengming Song and Qiang Xu
Photonics 2026, 13(3), 213; https://doi.org/10.3390/photonics13030213 - 24 Feb 2026
Viewed by 341
Abstract
Multi-wavelength lensless microscopy enables high-speed, wide-field, and high-throughput imaging, making it highly attractive for modern biomedical applications. However, its practical performance is often limited by unreliable autofocusing and wavelength-dependent phase inconsistencies, which together degrade reconstruction fidelity in complex environments. To explicitly address these [...] Read more.
Multi-wavelength lensless microscopy enables high-speed, wide-field, and high-throughput imaging, making it highly attractive for modern biomedical applications. However, its practical performance is often limited by unreliable autofocusing and wavelength-dependent phase inconsistencies, which together degrade reconstruction fidelity in complex environments. To explicitly address these two limitations, we present a fully scanning-free computational microscopy framework using a static four-wavelength Light-Emitting Diode (LED) illumination module that sequentially switches between wavelengths to provide strong spectral constraints. For robust geometric parameter estimation, we develop an Adaptive-Weighted Multi-wavelength Autofocus (A-WMAF) scheme that exploits the differential defocus sensitivities of multiple wavelengths to yield a single, sharply peaked autofocus curve and thereby reliably determines the sample–sensor distance. To mitigate chromatic phase inconsistencies, we further introduce an iterative optical-path-difference (OPD)–domain adaptive fusion strategy that fuses multi-wavelength phase estimates in a physically consistent OPD space, suppressing wavelength-dependent artifacts and reconstruction noise. With only four raw holograms acquired within seconds, the proposed method achieves high-fidelity quantitative phase reconstruction with a Phase Structural Similarity Index Measure (SSIM) of 0.9942 and a quantitative OPD accuracy of 95.0%, as well as a measured lateral resolution of 1.23 µm, surpassing the Nyquist–Shannon sampling limit. Experimental demonstrations on fixed biological samples and long-term live-cell monitoring validate that the proposed framework simultaneously achieves reliable autofocusing and chromaticity-robust phase fusion, highlighting its potential for high-throughput biomedical imaging and clinical diagnostics. Full article
(This article belongs to the Section Biophotonics and Biomedical Optics)
Show Figures

Figure 1

32 pages, 24165 KB  
Article
Multi-Source Geodetic Data Fusion Using a Physically Informed Swin Transformer for High-Resolution Gravity Field Recovery: A Case Study of the South China Sea
by Ruicai Jia, Yichao Yang, Qingbin Wang, Xingli Gan, Fang Yao and Qiankun Kong
J. Mar. Sci. Eng. 2026, 14(4), 403; https://doi.org/10.3390/jmse14040403 - 22 Feb 2026
Viewed by 368
Abstract
High-resolution marine gravity fields are critical for interpreting seafloor structure, investigating marine geodynamics, and enabling gravity-aided navigation. However, sparse shipborne observations, heterogeneous multi-source geodetic datasets, and the inability of conventional methods to handle nonlinear inversion limit accurate gravity recovery. To overcome these limitations, [...] Read more.
High-resolution marine gravity fields are critical for interpreting seafloor structure, investigating marine geodynamics, and enabling gravity-aided navigation. However, sparse shipborne observations, heterogeneous multi-source geodetic datasets, and the inability of conventional methods to handle nonlinear inversion limit accurate gravity recovery. To overcome these limitations, we propose a spectral physics-informed constraint deep-learning framework based on a multi-channel Swin Transformer to reconstruct high-resolution marine gravity anomaly fields. The model ingests multi-source geodetic inputs organized as 64 × 64 grid patches centered near each computation point and fuses them to predict the target gravity anomaly. We adopt a remove–compute–restore (RCR) strategy that isolates residual gravity signals, which improves numerical stability and accelerates training. Inputs include satellite-altimetry-derived vertical gravity gradients, vertical deflections, mean sea surface height, and topography; the model is trained on over 430,000 shipborne gravity samples from the South China Sea (0–30° N, 105–125° E). To enforce physical consistency, we embed a spectral-domain physics constraint derived from potential-field theory into the loss function; this constraint helps recover short-wavelength gravity signals. We also introduce an adaptive multi-domain multi-scale feature fusion module (AMAMFF) to improve the integration of heterogeneous inputs, and we demonstrate its benefits in experiments across complex terrain. Validation against independent shipborne gravity checkpoints yields an RMS error of 3.09 mGal, indicating a substantial performance advantage over existing deep-learning approaches and conventional gravity-field models. Full article
(This article belongs to the Section Physical Oceanography)
Show Figures

Figure 1

13 pages, 215 KB  
Article
Body Image, Sexuality and Coping in Women Surviving Breast Cancer: A Phenomenological Qualitative Study
by Jose Juarez-Gómez and Pablo A. Cantero-Garlito
Sexes 2026, 7(1), 9; https://doi.org/10.3390/sexes7010009 - 12 Feb 2026
Viewed by 589
Abstract
Breast cancer entails profound physical, emotional, and relational changes that persist beyond biomedical treatment and may substantially affect women’s body image, sexuality, and engagement in daily occupations. This descriptive phenomenological qualitative study examined the lived experiences of eight Spanish breast cancer survivors through [...] Read more.
Breast cancer entails profound physical, emotional, and relational changes that persist beyond biomedical treatment and may substantially affect women’s body image, sexuality, and engagement in daily occupations. This descriptive phenomenological qualitative study examined the lived experiences of eight Spanish breast cancer survivors through in-depth semi-structured interviews conducted after completion of oncological treatment. Transcripts were analyzed using discourse analysis with iterative interpretation. Three interrelated findings were identified: (1) bodily changes linked to mastectomy and adjuvant therapies disrupted continuity with the previously known body, eliciting estrangement, vulnerability, and grief for the former bodily self; (2) sexuality emerged as a particularly vulnerable domain, shaped by diminished desire, vaginal dryness and pain, shame, altered self-perception, and the need to renegotiate intimacy within the couple; and (3) coping and meaning-making were strengthened by psychological support, efforts to emotionally protect family members, and, notably, peer support and helping other women as key sources of resilience. These findings highlight the need for integrated, culturally sensitive, person-centered survivorship care that explicitly addresses sexuality, body image, and emotional well-being. Occupational therapy may contribute by supporting embodied identity reconstruction, participation in meaningful occupations, and the reconfiguration of intimacy after breast cancer. Full article
(This article belongs to the Section Sexual Behavior and Attitudes)
Back to TopTop