Sign in to use this feature.

Years

Between: -

Subjects

remove_circle_outline
remove_circle_outline
remove_circle_outline
remove_circle_outline

Journals

Article Types

Countries / Regions

Search Results (14)

Search Parameters:
Keywords = Panarea

Order results
Result details
Results per page
Select all
Export citation of selected articles as:
20 pages, 3235 KB  
Article
Perturbations in Microbial Communities at Hydrothermal Vents of Panarea Island (Aeolian Islands, Italy)
by Annamaria Gallo, Fabio Sposito, Manfredi Longo, Gianluca Lazzaro, Cinzia Giuseppina Caruso, Sabina Morici, Sergio Scirè Scappuzzo, Slobodanka Radovic, Valeria Villanova, Luca Vecchioni, Marco Arculeo and Rosa Alduina
Biology 2025, 14(1), 86; https://doi.org/10.3390/biology14010086 - 17 Jan 2025
Cited by 1 | Viewed by 1552
Abstract
Marine hydrothermal ecosystems represent extreme environments connected to submarine volcanic areas characterized by vents, having high temperatures and particular chemical compositions. The hydrothermal marine system of Panarea, located in one of the seven small islands belonging to the Aeolian Archipelago (southern Tyrrhenian Sea), [...] Read more.
Marine hydrothermal ecosystems represent extreme environments connected to submarine volcanic areas characterized by vents, having high temperatures and particular chemical compositions. The hydrothermal marine system of Panarea, located in one of the seven small islands belonging to the Aeolian Archipelago (southern Tyrrhenian Sea), is characterized by a range of vents exhibiting diverse physical and chemical conditions. We aimed to analyze the microbial community of a peculiar hot spring belonging to the Panarea hydrothermal field, known as “Black Point” (BP), in two separate sampling expeditions (May and August). Our results demonstrated that the chemical–physical variations within this hydrothermal vent, such as temperature fluctuations, mineral content, and hydrothermal fluid dynamics, play a role in shaping the structure and diversity of microbial communities. The differences between the two sampling expeditions suggest that seasonal changes, i.e., in temperature, pH, and redox potential (Eh), could drive microbial community shifts over time. Full article
(This article belongs to the Section Marine Biology)
Show Figures

Figure 1

18 pages, 2852 KB  
Article
Effects of Caffeine, Zinc, and Their Combined Treatments on the Growth, Yield, Mineral Elements, and Polyphenols of Solanum lycopersicum L.
by Elena Vichi, Alessandra Francini, Andrea Raffaelli and Luca Sebastiani
Antioxidants 2024, 13(9), 1100; https://doi.org/10.3390/antiox13091100 - 11 Sep 2024
Cited by 3 | Viewed by 5215
Abstract
(1) Background: The effects of Zn and caffeine as promoters of fruit quality in the Solanum lycopersicum L. cultivar ‘Panarea’ were tested. (2) Methods: During the 56 days of the experiment, plants were treated weekly with 100 mL of 1 mM Zn (Zn), [...] Read more.
(1) Background: The effects of Zn and caffeine as promoters of fruit quality in the Solanum lycopersicum L. cultivar ‘Panarea’ were tested. (2) Methods: During the 56 days of the experiment, plants were treated weekly with 100 mL of 1 mM Zn (Zn), 1 mg L−1 caffeine trimethyl-13C (caffeine), and 1 mM Zn + 1 mg L−1 caffeine trimethyl-13C (Zn + caffeine) and compared to plants that were given tap water (control). (3) Results: Caffeine was taken up by the roots and translocated to the leaves, which positively influenced the number of fruits per plant. After 56 days of treatment, Zn induced a positive increase in tomato dry weight, reducing shoot length (−16.7%) compared to the other treatments. Zn + caffeine had a positive effect on the phenylpropanoid pathway of fruits, and 4-coumaric acid, caffeic acid, and t-ferulic acid were significantly increased, as well as the total antioxidant capacity of the tomatoes. In the flavonoid pathway, only apigenin and luteolin contents were reduced by treatments. The tomatoes showed similar concentrations of the mineral elements Cu, Mn, Fe, Na, Ca, Mg, and K. The Zn and caffeine target hazard quotients were <1, indicating that health risks via the consumption of these tomatoes did not occur. (4) Conclusions: Tomato plants could be irrigated with water containing lower values of Zn, caffeine, and a combination of the two. The treated fruits are rich in antioxidant compounds, such as coumaric acid, caffeic acid, and t-ferulic acid, which are beneficial for human health. No considerable health risks associated with human consumption have been detected. Full article
Show Figures

Graphical abstract

33 pages, 32092 KB  
Article
Seeps and Tectonic Structure of the Hydrothermal System of the Panarea Volcanic Complex (Aeolian Islands, Tyrrhenian Sea)
by Federico Spagnoli, Teresa Romeo, Franco Andaloro, Simonepietro Canese, Valentina Esposito, Marco Grassi, Erik Delos Biscotti, Patrizia Giordano and Giovanni Bortoluzzi
Geosciences 2024, 14(3), 60; https://doi.org/10.3390/geosciences14030060 - 23 Feb 2024
Viewed by 3469
Abstract
High-definition bathymetry mapping, combined with the measurement of dissolved benthic fluxes and water column biogeochemical properties, allows for a description of new biogeochemical processes around the Panarea Volcanic island. Investigations focused on the CO2 releases from the bottom sea on the east [...] Read more.
High-definition bathymetry mapping, combined with the measurement of dissolved benthic fluxes and water column biogeochemical properties, allows for a description of new biogeochemical processes around the Panarea Volcanic island. Investigations focused on the CO2 releases from the bottom sea on the east of the Panarea volcanic complex provided insights into the geological setup of the marine area east and south of the Panarea Island. Between the Panarea Island and the Basiluzzo Islet lies a SW-NE-stretching graben structure where a central depression, the Smoking Land Valley, is bounded by extensional faults. Abundant acidic fluids rich in dissolved inorganic Carbon are released on the edges of the graben, along the extensional faults, either diffusely from the seafloor, from hydrothermal chimneys, or at the center of craters of different sizes. The precipitation of iron dissolved in the acidic fluids forms Fe-oxyhydroxides bottom sea crusts that act as a plug, thus preventing the release of the underlying gases until their mounting pressure generates a bursting release. This process is cyclic and results in intermittent gas release from the bottom, leaving extinct craters and quiescent chimneys. The measurement of dissolved benthic fluxes allowed us to estimate the volcanic DIC venting at 15 Mt of CO2 over the past 10,000 years. The fluxes are not distributed homogeneously but rather concentrate along fractures and fault planes, which facilitate their rise to the seafloor. The acidic fluids released affect the chemical properties and structure of the water column through the formation of layers with a lower pH under the pycnocline, which can limit volcanic CO2 release to the atmosphere. Further and continuous monitoring and investigation of the area are needed in order to complete a thorough picture of the variations in fluid releases through time and space. The importance of such monitoring lies in the development of a new method for detecting and quantifying the diffusive dissolved benthic fluxes on a volcanic sea bottom affected by hydrothermal seeps. Full article
(This article belongs to the Section Natural Hazards)
Show Figures

Figure 1

6 pages, 2908 KB  
Proceeding Paper
The IPANEMA Project: Underwater Acoustic Structure for Volcanic Activity and Natural CO2 Emissions Monitoring
by Letizia S. Di Mauro, Dídac Diego-Tortosa, Giorgio Riccobene, Carmelo D’Amato, Emanuele Leonora, Fabio Longhitano, Angelo Orlando and Salvatore Viola
Eng. Proc. 2023, 58(1), 9; https://doi.org/10.3390/ecsa-10-16169 - 15 Nov 2023
Cited by 4 | Viewed by 1149
Abstract
Carbon dioxide produced by human activities (i.e., use of fossil fuels, deforestation, and livestock farming) is the main greenhouse gas causing global warming. In 2020, the concentration in the atmosphere exceeded the pre-industrial level by 48% (before 1750). The study of natural CO [...] Read more.
Carbon dioxide produced by human activities (i.e., use of fossil fuels, deforestation, and livestock farming) is the main greenhouse gas causing global warming. In 2020, the concentration in the atmosphere exceeded the pre-industrial level by 48% (before 1750). The study of natural CO2 (carbon dioxide) emissions due to volcanic activity through innovative measurement techniques is the main goal of the IPANEMA project. These studies are both essential for the evaluation of natural CO2 emissions and for the development of future carbon capture and storage in underground geological formations to ensure that there are no leaks from the storage sites. Through the installation of two underwater acoustic stations, i.e., one in Panarea and one in the Gulf of Catania, we want to investigate techniques for estimating the flux of CO2 emitted by natural sources, locating emission sources, and, in general, monitoring volcanic activity. Full article
Show Figures

Figure 1

14 pages, 3885 KB  
Article
Novel Insights on the Bacterial and Archaeal Diversity of the Panarea Shallow-Water Hydrothermal Vent Field
by Erika Arcadi, Emanuela Buschi, Eugenio Rastelli, Michael Tangherlini, Pasquale De Luca, Valentina Esposito, Rosario Calogero, Franco Andaloro, Teresa Romeo and Roberto Danovaro
Microorganisms 2023, 11(10), 2464; https://doi.org/10.3390/microorganisms11102464 - 30 Sep 2023
Cited by 5 | Viewed by 1961
Abstract
Current knowledge of the microbial diversity of shallow-water hydrothermal vents is still limited. Recent evidence suggests that these peculiar and heterogeneous systems might host highly diversified microbial assemblages with novel or poorly characterized lineages. In the present work, we used 16S rRNA gene [...] Read more.
Current knowledge of the microbial diversity of shallow-water hydrothermal vents is still limited. Recent evidence suggests that these peculiar and heterogeneous systems might host highly diversified microbial assemblages with novel or poorly characterized lineages. In the present work, we used 16S rRNA gene metabarcoding to provide novel insights into the diversity of the bacterial and archaeal assemblages in seawater and sediments of three shallow-water hydrothermal systems of Panarea Island (Tyrrhenian Sea). The three areas were characterized by hot, cold, or intermediate temperatures and related venting activities. Microbial biodiversity in seawater largely differed from the benthic one, both in α-diversity (i.e., richness of amplicon sequence variants—ASVs) and in prokaryotic assemblage composition. Furthermore, at the class level, the pelagic prokaryotic assemblages were very similar among sites, whereas the benthic microbial assemblages differed markedly, reflecting the distinct features of the hydrothermal activities at the three sites we investigated. Our results show that ongoing high-temperature emissions can influence prokaryotic α-diversity at the seafloor, increasing turnover (β-)diversity, and that the intermediate-temperature-venting spot that experienced a violent gas explosion 20 years ago now displays the highest benthic prokaryotic diversity. Overall, our results suggest that hydrothermal vent dynamics around Panarea Island can contribute to an increase in the local heterogeneity of physical–chemical conditions, especially at the seafloor, in turn boosting the overall microbial (γ-)diversity of this peculiar hydrothermal system. Full article
(This article belongs to the Special Issue Microbial Diversity in Extreme Environments 2.0)
Show Figures

Figure 1

12 pages, 1053 KB  
Article
Metabolomic Study of Dactylis glomerata Growing on Aeolian Archipelago (Italy)
by Manuela Mandrone, Lorenzo Marincich, Ilaria Chiocchio, Piero Zannini, Riccardo Guarino and Ferruccio Poli
Metabolites 2022, 12(6), 533; https://doi.org/10.3390/metabo12060533 - 9 Jun 2022
Cited by 3 | Viewed by 2151
Abstract
The Aeolian Islands (Italy) are a volcanic archipelago in the Tyrrhenian Sea comprising seven main islands, among which are two active volcanoes. The peculiar geological features and the wide variety of environments and soils have an important impact on native plants, and in [...] Read more.
The Aeolian Islands (Italy) are a volcanic archipelago in the Tyrrhenian Sea comprising seven main islands, among which are two active volcanoes. The peculiar geological features and the wide variety of environments and soils have an important impact on native plants, and in particular, the Aeolian populations of Dactylis glomerata (a perennial cool-season bunchgrass) exhibit remarkable phenotypic variability. Considering that environmental drivers also strongly affect the production of plant metabolites, this work aimed at comparing the metabolomic profiles of D. glomerata (leaves) harvested at different altitudes on four islands of the Aeolian archipelago, namely: Lipari, Vulcano, Stromboli and Panarea. Samples were analyzed by 1H NMR profiling, and data were treated by PCA. Samples collected on Stromboli were very different from each other and from the samples collected in the other islands. Through an Orthogonal Partial Least Squares (OPLS) model, using altitude as the y variable, it emerged that the concentration of proline, glycine betaine, sucrose, glucose and chlorogenic acid of D. glomerata growing on Stromboli decreased at increasing altitude. Conversely, increasing altitude was associated with an increment in valine, asparagine, fumaric acid and phenylalanine. Full article
(This article belongs to the Section Environmental Metabolomics)
Show Figures

Graphical abstract

21 pages, 2616 KB  
Article
Potential Resilience to Ocean Acidification of Benthic Foraminifers Living in Posidonia oceanica Meadows: The Case of the Shallow Venting Site of Panarea
by Letizia Di Bella, Aida Maria Conte, Alessia Conti, Valentina Esposito, Martina Gaglioti, Michela Ingrassia, Cinzia De Vittor and Sabina Bigi
Geosciences 2022, 12(5), 184; https://doi.org/10.3390/geosciences12050184 - 24 Apr 2022
Cited by 9 | Viewed by 3592
Abstract
This research shows the results regarding the response to acidic condition of the sediment and Posidonia foraminiferal assemblages collected around the Panarea Island. The Aeolian Archipelago represents a natural laboratory and a much-promising study site for multidisciplinary marine research (carbon capture and storage, [...] Read more.
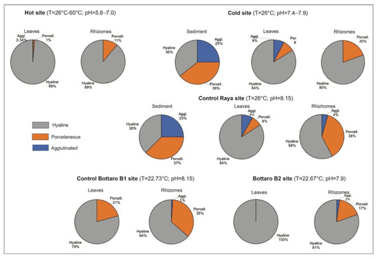
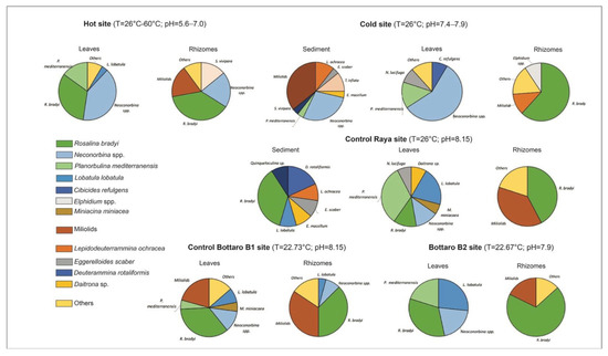
This research shows the results regarding the response to acidic condition of the sediment and Posidonia foraminiferal assemblages collected around the Panarea Island. The Aeolian Archipelago represents a natural laboratory and a much-promising study site for multidisciplinary marine research (carbon capture and storage, geochemistry of hydrothermal fluids and ocean acidification vs. benthic and pelagic organisms). The variability and the complexity of the interaction of the ecological factors characterizing extreme environments such as shallow hydrothermal vents did not allow us to carry out a real pattern of biota responses in situ, differently from those observed under controlled laboratory conditions. However, the study provides new insights into foraminiferal response to increasing ocean acidification (OA) in terms of biodiversity, faunal density, specific composition of the assemblages and morphological variations of the shells. The study highlights how the foraminiferal response to different pH conditions can change depending on different environmental conditions and microhabitats (sediments, Posidonia leaves and rhizomes). Indeed, mineral sediments were more impacted by acidification, whereas Posidonia microhabitats, thanks to their buffer effect, can offer “refugia” and more mitigated acidic environment. At species level, rosalinids and agglutinated group represent the most abundant taxa showing the most specific resilience and capability to face acidic conditions. Full article
Show Figures

Figure 1

15 pages, 4779 KB  
Article
Structural and Functional Analyses of Motile Fauna Associated with Cystoseira brachycarpa along a Gradient of Ocean Acidification in a CO2-Vent System off Panarea (Aeolian Islands, Italy)
by Valentina Esposito, Rocco Auriemma, Cinzia De Vittor, Federica Relitti, Lidia Urbini, Martina Kralj and Maria Cristina Gambi
J. Mar. Sci. Eng. 2022, 10(4), 451; https://doi.org/10.3390/jmse10040451 - 23 Mar 2022
Cited by 7 | Viewed by 3503
Abstract
Ocean acidification (OA), one of the main climate-change-related stressors linked to increasing CO2 concentration in the atmosphere, is considered an important threat to marine biodiversity and habitats. Studies on CO2-vents systems, naturally acidified environments that mimic future ocean scenarios, help [...] Read more.
Ocean acidification (OA), one of the main climate-change-related stressors linked to increasing CO2 concentration in the atmosphere, is considered an important threat to marine biodiversity and habitats. Studies on CO2-vents systems, naturally acidified environments that mimic future ocean scenarios, help to explore the sensitivity of species and to understand how benthic communities rearrange their structure and functioning under the pressure of OA. We addressed this problem by studying the benthic invertebrates associated with a habitat-forming brown alga (Cystoseira brachycarpa) in the Bottaro crater vents system off Panarea island (Tyrrhenian Sea, Italy), by sampling along an OA gradient from the proximity of the main venting area (station B3, pH 7.9) to a control zone (B1 station, pH 8.1). Samples were collected in September 2016 and 2018. A total of 184 taxa and 23 different functional traits have been identified, considering feeding habit, motility, size, reproductive and developmental biology, and occurrence of calcareous structures. Invertebrates are distributed according to the distance from the high venting zone and low pH levels and results very consistent between the two investigated years. In the low-pH area (B3), 43% of the species are selected. The functional traits of the fauna mirror this zonation pattern, mainly changing the relative proportion of the number of individuals of the various functional guilds along the OA gradient. Invertebrates inhabiting the low-pH zone are mainly composed of weakly or non-calcified species, with small size, burrower/tubicolous habit, omnivorous or suspension feeders, and with direct development and brooding habit. In the other stations, heavily calcified forms, herbivore and herbivore/detritivore, and with medium (1–5 cm) and large (>5 cm) sizes prevail, showing indirect benthic and planktic development. The taxonomic analysis, coupled with functional aspects, increases our prediction of which traits could be potentially more advantageous for species to adapt to the hypothesized scenarios of OA, and identify present and future winner and/or loser organisms in the future ocean of the Anthropocene. Full article
Show Figures

Figure 1

14 pages, 909 KB  
Article
Shallow-Water Hydrothermal Vents as Natural Accelerators of Bacterial Antibiotic Resistance in Marine Coastal Areas
by Erika Arcadi, Eugenio Rastelli, Michael Tangherlini, Carmen Rizzo, Monique Mancuso, Marilena Sanfilippo, Valentina Esposito, Franco Andaloro and Teresa Romeo
Microorganisms 2022, 10(2), 479; https://doi.org/10.3390/microorganisms10020479 - 21 Feb 2022
Cited by 7 | Viewed by 3216
Abstract
Environmental contamination by heavy metals (HMs) poses several indirect risks to human health, including the co-spreading of genetic traits conferring resistance to both HMs and antibiotics among micro-organisms. Microbial antibiotic resistance (AR) acquisition is enhanced at sites anthropogenically polluted by HMs, as well [...] Read more.
Environmental contamination by heavy metals (HMs) poses several indirect risks to human health, including the co-spreading of genetic traits conferring resistance to both HMs and antibiotics among micro-organisms. Microbial antibiotic resistance (AR) acquisition is enhanced at sites anthropogenically polluted by HMs, as well as in remote systems naturally enriched in HMs, such as hydrothermal vents in the deep sea. However, to date, the possible role of hydrothermal vents at shallower water depths as hot spots of microbial AR gain and spreading has not been tested, despite the higher potential risks associated with the closer vicinity of such ecosystems to coasts and human activities. In this work, we collected waters and sediments at the Panarea shallow-water hydrothermal vents, testing the presence of culturable marine bacteria and their sensitivity to antibiotics and HMs. All of the bacterial isolates showed resistance to at least one antibiotic and one HM and, most notably, 80% of them displayed multi-AR on average to 12 (min 8, max 15) different antibiotics, as well as multi-HM tolerance. We show that our isolates displayed high similarity (≥99%) to common marine bacteria, affiliating with Actinobacteria, Gammaproteobacteria, Alphaproteobacteria and Firmicutes, and all displayed wide growth ranges for temperature and salinity during in vitro physiological tests. Notably, the analysis of the genomes available in public databases for their closest relatives highlighted the lack of genes for AR, posing new questions on the origin of multi-AR acquisition in this peculiar HM-rich environment. Overall, our results point out that shallow-water hydrothermal vents may contribute to enhance AR acquisition and spreading among common marine bacteria in coastal areas, highlighting this as a focus for future research. Full article
(This article belongs to the Section Environmental Microbiology)
Show Figures

Figure 1

24 pages, 5360 KB  
Article
Air Quality Assessment in the Central Mediterranean Sea (Tyrrhenian Sea): Anthropic Impact and Miscellaneous Natural Sources, including Volcanic Contribution, on the Budget of Volatile Organic Compounds (VOCs)
by Francesca Vichi, Antonietta Ianniello, Massimiliano Frattoni, Andrea Imperiali, Giulio Esposito, Maria Concetta Tomasi Scianò, Mattia Perilli and Angelo Cecinato
Atmosphere 2021, 12(12), 1609; https://doi.org/10.3390/atmos12121609 - 2 Dec 2021
Cited by 9 | Viewed by 2861
Abstract
The results of air pollution assessment during a 2017 cruise of the research ship “Minerva Uno” in the Tyrrhenian Sea are reported. Volatile Organic Compounds (VOCs), Oxygenated Volatile Organic Compounds (OVOCs), and pollutants such as nitrogen oxides, ozone, and sulphur dioxide were monitored [...] Read more.
The results of air pollution assessment during a 2017 cruise of the research ship “Minerva Uno” in the Tyrrhenian Sea are reported. Volatile Organic Compounds (VOCs), Oxygenated Volatile Organic Compounds (OVOCs), and pollutants such as nitrogen oxides, ozone, and sulphur dioxide were monitored throughout the cruise. The shallow waters at ten sites of the investigated area were also analyzed. Organic compounds such as n-alkanes showed a bimodal distribution with a maximum at C5–C6 and C10–C11 at sites the most affected by anthropic impact, whereas remote sites showed a unimodal distribution with maximum at C10–C11. The most abundant atmospheric OVOC was acetone (3.66 μg/m3), accounting for 38%; formaldehyde (1.23 μg/m3) and acetaldehyde (0.99 μg/m3) made up about 22–29% of the total. The influence of some natural sources as volcanoes, in the southern part of the Tyrrhenian Sea near the Aeolian arc was studied. This source did not induce any noticeable effect on the total amount of hydrocarbons nor on the levels of trace gases such as CFCs, whereas the trends of sulphur dioxide seemed to confirm a possible contribution. The impact of underwater emissions was observed near the Panarea and Vulcano islands, where lower pHs, high levels of Fe and Mn, and diagnostic of vent activity, were measured. Full article
(This article belongs to the Special Issue VOC Sensing and Measurements)
Show Figures

Figure 1

18 pages, 2539 KB  
Article
Conditional Seed Dormancy Helps Silene hicesiae Brullo & Signor. Overcome Stressful Mediterranean Summer Conditions
by Francesca Carruggio, Andrea Onofri, Stefania Catara, Carmen Impelluso, Maria Castrogiovanni, Pietro Lo Cascio and Antonia Cristaudo
Plants 2021, 10(10), 2130; https://doi.org/10.3390/plants10102130 - 7 Oct 2021
Cited by 12 | Viewed by 3151
Abstract
Investigations on seed biology and ecology are of major importance for the conservation of threatened plants, both providing baseline information and suggesting practical approaches. In our study, we focused on the germination behavior of Silene hicesiae Brullo & Signor., a narrow endemic species [...] Read more.
Investigations on seed biology and ecology are of major importance for the conservation of threatened plants, both providing baseline information and suggesting practical approaches. In our study, we focused on the germination behavior of Silene hicesiae Brullo & Signor., a narrow endemic species to Panarea and Alicudi (Aeolian Archipelago, Italy), as well as one of the 50 most threatened Mediterranean island plants. Specifically, the effects of temperature, light, seed age, seed source, and collection year were evaluated; in addition, threshold temperatures and thermal–time parameters were estimated. The thermal range for fresh seed germination resulted between 5 and 15 °C, reaching up to 20 and 25 °C at increasing seed age, with 30 °C being clearly beyond the ceiling temperature. This behavior indicates that fresh seeds exhibit the Type 1 non-deep physiological dormancy, and that germination is regulated by conditional dormancy. This dormancy syndrome emerged as a highly efficient adaptation strategy for this species and, together with thermo-inhibition, would allow seeds to counteract or take advantage of Mediterranean environmental conditions. The comparison between the wild Panarea population and the corresponding ex situ cultivated progeny has enabled the identification of the latter as a suitable seed source for sustainable in situ reinforcement actions, at least in the short-term; indeed, plant cultivation for a single generation did not produce significant modifications in the germination behavior of the offspring. Full article
(This article belongs to the Special Issue Seed Dormancy and Germination)
Show Figures

Figure 1

18 pages, 5450 KB  
Article
Rolling Ironstones from Earth and Mars: Terrestrial Hydrothermal Ooids as a Potential Analogue of Martian Spherules
by Marcella Di Bella, Franco Pirajno, Giuseppe Sabatino, Simona Quartieri, Roberto Barbieri, Barbara Cavalazzi, Annalisa Ferretti, Roberto Danovaro, Teresa Romeo, Franco Andaloro, Valentina Esposito, Gianfranco Scotti, Alessandro Tripodo and Francesco Italiano
Minerals 2021, 11(5), 460; https://doi.org/10.3390/min11050460 - 27 Apr 2021
Cited by 11 | Viewed by 4672
Abstract
High-resolution images of Mars from National Aeronautics and Space Administration (NASA) rovers revealed mm-size loose haematite spherulitic deposits (nicknamed “blueberries”) similar to terrestrial iron-ooids, for which both abiotic and biotic genetic hypotheses have been proposed. Understanding the formation mechanism of these haematite spherules [...] Read more.
High-resolution images of Mars from National Aeronautics and Space Administration (NASA) rovers revealed mm-size loose haematite spherulitic deposits (nicknamed “blueberries”) similar to terrestrial iron-ooids, for which both abiotic and biotic genetic hypotheses have been proposed. Understanding the formation mechanism of these haematite spherules can thus improve our knowledge on the possible geologic evolution and links to life development on Mars. Here, we show that shape, size, fabric and mineralogical composition of the Martian spherules share similarities with corresponding iron spherules currently forming on the Earth over an active submarine hydrothermal system located off Panarea Island (Aeolian Islands, Mediterranean Sea). Hydrothermal fluids associated with volcanic activity enable these terrestrial spheroidal grains to form and grow. The recent exceptional discovery of a still working iron-ooid source on the Earth provides indications that past hydrothermal activity on the Red Planet is a possible scenario to be considered as the cause of formation of these enigmatic iron grains. Full article
(This article belongs to the Special Issue Hydrothermal Systems Across Time and Space: Advances and Perspectives)
Show Figures

Graphical abstract

16 pages, 2928 KB  
Article
Ocean Acidification Induces Changes in Virus–Host Relationships in Mediterranean Benthic Ecosystems
by Michael Tangherlini, Cinzia Corinaldesi, Francesca Ape, Silvestro Greco, Teresa Romeo, Franco Andaloro and Roberto Danovaro
Microorganisms 2021, 9(4), 769; https://doi.org/10.3390/microorganisms9040769 - 6 Apr 2021
Cited by 14 | Viewed by 3571
Abstract
Acidified marine systems represent “natural laboratories”, which provide opportunities to investigate the impacts of ocean acidification on different living components, including microbes. Here, we compared the benthic microbial response in four naturally acidified sites within the Southern Tyrrhenian Sea characterized by different acidification [...] Read more.
Acidified marine systems represent “natural laboratories”, which provide opportunities to investigate the impacts of ocean acidification on different living components, including microbes. Here, we compared the benthic microbial response in four naturally acidified sites within the Southern Tyrrhenian Sea characterized by different acidification sources (i.e., CO2 emissions at Ischia, mixed gases at Panarea and Basiluzzo and acidified freshwater from karst rocks at Presidiana) and pH values. We investigated prokaryotic abundance, activity and biodiversity, viral abundance and prokaryotic infections, along with the biochemical composition of the sediment organic matter. We found that, despite differences in local environmental dynamics, viral life strategies change in acidified conditions from mainly lytic to temperate lifestyles (e.g., chronic infection), also resulting in a lowered impact on prokaryotic communities, which shift towards (chemo)autotrophic assemblages, with lower organic matter consumption. Taken together, these results suggest that ocean acidification exerts a deep control on microbial benthic assemblages, with important feedbacks on ecosystem functioning. Full article
(This article belongs to the Special Issue Microbial Community Response to Climate and Environmental Changes)
Show Figures

Figure 1

19 pages, 2106 KB  
Article
Contribution of Volcanic and Fumarolic Emission to the Aerosol in Marine Atmosphere in the Central Mediterranean Sea: Results from Med-Oceanor 2017 Cruise Campaign
by Sacha Moretti, Apostolos Salmatonidis, Xavier Querol, Antonella Tassone, Virginia Andreoli, Mariantonia Bencardino, Nicola Pirrone, Francesca Sprovieri and Attilio Naccarato
Atmosphere 2020, 11(2), 149; https://doi.org/10.3390/atmos11020149 - 30 Jan 2020
Cited by 13 | Viewed by 3833
Abstract
This work studied the contribution of the geogenic sources volcanoes and fumaroles to the aerosol in marine atmosphere in the central Mediterranean basin. For this purpose, in the framework of the Med-Oceanor measurement program, we carried out a cruise campaign in the summer [...] Read more.
This work studied the contribution of the geogenic sources volcanoes and fumaroles to the aerosol in marine atmosphere in the central Mediterranean basin. For this purpose, in the framework of the Med-Oceanor measurement program, we carried out a cruise campaign in the summer of 2017 to investigate the impact to the aerosol of the most important Mediterranean volcanoes (Mount Etna, Stromboli Island, and Marsili Seamount) and solfatara areas (Phlegraean Fields complex, Volcano Islands, Ischia Island, and Panarea submarine fumarole). We collected PM10 and PM2.5 samples in 12 sites and performed chemical characterization to gather information about the concentration of major and trace elements, elemental carbon (EC), organic carbon (OC), and ionic species. The use of triangular plots and the calculation of enrichment factors confirmed the interception of volcanic plume. We integrated the outcomes from chemical characterization with the use of factor analysis and SEM/EDX analysis for the source apportionment. Anthropogenic and natural sources including shipping emissions, volcanic and fumarolic load, as well as sea spray were identified as the main factors affecting aerosol levels in the study area. Furthermore, we performed pattern recognition analysis by stepwise linear discriminant analysis to seek differences in the composition of PM10 and PM2.5 samples according to their volcanic or solfatara origin. Full article
(This article belongs to the Special Issue Sources and Composition of Ambient Particulate Matter)
Show Figures

Figure 1

Back to TopTop