error_outline You can access the new MDPI.com website here. Explore and share your feedback with us.
 
 
Sign in to use this feature.

Years

Between: -

Subjects

remove_circle_outline
remove_circle_outline
remove_circle_outline
remove_circle_outline
remove_circle_outline
remove_circle_outline
remove_circle_outline
remove_circle_outline
remove_circle_outline

Journals

remove_circle_outline
remove_circle_outline
remove_circle_outline
remove_circle_outline
remove_circle_outline
remove_circle_outline
remove_circle_outline
remove_circle_outline

Article Types

Countries / Regions

remove_circle_outline
remove_circle_outline
remove_circle_outline
remove_circle_outline
remove_circle_outline
remove_circle_outline
remove_circle_outline

Search Results (568)

Search Parameters:
Keywords = PV/T system

Order results
Result details
Results per page
Select all
Export citation of selected articles as:
22 pages, 4374 KB  
Article
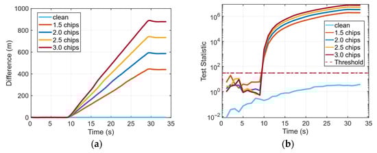
GNSS Spoofing Detection via Self-Consistent Verification of Receiver’s Clock State
by Yu Chen, Yonghang Jiang, Chenggan Wen, Yan Liu, Linxiong Wang, Xinchen He, Yunxiang Jiang, Xiangyang Peng, Xingqiang Liu, Rong Yang and Jiong Yi
Sensors 2026, 26(2), 397; https://doi.org/10.3390/s26020397 - 8 Jan 2026
Abstract
Global Navigation Satellite System (GNSS) signals are highly vulnerable to spoofing attacks, which can cause positioning errors and pose serious threats to user receivers. Therefore, the development of efficient and reliable spoofing detection techniques has become an urgent requirement for ensuring GNSS security. [...] Read more.
Global Navigation Satellite System (GNSS) signals are highly vulnerable to spoofing attacks, which can cause positioning errors and pose serious threats to user receivers. Therefore, the development of efficient and reliable spoofing detection techniques has become an urgent requirement for ensuring GNSS security. In spoofing attacks, attackers introduce additional bias in the Doppler shift. However, detection methods that rely on extracting this deviation from raw measurements suffer from limited practicality, and existing alternative detection schemes based on position, velocity, and time (PVT) information exhibit poor adaptability to diverse scenarios. To address these limitations, this paper proposes a spoofing detection method based on the self-consistency verification of the receiver’s clock state (SCV-RCS). Its core statistic is the cumulative difference between the estimated clock bias and the bias obtained by integrating clock drift. By monitoring this consistency, SCV-RCS identifies anomalies in pseudorange and Doppler observations without complex bias extraction or auxiliary hardware, ensuring easy deployment. Simulation and experimental results demonstrate the method’s effectiveness across diverse spoofing scenarios. It achieves the fastest alarm delay of ≤2 s while providing continuous alerting capability in full-channel and partial-channel spoofing. This study provides a robust and reliable solution for GNSS receivers operating in complex spoofing environments. Full article
(This article belongs to the Section Navigation and Positioning)
Show Figures

Figure 1

23 pages, 673 KB  
Article
Advanced Energy Collection and Storage Systems: Socio-Economic Benefits and Environmental Effects in the Context of Energy System Transformation
by Alina Yakymchuk, Bogusława Baran-Zgłobicka and Russell Matia Woruba
Energies 2026, 19(2), 309; https://doi.org/10.3390/en19020309 - 7 Jan 2026
Abstract
The rapid advancement of energy collection and storage systems (ECSSs) is fundamentally reshaping global energy markets and accelerating the transition toward low-carbon energy systems. This study provides a comprehensive assessment of the economic benefits and systemic effects of advanced ECSS technologies, including photovoltaic-thermal [...] Read more.
The rapid advancement of energy collection and storage systems (ECSSs) is fundamentally reshaping global energy markets and accelerating the transition toward low-carbon energy systems. This study provides a comprehensive assessment of the economic benefits and systemic effects of advanced ECSS technologies, including photovoltaic-thermal (PV/T) hybrid systems, advanced batteries, hydrogen-based storage, and thermal energy storage (TES). Through a mixed-methods approach combining techno-economic analysis, macroeconomic modeling, and policy review, we evaluate the cost trajectories, performance indicators, and deployment impacts of these technologies across major economies. The paper also introduces a novel economic-mathematical model to quantify the long-term macroeconomic benefits of large-scale ECSS deployment, including GDP growth, job creation, and import substitution effects. Our results indicate significant cost reductions for ECSS by 2050, with battery storage costs projected to fall below USD 50 per kilowatt-hour (kWh) and green hydrogen production reaching as low as USD 1.2 per kilogram. Large-scale ECSS deployment was found to reduce electricity costs by up to 12%, lower fossil fuel imports by up to 25%, and generate substantial GDP growth and job creation, particularly in regions with supportive policy frameworks. Comparative cross-country analysis highlighted regional differences in economic effects, with the European Union, China, and the United States demonstrating the highest economic gains from ECSS adoption. The study also identified key challenges, including high capital costs, material supply risks, and regulatory barriers, emphasizing the need for integrated policies to accelerate ECSS deployment. These findings provide valuable insights for policymakers, industry stakeholders, and researchers aiming to design effective strategies for enhancing energy security, economic resilience, and environmental sustainability through advanced energy storage technologies. Full article
(This article belongs to the Special Issue Energy Economics and Management, Energy Efficiency, Renewable Energy)
Show Figures

Figure 1

19 pages, 10771 KB  
Article
When Analog Electronics Extends Solar Life: Gate-Resistance Retuning for PV Reuse
by Euzeli C. dos Santos, Yongchun Ni, Fabiano Salvadori and Haitham Kanakri
Processes 2026, 14(1), 146; https://doi.org/10.3390/pr14010146 - 1 Jan 2026
Viewed by 276
Abstract
This paper proposes an analog retuning strategy that strengthens the functional longevity of photovoltaic (PV) systems operating within circular-economy environments. Although PV modules can be relocated from large generation sites to low-demand rural or remote settings, their electrical behavior offers no adjustable quantities [...] Read more.
This paper proposes an analog retuning strategy that strengthens the functional longevity of photovoltaic (PV) systems operating within circular-economy environments. Although PV modules can be relocated from large generation sites to low-demand rural or remote settings, their electrical behavior offers no adjustable quantities capable of extending service duration. In many cases, even after formal disposal or decommissioning, these solar panels still retain a considerable portion of their energy-generation capability and can operate for many additional years before their output becomes negligible, making second-life deployment both technically viable and economically attractive. In contrast, the associated power-electronic converters contain modifiable gate-driver parameters that can be reconfigured to moderate transient phenomena and lessen device stress. The method introduced here adjusts the external gate resistance in conjunction with coordinated switching-frequency adaptation, reducing overshoot, ringing, and steep dv/dt slopes while preserving the original switching-loss budget. A unified analytical framework connects stress mitigation, ripple evolution, and projected lifetime enhancement, demonstrating that deliberate analog tuning can substantially increase the endurance of aged semiconductor hardware without compromising suitability for second-life PV applications. Analytical results are supported by experimental validation, including hardware measurements of switching waveforms and energy dissipation under multiple gate-resistance configurations. Full article
Show Figures

Figure 1

34 pages, 5656 KB  
Article
Mechanisms of Topographic Steering and Track Morphology of Typhoon-like Vortices over Complex Terrain: A Dynamic Model Approach
by Hung-Cheng Chen
Atmosphere 2026, 17(1), 60; https://doi.org/10.3390/atmos17010060 - 31 Dec 2025
Viewed by 195
Abstract
This study investigates the mechanisms of topographic steering and the resultant track morphology of typhoon-like vortices over complex terrain. Leveraging a dynamic model based on potential vorticity (PV) conservation, we conducted a comprehensive sensitivity analysis over both an idealized bell-shaped mountain and the [...] Read more.
This study investigates the mechanisms of topographic steering and the resultant track morphology of typhoon-like vortices over complex terrain. Leveraging a dynamic model based on potential vorticity (PV) conservation, we conducted a comprehensive sensitivity analysis over both an idealized bell-shaped mountain and the realistic topography of Taiwan. Results indicate that a triad of controls governs track evolution: vortex intensity (α), terrain geometry (dhB*/dt*), and interaction time (impinging angle γ). To quantify predictability, we introduce the Track Divergence Percentage (td), which partitions the phase space into distinct Track Diverging (TDZ) and Converging (TCZ) Zones. The results demonstrate that vortex intensity, terrain-induced forcing, and interaction time jointly organize a regime-dependent predictability landscape, characterized by distinct zones of track divergence and convergence separated by a dynamically balanced trajectory. This framework provides a physically interpretable explanation for why small perturbations in initial conditions can lead to qualitatively different track outcomes near complex terrain. Rather than aiming at direct forecast skill improvement, this study provides a physically interpretable diagnostic framework for understanding terrain-induced track sensitivity and uncertainty, with implications for interpreting ensemble spread in forecasting systems. Full article
(This article belongs to the Special Issue Typhoon/Hurricane Dynamics and Prediction (3rd Edition))
Show Figures

Figure 1

30 pages, 8862 KB  
Article
Kalman Filter-Based Reconstruction of Power Trajectories for IoT-Based Photovoltaic System Monitoring
by Jorge Salvador Valdez-Martínez, Guillermo Ramirez-Zuñiga, Heriberto Adamas Pérez, Alberto Miguel Beltrán-Escobar, Estela Sarmiento-Bustos, Manuela Calixto-Rodriguez and Gustavo Delgado-Reyes
Mathematics 2026, 14(1), 144; https://doi.org/10.3390/math14010144 - 30 Dec 2025
Viewed by 277
Abstract
This paper presents the reconstruction of signal paths acquired from a power electronics system for energy conversion and management. This reconstruction is performed using the Kalman filter (KF) for monitoring photovoltaic (PV) systems enabled for Internet of Things (IoT) systems. This proposal is [...] Read more.
This paper presents the reconstruction of signal paths acquired from a power electronics system for energy conversion and management. This reconstruction is performed using the Kalman filter (KF) for monitoring photovoltaic (PV) systems enabled for Internet of Things (IoT) systems. This proposal is motivated by the fact that the global energy transition towards renewable sources makes PV systems a crucial alternative. To guarantee the efficiency and stability of these systems, monitoring critical electrical parameters using IoT technology is essential. However, the measurements acquired are frequently corrupted by stochastic noise, which obscures the true behavior of the system and limits its accurate characterization. Based on this problem, the main objective of this work is explicitly defined as evaluating the effectiveness of the KF as a power-path reconstruction method capable of recovering accurate electrical trajectories from noisy measurements in IoT-monitored photovoltaic networks. To achieve this goal, the system is modeled as a discrete-time stochastic process and the KF is implemented as a real-time estimator of power flow behavior. The experiment was conducted using real-world generation and consumption data from a proprietary two-layer IoT platform: an Edge Layer (acquisition with ESP8266 and PZEM-004T-100A sensors) and a Cloud Layer (visualization on Things-Board). To validate the results, quantitative metrics including the mean squared error (MSE), statistical moments, and probability distributions were computed. The MSE values were found to be nearly zero across all reconstructed power-paths. The statistical moments exhibited near-perfect agreement with those of the actual power signals, approaching 100% correspondence. Additionally, the probability distributions were compared visually and assessed statistically using the Kolmogorov–Smirnov (KS) test. The resulting KS values were very low, confirming the high accuracy of the reconstruction for all power-paths. The proposed research concluded that the KF successfully reconstructed the power trajectories, demonstrating high agreement with the measured steady-state behavior. This study thus confirms that integrating Kalman filtering with IoT monitoring delivers a practically viable and statistically accurate method for power trajectory reconstruction, which is fundamental for enhancing the observability and reliability of photovoltaic energy systems. Full article
(This article belongs to the Section C2: Dynamical Systems)
Show Figures

Figure 1

35 pages, 3221 KB  
Article
Hazard- and Fairness-Aware Evacuation with Grid-Interactive Energy Management: A Digital-Twin Controller for Life Safety and Sustainability
by Mansoor Alghamdi, Ahmad Abadleh, Sami Mnasri, Malek Alrashidi, Ibrahim S. Alkhazi, Abdullah Alghamdi and Saleh Albelwi
Sustainability 2026, 18(1), 133; https://doi.org/10.3390/su18010133 - 22 Dec 2025
Viewed by 287
Abstract
The paper introduces a real-time digital-twin controller that manages evacuation routes while operating GEEM for emergency energy management during building fires. The system consists of three interconnected parts which include (i) a physics-based hazard surrogate for short-term smoke and temperature field prediction from [...] Read more.
The paper introduces a real-time digital-twin controller that manages evacuation routes while operating GEEM for emergency energy management during building fires. The system consists of three interconnected parts which include (i) a physics-based hazard surrogate for short-term smoke and temperature field prediction from sensor data (ii), a router system that manages path updates for individual users and controls exposure and network congestion (iii), and an energy management system that regulates the exchange between PV power and battery storage and diesel fuel and grid electricity to preserve vital life-safety operations while reducing both power usage and environmental carbon output. The system operates through independent modules that function autonomously to preserve operational stability when sensors face delays or communication failures, and it meets Industry 5.0 requirements through its implementation of auditable policy controls for hazard penalties, fairness weight, and battery reserve floor settings. We evaluate the controller in co-simulation across multiple building layouts and feeder constraints. The proposed method achieves superior performance to existing AI/RL baselines because it reduces near-worst-case egress time (T95 and worst-case exposure) and decreases both event energy Eevent and CO2-equivalent CO2event while upholding all capacity, exposure cap, and grid import limit constraints. A high-VRE, tight-feeder stress test shows how reserve management, flexible-load shedding, and PV curtailment can achieve trade-offs between unserved critical load Uenergy  and emissions. The team delivers implementation details together with reporting templates to assist researchers in reaching reproducibility goals. The research shows that emergency energy systems, which integrate evacuation systems, achieve better safety results and environmental advantages that enable smart-city integration through digital thread operations throughout design, commissioning, and operational stages. Full article
(This article belongs to the Special Issue Smart Grids and Sustainable Energy Networks)
Show Figures

Figure 1

20 pages, 4180 KB  
Article
Economic Benefits and Carbon Reduction Potential of Rooftop Photovoltaic Power Generation at Railway Stations in China’s Qinghai–Tibet Plateau Region
by Guanguan Jia, Qingqin Wang, Li Zhao and Weiwei Wu
Sustainability 2026, 18(1), 51; https://doi.org/10.3390/su18010051 - 19 Dec 2025
Viewed by 277
Abstract
To promote green and low-carbon transformation in the transportation sector and achieve the national “dual-carbon” targets, this study examines rooftop photovoltaic (PV) deployment at 12 representative railway stations located on the Qinghai–Tibet Plateau. Using high-resolution solar radiation data, building spatial information, and regional [...] Read more.
To promote green and low-carbon transformation in the transportation sector and achieve the national “dual-carbon” targets, this study examines rooftop photovoltaic (PV) deployment at 12 representative railway stations located on the Qinghai–Tibet Plateau. Using high-resolution solar radiation data, building spatial information, and regional electricity pricing, we develop an integrated analysis framework that combines a PV power-generation simulation, life-cycle cost assessment, and carbon emission reduction evaluation. The model systematically evaluates the power output, economic performance, and emission reduction potential of rooftop PV systems installed on railway station buildings. Two PV array configurations—horizontal angle and optimum tilt angle—together with three business models (T1: all-consumption; T2: all-feed-into-grid; T3: self-consumption with surplus feed-in) are compared. The results indicate that the Qinghai–Tibet Plateau possesses substantial solar energy advantages. Rooftop arrays installed at a horizontal angle significantly increase both installed capacity and lifetime electricity generation, with stations XN and LS producing 523.12 GWh and 300.87 GWh, respectively, values that exceed the corresponding optimum tilt scenarios. In terms of economic performance, the T1 model yields the highest returns, with several stations achieving a lifetime return on investment exceeding 300% over a 25-year period. The T3 model demonstrates strong profit potential at stations such as RKZ and ZN, whereas the T2 model shows the weakest economic viability due to feed-in tariff constraints. Regarding carbon reduction, horizontal systems perform the best, with cumulative CO2 emission reductions at station XN exceeding 300,000 tonnes of CO2-equivalent. Overall, the findings highlight the substantial PV development potential of railway station rooftops on the Qinghai–Tibet Plateau. By selecting appropriate installation angles and business models, significant economic benefits and carbon emission reduction outcomes can be achieved, providing practical guidance for renewable-energy utilization in high-altitude transportation infrastructure. Full article
Show Figures

Figure 1

30 pages, 10269 KB  
Article
Deep Learning-Driven Solar Fault Detection in Solar–Hydrogen AIoT Systems: Implementing CNN VGG16, ResNet-50, DenseNet121, and EfficientNetB0 in a University-Based Framework
by Salaki Reynaldo Joshua, Kenneth Yosua Palilingan, Salvius Paulus Lengkong and Sanguk Park
Hydrogen 2026, 7(1), 1; https://doi.org/10.3390/hydrogen7010001 - 19 Dec 2025
Viewed by 591
Abstract
The integration of solar photovoltaic (PV) systems into smart grids necessitates robust, real-time fault detection mechanisms, particularly in resource-constrained environments like the Solar–Hydrogen AIoT microgrid framework at a university. This study conducts a comparative analysis of four prominent Convolutional Neural Network (CNN) architectures [...] Read more.
The integration of solar photovoltaic (PV) systems into smart grids necessitates robust, real-time fault detection mechanisms, particularly in resource-constrained environments like the Solar–Hydrogen AIoT microgrid framework at a university. This study conducts a comparative analysis of four prominent Convolutional Neural Network (CNN) architectures VGG16, ResNet-50, DenseNet121, and EfficientNetB0 to determine the optimal model for low-latency, edge-based fault diagnosis. The models were trained and validated on a dataset of solar panel images featuring multiple fault types. Quantitatively, DenseNet121 achieved the highest classification accuracy at 86.00%, demonstrating superior generalization and feature extraction capabilities. However, when considering the stringent requirements of an AIoT system, computational efficiency became the decisive factor. EfficientNetB0 emerged as the most suitable architecture, delivering an acceptable accuracy of 80.00% while featuring the smallest model size (5.3 M parameters) and a fast inference time (approx. 26 ms/step). This efficiency-to-accuracy balance makes EfficientNetB0 ideal for deployment on edge computing nodes where memory and real-time processing are critical limitations. DenseNet121 achieved 86% accuracy, while EfficientNetB0 achieved 80% accuracy with lowest model size and fastest inference time. This research provides a validated methodology for implementing efficient deep learning solutions in sustainable, intelligent energy management systems. The novelty of this work lies in its deployment-focused comparison of CNN architectures tailored for real-time inference on resource-constrained Solar–Hydrogen AIoT systems. Full article
Show Figures

Figure 1

14 pages, 4172 KB  
Article
Protein Contents Determine the Thermal Stability and Gel Consistency of High-Amylose Milled Rice
by Yizhang Feng, Yandong Huang, Zhongquan Cai, Shuolei Liao, Shahzad Ahmad, Xiaokun Huang, Jiangchuan Li, Xiaochen Qi, Yuning Wu, Zhenzhou Wu, Piqing Liu and Yongfu Qiu
Foods 2025, 14(24), 4353; https://doi.org/10.3390/foods14244353 - 18 Dec 2025
Viewed by 284
Abstract
Protein and starch are the two primary components of rice flour, significantly influencing their gelatinization and gel consistency. However, the role of protein in the gelatinization properties and gel consistency of high-starch starch remains unclear. Our study investigated the influence of protein on [...] Read more.
Protein and starch are the two primary components of rice flour, significantly influencing their gelatinization and gel consistency. However, the role of protein in the gelatinization properties and gel consistency of high-starch starch remains unclear. Our study investigated the influence of protein on the gelatinization and gel consistency of high-amylose rice flour by analyzing six high-amylose rice varieties with differing protein levels. The results demonstrated that elevated protein content was associated with reduced breakdown (BD) and gel consistency. Additionally, a recombinant rice flour (RRF) system was developed by reintroducing extracted proteins into high-amylose rice flour in various ratios. The findings indicated that increasing protein proportions in the RRF system led to a marked decrease in gel consistency, accompanied by reductions in peak viscosity (PV), BD, final viscosity (FV), and setback (SB), while peak time (PeT) and pasting temperature (PaT) exhibited significant increases. Correlation analysis and microstructure observations support the hypothesis that proteins may enhance the stability of the paste by restricting the expansion of starch granules during gelatinization, which is related to the reduction in gel consistency. This study confirmed that protein content plays a significant role in determining the gel consistency of high-amylose rice, guiding the improvement of the quality of use or cultivating high-amylose rice suitable for processing. Full article
(This article belongs to the Section Food Physics and (Bio)Chemistry)
Show Figures

Figure 1

13 pages, 1625 KB  
Article
Region-Specific Expression Patterns of lncRNAs in the Central Nervous System: Cross-Species Comparison and Functional Insights
by Tresa López-Royo, Elisa Gascón, Laura Moreno-Martínez, Sofía Macías-Redondo, Pilar Zaragoza, Raquel Manzano and Rosario Osta
Int. J. Mol. Sci. 2025, 26(24), 12069; https://doi.org/10.3390/ijms262412069 - 15 Dec 2025
Viewed by 231
Abstract
Increasing evidence demonstrates that long noncoding RNAs (lncRNAs) are crucial for brain evolution and proper development and function of the central nervous system (CNS), exhibiting specific time-, spatial-, and sex-biassed expression patterns. This study investigated whether region-specific spatial expression patterns of brain-relevant lncRNAs [...] Read more.
Increasing evidence demonstrates that long noncoding RNAs (lncRNAs) are crucial for brain evolution and proper development and function of the central nervous system (CNS), exhibiting specific time-, spatial-, and sex-biassed expression patterns. This study investigated whether region-specific spatial expression patterns of brain-relevant lncRNAs are conserved between the mouse and human CNS. Demonstrating such cross-species conservation informs the translational value of mouse models for lncRNA biology. To test this, the expression of 14 lncRNAs was studied in the adult CNS of mice and humans across three different regions (spinal cord, brainstem, and frontal cortex), and age effects were assessed in mice. The results demonstrated conserved expression patterns between the two species, with region-specific changes. The frontal cortex exhibited high expression of Meg3, Miat, and Pvt1 lncRNAs, while the spinal cord showed high levels of Hotair and Gas5. Additionally, Malat1 displayed lower levels in females compared to males in the spinal cord compared to other regions. Finally, through GO functional enrichment analysis and literature review, this study emphasizes the role of lncRNAs in CNS physiology and disease, suggesting their involvement in neurological processes and conditions such as cortical development, neuronal synapsis, schizophrenia, Alzheimer’s, Parkinson’s, and amyotrophic lateral sclerosis. Overall, this research highlights the importance of further investigating the role of lncRNAs in brain function and their potential as key players in neurological disorders, opening the door to explaining the high region- and sex-specific effects of these disorders. Full article
(This article belongs to the Section Molecular Neurobiology)
Show Figures

Figure 1

31 pages, 5985 KB  
Article
From Roof to Grid: A Case Study on the Technical and Economic Performance of a 27 kWp Solar PV System at University Campus
by Bipu Alam Emon, Md Shafiul Alam, Md Shafiullah and Imil Hamda Imran
Energies 2025, 18(24), 6513; https://doi.org/10.3390/en18246513 - 12 Dec 2025
Viewed by 701
Abstract
Bangladesh’s electricity use is growing rapidly, but it has limited fossil fuel reserves. This disadvantage makes it harder for the country to provide people in densely populated cities with access to reliable energy. Solar photovoltaic (PV) electricity could solve these problems by making [...] Read more.
Bangladesh’s electricity use is growing rapidly, but it has limited fossil fuel reserves. This disadvantage makes it harder for the country to provide people in densely populated cities with access to reliable energy. Solar photovoltaic (PV) electricity could solve these problems by making the grid less dependent on fossil fuels, cutting carbon emissions, and encouraging businesses and institutions to switch to cleaner energy sources. This study designs and simulates a 27 kWp grid-connected solar photovoltaic (PV) system for the University of Asia Pacific (UAP) in Dhaka, Bangladesh. The system has 80 SunPower SPR-MAX2-340 modules and one Sunways STT-30KTL-P inverter. It is expected to generate 36,412 kWh of electricity every year with a performance ratio (PR) of 82.42%. The economic analysis indicates that the system is financially profitable, with a levelized cost of energy (LCOE) of 0.0613 USD/kWh and a payback period of 5 years. The environmental assessment also states that the system will reduce emissions by 503.0 tCO2 over its lifetime. The results indicate that solar PV systems in cities in Bangladesh could be a long-term solution for meeting energy needs. The overall results show that grid-connected solar PV systems can be a viable, long-term solution for meeting Bangladesh’s urban energy needs. Full article
Show Figures

Figure 1

32 pages, 4849 KB  
Systematic Review
Artificial Intelligence in Solar-Assisted Greenhouse Systems: A Technical, Systematic and Bibliometric Review of Energy Integration and Efficiency Advances
by Edwin Villagran, John Javier Espitia, Fabián Andrés Velázquez, Andres Sarmiento, Diego Alejandro Salinas Velandia and Jader Rodriguez
Technologies 2025, 13(12), 574; https://doi.org/10.3390/technologies13120574 - 6 Dec 2025
Viewed by 789
Abstract
Protected agriculture increasingly requires solutions that reduce energy consumption and environmental impacts while maintaining stable microclimatic conditions. The integration of Artificial Intelligence (AI), Machine Learning (ML), and Deep Learning (DL) with solar technologies has emerged as a pathway toward autonomous and energy-efficient greenhouses [...] Read more.
Protected agriculture increasingly requires solutions that reduce energy consumption and environmental impacts while maintaining stable microclimatic conditions. The integration of Artificial Intelligence (AI), Machine Learning (ML), and Deep Learning (DL) with solar technologies has emerged as a pathway toward autonomous and energy-efficient greenhouses and solar dryers. This study analyzes the scientific and technological evolution of this convergence using a mixed review approach bibliometric and systematic, following PRISMA 2020 guidelines. From Scopus records (2012–2025), 115 documents were screened and 79 met the inclusion criteria. Bibliometric results reveal accelerated growth since 2019, led by Engineering, Computer Science, and Energy, with China, India, Saudi Arabia, and the United Kingdom as dominant contributors. Thematic analysis identifies four major research fronts: (i) thermal modeling and energy efficiency, (ii) predictive control and microclimate automation, (iii) integration of photovoltaic–thermal (PV/T) systems and phase change materials (PCMs), and (iv) sustainability and agrivoltaics. Systematic evidence shows that AI, ML, and DL based models improve solar forecasting, microclimate regulation, and energy optimization; model predictive control (MPC), deep reinforcement learning (DRL), and energy management systems (EMS) enhance operational efficiency; and PV/T–PCM hybrids strengthen heat recovery and storage. Remaining gaps include long-term validation, metric standardization, and cross-context comparability. Overall, the field is advancing toward near-zero-energy greenhouses powered by Internet of Things (IoT), AI, and solar energy, enabling resilient, efficient, and decarbonized agro-energy systems. Full article
Show Figures

Figure 1

37 pages, 3380 KB  
Article
Analysis and Evaluation of the Operating Profile of a DC Inverter in a PV Plant
by Silvia Baeva, Ivelina Hinova and Plamen Stanchev
Energies 2025, 18(23), 6306; https://doi.org/10.3390/en18236306 - 30 Nov 2025
Viewed by 343
Abstract
The inverter is the key element that converts the intermittent DC power of the PV array into a quality AC flow to the grid and simultaneously performs functions such as power factor control, reactive services, and grid code compliance. Therefore, the detailed operating [...] Read more.
The inverter is the key element that converts the intermittent DC power of the PV array into a quality AC flow to the grid and simultaneously performs functions such as power factor control, reactive services, and grid code compliance. Therefore, the detailed operating profile of the inverter, how the power, dynamics, power quality, and efficiency evolve over time, is critical for both the scientific understanding of the system and the daily operation (O&M). Monitoring only aggregated energy indicators or single KPIs (e.g., PR) is often insufficient: it does not distinguish weather-related variations from technical limitations (clipping, curtailment), does not show dynamic loads (ramp rate), and does not provide confidence in the quality of the injected energy (PF, P–Q behavior). These deficiencies motivate research that simultaneously covers the physical side of the conversion, the operational dynamics, and the climatic reference of the resource. The analysis covers the window of 25 January–15 April 2025 (winter→spring). Due to the pronounced seasonality of the solar resource and temperature regime, all quantitative results and conclusions regarding efficiency, dynamics, clipping, and degradation are valid only for this window; generalizations to other seasons require additional data. In the next stage, we will add ≥12 months of data and perform a comparable seasonal analysis. Full specifications of the measuring equipment (DC/AC current/voltage, clock synchronization, separate high-frequency PQ-logger) and quantitative uncertainty estimates, including distribution to key indicators (η, PR, THD, IDC), are presented. The PVGIS per-kWp climate reference is anchored to the nameplate DC peak and cross-checked against percentile scaling; a±ε scale error shifts PR by ε and changes ΔE proportionally only on hours with P^>P. The capacity for the climate reference (PVGIS per-kWp) is calibrated to the tabulated DC peak power Ccert and is cross-validated using a percentile scale (Q0.99). Full article
(This article belongs to the Special Issue Challenges and Opportunities in the Global Clean Energy Transition)
Show Figures

Figure 1

9 pages, 1760 KB  
Article
A G-Band Pulsed Wave-Traveling Wave Tube for THz Radar
by Xingwang Bian, Pan Pan, Siji Xian, Di Yang, Lin Zhang, Jun Cai and Jinjun Feng
Electronics 2025, 14(23), 4721; https://doi.org/10.3390/electronics14234721 - 29 Nov 2025
Viewed by 271
Abstract
The growing interest in high-power amplifiers for the terahertz (THz) radar system leads to significant performance improvements of THz wave traveling-wave tubes (TWT). This article presents a detailed development of a G-band pulsed wave TWT with 120 W output power. Three approaches have [...] Read more.
The growing interest in high-power amplifiers for the terahertz (THz) radar system leads to significant performance improvements of THz wave traveling-wave tubes (TWT). This article presents a detailed development of a G-band pulsed wave TWT with 120 W output power. Three approaches have been combined to improve the tube’s output power including proposing the modified folded waveguide (MFWG) slow wave structure (SWS), using large beam current, and adopting phase velocity tapering (PVT). Firstly, the MFWG SWS circuit has an additional degree of freedom that can be used to achieve approximately 36% higher interaction impedance than that in the conventional folded waveguide (CFWG). Subsequently, the electron beam current was increased to approximately 100 mA to boost the DC power of the electron beam. Finally, the PVT technology dramatically enhanced the output power from 98 W to 143 W, concomitant with a notable increase in electronic efficiency from 4.75% to 7.03%. Hot experimental results show that the measured output power can be over 100 W at 20% duty cycle within a bandwidth of 5 GHz when the operation voltage and the current are 22.48 kV and 103.5 mA, respectively. In addition, the maximum power is 121 W with the corresponding electronic efficiency of 5.1%. The proposed G-band 100 W TWT will have broad applications in far-distance high-resolution imaging. Full article
Show Figures

Figure 1

34 pages, 11574 KB  
Article
A Numerical Investigation on the Performance and Sustainability Analysis of Conventional and Finned Air-Cooled Solar Photovoltaic Thermal (PV/T) Systems
by Edip Imik and Mehmet Yilmaz
Sustainability 2025, 17(23), 10638; https://doi.org/10.3390/su172310638 - 27 Nov 2025
Viewed by 377
Abstract
The increasing global demand for sustainable energy has increased the importance of solar photovoltaic thermal (PV/T) systems, which simultaneously increase electrical efficiency by removing excess heat and utilizing it for beneficial purposes. Although the addition of fins is generally known to increase efficiency, [...] Read more.
The increasing global demand for sustainable energy has increased the importance of solar photovoltaic thermal (PV/T) systems, which simultaneously increase electrical efficiency by removing excess heat and utilizing it for beneficial purposes. Although the addition of fins is generally known to increase efficiency, the influence of Z-finned geometries on PV/T system performance has not yet been fully characterized. In this study, the performance of conventional (PV/T-C) and Z-finned (PV/T-F) air-cooled PV/T systems was numerically investigated through comprehensive energy, exergy, and sustainability analyses. Simulations were conducted using ANSYS Fluent 2025 R1. The results revealed that, compared to the PV/T-C system, the PV/T-F system achieved an increase of 17.18% in overall efficiency. Furthermore, the incorporation of fins enhanced the overall exergy efficiency by 2.57% and improved the sustainability index by 0.32%. The findings demonstrate that Z-shaped fins improve the overall, exergy, and sustainability performances of air-cooled PV/T systems under the climatic conditions of Malatya, Türkiye. This study highlights the critical role of fin geometry in enhancing PV/T system performance and contributes valuable insights for the design of more efficient and sustainable solar energy systems. Full article
(This article belongs to the Special Issue Sustainable Analysis and Application of Solar Thermal Systems)
Show Figures

Figure 1

Back to TopTop