Sign in to use this feature.

Years

Between: -

Subjects

remove_circle_outline
remove_circle_outline
remove_circle_outline
remove_circle_outline
remove_circle_outline
remove_circle_outline
remove_circle_outline
remove_circle_outline
remove_circle_outline

Journals

remove_circle_outline
remove_circle_outline
remove_circle_outline

Article Types

Countries / Regions

remove_circle_outline
remove_circle_outline
remove_circle_outline
remove_circle_outline
remove_circle_outline
remove_circle_outline

Search Results (910)

Search Parameters:
Keywords = PM10 and O3 pollution

Order results
Result details
Results per page
Select all
Export citation of selected articles as:
14 pages, 1821 KB  
Article
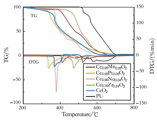
Hydrothermal Aging Mechanism of CeO2-Based Catalytic Materials and Its Structure–Activity Relationship Study on Particulate Matter Oxidation Performance
by Yantao Zou and Liguang Xiao
Catalysts 2025, 15(10), 962; https://doi.org/10.3390/catal15100962 (registering DOI) - 7 Oct 2025
Abstract
With the increasing emphasis on environmental protection and sustainable development, improving air pollution control technology has become imperative. In this study, Ce-based catalysts are used as research objects to explore the effects of hydrothermal aging on their performance in oxidizing PM. Different Mn, [...] Read more.
With the increasing emphasis on environmental protection and sustainable development, improving air pollution control technology has become imperative. In this study, Ce-based catalysts are used as research objects to explore the effects of hydrothermal aging on their performance in oxidizing PM. Different Mn, Na, Pt and Zr-doped Ce-based catalysts were prepared based on the impregnation method and the PM oxidation performance of Ce-based catalysts before and after hydrothermal aging was investigated using thermogravimetric experiments, and the catalytic activity change pattern of fresh/hydrothermal aging Ce-based catalysts was analyzed by comparing the comprehensive combustion index S and combustion stability index Rw, revealing the PM oxidation process. The conclusion showed that the cerium-based catalyst significantly enhanced the oxidation efficiency of PM compared with PU. By comparing the performance of different metal-modified catalysts, it was found that the order of activity was: Pt > Na > Mn > Zr. With the metal doping increased, only the comprehensive combustion index S and combustion stability index Rw of Na/CeO2 catalysts decreased. After hydrothermal aging treatment, the Zr/CeO2 catalysts showed the best hydrothermal aging resistance, and the comprehensive combustion index S and combustion stability index Rw remained stable (<5%). Ce-based catalysts have the strongest to weakest hydrothermal aging resistance in the following order: Zr > Mn > Pt > Na. This study not only provides an important scientific reference for the application of Ce-based catalysts in the field of environmental purification but also contributes new ideas and methods to promote the green and sustainable development of air pollution control technology. Full article
Show Figures

Figure 1

7 pages, 854 KB  
Proceeding Paper
Air Pollutants Projections Using SHERPA Simulator: How Can Cyprus Achieve Cleaner Air
by Jude Brian Ramesh, Stelios P. Neophytides, Orestis Livadiotis, Diofantos G. Hadjimitsis, Silas Michaelides and Maria N. Anastasiadou
Environ. Earth Sci. Proc. 2025, 35(1), 63; https://doi.org/10.3390/eesp2025035063 - 3 Oct 2025
Abstract
Air quality is a vital factor for safeguarding public and environmental health. Particulate matter (i.e., PM2.5 and PM10) and nitrogen dioxide are among the most harmful air pollutants leading to severe health risks such as respiratory and cardiovascular diseases, while also affecting the [...] Read more.
Air quality is a vital factor for safeguarding public and environmental health. Particulate matter (i.e., PM2.5 and PM10) and nitrogen dioxide are among the most harmful air pollutants leading to severe health risks such as respiratory and cardiovascular diseases, while also affecting the environment negatively by contributing to the formation of acid rains and ground level ozone. The European Union has introduced new thresholds on those pollutants to be met by the year 2030, taking into consideration the guidelines set by the World Health Organization, aiming for a healthier environment for humans and living species. Cyprus is an island that is vulnerable to those pollutants mostly due to its geographic location, facilitating shipping activities and dust transport from Sahara Desert, and the methods used to produce electricity which primarily rely on petroleum products. Furthermore, the country suffers from heavy traffic conditions, making it susceptible to high levels of nitrogen dioxide. Thus, the projection of air pollutants according to different scenarios based on regulations and policies of the European Union are necessary towards clean air and better practices. The Screening for High Emission Reduction Potential on Air (SHERPA) is a tool developed by the European Commission which allows the simulation of emission reduction scenarios and their effect on the following key pollutants: NO, NO2, O3, PM2.5, PM10. This study aims to assess the potential of the SHERPA simulation tool to support air quality related decision and policy planning in Cyprus to ensure that the country will remain within the thresholds that will be applicable in 2030. Full article
Show Figures

Figure 1

46 pages, 6024 KB  
Review
Recent Advances in Transition Metal Selenide-Based Catalysts for Organic Pollutant Degradation by Advanced Oxidation Processes
by Donatos Manos and Ioannis Konstantinou
Catalysts 2025, 15(10), 938; https://doi.org/10.3390/catal15100938 - 1 Oct 2025
Abstract
In recent years, one of the major problems facing humanity has been the contamination of the environment by various organic pollutants, with some of them exhibiting environmental persistence or pseudo-persistence. For this reason, it is necessary today, more than ever, to find new [...] Read more.
In recent years, one of the major problems facing humanity has been the contamination of the environment by various organic pollutants, with some of them exhibiting environmental persistence or pseudo-persistence. For this reason, it is necessary today, more than ever, to find new and effective methods for degrading these persistent pollutants. Transition metal selenides (TMSes) have emerged as a versatile and promising class of catalysts for the degradation of organic pollutants through various advanced oxidation processes (AOPs). The widespread use of these materials lies in the desirable characteristics they offer, such as unique electronic structures, narrow band gaps, high electrical conductivity, and multi-valent redox behavior. This review comprehensively examines recent progress in the design, synthesis, and application of these TMSes—including both single- and composite systems, such as TMSes/g-C3N4, TMSes/TiO2, and heterojunctions. The catalytic performance of these systems is being highlighted, regarding the degradation of organic pollutants such as dyes, pharmaceuticals, antibiotics, personal care products, etc. Further analysis of the mechanistic insights, structure–activity relationships, and operational parameter effects are critically discussed. Emerging trends, such as hybrid AOPs combining photocatalysis with PMS or electro-activation, and the challenges of stability, scalability, and real wastewater applicability are explored in depth. Finally, future directions emphasize the integration of multifunctional activation methods for the degradation of organic pollutants. This review aims to provide a comprehensive analysis and pave the way for the utilization of TMSe catalysts in sustainable and efficient wastewater remediation technologies. Full article
(This article belongs to the Collection Catalysis in Advanced Oxidation Processes for Pollution Control)
Show Figures

Graphical abstract

14 pages, 6591 KB  
Article
One-Step Fe/N Co-Doping for Efficient Catalytic Oxidation and Selective Non-Radical Pathway Degradation in Sludge-Based Biochar
by Zupeng Gong, Shixuan Ding, Mingjie Huang, Wen-da Oh, Xiaohui Wu and Tao Zhou
Catalysts 2025, 15(10), 934; https://doi.org/10.3390/catal15100934 - 1 Oct 2025
Abstract
This study presents the preparation of iron and nitrogen co-doped sludge-based biochar (FeCN-MSBC) and iron oxide-doped biochar (FeO-MSBC) by ball milling municipal sludge with different iron precursors (K3Fe(CN)6 and Fe2O3), followed by pyrolysis. These biochars were [...] Read more.
This study presents the preparation of iron and nitrogen co-doped sludge-based biochar (FeCN-MSBC) and iron oxide-doped biochar (FeO-MSBC) by ball milling municipal sludge with different iron precursors (K3Fe(CN)6 and Fe2O3), followed by pyrolysis. These biochars were utilized to activate persulfate (PMS) for the degradation of phenolic pollutants. The results demonstrate that FeCN-MSBC, formed by the introduction of K3Fe(CN)6, contains Fe/N phases, with surface Fe sites exhibiting a lower oxidation state, which significantly enhances PMS activation efficiency. In contrast, FeO-MSBC, due to the aggregation of Fe2O3/Fe3O4, shows relatively lower catalytic activity. The FeCN-MSBC/PMS system degrades pollutants via a synergistic mechanism involving non-radical pathways mediated by 1O2 and electron transfer processes (ETP) catalyzed by surface Fe. Electrochemical oxidation and quenching experiments confirm that ETP is the dominant pathway. FeCN-MSBC, prepared at a pyrolysis temperature of 600 °C and an Fe loading of 3 mmol/g TSS, exhibited the best performance, achieving a phenol degradation rate constant (kobs) of 0.127 min−1, 4.5 times higher than that of undoped biochar (MSBC). FeCN-MSBC/PMS maintained high efficiency across a wide pH range and in complex water matrices, exhibiting excellent stability over multiple cycles, demonstrating strong potential for practical applications. This study provides an effective strategy for simultaneous Fe and N doping in sludge-derived biochar and offers mechanistic insights into Fe/N synergistic activation of PMS for practical water treatment. Full article
(This article belongs to the Special Issue Environmentally Friendly Catalysis for Green Future)
Show Figures

Figure 1

16 pages, 3188 KB  
Article
Nitrogen-Enriched Porous Carbon from Chinese Medicine Residue for the Effective Activation of Peroxymonosulfate for Degradation of Organic Pollutants: Mechanisms and Applications
by Xiaoyun Lei, Dong Liu, Weixin Zhou, Xiao Liu, Xingrui Gao, Tongtong Wang and Xianzhao Shao
Catalysts 2025, 15(10), 926; https://doi.org/10.3390/catal15100926 - 1 Oct 2025
Abstract
Advanced oxidation processes (AOPs) utilizing peroxymonosulfate (PMS) have recently gained attention for effectively removing organic dyes. Biochar, a carbon-based material, can act as a catalyst carrier for PMS activation. This study developed a nitrogen-doped biochar catalyst (NCMR800–2) from waste Chinese medicine residue (CMR) [...] Read more.
Advanced oxidation processes (AOPs) utilizing peroxymonosulfate (PMS) have recently gained attention for effectively removing organic dyes. Biochar, a carbon-based material, can act as a catalyst carrier for PMS activation. This study developed a nitrogen-doped biochar catalyst (NCMR800–2) from waste Chinese medicine residue (CMR) through one-step pyrolysis to efficiently remove Rhodamine B (RhB) from wastewater. Results indicate that NCMR800–2 rapidly achieved complete removal of 20 mg/L Rhodamine B (RhB), the primary focus of this study, within 30 min, while maintaining high degradation efficiencies for other pollutants and significantly outperforming the unmodified material. The material demonstrates strong resistance to ionic interference and operates effectively across a wide pH range. Quenching experiments and in situ testing identified singlet oxygen (1O2) as the primary active species in RhB degradation. Electrochemical analysis showed that nitrogen doping significantly enhanced the electrical conductivity and electron transfer efficiency of the catalyst, facilitating PMS decomposition and RhB degradation. Liquid chromatography–mass spectrometry (LC-MS) identified intermediate products in the RhB degradation process. Seed germination experiments and TEST toxicity software confirmed a significant reduction in the toxicity of degradation products. In conclusion, this study presents a cost-effective, efficient catalyst with promising applications for removing persistent organic dyes. Full article
(This article belongs to the Special Issue Catalytic Materials for Hazardous Wastewater Treatment)
Show Figures

Graphical abstract

29 pages, 2906 KB  
Article
Spatiotemporal Graph Convolutional Network-Based Long Short-Term Memory Model with A* Search Path Navigation and Explainable Artificial Intelligence for Carbon Monoxide Prediction in Northern Cape Province, South Africa
by Israel Edem Agbehadji and Ibidun Christiana Obagbuwa
Atmosphere 2025, 16(9), 1107; https://doi.org/10.3390/atmos16091107 - 21 Sep 2025
Viewed by 253
Abstract
Background: The emission of air pollutants into the atmosphere is a global issue as it contributes to global warming and climate-related issues. Human activities like the burning of fossil fuel influence changes in weather patterns—resulting in issues such as a rise in sea [...] Read more.
Background: The emission of air pollutants into the atmosphere is a global issue as it contributes to global warming and climate-related issues. Human activities like the burning of fossil fuel influence changes in weather patterns—resulting in issues such as a rise in sea levels, among other things. Identifying road network routes within Northern Cape Province in South Africa that are less exposed to air pollutants like carbon monoxide is the issue this study seeks to address. Methods: The method used for our predictions is based on a graph convolutional network (GCN) and long short-term memory (LSTM). The GCN extracts geospatial characteristics, and the LSTM captures both nonlinear relationships and temporal dependencies in an air pollutant and meteorological dataset. Furthermore, an A* search strategy identifies the path from one location to another with the lowest carbon monoxide concentrations within a road network. The explainable artificial intelligence (xAI) technique is used to describe the nonlinear relationship between the target variable and features. Meteorological and air pollutant data in the form of statistical mean, minimum, and maximum values were leveraged, and a random sampling technique was utilized to fill the data gap to help train the predictive model (GCN-LSTM-A*). Results: The predictive model was evaluated with mean squared error (MSE) and root mean squared error (RMSE) values within two multi-time steps (8 and 16 h) with MSEs of 0.1648 and 0.1701, respectively. The LIME technique, which provides explanations of features, shows that Wind_speed and NO2 and NOx concentrations decreased the predicted CO, whereas PM2.5, PM10, relative humidity, and O3 increased the predicted CO of the route. Full article
(This article belongs to the Section Atmospheric Techniques, Instruments, and Modeling)
Show Figures

Figure 1

6 pages, 1314 KB  
Proceeding Paper
The Evolution of the Interannual and Seasonal Variation of the Main Gaseous and Particulate Pollutants in Athens, Greece, for 2001–2023
by Theodora Stavraka, John Kapsomenakis, Anastasia Poupkou, Kostas Douvis and Pavlos Kalabokas
Environ. Earth Sci. Proc. 2025, 35(1), 41; https://doi.org/10.3390/eesp2025035041 - 19 Sep 2025
Viewed by 134
Abstract
The densely populated city of Athens has been facing air pollution problems over the past few decades due to the high population density associated with an intense emission load constrained by the local topography causing poor ventilation. In this study, the evolution of [...] Read more.
The densely populated city of Athens has been facing air pollution problems over the past few decades due to the high population density associated with an intense emission load constrained by the local topography causing poor ventilation. In this study, the evolution of the interannual and seasonal variation in primary and secondary gaseous as well as particulate urban air pollution in Athens was examined for the 2001–2023 period and for the following pollution parameters: SO2, CO, NO2, NOx (NO + NO2), O3, Ox (O3 + NO2), PM10, and PM2.5. For this purpose, the annual and monthly averages from the Athens air pollution monitoring stations of Peireas (SO2, CO, NO2, NOx), Patission (SO2, CO, NO2, NOx), Aristotelous (PM10, PM2.5), Lykovrissi (PM10, PM2.5, O3, Ox), and Liossia (O3, Ox) in the selected periods of 2001–2004 and 2020–2023 were examined. There was a clear reduction in most air pollution parameters at all stations during the period examined, relative to the average values. The ozone and Ox values, presenting a high interannual variability, remained generally unchanged. The smallest reductions are observed for NO2 and NOX (about −10% to −20%), while the highest reductions are observed for SO2, CO, and PM10 (about −50% to −60%). The change in pollutant concentrations for every month of the year between the 2001–2004 and 2020–2023 time periods is also examined, and the observed seasonal differences are discussed. Full article
Show Figures

Figure 1

15 pages, 3831 KB  
Article
Air Quality Response to COVID-19 Control Measures in the Arid Inland Region of China: A Case Study of Eastern Xinjiang
by Hui Xu, Yuanyuan Zhang, Yunhui Zhang, Bo Cao, Zihang Qin, Xiaofang Zhou, Li Zhang and Mingjie Xie
Atmosphere 2025, 16(9), 1100; https://doi.org/10.3390/atmos16091100 - 18 Sep 2025
Viewed by 160
Abstract
This study examined the temporal changes and dispersion of potential sources of the six criteria air pollutants, namely, particulate matter with an aerodynamic diameter of less than 2.5 and 10 μm (PM2.5 and PM10), nitrogen dioxide (NO2), sulfur [...] Read more.
This study examined the temporal changes and dispersion of potential sources of the six criteria air pollutants, namely, particulate matter with an aerodynamic diameter of less than 2.5 and 10 μm (PM2.5 and PM10), nitrogen dioxide (NO2), sulfur dioxide (SO2), carbon monoxide (CO), and ozone (O3), in eastern Xinjiang, China, during the COVID-19 period in summer 2020 (16 July to 29 August ). Compared to the same periods in 2019 and 2021, the mean concentrations of all pollutants, except for SO2 and O3, and the air quality index (AQI) were lower in 2020 (relative changes: NO2 48.3–54.4%, PM10 35.8–49.6%, PM2.5 19.3–43.5%, CO 16.5–34.8%, AQI 17.2–29.4%), which can be attributed to the reduced anthropogenic activities. Compared to the period before the lockdown in 2020 (16 June to 15 July), the mean NO2 concentration showed the largest decrease during the lockdown (47.9%), followed by PM2.5 (32.7%), PM10 (37.6%), and CO (15.4%). In contrast, there were only minimal changes in O3, with the mean concentrations falling slightly by 7.56%, and the mean concentration of SO2 increased by 10.4%. The decrease in NOx and the dry climate could have hindered O3 formation, while vital industrial activities in eastern Xinjiang probably maintained SO2 emissions. In the subsequent recovery period (30 August to 28 September), the mean NO2 concentration increased the most at 59.3%, which was due to the rapid resumption of traffic-related emissions. During the lockdown in 2020, the diurnal profiles of PM2.5, PM10, NO2, and CO concentrations showed lower peak concentrations in the morning (09:00–11:00) and evening (20:00–22:00), demonstrating a significant reduction in traffic-related emissions. The lower O3 and higher SO2 peak concentrations may have resulted from lower NOx levels and higher electricity consumption due to the “stay-at-home” policy. The analysis of the distribution of potential sources showed that O3 generally originated from widespread source areas, while the other pollutants mainly originated from local emissions. During the lockdown period, the source areas of PM2.5 and PM10 were more dispersed, with an enhanced contribution from long-range transport. Full article
(This article belongs to the Section Air Quality)
Show Figures

Figure 1

24 pages, 3544 KB  
Article
A Deep Learning Model Integrating EEMD and GRU for Air Quality Index Forecasting
by Mei-Ling Huang, Netnapha Chamnisampan and Yi-Ru Ke
Atmosphere 2025, 16(9), 1095; https://doi.org/10.3390/atmos16091095 - 18 Sep 2025
Viewed by 390
Abstract
Accurate prediction of the air quality index (AQI) is essential for environmental monitoring and sustainable urban planning. With rising pollution from industrialization and urbanization, particularly from fine particulate matter (PM2.5, PM10), nitrogen dioxide (NO2), and ozone (O [...] Read more.
Accurate prediction of the air quality index (AQI) is essential for environmental monitoring and sustainable urban planning. With rising pollution from industrialization and urbanization, particularly from fine particulate matter (PM2.5, PM10), nitrogen dioxide (NO2), and ozone (O3), robust forecasting tools are needed to support timely public health interventions. This study proposes a hybrid deep learning framework that combines empirical mode decomposition (EMD) and ensemble empirical mode decomposition (EEMD) with two recurrent neural network architectures: long short-term memory (LSTM) and gated recurrent unit (GRU). A comprehensive dataset from Xitun District, Taichung City—including AQI and 18 pollutant and meteorological variables—was used to train and evaluate the models. Model performance was assessed using root mean square error, mean absolute error, mean absolute percentage error, and the coefficient of determination. Both LSTM and GRU models effectively capture the temporal patterns of air quality data, outperforming traditional methods. Among all configurations, the EEMD-GRU model delivered the highest prediction accuracy, demonstrating strong capability in modeling high-dimensional and nonlinear environmental data. Furthermore, the incorporation of decomposition techniques significantly reduced prediction error across all models. These findings highlight the effectiveness of hybrid deep learning approaches for modeling complex environmental time series. The results further demonstrate their practical value in air quality management and early-warning systems. Full article
(This article belongs to the Section Air Quality)
Show Figures

Figure 1

8 pages, 1888 KB  
Proceeding Paper
AtmoHub: A National Atmospheric Composition Hub for Air Quality Monitoring and Forecasting in Greece
by Anna Kampouri, Stergios Kartsios, Thanos Kourantos, Maria Tsichla, Kalliopi Artemis Voudouri, Anna Gialitaki, Thanasis Georgiou, Eleni Drakaki, Marios Mermigkas, Vassilis Spyrakos and Vassilis Amiridis
Environ. Earth Sci. Proc. 2025, 35(1), 36; https://doi.org/10.3390/eesp2025035036 - 18 Sep 2025
Viewed by 192
Abstract
AtmoHub, the Greek Copernicus National Collaboration Programme (NCP) gateway, delivers daily air quality forecasts aligned with the EC Air Quality Directives and provides in situ measurements for key pollutants (NO2, O3, PM10, PM2.5, SO2), as well as [...] Read more.
AtmoHub, the Greek Copernicus National Collaboration Programme (NCP) gateway, delivers daily air quality forecasts aligned with the EC Air Quality Directives and provides in situ measurements for key pollutants (NO2, O3, PM10, PM2.5, SO2), as well as insights into environmental phenomena such as pollen dispersion, smoke, volcanic activity, and dust transport. To address a previous lack of coordinated atmospheric services in Greece, it utilizes the WRF-Chem model for downscaling CAMS data. Offering hourly forecasts at 5 km resolution, AtmoHub supports researchers, authorities, and the public, promoting climate resilience and informed air quality management through a centralized, accessible platform. Full article
Show Figures

Figure 1

13 pages, 2131 KB  
Article
The Impacts of Changes in Near-Term Climate Forcers on East Asia’s Climate
by Hyun Min Sung, Jae-Hee Lee, Jisun Kim, Hyomee Lee, Pil-Hun Chang and Kyung-On Boo
Climate 2025, 13(9), 191; https://doi.org/10.3390/cli13090191 - 16 Sep 2025
Viewed by 375
Abstract
This study investigates the impacts of near-term climate forcers (NTCFs) and ozone precursor emissions on particulate matter (PM2.5) concentrations in East Asia (EA). Our analysis used the Coupled Model Intercomparison Project Phase 6 Aerosols and Chemistry Model Intercomparison Project (AerChemMIP) dataset [...] Read more.
This study investigates the impacts of near-term climate forcers (NTCFs) and ozone precursor emissions on particulate matter (PM2.5) concentrations in East Asia (EA). Our analysis used the Coupled Model Intercomparison Project Phase 6 Aerosols and Chemistry Model Intercomparison Project (AerChemMIP) dataset to assess the potential changes in air quality under varying emission scenarios for the present day (1995–2014) and near-term future (2015–2054). Present-day PM2.5 concentrations in EA averaged 14.3 ± 2.6 μg/m3, with significant regional variation: East China (32.43 μg/m3), Korea (13.71 μg/m3), and Japan (7.51 μg/m3). A reduction in historical NTCF emissions would lower PM2.5 concentrations by approximately 43% across EA, whereas reducing O3 precursors would yield an approximately 10% decrease. Under the SSP370 scenario, PM2.5 concentrations are projected to increase by 16% in the near-term future (2045–2054). However, robust NTCF mitigation could reduce PM2.5 levels by approximately 40%, primarily by decreasing sulfate and organic aerosols, which are the dominant contributors of historical PM2.5 variability. Despite substantial projected improvements, achieving the World Health Organization’s stringent air quality guidelines remains challenging, highlighting the necessity for enhanced emissions control targeting key pollutant sources. These insights are crucial to East Asian policymakers aiming to implement effective air quality management strategies. Full article
(This article belongs to the Special Issue New Perspectives in Air Pollution, Climate, and Public Health)
Show Figures

Figure 1

19 pages, 5134 KB  
Article
Spatial–Temporal Variations of Air Pollutants and Its Relationship with Meteorological Factors During 2014 to 2022 in Jiangsu Province, China
by Zihao Wu, Honglei Wang, Yue Ke, Yan Yin, Xuedong Zhou, Jinghua Chen, Kui Chen, Jun Guo, Jia Wang, Keqing Wang and Yixiao Wu
Atmosphere 2025, 16(9), 1079; https://doi.org/10.3390/atmos16091079 - 12 Sep 2025
Viewed by 328
Abstract
This study analyzes the spatial and temporal distribution characteristics of pollutants and the influence of meteorological factors using data from 13 cities in Jiangsu Province from 2014 to 2022. The results showed that, from 2014 to 2022, the average concentrations of PM2.5 [...] Read more.
This study analyzes the spatial and temporal distribution characteristics of pollutants and the influence of meteorological factors using data from 13 cities in Jiangsu Province from 2014 to 2022. The results showed that, from 2014 to 2022, the average concentrations of PM2.5, PM10, SO2, and CO in Jiangsu were high in the north and low in the south, while the NO2 concentration was low in the north and high in the south, all of which decreased over time. O3 concentration was higher on the eastern coast and increased with the year. PM2.5 pollution days in northern Jiangsu were higher in autumn and winter. O3 pollution days in southern Jiangsu were higher in spring, summer, and autumn. There was a significant positive correlation between O3 and temperature in spring and autumn, and it was weaker in summer. Relative humidity (RH) in winter was positively correlated with PM2.5 and RH showed a significant negative correlation with PM10 in spring, summer, and autumn. The scavenging effect of precipitation on PM10 concentration was the most pronounced, followed by PM2.5. Precipitation has the weakest scavenging effect on CO, only reducing its concentration by an average of 13%. Precipitation also exhibits a significant scavenging effect on O3. The decrease in O3 was the smallest on heavy rain days (14.7%) and the largest on severe, torrential rain days (25.9%). Full article
(This article belongs to the Section Air Quality)
Show Figures

Figure 1

6 pages, 905 KB  
Proceeding Paper
Economic Costs Associated with the Adverse Health Effects of PM10 and O3 Health over the Greater Athens Area, Greece, for the Period 2001–2019
by Kleopatra Ntourou, Kyriaki-Maria Fameli, Christos Tsitsis, Theodoros Papachristos, Konstantinos Moustris and Nikolaos M. Manousakis
Environ. Earth Sci. Proc. 2025, 35(1), 24; https://doi.org/10.3390/eesp2025035024 - 12 Sep 2025
Viewed by 243
Abstract
Air pollution imposes significant economic burdens due to its adverse health effects. This study estimates the economic cost of premature mortality from PM10 and ground-level O3 exposure in the Greater Athens Area (2001–2019), using the value of statistical life and willingness-to-pay [...] Read more.
Air pollution imposes significant economic burdens due to its adverse health effects. This study estimates the economic cost of premature mortality from PM10 and ground-level O3 exposure in the Greater Athens Area (2001–2019), using the value of statistical life and willingness-to-pay methods. Despite low PM10 levels in 2011, rising O3 concentrations from 2015–2019 correlated with increased cardiorespiratory mortality costs. The average cost reached €1253 million per 100,000 people. Results suggest air pollution mortality costs follow Gross Domestic Product (GDP) trends, underscoring the economic and public health value of improving air quality. Full article
Show Figures

Figure 1

25 pages, 6007 KB  
Article
Air Quality Assessment in Iran During 2016–2021: A Multi-Pollutant Analysis of PM2.5, PM10, NO2, SO2, CO, and Ozone
by Nasim Hossein Hamzeh, Dimitris G. Kaskaoutis, Abbas Ranjbar Saadat Abadi, Jean-Francois Vuillaume and Karim Abdukhakimovich Shukurov
Appl. Sci. 2025, 15(18), 9925; https://doi.org/10.3390/app15189925 - 10 Sep 2025
Viewed by 642
Abstract
Air pollution has emerged as one of the most critical public health challenges globally, with an astonishing 96% of the world’s population breathing air below the health standards. This study investigates the amount and distribution of six major air pollutants, PM10, [...] Read more.
Air pollution has emerged as one of the most critical public health challenges globally, with an astonishing 96% of the world’s population breathing air below the health standards. This study investigates the amount and distribution of six major air pollutants, PM10, PM2.5, O3, SO2, NO2, and CO, at numerous air monitoring stations across Iran from 2016 to 2021. The primary objectives were to identify the cities with the highest pollution levels, and to assess the spatiotemporal evolution of air pollution across the country, aiming to provide a comprehensive overview and climatology of air quality. The results indicate that cities such as Zabol and Ahvaz consistently rank among the most polluted, with annual average PM10 concentrations exceeding 190 µg m−3 and PM2.5 reaching alarming levels up to 116.7 µg m−3. Furthermore, O3 and SO2 amounts were high in Zabol too, classifying it as the most polluted city in Iran. In addition, Tehran exhibits high NO2, SO2, and CO concentrations due to high industrial activity and vehicular emissions. Seasonal analysis reveals significant variations in pollutant levels, with PM concentrations peaking during specific months over various parts of the country, particularly driven by local and distant dust events. By integrating MERRA-2 reanalysis pollution data and ground measurements, this research provides a robust framework for understanding pollution dynamics, thereby facilitating more effective policy-making and public health interventions. The results underscore the necessity for immediate action to mitigate the adverse effects of air pollution on public health, particularly in areas prone to industrial activities (i.e., Tehran, Isfahan) and dust events (Zabol, Ahvaz). Full article
(This article belongs to the Special Issue Air Pollution and Its Impact on the Atmospheric Environment)
Show Figures

Figure 1

21 pages, 771 KB  
Review
Impacts of Air Quality on Global Crop Yields and Food Security: An Integrative Review and Future Outlook
by Bonface O. Manono, Fatihu Kabir Sadiq, Abdulsalam Adeiza Sadiq, Tiroyaone Albertinah Matsika and Fatima Tanko
Air 2025, 3(3), 24; https://doi.org/10.3390/air3030024 - 10 Sep 2025
Viewed by 481
Abstract
Air pollution is an escalating global challenge with profound implications for agricultural production and food security. This review explores the impacts of deteriorating air quality on global crop yields and food security, emphasizing both direct physiological effects on plants and broader environmental interactions. [...] Read more.
Air pollution is an escalating global challenge with profound implications for agricultural production and food security. This review explores the impacts of deteriorating air quality on global crop yields and food security, emphasizing both direct physiological effects on plants and broader environmental interactions. Key pollutants such as ground-level ozone (O3), fine particulate matter (PM2.5 and PM10), nitrogen dioxide (NO2), sulfur dioxide (SO2), volatile organic compounds (VOCs), and polycyclic aromatic hydrocarbons (PAHs) reduce crop yield and quality. They have been shown to inhibit plant growth, potentially by affecting germination, morphology, photosynthesis, and enzyme activity. PAH contamination, for example, can negatively affect soil microbial communities essential for soil health, nutrient cycling and organic matter decomposition. They persist and accumulate in food products through the food chain, raising concerns about food safety. The review synthesizes evidence demonstrating how air pollution undermines the four pillars of food security: availability, access, utilization, and stability by reducing crop yields, elevating food prices, and compromising nutritional quality. The consequences are disproportionately severe in low- and middle-income countries, where regulatory and infrastructural limitations exacerbate vulnerability. This study examines mitigation strategies, including emission control technologies, green infrastructure, and precision agriculture, while stressing the importance of community-level interventions and real-time air quality monitoring through IoT and satellite systems. Integrated policy responses are urgently needed to bridge the gap between environmental regulation and agricultural sustainability. Notably, international cooperation and targeted investments in multidisciplinary research are essential to develop pollution-resilient crop systems and inform adaptive policy frameworks. This review identifies critical knowledge gaps regarding pollutant interactions under field conditions and calls for long-term, region-specific studies to assess cumulative impacts. Ultimately, addressing air pollution is not only vital for ecosystem health, but also for achieving global food security and sustainable development in a rapidly changing environment. Full article
Show Figures

Figure 1

Back to TopTop