Hydrothermal Aging Mechanism of CeO2-Based Catalytic Materials and Its Structure–Activity Relationship Study on Particulate Matter Oxidation Performance
Abstract
1. Introduction
2. Results and Discussion
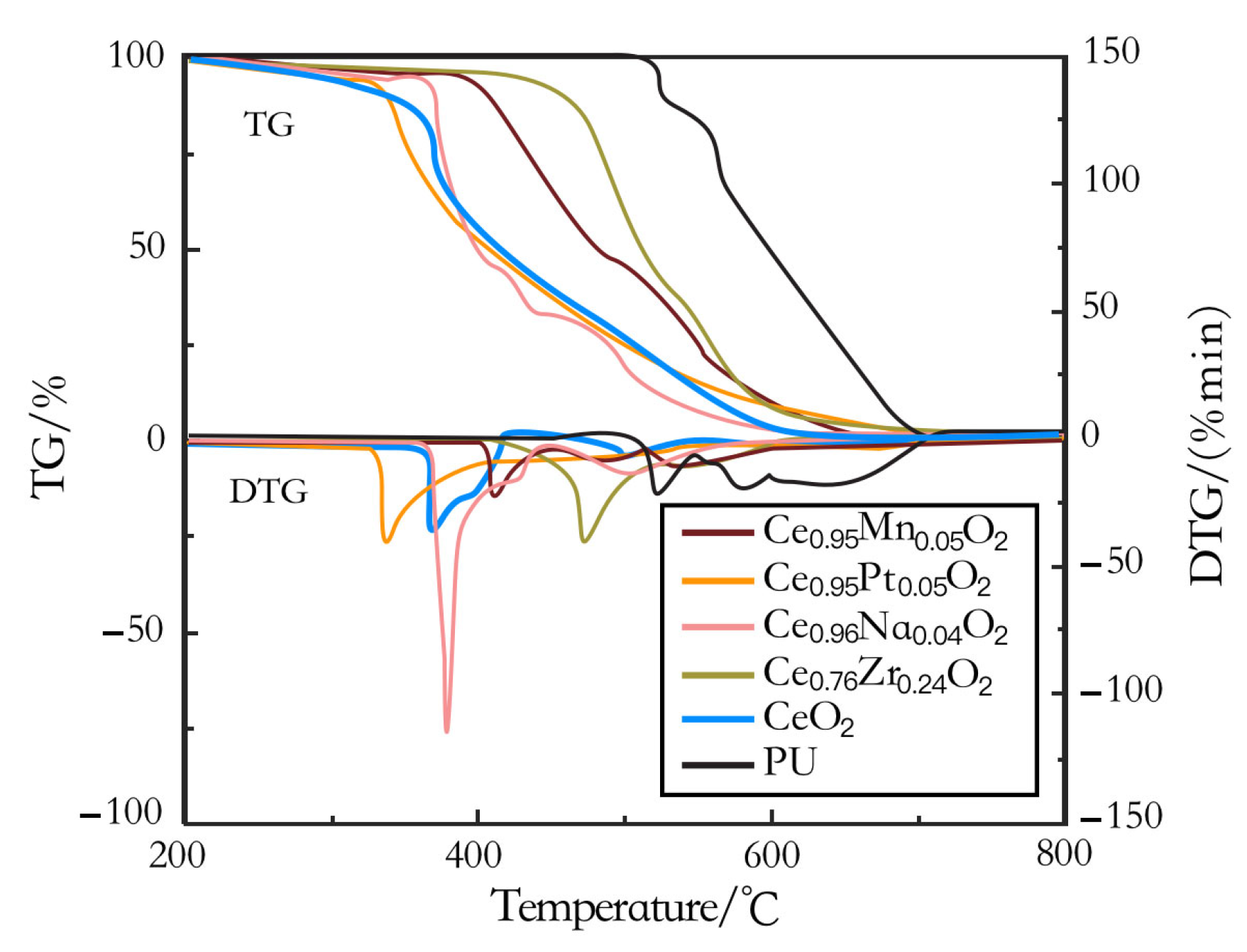
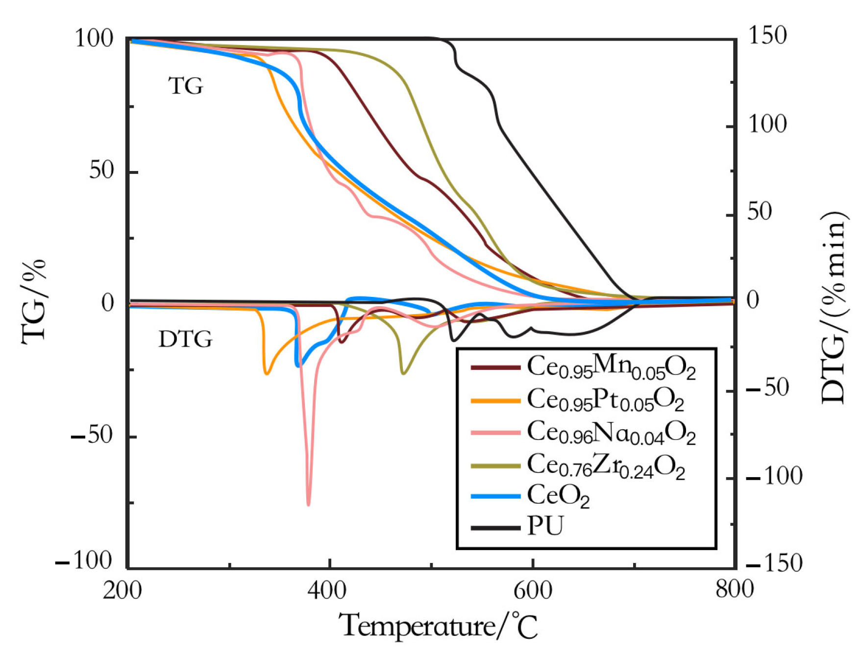
2.1. Metal Modification
2.2. Metal Doping Concentration
2.3. Hydrothermal Aging
2.4. Extended Discussion on Hydrothermal Stability Trends
- Zr4+ Doping and Solid Solution Stability: The exceptional hydrothermal stability of Zr-doped ceria has been well established in previous studies [28]. This property originates primarily from the formation of a highly stable Ce1−xZrxO2 solid solution. The ionic radius of Zr4+ is close to that of Ce4+, facilitating its effective incorporation into the fluorite lattice with minimal strain. More significantly, this substitution induces a distorted yet reinforced lattice structure. By elevating the energy barriers for both oxygen vacancy migration and cation diffusion, this modified lattice effectively suppresses the sintering and grain growth of CeO2 under harsh hydrothermal conditions. Additionally, the strong Zr–O bonding enhances the overall structural integrity, preventing collapse of the mesoporous framework and thereby maintaining the specific surface area and active sites crucial for PM oxidation.
- Mn2+/3+/4+ Doping and Redox-Induced Instability: The moderate deactivation of Mn-doped ceria aligns with its reported sintering susceptibility [29]. While Mn ions can enter the ceria lattice, a significant ionic radius mismatch introduces substantial lattice strain and point defects. Under hydrothermal conditions, the redox cycling between Mn3+ and Mn4+, while beneficial for low-temperature activity, may accelerate MnOx species segregation and promote crystallization of less active crystalline phases, leading to partial deactivation [30]. However, the residual Mn species maintain a connection with the CeO2 lattice, allowing partial redox activity to persist after aging.
- Pt as a Surface Species and Its Sintering Behavior: The inferior hydrothermal stability of Pt–CeO2 illustrates a classical case of noble metal sintering [31]. In contrast to Zr4+, platinum species do not incorporate into the ceria lattice but remain as metallic nanoparticles or surface oxide clusters. Under high-temperature steam, these Pt particles gain mobility and undergo coalescence, resulting in a pronounced increase in particle size. Consequently, the number of active Pt sites and Pt–CeO2 interfacial sites—which are widely recognized as critical centers for oxygen activation and spillover in oxidation reactions—is markedly reduced. This sintering phenomenon constitutes the primary reason for the observed activity loss.
- Na+ Doping and Structural Degradation: The severe deactivation of Na-doped ceria can be attributed to both structural and chemical factors. The large ionic radius of Na+ makes it difficult to enter the ceria lattice, causing it to reside primarily at the surface [32]. This blocks active sites and, more critically, acts as a fluxing agent. Under hydrothermal conditions, mobile Na+ species react with silica/alumina impurities (originating from PM or the catalyst support itself) and ceria to form low-melting-point silicates, aluminates, or cerates. This leads to pore blockage, surface vitrification, and permanent loss of porosity and specific surface area—a more severe form of deactivation than sintering.
3. Introduction to the Experiment
3.1. Experimental Methods
3.2. Data Analysis Methods
4. Conclusions
- (1)
- Metal-doped CeO2 catalysts significantly improve PM oxidation activity, reducing peak temperature (Tp) and enhancing combustion indices (S and Rw). The activity order is Na > Pt > Mn > Zr, while Tp increases in the order: Zr > Mn > Na > Pt.
- (2)
- The oxidation performance was influenced by metal doping concentration. Mn and Pt doping promoted low-temperature activity, while Na and Zr mainly increased the maximum reaction rate (Wmax). Na doping positively correlated with catalytic performance, whereas Mn, Pt, and Zr exhibited negative correlations.
- (3)
- After hydrothermal aging treatment, the S, Rw, and Tp of the Mn-, Pt-, and Na-modified catalysts decreased drastically, but the changes in the Zr-modified catalysts were smaller, the Ce0.9Pt0.1O2 catalyst showed relatively superior PM oxidation performance. In contrast, the Zr-modified catalyst exhibits excellent hydrothermal aging resistance and shows good structural stability, the hydrothermal aging resistance of Mn-, Pt-, and Na-doped Ce-based catalysts is relatively poor, so the ranking is Zr > Mn > Pt > Na.
Author Contributions
Funding
Data Availability Statement
Conflicts of Interest
Abbreviations
| PM | Particulate matter |
| PU | Printex-U |
| DPF | Diesel particulate filter |
| CDPF | Catalytic diesel particulate filter |
| TGA | Thermogravimetric Analysis |
| TG | Thermogravimetric curve |
| DTG | Derivative Thermogravimetry |
References
- Caliskan, H.; Ergun, Y.; Karali, H.I.; Caglayan, H.; Hong, H.; Kale, U.; Matijošius, J. Investigating the diesel engine emission performances with various novel emission filters. Energy 2025, 318, 134775. [Google Scholar] [CrossRef]
- Wu, H.; Xie, F.; Han, Y. Effect of cetane coupled with various engine conditions on diesel engine combustion and emission. Fuel 2022, 322, 124164. [Google Scholar] [CrossRef]
- Chetia, B.; Debbarma, S.; Ahmed, F. Parametric optimization of variable compression ratio diesel engine run on waste cooking biodiesel with CeO2 nanoparticles using response surface methodology (RSM) technique. Fuel 2025, 389, 134544. [Google Scholar] [CrossRef]
- Zhang, Y.; Lou, D.; Tan, P.; Hu, Z. Particulate Emissions from Urban Bus Fueled with Biodiesel Blend and Their Reducing Characteristics using Particulate After-treatment System. Energy 2018, 155, 77–86. [Google Scholar] [CrossRef]
- Jiaqiang, E.; Pham, M.; Zhao, D.; Deng, Y.; Le, D.; Zuo, W.; Zhu, H.; Liu, T.; Peng, Q.; Zhang, Z. Effect of Different Technologies on Combustion and Emissions of the Diesel Engine Fueled with Biodiesel: A Review. Renew. Sustain. Energy Rev. 2017, 80, 620–647. [Google Scholar] [CrossRef]
- Zhao, Y.; Xu, G.; Li, M.; Chen, Q. The Evolution of the Micro-morphology and Micro-structure of Particles from Diesel Engine in Combination with Exhaust Gas Recirculation. Energy Sources Part A 2018, 40, 805–820. [Google Scholar] [CrossRef]
- Li, M.; Zhao, Y.; Fang, J.; Zhao, S.; Xu, G.; Wang, Z. Effect of Dimethyl Carbonate on the Micromorphology and Structure of Combustion Particles from Diesel Engines. Energy Sources Part A 2019, 8, 1155–1165. [Google Scholar] [CrossRef]
- Yang, K.; Fox, J.T.; Hunsicker, R. Characterizing Diesel Particulate Filter Failure During Commercial Fleet use Due to Pinholes, Melting, Cracking, and Fouling. Emiss. Control Sci. Technol. 2016, 2, 145–155. [Google Scholar] [CrossRef]
- Zuo, Q.; Gong, J.; Li, L.; Chen, T.; Wang, S.; Jia, G. Functional Link Neural Network Prediction on Composite Regeneration time of Diesel Particulate Filter for Vehicle Based on Fuzzy Adaptive Variable Weight Algorithm. J. Inf. Comput. Sci. 2014, 11, 1741–1751. [Google Scholar] [CrossRef]
- Gao, Y.; Wu, X.; Liu, S.; Weng, D.; Ran, R. MnOx-CeO2 Mixed Oxides for Diesel Soot Oxidation: A Review. Catal. Surv. Asia 2018, 22, 230–240. [Google Scholar] [CrossRef]
- Xue, H.; Guo, X.; Guo, Q.; Xue, Z.; Yu, J.; Meng, T.; Mao, D. Promotional effects of phosphotungstic acid on the alkali metals poisoning resistance of MnOx catalyst for NH3-SCR. Fuel 2025, 390, 134728. [Google Scholar] [CrossRef]
- Zhang, B.; Jiaqiang, E.; Gong, J.; Yuan, W.; Zuo, W.; Li, Y.; Fu, J. Multidisciplinary Design Optimization of the Diesel Particulate Filter in the Composite Regeneration. Appl. Energy 2016, 181, 14–28. [Google Scholar] [CrossRef]
- Zhang, B.; Jiaqiang, E.; Gong, J.; Yuan, W.; Zhao, X.; Hu, W. Influence of Structural and Operating Factors on Performance Degradation of the Diesel Particulate Filter Based on Composite Regeneration. Appl. Ther. Eng. 2017, 121, 838–852. [Google Scholar] [CrossRef]
- Jiaqiang, E.; Liu, M.; Deng, Y.; Zhu, H.; Gong, J. Influence Analysis of Monolith Structure on Regeneration Temperature in the Process of Microwave Regeneration in the Diesel Particulate Filter. Can. J. Chem. Eng. 2015, 94, 168–174. [Google Scholar] [CrossRef]
- Cheng, Y.; Liu, J.; Zhao, Z. A New 3DOM Ce-Fe-Ti Material for Simultaneously Catalytic Removal of PM and NOx from Diesel Engines. J. Hazard. Mater. 2018, 342, 317–325. [Google Scholar] [CrossRef]
- Wu, G.; Li, Z.; Abubakar, S.; Li, Y.; Li, Y. Numerical Study on Effects of Key Factors on Performance of CeO2-based Catalyzed Diesel Particulate Filter. J. Therm. Sci. 2020, 29, 1398–1409. [Google Scholar] [CrossRef]
- Da, Y.; Zeng, L.; Wang, C.; Mao, T.; Chen, R.; Gong, C.; Fan, G. Catalytic Oxidation of Diesel Soot Particulates over Pt Substituted LaMn1−xPtxO3 Perovskite Oxides. Catal. Today 2019, 327, 73–80. [Google Scholar] [CrossRef]
- Atribak, I.; Bueno-López, A.; García-García, A. Combined Removal of Diesel Soot Particulates and NOx over CeO2-ZrO2 Mixed Oxides. J. Catal. 2008, 259, 123–132. [Google Scholar] [CrossRef]
- Gross, M.S.; Ulla, M.A.; Querini, C.A. Catalytic Oxidation of Diesel Soot: New Characterization and Kinetic Evidence Related to the Reaction Mechanism on K/CeO2 Catalyst. Appl. Catal. A 2009, 360, 81–88. [Google Scholar] [CrossRef]
- Shimokawa, H.; Kurihara, Y.; Kusaba, H.; Einaga, H.; Teraoka, Y. Comparison of Catalytic Performance of Ag- and K- based Catalysts for Diesel Soot Combustion. Catal. Today 2012, 185, 99–103. [Google Scholar] [CrossRef]
- Liu, S.; Wu, X.; Weng, D. Ceria-based Catalysts for Soot Oxidation: A Review. J. Rare Earths 2015, 33, 567–590. [Google Scholar] [CrossRef]
- Lang, Q.; Zhang, B.; Liu, Z.; Chen, Z.; Xia, Y.; Li, D.; Ma, J.; Gai, C. Cohydrothermal Carbonization of Corn Stalk and Swine Manure: Combustion Behavior of Hydrochar by Thermogravimetric Analysis. Bioresour. Technol. 2018, 271, 75–83. [Google Scholar] [CrossRef] [PubMed]
- Xie, C.; Liu, J.; Zhang, X.; Xie, W.; Sun, J.; Chang, K.; Kuo, J.; Xie, W.; Liu, C.; Sun, S.; et al. Cocombustion Thermal Conversion Characteristics of Textile Dyeing Sludge and Pomelo Peel using TGA and Artificial Neural Networks. Appl. Energy 2018, 212, 786–795. [Google Scholar] [CrossRef]
- He, Y.; Zheng, X.; Mao, D.; Meng, T.; Mao, H.; Yu, J. Promoting catalytic CO2 methanation using Ru catalyst supported on Ce-MOF-derived CeO2. Renew. Energy 2025, 245, 122834. [Google Scholar] [CrossRef]
- Mukherjee, D.; Reddy, B.M. Noble Metal-free CeO2-based Mixed Oxides for CO and Soot Oxidation. Catal. Today 2018, 309, 227–235. [Google Scholar] [CrossRef]
- Ferreira, J.; Andrade, D.I.; Fuziki, M.E.K.; de Almeida, L.N.B.; Colpini, L.M.S.; Lenzi, G.G.; Tusset, A.M. Catalytic Systems in the Reduction of Nitrogen Oxide Emissions in Diesel-Powered Trucks. Sustainability 2022, 14, 6662. [Google Scholar] [CrossRef]
- Atzl, B.A.; Pupp, M.; Rupprich, M. The Use of Photocatalysis and Titanium Dioxide on Diesel Exhaust Fumes for NOx Reduction. Sustainability 2018, 10, 4031. [Google Scholar] [CrossRef]
- Meng, Z.; Wu, D.; Deng, M.; Bao, Z.; Deng, H.; Huang, J. Experimental study of CeO2 after hydrothermal aging on emission characteristics of carbon black oxidation process. Process Saf. Environ. Prot. 2024, 183, 1071–1081. [Google Scholar] [CrossRef]
- Zhang, X.; Zhao, J.; Song, Z.; Liu, W.; Zhao, H.; Zhao, M.; Xing, Y.; Ma, Z.; Du, H. The catalytic oxidation performance of toluene over the Ce-Mn-Ox catalysts: Effect of synthetic routes. J. Colloid Interface Sci. 2020, 562, 170–181. [Google Scholar] [CrossRef]
- Rui, S.; Liu, N.; Ren, L.; Liu, Y.; Liu, Z.; Wu, B.; Pan, H.; Ye, Z. Resolving NO-CO competitive adsorption in CO-SCR: The role of Ni doping in Mn-Ce catalysts. J. Environ. Chem. Eng. 2025, 13, 115568. [Google Scholar] [CrossRef]
- Jin, J.; Li, C.; Tsang, C.-W.; Xu, B.; Liang, C. Catalytic combustion of methane over Pt–Ce oxides under scarce oxygen condition. Ind. Eng. Chem. Res. 2016, 55, 2293–2301. [Google Scholar] [CrossRef]
- Bueno-López, A. Diesel Soot Combustion Ceria Catalysts. Appl. Catal. B 2014, 146, 1–11. [Google Scholar] [CrossRef]
- Wang, P.; Li, Z.; Ao, C.; Zhang, L.; Lei, L. Interactive effects of NOx synergistic and hydrothermal aging on soot catalytic combustion in Ce-based catalysts. Combust. Flame 2022, 245, 112289. [Google Scholar] [CrossRef]
- Fang, J.; Shi, R.; Meng, Z.; Jiang, Y.; Qin, Z.; Zhang, Q.; Qin, Y.; Tan, J.; Bai, W. The Interaction Effect of Catalyst and Ash on Diesel Soot Oxidation by Thermogravimetric Analysis. Fuel 2019, 258, 116151. [Google Scholar] [CrossRef]
- Fang, J.; Zhang, Q.; Meng, Z.; Luo, Y.; Ou, J.; Du, Y.; Zhang, Z. Effects of Ash Composition and Ash Stack Heights on Soot Deposition and Oxidation Processes in Catalytic Diesel Particulate Filter. J. Energy Inst. 2021, 93, 1942–1950. [Google Scholar] [CrossRef]







| Catalyst | S/%2min−2 °C−3 | Rw/%min−1 °C−2 | Tp/°C |
|---|---|---|---|
| Ce0.9Mn0.1O2 | 46.65 × 107 | 39,972.41 | 389.5 |
| Ce0.95Na0.04O2 | 93.72 × 107 | 84,128.23 | 381.5 |
| Ce0.9Pt0.1O2 Ce0.6Zr0.4O2 | 64.50 × 107 18.69 × 107 | 61,471.91 18,783.95 | 335.5 476.8 |
| Catalyst | S Trend/% | Rw Trend/% | Tp Trend/°C |
|---|---|---|---|
| Ce0.95Mn0.05O2→Ce0.9Mn0.1O2 | 160.2 | 130.54 | −30.14 |
| Ce0.95Na0.04O2→Ce0.95Na0.08O2 | −3.75 | −6.54 | −2.16 |
| Ce0.95Pt0.05O2→Ce0.9Pt0.1O2 Ce0.76Zr0.24O2→Ce0.6Zr0.4O2 | 100.25 9.23 | 90.25 10.12 | −7.12 3.11 |
| Catalyst | Aging Temperature and Time | S Trend/% | Rw Trend/% | Tp Trend/°C |
|---|---|---|---|---|
| Ce0.95Mn0.05O2 | 750 °C, 12 h | −53.35 | −55.15 | 45.5 |
| Ce0.95Mn0.05O2 | 750 °C, 24 h | −27.30 | −37.21 | 51 |
| Ce0.9Mn0.1O2 Ce0.9Mn0.1O2 Ce0.96Na0.04O2 | 750 °C, 12 h 750 °C, 24 h 750 °C, 12 h | 31.20 26.15 64.37 | 17.83 13.68 65.85 | 62 85.5 19 |
| Ce0.96Na0.04O2 | 750 °C, 24 h | 78.26 | 83.03 | 124 |
| Ce0.92Na0.08O2 Ce0.92Na0.08O2 | 750 °C, 12 h 750 °C, 24 h | 54.21 52.16 | 57.93 56.55 | 0 22.5 |
| Ce0.95Pt0.05O2 Ce0.95Pt0.05O2 Ce0.9Pt0.1O2 Ce0.9Pt0.1O2 Ce0.76Zr0.24O2 Ce0.76Zr0.24O2 Ce0.6Zr0.4O2 Ce0.6Zr0.4O2 CeO2 CeO2 | 750 °C, 12 h 750 °C, 24 h 750 °C, 12 h 750 °C, 24 h 750 °C, 12 h 750 °C, 24 h 750 °C, 12 h 750 °C, 24 h 750 °C, 12 h 750 °C, 24 h | 8.48 16.24 48.35 40.26 3.93 5.51 7.52 16.26 8.56 20.65 | 15.55 31.95 57.82 55.30 −5.95 1.24 5.55 14.28 5.06 18.25 | 30 116 105 1 0 −4 17 23 42 67 |
| Property | Numerical Value |
|---|---|
| Temperature range | 1100 °C |
| Equilibrium accuracy | 0.2 g |
| Sample Mass Thermogravimetric Drift Rising Rate | Max. 1 g <1 mg/h 0.02∼250 K/min |
| Property | Numerical Value |
|---|---|
| Carbon Black Grade | Printex-U |
| Particle Size | 25~35/nm |
| Specific Surface Area Oil Content Ash Content | 85~95/(m2/g) 440~460/(g/100 g) 0.02/% |
Disclaimer/Publisher’s Note: The statements, opinions and data contained in all publications are solely those of the individual author(s) and contributor(s) and not of MDPI and/or the editor(s). MDPI and/or the editor(s) disclaim responsibility for any injury to people or property resulting from any ideas, methods, instructions or products referred to in the content. |
© 2025 by the authors. Licensee MDPI, Basel, Switzerland. This article is an open access article distributed under the terms and conditions of the Creative Commons Attribution (CC BY) license (https://creativecommons.org/licenses/by/4.0/).
Share and Cite
Zou, Y.; Xiao, L. Hydrothermal Aging Mechanism of CeO2-Based Catalytic Materials and Its Structure–Activity Relationship Study on Particulate Matter Oxidation Performance. Catalysts 2025, 15, 962. https://doi.org/10.3390/catal15100962
Zou Y, Xiao L. Hydrothermal Aging Mechanism of CeO2-Based Catalytic Materials and Its Structure–Activity Relationship Study on Particulate Matter Oxidation Performance. Catalysts. 2025; 15(10):962. https://doi.org/10.3390/catal15100962
Chicago/Turabian StyleZou, Yantao, and Liguang Xiao. 2025. "Hydrothermal Aging Mechanism of CeO2-Based Catalytic Materials and Its Structure–Activity Relationship Study on Particulate Matter Oxidation Performance" Catalysts 15, no. 10: 962. https://doi.org/10.3390/catal15100962
APA StyleZou, Y., & Xiao, L. (2025). Hydrothermal Aging Mechanism of CeO2-Based Catalytic Materials and Its Structure–Activity Relationship Study on Particulate Matter Oxidation Performance. Catalysts, 15(10), 962. https://doi.org/10.3390/catal15100962
