Sign in to use this feature.

Years

Between: -

Subjects

remove_circle_outline
remove_circle_outline
remove_circle_outline
remove_circle_outline

Journals

Article Types

Countries / Regions

Search Results (12)

Search Parameters:
Keywords = PLPP5

Order results
Result details
Results per page
Select all
Export citation of selected articles as:
23 pages, 4164 KB  
Article
Transcriptomic Analysis Provides New Insights into Oocyte Growth and Maturation in Greater Amberjack (Seriola dumerili)
by Jiahui Yang, Xiaoying Ru, Yang Huang, Jinhui Wu, Tonglin Yang, Peipei Chen, Jin Li, Kunfeng Zhu and Chunhua Zhu
Animals 2025, 15(3), 333; https://doi.org/10.3390/ani15030333 - 24 Jan 2025
Cited by 2 | Viewed by 1129
Abstract
The greater amberjack (Seriola dumerili) is an emerging marine fish that is increasingly favored in aquaculture. Currently, there are few studies on the development and regulation of greater amberjack ovaries. In this study, the ovary transcriptome profiles of greater amberjack at [...] Read more.
The greater amberjack (Seriola dumerili) is an emerging marine fish that is increasingly favored in aquaculture. Currently, there are few studies on the development and regulation of greater amberjack ovaries. In this study, the ovary transcriptome profiles of greater amberjack at three different stages (stage II, III, and IV) were performed, and identified the genes and pathways that may play significant roles in the processes of follicle growth and maturation. A total of 6597, and 1061 differentially expressed genes (DEGs) were detected in FII vs. FIII, FIII vs. FIV, and FII vs. FIV stages, respectively. GO and KEGG enrichment analyses revealed that these DEGS are primarily involved in steroid hormone biosynthesis (e.g., cyp11a1, cyp17a1, cyp19a1a, hsd3b1, esr1), lipid metabolism (e.g., plpp3, lpl, pld1, and fabp10a), and meiotic arrest and resumption (e.g., pgr, arb, ccnd2, adcy2, adcy9, myl9, calm1). Additionally, several signaling pathways involved in ovarian development have been identified, including the PI3K-Akt, Wnt, TGF-beta, GnRH, and immune-related signaling pathways. qPCR results of nine representative genes related to steroid hormone synthesis and cell growth verified the reliability of the generated RNA-seq data. This research contributes to our comprehension of the molecular processes underlying ovarian growth and maturation in marine fishes and provides a theoretical basis for the investigation of functional genes associated with oogenesis in greater amberjack. Full article
(This article belongs to the Section Animal Physiology)
Show Figures

Figure 1

14 pages, 6575 KB  
Article
Effect of Fatty Acids on Backfat Quality in Beijing Black Pigs
by Xueli Zhu, Weilong Tian, Ziping Hu, Renda Hou, Xinhua Hou, Ligang Wang, Longchao Zhang, Lei Pu, Lixian Wang and Xin Liu
Foods 2024, 13(23), 3927; https://doi.org/10.3390/foods13233927 - 5 Dec 2024
Viewed by 1299
Abstract
The quality of pig backfat affects both pork quality and consumer preferences. Fatty acids (FAs) are crucial in determining the backfat quality. This study assessed the effect of FAs on the backfat quality and identified candidate genes associated with these FAs. The differential [...] Read more.
The quality of pig backfat affects both pork quality and consumer preferences. Fatty acids (FAs) are crucial in determining the backfat quality. This study assessed the effect of FAs on the backfat quality and identified candidate genes associated with these FAs. The differential fatty acids (DFAs) were compared in pigs with varying backfat firmness and four DFAs—caproic acid, stearic acid, linoleic acid and alpha-linolenic acid—were selected based on T-tests (p < 0.05), fold changes (FC > 2 or FC < 0.5), and variable importance (VIP > 1). Genome-wide association studies on the DFAs and linoleic acid/alpha-linolenic acid ratios in 413 Beijing Black pigs identified 22 single-nucleotide polymorphisms significantly associated with one or more traits. The genes PLPP3, MGLL, CYP27A1 and UBE3C were identified as candidates associated with these traits influencing the backfat quality. These findings enhance our understanding of the backfat quality in Beijing Black pigs and provide a basis for further research. Full article
(This article belongs to the Section Food Quality and Safety)
Show Figures

Figure 1

22 pages, 7112 KB  
Article
Phospholipid Phosphatase 3 (PLPP3) Induces Oxidative Stress to Accelerate Ovarian Aging in Pigs
by Hongyan Quan, Yixuan Guo, Shuo Li, Yao Jiang, Qingpeng Shen, Yingting He, Xiaofeng Zhou, Xiaolong Yuan and Jiaqi Li
Cells 2024, 13(17), 1421; https://doi.org/10.3390/cells13171421 - 25 Aug 2024
Cited by 2 | Viewed by 2565
Abstract
Ovarian aging results in reproductive disorders and infertility in mammals. Previous studies have reported that the ferroptosis and autophagy caused by oxidative stress may lead to ovarian aging, but the mechanisms remain unclear. In this study, we compared the morphological characteristics between the [...] Read more.
Ovarian aging results in reproductive disorders and infertility in mammals. Previous studies have reported that the ferroptosis and autophagy caused by oxidative stress may lead to ovarian aging, but the mechanisms remain unclear. In this study, we compared the morphological characteristics between the aged and young ovaries of pigs and found that the aged ovaries were larger in size and showed more corpora lutea. TUNEL assay further showed that the apoptosis level of granulosa cells (GCs) was relatively higher in the aged ovaries than those in young ovaries, as well as the expressions of autophagy-associated genes, e.g., p62, ATG7, ATG5, and BECN1, but that the expressions of oxidative stress and aging-associated genes, e.g., SOD1, SIRT1, and SIRT6, were significantly lower. Furthermore, the RNA-seq, Western blotting, and immunofluorescence suggested that phospholipid phosphatase 3 (PLPP3) protein was significantly upregulated in the aged ovaries. PLPP3 was likely to decrease the expressions of SIRT1 and SIRT6 to accelerate cellular senescence of porcine GCs, inhibit the expressions of SOD1, CAT, FSP1, FTH1, and SLC7A11 to exacerbate oxidative stress and ferroptosis, and arouse autophagy to retard the follicular development. In addition, two SNPs of PLPP3 promoter were significantly associated with the age at puberty. g.155798586 (T/T) and g.155798718 (C/C) notably facilitated the mRNA and protein level of PLPP3. In conclusion, PLPP3 might aggravate the oxidative stress of GCs to accelerate ovarian aging, and two molecular markers of PLPP3 were identified for ovarian aging in pigs. This work not only contributes to investigations on mechanisms for ovarian aging but also provides valuable molecular markers to postpone ovarian aging in populations. Full article
(This article belongs to the Section Cellular Aging)
Show Figures

Figure 1

19 pages, 4095 KB  
Article
Construction and Evaluation of an Efficient Live Attenuated Salmonella Choleraesuis Vaccine and Its Ability as a Vaccine Carrier to Deliver Heterologous Antigens
by Xiaoping Bian, Jin Chen, Xin Chen, Chengying Liu, Jianjun Ding, Mengru Li, Xiaofen Zhang, Qing Liu and Qingke Kong
Vaccines 2024, 12(3), 249; https://doi.org/10.3390/vaccines12030249 - 27 Feb 2024
Cited by 3 | Viewed by 2252
Abstract
The gram-negative facultative intracellular pathogen Salmonella enterica serotype Choleraesuis, also known as S. Choleraesuis, is a major financial loss for the pig business. C500 is a vaccine strain that has been used for preventing S. Choleraesuis infection in pigs for many [...] Read more.
The gram-negative facultative intracellular pathogen Salmonella enterica serotype Choleraesuis, also known as S. Choleraesuis, is a major financial loss for the pig business. C500 is a vaccine strain that has been used for preventing S. Choleraesuis infection in pigs for many years in China. Although it possessed good immunogenicity and protection efficacy, it still showed severe side effects. The truncation of the key gene rpoS in C500 was believed to take the major responsibility for its attenuation. To achieve a good balance between attenuation and immunogenicity, rpoS was restored to an active state, and other essential virulent genes of crp, fur, phoP, and aroA were evaluated for their effects of deletion on safety and immunogenicity. Animal experiments demonstrated that C5001 (C500 rpoS+ Δcrp10) and C5002 (C500 rpoS+ Δfur9) showed an excellent ability to induce an immune response. To further decrease the endotoxic activity, the combination mutations of ΔpagL7 ΔpagP81::Plpp lpxE ΔlpxR9 were introduced into the mutant strains to generate 1′-dephosphorylated lipid A. Animal experiments showed that SC3 (C500 rpoS+ Δfur9 ΔpagL7 ΔpagP81:: Plpp lpxE ΔlpxR9) induced higher levels of IgG and secreted IgA antibodies and provided a higher protection rate than SC1 (C500 ΔpagL7 ΔpagP81:: Plpp lpxE ΔlpxR9) and SC2 (C500 rpoS+ Δcrp10 ΔpagL7 ΔpagP81:: PlpplpxE ΔlpxR9). We also evaluated the ability of SC3 (C500 rpoS+ Δfur9 ΔpagL7 ΔpagP81:: Plpp lpxE ΔlpxR9) as a vaccine carrier to deliver heterologous protein antigens and polysaccharide antigens. The results indicated that SC3 (C500 rpoS+ Δfur9 ΔpagL7 ΔpagP81:: Plpp lpxE ΔlpxR9) showed an excellent ability to deliver heterologous antigens and induce the host to produce high levels of antibodies. Together, these results indicate that we constructed a safe and efficient attenuated strain of the S. Choleraesuis vaccine, which demonstrated strong resistance to infection with wild-type S. Choleraesuis and can be employed as a universal vector for the delivery of recombinant antigens. Full article
(This article belongs to the Section Vaccine Design, Development, and Delivery)
Show Figures

Figure 1

15 pages, 3134 KB  
Article
Z-Ligustilide Combined with Cisplatin Reduces PLPP1-Mediated Phospholipid Synthesis to Impair Cisplatin Resistance in Lung Cancer
by Pengyu Geng, Jinhui Zhao, Qi Li, Xiaolin Wang, Wangshu Qin, Ting Wang, Xianzhe Shi, Xinyu Liu, Jia Chen, Hongdeng Qiu and Guowang Xu
Int. J. Mol. Sci. 2023, 24(23), 17046; https://doi.org/10.3390/ijms242317046 - 1 Dec 2023
Cited by 8 | Viewed by 2447
Abstract
Lung cancer is a malignant tumor with one of the highest morbidity and mortality rates in the world. Approximately 80–85% of lung cancer is diagnosed as non-small lung cancer (NSCLC), and its 5-year survival rate is only 21%. Cisplatin is a commonly used [...] Read more.
Lung cancer is a malignant tumor with one of the highest morbidity and mortality rates in the world. Approximately 80–85% of lung cancer is diagnosed as non-small lung cancer (NSCLC), and its 5-year survival rate is only 21%. Cisplatin is a commonly used chemotherapy drug for the treatment of NSCLC. Its efficacy is often limited by the development of drug resistance after long-term treatment. Therefore, determining how to overcome cisplatin resistance, enhancing the sensitivity of cancer cells to cisplatin, and developing new therapeutic strategies are urgent clinical problems. Z-ligustilide is the main active ingredient of the Chinese medicine Angelica sinensis, and has anti-tumor activity. In the present study, we investigated the effect of the combination of Z-ligustilide and cisplatin (Z-ligustilide+cisplatin) on the resistance of cisplatin-resistant lung cancer cells and its mechanism of action. We found that Z-ligustilide+cisplatin decreased the cell viability, induced cell cycle arrest, and promoted the cell apoptosis of cisplatin-resistant lung cancer cells. Metabolomics combined with transcriptomics revealed that Z-ligustilide+cisplatin inhibited phospholipid synthesis by upregulating the expression of phospholipid phosphatase 1 (PLPP1). A further study showed that PLPP1 expression was positively correlated with good prognosis, whereas the knockdown of PLPP1 abolished the effects of Z-ligustilide+cisplatin on cell cycle and apoptosis. Specifically, Z-ligustilide+cisplatin inhibited the activation of protein kinase B (AKT) by reducing the levels of phosphatidylinositol 3,4,5-trisphosphate (PIP3). Z-ligustilide+cisplatin induced cell cycle arrest and promoted the cell apoptosis of cisplatin-resistant lung cancer cells by inhibiting PLPP1-mediated phospholipid synthesis. Our findings demonstrate that the combination of Z-Ligustilide and cisplatin is a promising approach to the chemotherapy of malignant tumors that are resistant to cisplatin. Full article
(This article belongs to the Section Molecular Oncology)
Show Figures

Figure 1

21 pages, 6723 KB  
Article
Evaluation of the Longissimus Thoracis et Lumborum Muscle Quality of Chaka and Tibetan Sheep and the Analysis of Possible Mechanisms Regulating Meat Quality
by Xianli Xu, Hongjin Liu, Xungang Wang, Qian Zhang, Tongqing Guo, Linyong Hu and Shixiao Xu
Animals 2023, 13(15), 2494; https://doi.org/10.3390/ani13152494 - 2 Aug 2023
Cited by 14 | Viewed by 2459
Abstract
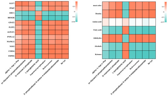
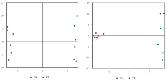
This study aimed to comprehensively evaluate the characteristics in the longissimus thoracis et lumborum (LTL) muscle of Chaka (CK) sheep and Tibetan (TB) sheep, and transcriptomics–metabolomics association analysis was used to find the possible genes, differential metabolites, and significant differential metabolic pathways that [...] Read more.
This study aimed to comprehensively evaluate the characteristics in the longissimus thoracis et lumborum (LTL) muscle of Chaka (CK) sheep and Tibetan (TB) sheep, and transcriptomics–metabolomics association analysis was used to find the possible genes, differential metabolites, and significant differential metabolic pathways that lead to meat quality differences. Based on the researched results, the nutritional quality of meat, including the contents of ether extract (11.95% vs. 10.56%), unsaturated fatty acid (51.20% vs. 47.69%), and polyunsaturated fatty acid (5.71% vs. 3.97%), were better in TB sheep than in CK sheep, while the CK sheep has better muscle fiber characteristics, such as the total number (62 vs. 45) and muscle fiber density (1426.54 mm2 vs. 1158.77 mm2) and flavor. Omics research has shown that the key differential metabolites and metabolic pathways were dominated by amino acid metabolism, particularly the glutathione metabolism, taurine and hypotaurine metabolism, and lipid metabolism-related pathways, such as glycerophospholipid metabolism and the sphingolipid signaling pathway. The intermediate metabolite sn-Glycerol 3-phosphoethanolamine played a key role in determining sheep meat quality, which was regulated by GPAT2, PLPP2, AGPAT1, PNPLA2, and GPAT4 and correlated with meat color, texture, and flavor. Overall, these results will provide effective information and more evidence to support further exploration of valuable biomarkers of meat quality. Full article
(This article belongs to the Section Animal Products)
Show Figures

Figure 1

13 pages, 1724 KB  
Article
Characteristics and Prognosis of 8p11.23-Amplified Squamous Lung Carcinomas
by Ioannis A. Voutsadakis
J. Clin. Med. 2023, 12(5), 1711; https://doi.org/10.3390/jcm12051711 - 21 Feb 2023
Cited by 6 | Viewed by 2336
Abstract
Background: Copy number alterations are common genetic lesions in cancer. In squamous non-small cell lung carcinomas, the most common copy-number-altered loci are at chromosomes 3q26-27 and 8p11.23. The genes that may be drivers in squamous lung cancers with 8p11.23 amplifications are unclear. Methods: [...] Read more.
Background: Copy number alterations are common genetic lesions in cancer. In squamous non-small cell lung carcinomas, the most common copy-number-altered loci are at chromosomes 3q26-27 and 8p11.23. The genes that may be drivers in squamous lung cancers with 8p11.23 amplifications are unclear. Methods: Data pertaining to copy number alterations, mRNA expression and protein expression of genes located in the 8p11.23 amplified region were extracted from various sources including The Cancer Genome Atlas, the Human Protein Atlas and the Kaplan Meier Plotter. Genomic data were analyzed using the cBioportal platform. Survival analysis of cases with amplifications compared to nonamplified cases was performed using the Kaplan Meier Plotter platform. Results: The 8p11.23 locus is amplified in 11.5% to 17.7% of squamous lung carcinomas. The most frequently amplified genes include NSD3, FGFR1 and LETM2. Only some of the amplified genes present concomitant overexpression at the mRNA level. These include NSD3, PLPP5, DDHD2, LSM1 and ASH2L, while other genes display lower levels of correlation, and still, some genes in the locus show no mRNA overexpression compared with copy-neutral samples. The protein products of most locus genes are expressed in squamous lung cancers. No significant difference in overall survival in 8p11.23-amplified squamous cell lung cancers versus nonamplified cancers is observed. In addition, there is no adverse effect of mRNA overexpression for relapse-free survival of any of the amplified genes. Conclusion: Several genes that are part of the commonly amplified locus 8p11.23 in squamous lung carcinomas are putative oncogenic candidates. A subset of genes of the centromeric part of the locus, which is amplified more commonly than the telomeric part, show high concomitant mRNA expression. Full article
(This article belongs to the Section Oncology)
Show Figures

Figure 1

12 pages, 884 KB  
Article
Sphingolipid Metabolism as a New Predictive Target Correlated with Aging and AD: A Transcriptomic Analysis
by Simone D’Angiolini, Luigi Chiricosta and Emanuela Mazzon
Medicina 2022, 58(4), 493; https://doi.org/10.3390/medicina58040493 - 30 Mar 2022
Cited by 6 | Viewed by 3318
Abstract
Background and objectives: Alzheimer’s disease (AD) is the most common form of dementia characterized by memory loss and executive dysfunction. To date, no markers can effectively predict the onset of AD and an early diagnosis is increasingly necessary. Age represents an important [...] Read more.
Background and objectives: Alzheimer’s disease (AD) is the most common form of dementia characterized by memory loss and executive dysfunction. To date, no markers can effectively predict the onset of AD and an early diagnosis is increasingly necessary. Age represents an important risk factor for the disease but it is not known whether it is the trigger event. Materials and Methods: We downloaded transcriptomic data related to post-mortem brain of thirty samples gathered as young without AD (Young), old without AD (Old), and old suffering from AD (OAD) groups. Results: Our results showed that steroid biosynthesis was enriched and associated with aging, while sphingolipid metabolism was related to both aging and AD. Specifically, sphingolipid metabolism is involved in the deregulation of CERS2, UGT8, and PLPP2. These genes are downregulated in Young and Old groups as compared with upregulated between Old and OAD groups. Moreover, the analysis of the interaction networks revealed that GABAergic synapse and Hippo signaling pathways were altered in AD condition along with mitochondrial metabolism and RNA processing. Conclusions: Observing the particular trend of genes related to sphingolipid metabolism that are downregulated during normal aging and start to be upregulated with the onset of AD, we suppose that sphingolipids could be early markers for the disease. Full article
(This article belongs to the Section Geriatrics/Aging)
Show Figures

Figure 1

14 pages, 3592 KB  
Article
MicroRNA-6498-5p Inhibits Nosema bombycis Proliferation by Downregulating BmPLPP2 in Bombyx mori
by Congwu Hu, Zhanqi Dong, Boyuan Deng, Qin Wu, Peng Chen, Cheng Lu and Minhui Pan
J. Fungi 2021, 7(12), 1051; https://doi.org/10.3390/jof7121051 - 8 Dec 2021
Cited by 12 | Viewed by 2965
Abstract
As microRNAs (miRNAs) are important expression regulators of coding RNA, it is important to characterize their role in the interaction between hosts and pathogens. To obtain a comprehensive understanding of the miRNA alternation in Bombyx mori (B. mori) infected with Nosema [...] Read more.
As microRNAs (miRNAs) are important expression regulators of coding RNA, it is important to characterize their role in the interaction between hosts and pathogens. To obtain a comprehensive understanding of the miRNA alternation in Bombyx mori (B. mori) infected with Nosema bombycis (N. bombycis), RNA sequencing and stem-loop qPCR were conducted to screen and identify the significantly differentially expressed miRNAs (DEmiRNAs). A total of 17 such miRNAs were identified in response to N. bombycis infection, among which miR6498-5p efficiently inhibited the proliferation of N. bombycis in BmE-SWU1 (BmE) cells by downregulating pyridoxal phosphate phosphatase 2 (BmPLPP2). In addition, a fluorescence in situ hybridization (FISH) assay showed that miR6498-5p was located in the cytoplasm of BmE cells, while it was not found in the schizonts of N. bombycis. Further investigation of the effect of BmPLPP2 on the proliferation of schizonts found that the positive factor BmPLPP2 could facilitate N. bombycis completing its life cycle in cells by overexpression and RNAi of BmPLPP2. Our findings offer multiple new insights into the role of miRNAs in the interaction between hosts and microsporidia. Full article
(This article belongs to the Topic Fungal Infections in Immunocompromised Hosts)
Show Figures

Figure 1

13 pages, 1397 KB  
Article
Preliminary Study: Proteomic Profiling Uncovers Potential Proteins for Biomonitoring Equine Melanocytic Neoplasm
by Parichart Tesena, Amornthep Kingkaw, Wanwipa Vongsangnak, Surakiet Pitikarn, Narumon Phaonakrop, Sittiruk Roytrakul and Attawit Kovitvadhi
Animals 2021, 11(7), 1913; https://doi.org/10.3390/ani11071913 - 27 Jun 2021
Cited by 6 | Viewed by 3155
Abstract
Equine melanocytic neoplasm (EMN) is a cutaneous neoplasm and is mostly observed in aged grey horses. This preliminary study aimed to identify potential proteins to differentiate normal, mild and severe EMN from serum proteomic profiling. Serum samples were collected from 25 grey horses [...] Read more.
Equine melanocytic neoplasm (EMN) is a cutaneous neoplasm and is mostly observed in aged grey horses. This preliminary study aimed to identify potential proteins to differentiate normal, mild and severe EMN from serum proteomic profiling. Serum samples were collected from 25 grey horses assigned to three groups: normal (free of EMN; n = 10), mild (n = 6) and severe EMN (n = 9). To explore the differences in proteins between groups, proteomic profiling and analysis were employed. Accordingly, 8241 annotated proteins out of 8725 total proteins were compared between normal and EMN groups and inspected based on differentially expressed proteins (DEPs). Through DEP analysis, 95 significant DEPs differed between normal and EMN groups. Among these DEPs, 41 significant proteins were categorised according to protein functions. Based on 41 significant proteins, 10 were involved in metabolism and 31 in non-metabolism. Interestingly, phospholipid phosphatase6 (PLPP6) and ATPase subunit alpha (Na+/K+-ATPase) were considered as potential proteins uniquely expressed in mild EMN and related to lipid and energy metabolism, respectively. Non-metabolism-related proteins (BRCA1, phosphorylase B kinase regulatory subunit: PHKA1, tyrosine-protein kinase receptor: ALK and rho-associated protein kinase: ROCK1) correlated to melanoma development differed among all groups. The results of our study provide a foundation for early EMN biomonitoring and prevention. Full article
(This article belongs to the Special Issue Advances in Equine Metabolomics)
Show Figures

Figure 1

24 pages, 1158 KB  
Review
Lipid Phosphate Phosphatases and Cancer
by Xiaoyun Tang and David N. Brindley
Biomolecules 2020, 10(9), 1263; https://doi.org/10.3390/biom10091263 - 2 Sep 2020
Cited by 38 | Viewed by 8799
Abstract
Lipid phosphate phosphatases (LPPs) are a group of three enzymes (LPP1–3) that belong to a phospholipid phosphatase (PLPP) family. The LPPs dephosphorylate a wide spectrum of bioactive lipid phosphates, among which lysophosphatidate (LPA) and sphingosine 1-phosphate (S1P) are two important extracellular signaling molecules. [...] Read more.
Lipid phosphate phosphatases (LPPs) are a group of three enzymes (LPP1–3) that belong to a phospholipid phosphatase (PLPP) family. The LPPs dephosphorylate a wide spectrum of bioactive lipid phosphates, among which lysophosphatidate (LPA) and sphingosine 1-phosphate (S1P) are two important extracellular signaling molecules. The LPPs are integral membrane proteins, which are localized on plasma membranes and intracellular membranes, including the endoplasmic reticulum and Golgi network. LPPs regulate signaling transduction in cancer cells and demonstrate different effects in cancer progression through the breakdown of extracellular LPA and S1P and other intracellular substrates. This review is intended to summarize an up-to-date understanding about the functions of LPPs in cancers. Full article
(This article belongs to the Special Issue Phospholipases: From Structure to Biological Function)
Show Figures

Figure 1

20 pages, 3045 KB  
Article
Mining the Plasma Cell Transcriptome for Novel Cell Surface Proteins
by Stephanie Trezise, Alexander Karnowski, Pasquale L. Fedele, Sridurga Mithraprabhu, Yang Liao, Kathy D’Costa, Andrew J. Kueh, Matthew P. Hardy, Catherine M. Owczarek, Marco J. Herold, Andrew Spencer, Wei Shi, Simon N. Willis, Stephen L. Nutt and Lynn M. Corcoran
Int. J. Mol. Sci. 2018, 19(8), 2161; https://doi.org/10.3390/ijms19082161 - 24 Jul 2018
Cited by 24 | Viewed by 8547
Abstract
Antibody Secreting Cells (ASCs) are a fundamental component of humoral immunity, however, deregulated or excessive antibody production contributes to the pathology of autoimmune diseases, while transformation of ASCs results in the malignancy Multiple Myeloma (MM). Despite substantial recent improvements in treating these conditions, [...] Read more.
Antibody Secreting Cells (ASCs) are a fundamental component of humoral immunity, however, deregulated or excessive antibody production contributes to the pathology of autoimmune diseases, while transformation of ASCs results in the malignancy Multiple Myeloma (MM). Despite substantial recent improvements in treating these conditions, there is as yet no widely used ASC-specific therapeutic approach, highlighting a critical need to identify novel methods of targeting normal and malignant ASCs. Surface molecules specifically expressed by the target cell population represent ideal candidates for a monoclonal antibody-based therapy. By interrogating the ASC gene signature that we previously defined we identified three surface proteins, Plpp5, Clptm1l and Itm2c, which represent potential targets for novel MM treatments. Plpp5, Clptm1l and Itm2c are highly and selectively expressed by mouse and human ASCs as well as MM cells. To investigate the function of these proteins within the humoral immune system we have generated three novel mouse strains, each carrying a loss-of-function mutation in either Plpp5, Clptm1l or Itm2c. Through analysis of these novel strains, we have shown that Plpp5, Clptm1l and Itm2c are dispensable for the development, maturation and differentiation of B-lymphocytes, and for the production of antibodies by ASCs. As adult mice lacking either protein showed no apparent disease phenotypes, it is likely that targeting these molecules on ASCs will have minimal on-target adverse effects. Full article
Show Figures

Graphical abstract

Back to TopTop