Sign in to use this feature.

Years

Between: -

Subjects

remove_circle_outline
remove_circle_outline
remove_circle_outline
remove_circle_outline
remove_circle_outline
remove_circle_outline
remove_circle_outline

Journals

Article Types

Countries / Regions

Search Results (68)

Search Parameters:
Keywords = PLA+CF

Order results
Result details
Results per page
Select all
Export citation of selected articles as:
29 pages, 5920 KB  
Article
Design of a Novel Integrated Solid–Liquid Separation and Mixing Pin Screw for CF-PLA Particle-Based 3D Printing: Fluid Simulation and Performance Evaluation
by Jun Wang, Xinke Liu, Guanjun Fu, Xipeng Luo, Hang Hu, Shuisheng Chen and Yizhe Huang
Appl. Sci. 2025, 15(18), 10275; https://doi.org/10.3390/app151810275 - 22 Sep 2025
Viewed by 270
Abstract
Particle-based 3D printing shows great potential in high-performance composite fabrication due to high raw material utilization and flexible material compatibility. However, constrained by conventional extrusion system structures, critical issues (non-uniform melt conveying, insufficient mixing efficacy, poor extrusion stability, etc.) remain. To address these, [...] Read more.
Particle-based 3D printing shows great potential in high-performance composite fabrication due to high raw material utilization and flexible material compatibility. However, constrained by conventional extrusion system structures, critical issues (non-uniform melt conveying, insufficient mixing efficacy, poor extrusion stability, etc.) remain. To address these, this study proposes a novel separate-type pin screw integrating solid–liquid separation (from split screws) and high-efficiency mixing (from pin screws) to improve CF/PLA composite extrusion efficiency and mixing homogeneity in particle-based 3D printing. Three-dimensional modeling, static strength/stiffness analysis, and POLYFLOW-based numerical simulation of particle melt conveying/mixing in the screw channel were conducted to analyze structural parameter effects on pressure field, shear rate, and mixing. Experiments assessed printer extrusion rate (different screws) and printed specimen mechanical properties. The simulation and experiment confirmed the optimized screw has better pressure distribution and mixing at 20 rpm, with optimal pin parameters: diameter 2 mm, height 1.6 mm, radial angle 60°, and axial spacing 10 mm. This work offers theoretical/structural support for particle-based 3D printing extrusion system optimization. Full article
(This article belongs to the Section Additive Manufacturing Technologies)
Show Figures

Figure 1

18 pages, 2863 KB  
Article
The Ecological Trap: Biodegradable Mulch Film Residue Undermines Soil Fungal Network Stability
by Maolu Wei, Yiping Wang, Feiyu Xie, Qian Sun, Huanhuan Shao, Xiaojie Cheng, Xiaoyan Wang, Xiang Tao, Xinyi He, Bin Yong and Dongyan Liu
Microorganisms 2025, 13(9), 2137; https://doi.org/10.3390/microorganisms13092137 - 12 Sep 2025
Viewed by 557
Abstract
Biodegradable mulching films are promoted as alternatives to traditional polyethylene films, but their environmental impacts remain controversial. This study investigates how biodegradable films affect microplastic pollution of soil, fungal community structure, and ecological network stability. We conducted a maize field experiment comparing conventional [...] Read more.
Biodegradable mulching films are promoted as alternatives to traditional polyethylene films, but their environmental impacts remain controversial. This study investigates how biodegradable films affect microplastic pollution of soil, fungal community structure, and ecological network stability. We conducted a maize field experiment comparing conventional polyethylene (CF, PE) and biodegradable (BF, PLA + PBAT) film residues. We used scanning electron microscopy and high-throughput sequencing of fungal ITS genes. We assessed soil properties, microplastic release, fungal communities, and network stability through co-occurrence analysis. BF degraded rapidly, releasing microplastic concentrations much higher than CF. BF increased soil carbon and nitrogen and substantially enhanced maize biomass. However, it significantly reduced soil pH and decreased key functional fungi (saprotrophs and symbionts) abundance. The fungal ecological network complexity and stability declined significantly. Correlation analysis revealed positive associations between saprotrophic and symbiotic fungi abundance and network stability. In contrast, CF reduced some nutrient levels but improved fungal network complexity and stability. This study reveals that biodegradable films create an “ecological trap.” Short-term nutrient benefits mask systematic damage to soil microbial network stability. Our findings challenge the notion that “biodegradable equals environmentally friendly.” Environmental assessments of agricultural materials must extend beyond degradability to include microplastic release, functional microbial responses, and ecological network stability. Full article
(This article belongs to the Special Issue Advances in Soil Microbial Ecology, 2nd Edition)
Show Figures

Figure 1

18 pages, 6816 KB  
Article
Development of Graphene/Recycled Carbon Fiber-Reinforced PLA Composites for MEX Printing and Dry Machinability Analysis
by Abdullah Yahia AlFaify, Mustafa Saleh, Saqib Anwar, Abdulrahman M. Al-Ahmari and Abd Elaty E. AbdElgawad
Polymers 2025, 17(17), 2372; https://doi.org/10.3390/polym17172372 - 31 Aug 2025
Viewed by 974
Abstract
Material extrusion (MEX) is an additive manufacturing process used for 3D printing thermoplastic-based polymers, including single polymers, blends, and reinforced polymer composites (RPCs). RPCs are highly valued in various industries for their exceptional properties. The surface finish of RPC MEX-printed parts is high [...] Read more.
Material extrusion (MEX) is an additive manufacturing process used for 3D printing thermoplastic-based polymers, including single polymers, blends, and reinforced polymer composites (RPCs). RPCs are highly valued in various industries for their exceptional properties. The surface finish of RPC MEX-printed parts is high due to the process-related layering nature and the materials’ properties. This study explores RPC development for MEX printing and the potential of dry milling post-processing to enhance the MEX-printed part’s surface quality. RPC MEX filaments were developed by incorporating graphene nanoplatelets (GNPs) and/or recycled-carbon fibers (rCFs) into a polylactic acid (PLA) matrix. The filaments, including pure PLA and various GNPs-PLA composites, rCF-PLA, and rCF-GNPs-PLA, were developed through ball mill mixing and melt extrusion. Tensile tests were performed to assess the mechanical properties of the developed materials. Dry milling post-processing was carried out to assess the machinability, with the aim of enhancing the MEX-printed part’s surface quality. The results revealed that adding GNPs into PLA showed no considerable enhancements in the tensile properties of the fabricated RPCs, which is contrary to several existing studies. Dry milling showed an enhanced surface quality of MEX-printed parts in terms of surface roughness (Sa and Sz) and the absence of defects such as delamination and layer lines. Adding GNPs into PLA facilitated the dry machining of PLA, resulting in reduced surface asperities compared to pure PLA. Also, there was no observation of pulled-out, realigned, or naked rCFs, which indicates good machinability. Adding GNPs also suppressed the formation of voids around the rCFs during the dry milling. This study provides insights into machining 3D-printed polymer composites to enhance their surface quality. Full article
(This article belongs to the Section Polymer Applications)
Show Figures

Figure 1

19 pages, 6809 KB  
Article
Balancing Strength and Flexibility: Mechanical Characterization of Carbon Fiber-Reinforced PLA Composites in FDM 3D Printing
by Boston Blake, Ryan Mendenhall and Babak Eslami
J. Manuf. Mater. Process. 2025, 9(9), 288; https://doi.org/10.3390/jmmp9090288 - 22 Aug 2025
Viewed by 1410
Abstract
Fused Deposition Modeling (FDM) is a commonly used 3D printing process characterized by its versatility in material selection; however, FDM’s layer-by-layer process often leads to lower strength properties. This study explores the mechanical properties of FDM 3D-printed composite materials printed with varying nozzle [...] Read more.
Fused Deposition Modeling (FDM) is a commonly used 3D printing process characterized by its versatility in material selection; however, FDM’s layer-by-layer process often leads to lower strength properties. This study explores the mechanical properties of FDM 3D-printed composite materials printed with varying nozzle diameters, specifically on the influence of Carbon Fiber-reinforced Polylactic Acid (PLA-CF) on tensile and flexural strength when reinforcing Polylactic Acid (PLA) parts. Composite samples were printed with varying ratios of PLA and PLA-CF, ranging from 0% to 100% PLA-CF in 20% increments, with layer groups stacked vertically, while also using three different nozzle diameters (0.4 mm, 0.6 mm, and 0.8 mm). Tensile testing revealed a proportional increase in strength as PLA-CF content increased, indicating that carbon fiber reinforcement significantly enhances tensile performance. However, flexural testing demonstrated a decrease in bending strength with higher PLA-CF content, suggesting a trade-off between stiffness and flexibility. Mid-range ratios (40–60% PLA-CF) provided a balance between tensile and flexural properties. Finally, atomic force microscopy was utilized to provide a better understanding of the microscale morphology and surface properties of PLA and PLA-CF thin films. The results highlight the potential of PLA-CF/PLA composites to allow for more direct control over the tensile–flexural trade-off during the printing process, as opposed to manufacturing filaments with fixed fiber percentages. These results provide a path for tailoring the mechanical behavior of printed parts without requiring specialized filaments. Full article
Show Figures

Figure 1

30 pages, 8202 KB  
Article
Structure and Texture Synergies in Fused Deposition Modeling (FDM) Polymers: A Comparative Evaluation of Tribological and Mechanical Properties
by Patricia Isabela Brăileanu, Marius-Teodor Mocanu, Tiberiu Gabriel Dobrescu, Nicoleta Elisabeta Pascu and Dan Dobrotă
Polymers 2025, 17(15), 2159; https://doi.org/10.3390/polym17152159 - 7 Aug 2025
Viewed by 716
Abstract
This study investigates the interplay between infill structure and surface texture in Fused Deposition Modeling (FDM)-printed polymer specimens and their combined influence on tribological and mechanical performance. Unlike previous works that focus on single-variable analysis, this work offers a comparative evaluation of Shore [...] Read more.
This study investigates the interplay between infill structure and surface texture in Fused Deposition Modeling (FDM)-printed polymer specimens and their combined influence on tribological and mechanical performance. Unlike previous works that focus on single-variable analysis, this work offers a comparative evaluation of Shore D hardness and coefficient of friction (COF) for PLA and Iglidur materials, incorporating diverse infill patterns. The results reveal that specific combinations (e.g., grid infill with 90% density) optimize hardness and minimize friction, offering practical insights for design optimization in functional parts. Our aim is to provide design insights for enhanced wear resistance and hardness through tailored structural configurations. Carbon Fiber-reinforced PLA (PLA CF), aramid fiber-reinforced Acrylonitrile Styrene Acrylate (Kevlar), and Iglidur I180-BL tribofilament. Disc specimens were fabricated with gyroid infill densities ranging from 10% to 100%. Experimental methodologies included Ball-on-Disc tests conducted under dry sliding conditions (5 N normal load, 150 mm/s sliding speed) to assess friction and wear characteristics. These tribological evaluations were complemented by profilometric and microscopic analyses and Shore D hardness testing. The results show that Iglidur I180-BL achieved the lowest friction coefficients (0.141–0.190) and negligible wear, while PLA specimens with 90% infill demonstrated a polishing-type wear with minimal material loss and a friction coefficient (COF) of ~0.108. In contrast, PLA CF and Kevlar exhibited higher wear depths (up to 154 µm for Kevlar) and abrasive mechanisms due to fiber detachment. Shore hardness values increased with infill density, with PLA reaching a maximum of 82.7 Shore D. These findings highlight the critical interplay between infill architecture and surface patterning and offer actionable guidelines for the functional design of durable FDM components in load-bearing or sliding applications. Full article
(This article belongs to the Collection Mechanical Behavior of Polymer-Based Materials)
Show Figures

Figure 1

26 pages, 4285 KB  
Article
Machinability and Geometric Evaluation of FFF-Printed PLA-Carbon Fiber Composites in CNC Turning Operations
by Sergio Martín-Béjar, Fermín Bañón-García, Carolina Bermudo Gamboa and Lorenzo Sevilla Hurtado
Appl. Sci. 2025, 15(15), 8141; https://doi.org/10.3390/app15158141 - 22 Jul 2025
Viewed by 463
Abstract
Fused Filament Fabrication (FFF) enables the manufacturing of complex polymer components. However, surface finish and dimensional accuracy remain key limitations for their integration into functional assemblies. This study explores the potential of conventional turning as a post-processing strategy to improve the geometric and [...] Read more.
Fused Filament Fabrication (FFF) enables the manufacturing of complex polymer components. However, surface finish and dimensional accuracy remain key limitations for their integration into functional assemblies. This study explores the potential of conventional turning as a post-processing strategy to improve the geometric and surface quality of PLA reinforced with carbon fiber (CF) parts produced by FFF. Machinability was evaluated through the analysis of cutting forces, thermal behavior, energy consumption, and surface integrity under varying cutting speeds, feed rates, and specimen slenderness. The results indicate that feed is the most influential parameter across all performance metrics, with lower values leading to improved dimensional accuracy and surface finish, achieving the most significant reductions of 63% in surface roughness (Sa) and 62% in cylindricity deviation. Nevertheless, the surface roughness is higher than that of metals, and deviations in geometry along the length of the specimen have been observed. A critical shear stress of 0.237 MPa has been identified as the limit for interlayer failure, defining the boundary conditions for viable cutting operation. The incorporation of CNC turning as a post-processing step reduced the total fabrication time by approximately 83% compared with high-resolution FFF, while maintaining dimensional accuracy and enhancing surface quality. These findings support the use of machining operations as a viable and efficient post-processing method for improving the functionality of polymer-based components produced by additive manufacturing. Full article
(This article belongs to the Special Issue Advances in Carbon Fiber Reinforced Polymers (CFRPs))
Show Figures

Figure 1

20 pages, 6717 KB  
Article
Crashworthiness of Additively Manufactured Crash Boxes: A Comparative Analysis of Fused Deposition Modeling (FDM) Materials and Structural Configurations
by Ahmed Saber, A. M. Amer, A. I. Shehata, H. A. El-Gamal and A. Abd_Elsalam
Appl. Mech. 2025, 6(3), 52; https://doi.org/10.3390/applmech6030052 - 11 Jul 2025
Viewed by 1281
Abstract
Crash boxes play a crucial role in automotive safety by absorbing impact energy during collisions. The advancement of additive manufacturing (AM), particularly Fused Deposition Modeling (FDM), has enabled the fabrication of geometrically complex and lightweight crash boxes. This study presents a comparative evaluation [...] Read more.
Crash boxes play a crucial role in automotive safety by absorbing impact energy during collisions. The advancement of additive manufacturing (AM), particularly Fused Deposition Modeling (FDM), has enabled the fabrication of geometrically complex and lightweight crash boxes. This study presents a comparative evaluation of the crashworthiness performance of five FDM materials, namely, PLA+, PLA-ST, PLA-LW, PLA-CF, and PETG, across four structural configurations: Single-Cell Circle (SCC), Multi-Cell Circle (MCC), Single-Cell Square (SCS), and Multi-Cell Square (MCS). Quasi-static axial compression tests are conducted to assess the specific energy absorption (SEA) and crush force efficiency (CFE) of each material–geometry combination. Among the materials, PLA-CF demonstrates superior performance, with the MCC configuration achieving an SEA of 22.378 ± 0.570 J/g and a CFE of 0.732 ± 0.016. Multi-cell configurations consistently outperformed single-cell designs across all materials. To statistically quantify the influence of material and geometry on crash performance, a two-factor ANOVA was performed, highlighting geometry as the most significant factor across all evaluated metrics. Additionally, a comparative test with aluminum 6063-T5 demonstrates that PLA-CF offers comparable crashworthiness, with advantages in mass reduction, reduced PCF, and enhanced design flexibility inherent in AM. These findings provide valuable guidance for material selection and structural optimization in FDM-based crash boxes. Full article
Show Figures

Figure 1

34 pages, 4957 KB  
Article
Influence of Cooling Lubricants and Structural Parameters on the Tensile Properties of FFF 3D-Printed PLA and PLA/Carbon Fiber Composites
by Aljaž Rogelj, David Liović, Elvis Hozdić, Marina Franulović and Budimir Mijović
Polymers 2025, 17(13), 1797; https://doi.org/10.3390/polym17131797 - 27 Jun 2025
Viewed by 510
Abstract
This study addresses the lack of comprehensive understanding regarding how both structural printing parameters and environmental factors influence the mechanical properties of additively manufactured polymer and composite materials. The main problem stems from insufficient data on the combined effects of infill density, number [...] Read more.
This study addresses the lack of comprehensive understanding regarding how both structural printing parameters and environmental factors influence the mechanical properties of additively manufactured polymer and composite materials. The main problem stems from insufficient data on the combined effects of infill density, number of perimeters, layer height, and exposure to cooling lubricants on the tensile performance of 3D-printed products, which is crucial for their reliable application in demanding environments. In this research, the influence of four critical parameters—infill density, number of perimeters, layer height, and exposure to cooling lubricants—on the tensile properties of specimens produced by fused filament fabrication (FFF), also known as fused deposition modeling (FDM), from polylactic acid (PLA) and polylactic acid reinforced with carbon fibers (PLA+CF) was investigated. Tensile tests were performed in accordance with ISO 527-2 on specimens printed with honeycomb infill structures under controlled process conditions. The results show that increasing infill density from 40% to 100% led to an approximately 60% increase in tensile strength for both PLA (from 30.75 MPa to 49.11 MPa) and PLA reinforced with carbon fibers (PLA+CF; from 17.75 MPa to 28.72 MPa). Similarly, increasing the number of perimeters from 1 to 3 resulted in a 51% improvement in tensile strength for PLA and 50% for PLA+CF. Reducing layer height from 0.40 mm to 0.20 mm improved tensile strength by 5.4% for PLA and 3.1% for PLA+CF, with more pronounced gains in stiffness observed in the composite material. Exposure to cooling lubricants led to mechanical degradation: after 30 days, PLA exhibited a 15.2% decrease in tensile strength and a 3.4% reduction in Young’s modulus, while PLA+CF showed an 18.6% decrease in strength and a 19.5% drop in modulus. These findings underscore the significant impact of both structural printing parameters and environmental exposure on tailoring the mechanical properties of FFF-printed materials, particularly when comparing unfilled PLA with carbon fiber-reinforced PLA. Full article
(This article belongs to the Special Issue Polymer Composites: Structure, Properties and Processing, 2nd Edition)
Show Figures

Figure 1

17 pages, 6132 KB  
Article
Crash Performance of Additively Manufactured Tapered Tube Crash Boxes: Influence of Material and Geometric Parameters
by Ahmed Saber, Mehmet Ali Güler, Erdem Acar, Omar Soliman ElSayed, Hussain Aldallal, Abdulrahman Alsadi and Yousef Aldousari
Designs 2025, 9(3), 72; https://doi.org/10.3390/designs9030072 - 12 Jun 2025
Viewed by 1246
Abstract
Crash boxes play a crucial role in mitigating force during vehicle collisions by absorbing impact energy. Additive manufacturing (AM), particularly Fused Deposition Modeling (FDM), has emerged as a promising method for their fabrication due to its design flexibility and continuous advancements in material [...] Read more.
Crash boxes play a crucial role in mitigating force during vehicle collisions by absorbing impact energy. Additive manufacturing (AM), particularly Fused Deposition Modeling (FDM), has emerged as a promising method for their fabrication due to its design flexibility and continuous advancements in material development. This study investigates the crash performance of tapered crash box configurations, each manufactured using two FDM materials: Carbon Fiber-Reinforced Polylactic Acid (PLA-CF) and Polylactic Acid Plus (PLA+). The specimens vary in wall thickness and taper angles to evaluate the influence of geometric and material parameters on crashworthiness. The results demonstrated that both specific energy absorption (SEA) and crush force efficiency (CFE) increase with wall thickness and taper angle, with PLA-CF consistently outperforming PLA+ in both metrics. ANOVA results showed that wall thickness is the most influential factor in crashworthiness, accounting for 73.18% of SEA variation and 58.19% of CFE variation. Taper angle contributed 13.49% to SEA and 31.49% to CFE, while material type had smaller but significant effects, contributing 0.66% to SEA and 0.11% to CFE. Regression models were developed based on the experimental data to predict SEA and CFE, with a maximum absolute percentage error of 4.97%. These models guided the design of new configurations, with the optimal case achieving an SEA of 32.086 ± 0.190 kJ/kg and a CFE of 0.745 ± 0.034. The findings confirm the potential of PLA-CF in enhancing the energy-absorption capability of crash boxes, particularly in tapered designs. Full article
(This article belongs to the Special Issue Post-Manufacturing Testing and Characterization of Materials)
Show Figures

Figure 1

25 pages, 6987 KB  
Article
Feasibility and Mechanical Performance of 3D-Printed Polymer Composite External Fixators for Tibial Fractures
by Ion Badea, Tudor-George Alexandru and Diana Popescu
Appl. Sci. 2025, 15(7), 4007; https://doi.org/10.3390/app15074007 - 5 Apr 2025
Cited by 1 | Viewed by 689
Abstract
This study evaluates the feasibility of 3D-printed polymer composite external fixator (EF) rings as a cost-effective alternative to stainless steel fixators, focusing on hybrid fixators for complex tibial fractures. Mechanical performance was assessed in three stages: (1) evaluating the initial EF–tibia configuration under [...] Read more.
This study evaluates the feasibility of 3D-printed polymer composite external fixator (EF) rings as a cost-effective alternative to stainless steel fixators, focusing on hybrid fixators for complex tibial fractures. Mechanical performance was assessed in three stages: (1) evaluating the initial EF–tibia configuration under axial loading and wire pre-tension conditions; (2) analyzing the stiffness evolution and weight-bearing capacity during early healing with progressive callus formation; and (3) optimizing ring designs through numerical analysis to improve structural performance under increased pre-tension. The results showed that, for the metallic EF, the axial displacement under one-leg stance reached 8.41 mm without pre-tension, reducing to 6.83 mm at 500 N pre-tension, though transverse displacement remained significant, suggesting the need for higher wire tension. Callus formation enhanced the load-bearing capacity, as expected. However, excessive displacements persisted under the one-leg stance, indicating that full weight-bearing should be delayed beyond two weeks for a fracture gap of 3 mm. A ring design assessment showed that full-ring configurations with two wires per ring improved performance. The 3D-printed full-ring design made of carbon-fiber-reinforced polylactic acid (PLA-CF) reduced stress by 85% at 500 N pre-tension compared to the initial configuration, remaining within allowable limits. While confirming feasibility, the study highlights the need for geometric refinements to accommodate higher preloads and improve transverse stiffness. Full article
(This article belongs to the Section Additive Manufacturing Technologies)
Show Figures

Figure 1

17 pages, 4188 KB  
Article
Two-Material-Based Transtibial Socket Designs for Enhanced Load-Bearing Capacity Using FEA
by Prashant Jindal, Prashant Prakash, Harsh Bassal, Prashant Singh, Muhammad Arsh M. Din, Cleveland T. Barnett and Philip Breedon
Prosthesis 2025, 7(2), 30; https://doi.org/10.3390/prosthesis7020030 - 13 Mar 2025
Cited by 3 | Viewed by 1942
Abstract
Background: Transtibial prosthetic sockets are critical components in the complete assembly of a prosthetic, as they form the major load-bearing parts by housing the residual limb of a prosthesis user. Conventional procedures for manufacturing these sockets require repeated iterations and manual casting, baking, [...] Read more.
Background: Transtibial prosthetic sockets are critical components in the complete assembly of a prosthetic, as they form the major load-bearing parts by housing the residual limb of a prosthesis user. Conventional procedures for manufacturing these sockets require repeated iterations and manual casting, baking, and drying, which often lead to longer processing and waiting times. Additive Manufacturing (AM) enables the creation of bespoke designs with meticulous control over the socket’s shape, thickness, and material composition. Method: To design and propose an optimal socket design to a lower-limb prosthetic user based on their preference of activity such as walking, running, and jumping, we investigated seven materials—Polypropylene (PP) standard material for conventional socket fabrication, Polylactic-acid-plus (PLA+), Polyamide (PA) Natural, Polyamide-6-Glass-Fiber (PA6-GF), Polyamide-copolymer (CoPA), Polyamide-6-Carbon-Fiber (PA6-CF), and Polyamide-12-Carbon-Fiber (PA12-CF)—that have AM compatibility by subjecting them to heavy external loading and evaluating their von Mises stress–strain behavior. Result: Using Finite Element Analysis (FEA), we evaluated a single-material design and a combination design with two materials—one major (low cost) and one minor (higher cost)—to optimize a composition that would bear heavy external loads without yielding. A maximum load-bearing capacity of 3650 N was achieved with the combination of PLA+ and 31.54 vol% PA6-CF (30.23 weight%, 99.13 g), costing about USD 14 for the total socket material. Similarly, a combination of PLA+ with 31.54 vol% PA6-GF (30.76 weight%, 101.67 g) exhibited a maximum load-bearing capacity of 2528.91 N. Conclusions: The presence of high-strength CF and GF in minor compositions and at critical locations within the transtibial socket are the suggested reasons for these enhanced load-bearing capacities, due to which these sockets could be used for undertaking a wider range of activities by the prosthesis users. Full article
Show Figures

Figure 1

29 pages, 24103 KB  
Article
Research on Basic Properties of Polymers for Fused Deposition Modelling Technology
by Dariusz Pyka, Jakub J. Słowiński, Adam Kurzawa, Maciej Roszak, Mateusz Stachowicz, Mikołaj Kazimierczak, Maksymilian Stępczak and Dominika Grygier
Appl. Sci. 2024, 14(23), 11151; https://doi.org/10.3390/app142311151 - 29 Nov 2024
Cited by 6 | Viewed by 1539
Abstract
This study investigates the mechanical properties and biocompatibility of eight commercially available filaments tailored for Fused Deposition Modeling (FDM) additive manufacturing. Test specimens were fabricated using original PRUSA MK4 printers, with ten samples from each selected polymer. Mechanical evaluations through static tensile and [...] Read more.
This study investigates the mechanical properties and biocompatibility of eight commercially available filaments tailored for Fused Deposition Modeling (FDM) additive manufacturing. Test specimens were fabricated using original PRUSA MK4 printers, with ten samples from each selected polymer. Mechanical evaluations through static tensile and three-point bending tests revealed that PETG Carbon and PA+15CF exhibited superior tensile and flexural strengths, making them highly suitable for applications requiring high mechanical resilience. Biocompatibility assessments in line with the ISO 10993-5:2009 and ISO 10993-12:2021 standards indicated that all materials except FiberFlex 40D Fiberlogy were non-cytotoxic, supporting their potential in biomedical applications. The experimental data established material constants within the Johnson–Cook strength model, which effectively predicted the mechanical behaviors of monotonic materials like FiberFlex 40D, PETG, HIPS, TPU, and PA+15CF Rosa 3D, with maximum fitting errors not exceeding 2.6%. However, the model was inadequate for non-monotonic materials like PLA and PETG, resulting in higher errors and less accurate simulations. Scanning electron microscope (SEM) analyses provided insights into fracture mechanisms, correlating fracture surface characteristics with mechanical performance. This comprehensive study advances the understanding of mechanical properties in thermoplastic materials for 3D printing, validates numerical models for certain materials, and confirms material suitability for biomedical use. Full article
(This article belongs to the Special Issue Recent Advances in 3D Printing and Additive Manufacturing Technology)
Show Figures

Figure 1

12 pages, 8876 KB  
Article
Performance and Thermal Properties of 3D Printed CF-Reinforced PLA Monofilaments
by Pen Jin, Tuo Pan, Yaxuan Li, Tianran Zhong, Jing Jiang, Chengcui Pu and Chunyang Ma
Coatings 2024, 14(12), 1479; https://doi.org/10.3390/coatings14121479 - 22 Nov 2024
Cited by 3 | Viewed by 1373
Abstract
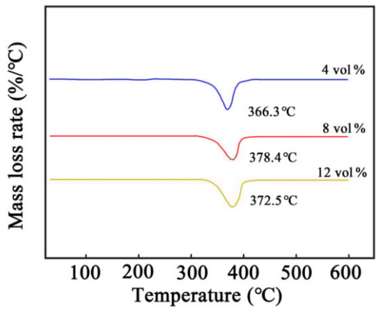
This study reports the fabrication of carbon fiber-reinforced poly(lactic acid) (CF-PLA) monofilaments using 3D printing technology. The effects of print head movement speed and retraction rate on the diameter of the CF-PLA monofilaments were investigated. The surface morphology and properties were analyzed using [...] Read more.
This study reports the fabrication of carbon fiber-reinforced poly(lactic acid) (CF-PLA) monofilaments using 3D printing technology. The effects of print head movement speed and retraction rate on the diameter of the CF-PLA monofilaments were investigated. The surface morphology and properties were analyzed using scanning electron microscopy (SEM) and thermogravimetric analysis (TGA). The CF-PLA monofilaments were also printed into boards with varying CF content, and the mechanical properties of these boards were assessed. The results showed that the optimal printing parameters were a nozzle diameter of ϕ0.4 mm, fiber feed rate (Vf) of 3 mm/s, print head movement speed (Vm) of 40 mm/s, and retraction speed (Vr) of 5 mm/s. At a CF-PLA monofilament diameter of ϕ135 µm, the tensile strength and Young’s modulus reached maximum values of 48.3 MPa and 2481.8 MPa, respectively. Numerous CF monofilaments (approximately 135 µm in diameter) were observed on the surface and within the CF-PLA boards, significantly enhancing their strength. When the CF content was 4 vol%, the thermal decomposition temperature of the CF-PLA monofilament was 312.53 °C. At 8 vol% CF content, the thermal decomposition temperature increased to 342.62 °C—approximately 30 °C higher than that of the monofilament with 4 vol% CF. The CF-PLA monofilaments fabricated at 8 vol% demonstrated high thermal stability. Full article
Show Figures

Figure 1

20 pages, 8837 KB  
Article
Self-Reinforced Composite Materials: Frictional Analysis and Its Implications for Prosthetic Socket Design
by Yogeshvaran R. Nagarajan, Yasasween Hewavidana, Emrah Demirci, Yong Sun, Farukh Farukh and Karthikeyan Kandan
Materials 2024, 17(22), 5629; https://doi.org/10.3390/ma17225629 - 18 Nov 2024
Cited by 2 | Viewed by 1524
Abstract
Friction and wear characteristics play a critical role in the functionality and durability of prosthetic sockets, which are essential components in lower-limb prostheses. Traditionally, these sockets are manufactured from bulk polymers or composite materials reinforced with advanced carbon, glass, and Kevlar fibres. However, [...] Read more.
Friction and wear characteristics play a critical role in the functionality and durability of prosthetic sockets, which are essential components in lower-limb prostheses. Traditionally, these sockets are manufactured from bulk polymers or composite materials reinforced with advanced carbon, glass, and Kevlar fibres. However, issues of accessibility, affordability, and sustainability remain, particularly in less-resourced regions. This study investigates the potential of self-reinforced polymer composites (SRPCs), including poly-lactic acid (PLA), polyethylene terephthalate (PET), glass fibre (GF), and carbon fibre (CF), as sustainable alternatives for socket manufacturing. The tribological behaviour of these self-reinforced polymers (SrPs) was evaluated through experimental friction tests, comparing their performance to commonly used materials like high-density polyethylene (HDPE) and polypropylene (PP). Under varying loads and rotational speeds, HDPE and PP exhibited lower coefficients of friction (COF) compared to SrPLA, SrPET, SrGF, and SrCF. SrPLA recorded the highest average COF of 0.45 at 5 N and 240 rpm, while SrPET demonstrated the lowest COF of 0.15 under the same conditions. Microscopic analysis revealed significant variations in wear depth, with SrPLA showing the most profound wear, followed by SrCF, SrGF, and SrPET. In all cases, debris from the reinforcement adhered to the steel ball surface, influencing the COF. While these findings are based on friction tests against steel, they provide valuable insights into the durability and wear resistance of SRPCs, a crucial consideration for socket applications. This study highlights the importance of tribological analysis for optimising prosthetic socket design, contributing to enhanced functionality and comfort for amputees. Further research, including friction testing with skin-contact scenarios, is necessary to fully understand the implications of these materials in real-world prosthetic applications. Full article
(This article belongs to the Special Issue Advances in Functional Polymers and Nanocomposites)
Show Figures

Figure 1

18 pages, 2833 KB  
Article
Performance Analysis of FFF-Printed Carbon Fiber Composites Subjected to Different Annealing Methods
by Javaid Butt, Md Ashikul Alam Khan, Muhammad Adnan and Vahaj Mohaghegh
J. Manuf. Mater. Process. 2024, 8(6), 252; https://doi.org/10.3390/jmmp8060252 - 11 Nov 2024
Cited by 1 | Viewed by 2386
Abstract
Annealing is a popular post-process used to enhance the performance of parts made by fused filament fabrication. In this work, four different carbon-fiber-based composites were subjected to two different annealing methods to compare their effectiveness in terms of dimensional stability, surface roughness, tensile [...] Read more.
Annealing is a popular post-process used to enhance the performance of parts made by fused filament fabrication. In this work, four different carbon-fiber-based composites were subjected to two different annealing methods to compare their effectiveness in terms of dimensional stability, surface roughness, tensile strength, hardness, and flexural strength. The four materials include PLA-CF, PAHT-CF, PETG-CF, and ABS-CF. The annealing methods involved heating the printed composites inside an oven in two different ways: placed on a tray and fluidized bed annealing with sharp sand. Annealing was conducted for a one-hour time interval at different annealing temperatures selected as per the glass transition temperatures of the four materials. The results showed that oven annealing provides better results under all scenarios except dimensional stability. PETG-CF and ABS-CF composites were significantly affected by oven annealing with expansion along the z-axis as high 8.42% and 18% being observed for PETG-CF and ABS-CF, respectively. Oven annealing showed better surface finish due to controlled and uniform heating, whereas the abrasive nature of sand and contact with sand grains caused inconsistencies on the surface of the composites. Sand annealing showed comparable hardness values to oven annealing. For tensile and flexural testing, sand annealing showed consistent values for all cases but lower than those obtained by oven annealing. However, oven annealing values started to decrease at elevated temperatures for PETG-CF and ABS-CF. This work offers a valuable comparison by highlighting the limitations of conventional oven annealing in achieving dimensional stability. It provides insights that can be leveraged to fine-tune designs for optimal results when working with different FFF-printed carbon-fiber-based composites, ensuring better accuracy and performance across various applications. Full article
Show Figures

Figure 1

Back to TopTop