Sign in to use this feature.

Years

Between: -

Subjects

remove_circle_outline
remove_circle_outline
remove_circle_outline
remove_circle_outline
remove_circle_outline
remove_circle_outline
remove_circle_outline
remove_circle_outline
remove_circle_outline

Journals

Article Types

Countries / Regions

Search Results (66)

Search Parameters:
Keywords = PCNN

Order results
Result details
Results per page
Select all
Export citation of selected articles as:
27 pages, 2075 KB  
Review
Physics-Informed Machine Learning for Intelligent Gas Turbine Digital Twins: A Review
by Hiyam Farhat and Amani Altarawneh
Energies 2025, 18(20), 5523; https://doi.org/10.3390/en18205523 - 20 Oct 2025
Viewed by 339
Abstract
This review surveys recent progress in hybrid artificial intelligence (AI) approaches for gas turbine intelligent digital twins, with an emphasis on models that integrate physics-based simulations and machine learning. The main contribution is the introduction of a structured classification of hybrid AI methods [...] Read more.
This review surveys recent progress in hybrid artificial intelligence (AI) approaches for gas turbine intelligent digital twins, with an emphasis on models that integrate physics-based simulations and machine learning. The main contribution is the introduction of a structured classification of hybrid AI methods tailored to gas turbine applications, the development of a novel comparative maturity framework, and the proposal of a layered roadmap for integration. The classification organizes hybrid AI approaches into four categories: (1) artificial neural network (ANN)-augmented thermodynamic models, (2) physics-integrated operational architectures, (3) physics-constrained neural networks (PcNNs) with computational fluid dynamics (CFD) surrogates, and (4) generative and model discovery approaches. The maturity framework evaluates these categories across five criteria: data dependency, interpretability, deployment complexity, workflow integration, and real-time capability. Industrial case studies—including General Electric (GE) Vernova’s SmartSignal, Siemens’ Autonomous Turbine Operation and Maintenance (ATOM), and the Electric Power Research Institute (EPRI) turbine digital twin—illustrate applications in real-time diagnostics, predictive maintenance, and performance optimization. Together, the classification and maturity framework provide the means for systematic assessment of hybrid AI methods in gas turbine intelligent digital twins. The review concludes by identifying key challenges and outlining a roadmap for the future development of scalable, interpretable, and operationally robust intelligent digital twins for gas turbines. Full article
Show Figures

Figure 1

9 pages, 421 KB  
Article
Increase in Penicillin Non-Susceptibility in Group B Streptococci Alongside Rising Isolation Rates—Based on 24 Years of Clinical Data from a Single University Hospital
by Sunghwan Shin, Dong Hee Whang, Tae-Hyun Um, Chong Rae Cho and Jeonghyun Chang
Antibiotics 2025, 14(9), 928; https://doi.org/10.3390/antibiotics14090928 - 13 Sep 2025
Viewed by 664
Abstract
Background/Objectives: Streptococcus agalactiae (Group B Streptococci, GBS) is Gram-positive, beta-hemolytic coccus known to be transmitted by vertical transmission in neonates during birth with neonatal sepsis, pneumonia, and meningitis. In adults, particularly the elderly and those with diabetes mellitus, GBS can also cause [...] Read more.
Background/Objectives: Streptococcus agalactiae (Group B Streptococci, GBS) is Gram-positive, beta-hemolytic coccus known to be transmitted by vertical transmission in neonates during birth with neonatal sepsis, pneumonia, and meningitis. In adults, particularly the elderly and those with diabetes mellitus, GBS can also cause pneumonia and sepsis. Penicillin is the drug of choice, and GBS is generally susceptible to this antibiotic. This study investigates trends in GBS isolation rates and penicillin non-susceptibility over time at a university hospital. Methods: We retrospectively analyzed 24 years (2000–2023) of microbiological data from Ilsan Paik Hospital to investigate trends in GBS isolation and penicillin susceptibility. Isolates were identified and tested using the Vitek 2 system, following CLSI guidelines. WHONET 2023 was used for data aggregation and analysis. Trends were analyzed by dividing the study period into three intervals: Period 1 (2000–2009), Period 2 (2010–2019), and Period 3 (2020–2023). Antimicrobial susceptibility rates for total GBS and PCN-NS GBS (penicillin non-susceptible group B Streptococcus) were compared using chi-square tests. Results: Among 257,884 total isolates, 3003 (1.16%) were GBS, and 29 (0.97%) were PCN-NS. GBS and PCN-NS isolation rates increased significantly across the three periods (p = 0.0001 and p = 0.009, respectively). PCN-NS GBS showed reduced susceptibility to all tested antimicrobials, with no drug showing higher susceptibility compared to total GBS. Conclusions: This study demonstrates a statistically significant rise in both GBS isolation rate and penicillin non-susceptibility over time. Given the emergence of multidrug-resistant GBS strains, susceptibility testing and interdisciplinary collaboration between microbiologists and clinicians are critical to guiding effective antimicrobial therapy and preventing neonatal and adult GBS infections. Full article
Show Figures

Figure 1

22 pages, 4125 KB  
Article
Multi-Scale Electromechanical Impedance-Based Bolt Loosening Identification Using Attention-Enhanced Parallel CNN
by Xingyu Fan, Jiaming Kong, Haoyang Wang, Kexin Huang, Tong Zhao and Lu Li
Appl. Sci. 2025, 15(17), 9715; https://doi.org/10.3390/app15179715 - 4 Sep 2025
Cited by 2 | Viewed by 598
Abstract
Bolted connections are extensively utilized in aerospace, civil, and mechanical systems for structural assembly. However, inevitable structural vibrations can induce bolt loosening, leading to preload reduction and potential structural failure. Early-stage preload degradation, particularly during initial loosening, is often undetectable by conventional monitoring [...] Read more.
Bolted connections are extensively utilized in aerospace, civil, and mechanical systems for structural assembly. However, inevitable structural vibrations can induce bolt loosening, leading to preload reduction and potential structural failure. Early-stage preload degradation, particularly during initial loosening, is often undetectable by conventional monitoring methods due to limited sensitivity and poor noise resilience. To address these limitations, this study proposes an intelligent bolt preload monitoring framework that combines electromechanical impedance (EMI) signal analysis with a parallel deep learning architecture. A multiphysics-coupled model of flange joint connections is developed to reveal the nonlinear relationships between preload degradation and changes in EMI conductance spectra, specifically resonance peak shifts and amplitude attenuation. Based on this insight, a parallel convolutional neural network (P-CNN) is designed, employing dual branches with 1 × 3 and 1 × 7 convolutional kernels to extract local and global spectral features, respectively. The architecture integrates dilated convolution to expand frequency–domain receptive fields and an enhanced SENet-based channel attention mechanism to adaptively highlight informative frequency bands. Experimental validation on a flange-bolt platform demonstrates that the proposed P-CNN achieves 99.86% classification accuracy, outperforming traditional CNNs by 20.65%. Moreover, the model maintains over 95% accuracy with only 25% of the original training samples, confirming its robustness and data efficiency. The results demonstrate the feasibility and scalability of the proposed approach for real-time, small-sample, and noise-resilient structural health monitoring of bolted connections. Full article
Show Figures

Figure 1

18 pages, 2908 KB  
Article
Intelligent Fault Diagnosis for Rotating Machinery Utilizing Gramian Angular Field-Parallel Convolutional Neural Network and Gated Recurrent Unit Networks
by Yuxiang Hu, Shengyi Cheng and Xianjun Du
Appl. Sci. 2025, 15(16), 9217; https://doi.org/10.3390/app15169217 - 21 Aug 2025
Cited by 1 | Viewed by 499
Abstract
To address the limitations of traditional fault diagnosis methods for rotating machinery, which heavily rely on single-dimensional vibration data and fail to fully exploit the deep features of time-series data, this study proposes an innovative diagnostic model that integrates Gramian Angular Field-Parallel Convolutional [...] Read more.
To address the limitations of traditional fault diagnosis methods for rotating machinery, which heavily rely on single-dimensional vibration data and fail to fully exploit the deep features of time-series data, this study proposes an innovative diagnostic model that integrates Gramian Angular Field-Parallel Convolutional Neural Network (GAF-PCNN) with Gated Recurrent Units (GRU). Specifically, one-dimensional vibration signals are first transformed into Gramian angular and difference fields as image representations using Gramian Angular Field (GAF). These two types of images are then input into parallel-configured PCNN modules for feature learning. The features extracted by the two CNN branches are weighted and fused to construct a combined feature sequence. This sequence is subsequently fed into the GRU network to capture temporal dependencies and perform deep feature extraction. In this process, an integrated self-attention mechanism is applied to dynamically select key features. The proposed method is validated using two publicly available datasets, including comparative and noise interference experiments. The results demonstrate that the proposed model excels in diagnostic accuracy, model generalization, and robustness against noise interference. Full article
Show Figures

Figure 1

21 pages, 4949 KB  
Article
An Integrated Lightweight Neural Network Design and FPGA-Accelerated Edge Computing for Chili Pepper Variety and Origin Identification via an E-Nose
by Ziyu Guo, Yong Yin, Haolin Gu, Guihua Peng, Xueya Wang, Ju Chen and Jia Yan
Foods 2025, 14(15), 2612; https://doi.org/10.3390/foods14152612 - 25 Jul 2025
Viewed by 707
Abstract
A chili pepper variety and origin detection system that integrates a field-programmable gate array (FPGA) with an electronic nose (e-nose) is proposed in this paper to address the issues of variety confusion and origin ambiguity in the chili pepper market. The system uses [...] Read more.
A chili pepper variety and origin detection system that integrates a field-programmable gate array (FPGA) with an electronic nose (e-nose) is proposed in this paper to address the issues of variety confusion and origin ambiguity in the chili pepper market. The system uses the AIRSENSE PEN3 e-nose from Germany to collect gas data from thirteen different varieties of chili peppers and two specific varieties of chili peppers originating from seven different regions. Model training is conducted via the proposed lightweight convolutional neural network ChiliPCNN. By combining the strengths of a convolutional neural network (CNN) and a multilayer perceptron (MLP), the ChiliPCNN model achieves an efficient and accurate classification process, requiring only 268 parameters for chili pepper variety identification and 244 parameters for origin tracing, with 364 floating-point operations (FLOPs) and 340 FLOPs, respectively. The experimental results demonstrate that, compared with other advanced deep learning methods, the ChiliPCNN has superior classification performance and good stability. Specifically, ChiliPCNN achieves accuracy rates of 94.62% in chili pepper variety identification and 93.41% in origin tracing tasks involving Jiaoyang No. 6, with accuracy rates reaching as high as 99.07% for Xianjiao No. 301. These results fully validate the effectiveness of the model. To further increase the detection speed of the ChiliPCNN, its acceleration circuit is designed on the Xilinx Zynq7020 FPGA from the United States and optimized via fixed-point arithmetic and loop unrolling strategies. The optimized circuit reduces the latency to 5600 ns and consumes only 1.755 W of power, significantly improving the resource utilization rate and processing speed of the model. This system not only achieves rapid and accurate chili pepper variety and origin detection but also provides an efficient and reliable intelligent agricultural management solution, which is highly important for promoting the development of agricultural automation and intelligence. Full article
Show Figures

Figure 1

16 pages, 3892 KB  
Article
Fault Diagnosis Method for Shearer Arm Gear Based on Improved S-Transform and Depthwise Separable Convolution
by Haiyang Wu, Hui Zhou, Chang Liu, Gang Cheng and Yusong Pang
Sensors 2025, 25(13), 4067; https://doi.org/10.3390/s25134067 - 30 Jun 2025
Viewed by 508
Abstract
To address the limitations in time–frequency feature representation of shearer arm gear faults and the issues of parameter redundancy and low training efficiency in standard convolutional neural networks (CNNs), this study proposes a diagnostic method based on an improved S-transform and a Depthwise [...] Read more.
To address the limitations in time–frequency feature representation of shearer arm gear faults and the issues of parameter redundancy and low training efficiency in standard convolutional neural networks (CNNs), this study proposes a diagnostic method based on an improved S-transform and a Depthwise Separable Convolutional Neural Network (DSCNN). First, the improved S-transform is employed to perform time–frequency analysis on the vibration signals, converting the original one-dimensional signals into two-dimensional time–frequency images to fully preserve the fault characteristics of the gear. Then, a neural network model combining standard convolution and depthwise separable convolution is constructed for fault identification. The experimental dataset includes five gear conditions: tooth deficiency, tooth breakage, tooth wear, tooth crack, and normal. The performance of various frequency-domain and time-frequency methods—Wavelet Transform, Fourier Transform, S-transform, and Gramian Angular Field (GAF)—is compared using the same network model. Furthermore, Grad-CAM is applied to visualize the responses of key convolutional layers, highlighting the regions of interest related to gear fault features. Finally, four typical CNN architectures are analyzed and compared: Deep Convolutional Neural Network (DCNN), InceptionV3, Residual Network (ResNet), and Pyramid Convolutional Neural Network (PCNN). Experimental results demonstrate that frequency–domain representations consistently outperform raw time-domain signals in fault diagnosis tasks. Grad-CAM effectively verifies the model’s accurate focus on critical fault features. Moreover, the proposed method achieves high classification accuracy while reducing both training time and the number of model parameters. Full article
(This article belongs to the Section Fault Diagnosis & Sensors)
Show Figures

Figure 1

34 pages, 9431 KB  
Article
Gait Recognition via Enhanced Visual–Audio Ensemble Learning with Decision Support Methods
by Ruixiang Kan, Mei Wang, Tian Luo and Hongbing Qiu
Sensors 2025, 25(12), 3794; https://doi.org/10.3390/s25123794 - 18 Jun 2025
Viewed by 680
Abstract
Gait is considered a valuable biometric feature, and it is essential for uncovering the latent information embedded within gait patterns. Gait recognition methods are expected to serve as significant components in numerous applications. However, existing gait recognition methods exhibit limitations in complex scenarios. [...] Read more.
Gait is considered a valuable biometric feature, and it is essential for uncovering the latent information embedded within gait patterns. Gait recognition methods are expected to serve as significant components in numerous applications. However, existing gait recognition methods exhibit limitations in complex scenarios. To address these, we construct a dual-Kinect V2 system that focuses more on gait skeleton joint data and related acoustic signals. This setup lays a solid foundation for subsequent methods and updating strategies. The core framework consists of enhanced ensemble learning methods and Dempster–Shafer Evidence Theory (D-SET). Our recognition methods serve as the foundation, and the decision support mechanism is used to evaluate the compatibility of various modules within our system. On this basis, our main contributions are as follows: (1) an improved gait skeleton joint AdaBoost recognition method based on Circle Chaotic Mapping and Gramian Angular Field (GAF) representations; (2) a data-adaptive gait-related acoustic signal AdaBoost recognition method based on GAF and a Parallel Convolutional Neural Network (PCNN); and (3) an amalgamation of the Triangulation Topology Aggregation Optimizer (TTAO) and D-SET, providing a robust and innovative decision support mechanism. These collaborations improve the overall recognition accuracy and demonstrate their considerable application values. Full article
(This article belongs to the Section Intelligent Sensors)
Show Figures

Figure 1

20 pages, 71722 KB  
Article
Dynamic-Step-Size Regulation in Pulse-Coupled Neural Networks
by Jiayi Geng, Fanqing Ji, Shouliang Li, Yulin Shen and Zhen Yang
Entropy 2025, 27(6), 597; https://doi.org/10.3390/e27060597 - 3 Jun 2025
Viewed by 548
Abstract
Pulse-coupled neural networks (PCNNs) are capable of segmenting digital images in a multistage unsupervised fashion; however, optimal output selection remains challenging. To address the above problem, this paper emphasizes the role of the step size, which influences the decreasing speed of the membrane [...] Read more.
Pulse-coupled neural networks (PCNNs) are capable of segmenting digital images in a multistage unsupervised fashion; however, optimal output selection remains challenging. To address the above problem, this paper emphasizes the role of the step size, which influences the decreasing speed of the membrane potential and the dynamic threshold profoundly. A dynamic-step-size mechanism is proposed, utilizing trigonometric functions to adaptively control segmentation granularity, along with the supervised optimization of a single parameter ϕ via intersection over union (IoU) maximization, reducing tuning complexity. Thus, the number of groups of image segmentation becomes controllable and the model itself becomes more adaptive than ever for various scenarios. Experimental results further demonstrate the enhanced robustness under noise (92.1% Dice at σ=0.2), outperforming SPCNN and PCNN with IoU = 0.8863, Dice = 0.901, and 0.8684 s/image. Full article
(This article belongs to the Section Signal and Data Analysis)
Show Figures

Figure 1

24 pages, 6344 KB  
Article
Multi-Threshold Remote Sensing Image Segmentation Based on Improved Black-Winged Kite Algorithm
by Yi Zhang, Xinyu Liu, Wei Sun, Tianshu You and Xin Qi
Biomimetics 2025, 10(5), 331; https://doi.org/10.3390/biomimetics10050331 - 19 May 2025
Cited by 1 | Viewed by 906
Abstract
This paper proposes an adaptive multi-threshold image segmentation method named IBKA-OTSU to address the limitations of existing deep learning-based image segmentation methods, particularly their heavy reliance on large-scale annotated datasets and high computational complexity. The proposed algorithm significantly enhances the capability of complex [...] Read more.
This paper proposes an adaptive multi-threshold image segmentation method named IBKA-OTSU to address the limitations of existing deep learning-based image segmentation methods, particularly their heavy reliance on large-scale annotated datasets and high computational complexity. The proposed algorithm significantly enhances the capability of complex remote sensing scenarios by systematic improvements to core algorithm components, including population initialization strategy, attack behavior patterns, migration mechanisms, and opposition-based learning strategy. The improved intelligent optimization algorithm is innovatively integrated with the OTSU threshold method to establish a multi-threshold segmentation model specifically designed for remote sensing imagery. Experimental validation using representative samples from the ISPRS Potsdam benchmark dataset demonstrates that our IBKA-optimized OTSU multi-threshold segmentation method outperforms traditional IBKA-optimized pulse coupled neural network (PCNN) approaches in remote sensing image analysis. Quantitative evaluations reveal substantial improvements in the dice coefficient across six randomly selected remote sensing images, achieving performance enhancements of 7.76%, 11.99%, 30.75%, 22.91%, 44.37%, and 18.55%, respectively. This research provides an effective technical solution for intelligently interpreting remote sensing imagery in resource-constrained environments, demonstrating significant theoretical value and practical application potential in engineering implementations. Full article
Show Figures

Figure 1

23 pages, 19331 KB  
Article
Multi-Focus Image Fusion Based on Fractal Dimension and Parameter Adaptive Unit-Linking Dual-Channel PCNN in Curvelet Transform Domain
by Liangliang Li, Sensen Song, Ming Lv, Zhenhong Jia and Hongbing Ma
Fractal Fract. 2025, 9(3), 157; https://doi.org/10.3390/fractalfract9030157 - 3 Mar 2025
Cited by 8 | Viewed by 1219
Abstract
Multi-focus image fusion is an important method for obtaining fully focused information. In this paper, a novel multi-focus image fusion method based on fractal dimension (FD) and parameter adaptive unit-linking dual-channel pulse-coupled neural network (PAUDPCNN) in the curvelet transform (CVT) domain is proposed. [...] Read more.
Multi-focus image fusion is an important method for obtaining fully focused information. In this paper, a novel multi-focus image fusion method based on fractal dimension (FD) and parameter adaptive unit-linking dual-channel pulse-coupled neural network (PAUDPCNN) in the curvelet transform (CVT) domain is proposed. The source images are decomposed into low-frequency and high-frequency sub-bands by CVT, respectively. The FD and PAUDPCNN models, along with consistency verification, are employed to fuse the high-frequency sub-bands, the average method is used to fuse the low-frequency sub-band, and the final fused image is generated by inverse CVT. The experimental results demonstrate that the proposed method shows superior performance in multi-focus image fusion on Lytro, MFFW, and MFI-WHU datasets. Full article
Show Figures

Figure 1

7 pages, 735 KB  
Proceeding Paper
A Novel Deep Learning Technique for Brain Tumor Detection and Classification Using Parallel CNN with Support Vector Machine
by Shaila Shanjida, Mohammad Mohiuddin and Md. Saiful Islam
Eng. Proc. 2024, 82(1), 101; https://doi.org/10.3390/ecsa-11-20505 - 26 Nov 2024
Cited by 1 | Viewed by 489
Abstract
Brain tumors (BT) are also known as intracranial diseases, which occur due to uncontrolled cell growth in the brain. Detecting and classifying the brain tumors at the initial stage is crucial to saving the patient’s life. A radiologist uses MRI scans to identify [...] Read more.
Brain tumors (BT) are also known as intracranial diseases, which occur due to uncontrolled cell growth in the brain. Detecting and classifying the brain tumors at the initial stage is crucial to saving the patient’s life. A radiologist uses MRI scans to identify and classify the various types of BT using a manual approach. However, it is inaccurate and time-consuming because of the many images. In machine learning, convolutional neural networks (CNN) are one significant algorithm that can extract features automatically with high accuracy. The drawback of this algorithm is that it can extract features without knowing micro and macro features. The proposed architecture of parallel CNN (PCNN) can extract the features by knowing the micro and macro features from two separate window sizes and, at first, augmenting the normalized data using geometric transformation to enhance the number of images. Then, micro and macro features are extracted using the proposed architecture, PCNN, alongside batch normalization to reduce the overfitting problem. Finally, three kinds of tumors—glioma, meningioma, pituitary—and a no tumor condition are classified using various classifiers like Softmax, KNN, and SVM. The proposed PCNN-SVM obtained the best accuracy of 96.1% with the special features compared with the other pertained model. Full article
Show Figures

Figure 1

14 pages, 3701 KB  
Article
Smart E-Tongue Based on Polypyrrole Sensor Array as Tool for Rapid Analysis of Coffees from Different Varieties
by Alvaro Arrieta Almario, Oriana Palma Calabokis and Eisa Arrieta Barrera
Foods 2024, 13(22), 3586; https://doi.org/10.3390/foods13223586 - 10 Nov 2024
Cited by 6 | Viewed by 2340
Abstract
Due to the lucrative coffee market, this product is often subject to adulteration, as inferior or non-coffee materials or varieties are mixed in, negatively affecting its quality. Traditional sensory evaluations by expert tasters and chemical analysis methods, although effective, are time-consuming, costly, and [...] Read more.
Due to the lucrative coffee market, this product is often subject to adulteration, as inferior or non-coffee materials or varieties are mixed in, negatively affecting its quality. Traditional sensory evaluations by expert tasters and chemical analysis methods, although effective, are time-consuming, costly, and require skilled personnel. The aim of this work was to evaluate the capacity of a smart electronic tongue (e-tongue) based on a polypyrrole sensor array as a tool for the rapid analysis of coffees elaborated from beans of different varieties. The smart e-tongue device was developed with a polypyrrole-based voltammetric sensor array and portable multi-potentiostat operated via smartphone. The sensor array comprised seven electrodes, each doped with distinct counterions to enhance cross-selectivity. The smart e-tongue was tested on five Arabica coffee varieties (Typica, Bourbon, Maragogype, Tabi, and Caturra). The resulting voltammetric signals were analyzed using principal component analysis assisted by neural networks (PCNN) and cluster analysis (CA), enabling clear discrimination among the coffee samples. The results demonstrate that the polypyrrole sensors can generate distinct electrochemical patterns, serving as “fingerprints” for each coffee variety. This study highlights the potential of polypyrrole-based smart e-tongues as a rapid, cost-effective, and portable alternative for coffee quality assessment and adulteration detection, with broader applications in the food and beverage industry. Full article
Show Figures

Figure 1

19 pages, 5824 KB  
Article
Random-Coupled Neural Network
by Haoran Liu, Mingrong Xiang, Mingzhe Liu, Peng Li, Xue Zuo, Xin Jiang and Zhuo Zuo
Electronics 2024, 13(21), 4297; https://doi.org/10.3390/electronics13214297 - 31 Oct 2024
Cited by 7 | Viewed by 1393
Abstract
Improving the efficiency of current neural networks and modeling them on biological neural systems have become prominent research directions in recent years. The pulse-coupled neural network (PCNN) is widely used to mimic the computational characteristics of the human brain in computer vision and [...] Read more.
Improving the efficiency of current neural networks and modeling them on biological neural systems have become prominent research directions in recent years. The pulse-coupled neural network (PCNN) is widely used to mimic the computational characteristics of the human brain in computer vision and neural network fields. However, PCNN faces limitations such as limited neural connections, high computational costs, and a lack of stochastic properties. This study proposes a random-coupled neural network (RCNN) to address these limitations. RCNN employs a stochastic inactivation process, selectively inactivating neural connections using a random inactivation weight matrix. This method reduces the computational burden and allows for extensive neural connections. RCNN encodes constant stimuli as periodic spike trains and periodic stimuli as chaotic spike trains, reflecting the information encoding characteristics of biological neural systems. Our experiments applied RCNN to image segmentation and fusion tasks, demonstrating its robustness, efficiency, and high noise resistance. Results indicate that RCNN surpasses traditional methods in performance across these applications. Full article
Show Figures

Figure 1

18 pages, 3644 KB  
Article
Edge Detection in Colored Images Using Parallel CNNs and Social Spider Optimization
by Jiahao Zhang, Wei Wang and Jianfei Wang
Electronics 2024, 13(17), 3540; https://doi.org/10.3390/electronics13173540 - 6 Sep 2024
Cited by 1 | Viewed by 2187
Abstract
Edge detection is a crucial issue in computer vision, with convolutional neural networks (CNNs) being a key component in various systems for detecting edges within images, offering numerous practical implementations. This paper introduces a hybrid approach for edge detection in color images using [...] Read more.
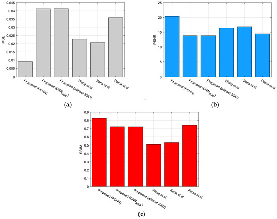
Edge detection is a crucial issue in computer vision, with convolutional neural networks (CNNs) being a key component in various systems for detecting edges within images, offering numerous practical implementations. This paper introduces a hybrid approach for edge detection in color images using an enhanced holistically led edge detection (HED) structure. The method consists of two primary phases: edge approximation based on parallel convolutional neural networks (PCNNs) and edge enhancement based on social spider optimization (SSO). The first phase uses two parallel CNN models to preliminarily approximate image edges. The first model uses edge-detected images from the Otsu-Canny operator, while the second model accepts RGB color images as input. The output of the proposed PCNN model is compared with pairwise combination of color layers in the input image. In the second phase, the SSO algorithm is used to optimize the edge detection result, modifying edges in the approximate image to minimize differences with the resulting color layer combinations. The experimental results demonstrate that our proposed method achieved a precision of 0.95. Furthermore, the peak signal-to-noise ratio (PSNR) and structural similarity index measure (SSIM) values stand at 20.39 and 0.83, respectively. The high PSNR value of our method signifies superior output quality, showing reduced contrast and noise compared to the ground truth image. Similarly, the SSIM value indicates that the method’s edge structure surpasses that of the ground truth image, further affirming its superiority over other methods. Full article
Show Figures

Figure 1

21 pages, 2246 KB  
Article
A Novel Rational Medicine Use System Based on Domain Knowledge Graph
by Chaoping Qin, Zhanxiang Wang, Jingran Zhao, Luyi Liu, Feng Xiao and Yi Han
Electronics 2024, 13(16), 3156; https://doi.org/10.3390/electronics13163156 - 9 Aug 2024
Cited by 2 | Viewed by 1620
Abstract
Medication errors, which could often be detected in advance, are a significant cause of patient deaths each year, highlighting the critical importance of medication safety. The rapid advancement of data analysis technologies has made intelligent medication assistance applications possible, and these applications rely [...] Read more.
Medication errors, which could often be detected in advance, are a significant cause of patient deaths each year, highlighting the critical importance of medication safety. The rapid advancement of data analysis technologies has made intelligent medication assistance applications possible, and these applications rely heavily on medical knowledge graphs. However, current knowledge graph construction techniques are predominantly focused on general domains, leaving a gap in specialized fields, particularly in the medical domain for medication assistance. The specialized nature of medical knowledge and the distinct distribution of vocabulary between general and biomedical texts pose challenges. Applying general natural language processing techniques directly to the medical domain often results in lower accuracy due to the inadequate utilization of contextual semantics and entity information. To address these issues and enhance knowledge graph production, this paper proposes an optimized model for named entity recognition and relationship extraction in the Chinese medical domain. Key innovations include utilizing Medical Bidirectional Encoder Representations from Transformers (MCBERT) for character-level embeddings pre-trained on Chinese biomedical corpora, employing Bi-directional Gated Recurrent Unit (BiGRU) networks for extracting enriched contextual features, integrating a Conditional Random Field (CRF) layer for optimal label sequence output, using the Piecewise Convolutional Neural Network (PCNN) to capture comprehensive semantic information and fusing it with entity features for better classification accuracy, and implementing a microservices architecture for the medication assistance review system. These enhancements significantly improve the accuracy of entity relationship classification in Chinese medical texts. The model achieved good performance in recognizing most entity types, with an accuracy of 88.3%, a recall rate of 85.8%, and an F1 score of 87.0%. In the relationship extraction stage, the accuracy reached 85.7%, the recall rate 82.5%, and the F1 score 84.0%. Full article
(This article belongs to the Section Computer Science & Engineering)
Show Figures

Figure 1

Back to TopTop