Sign in to use this feature.

Years

Between: -

Subjects

remove_circle_outline
remove_circle_outline
remove_circle_outline
remove_circle_outline
remove_circle_outline
remove_circle_outline
remove_circle_outline
remove_circle_outline
remove_circle_outline

Journals

remove_circle_outline
remove_circle_outline
remove_circle_outline
remove_circle_outline
remove_circle_outline
remove_circle_outline
remove_circle_outline
remove_circle_outline
remove_circle_outline
remove_circle_outline
remove_circle_outline
remove_circle_outline
remove_circle_outline
remove_circle_outline
remove_circle_outline
remove_circle_outline
remove_circle_outline
remove_circle_outline
remove_circle_outline
remove_circle_outline
remove_circle_outline
remove_circle_outline
remove_circle_outline
remove_circle_outline
remove_circle_outline
remove_circle_outline
remove_circle_outline
remove_circle_outline
remove_circle_outline

Article Types

Countries / Regions

remove_circle_outline
remove_circle_outline
remove_circle_outline
remove_circle_outline
remove_circle_outline
remove_circle_outline
remove_circle_outline
remove_circle_outline

Search Results (6,224)

Search Parameters:
Keywords = Monte-Carlo simulation

Order results
Result details
Results per page
Select all
Export citation of selected articles as:
30 pages, 28661 KB  
Article
A Sensitivity Study on the Effect of Voxel Human Model Deformation and Radionuclide Accumulation for Internal Dose Assessment in Nuclear Emergency
by Chenze He, Chunhua Chen, Qing Luo, Yi Li, Yuan Cheng, Liwei Chen and Fang Ruan
Technologies 2026, 14(3), 190; https://doi.org/10.3390/technologies14030190 (registering DOI) - 21 Mar 2026
Abstract
Current internal dose assessments in nuclear emergencies rely on static, upright voxel phantoms, often neglecting realistic human postures and physiological factors—such as breathing rates specific to emergency scenarios—that influence radionuclide intake and biokinetics. We present a voxel deformation method based on an improved [...] Read more.
Current internal dose assessments in nuclear emergencies rely on static, upright voxel phantoms, often neglecting realistic human postures and physiological factors—such as breathing rates specific to emergency scenarios—that influence radionuclide intake and biokinetics. We present a voxel deformation method based on an improved as-rigid-as-possible (ARAP) algorithm incorporating a novel smoothing term to generate anatomically consistent stooping and swivelling models. Coupled with Geant4 Monte Carlo simulations using the full decay spectra of radionuclides relevant to simulated nuclear accident scenarios (i.e., 131I and 137Cs), and incorporating scenario-specific respiratory parameters into activity calculations, our results demonstrate that body posture significantly influences internal dose distributions: for 137Cs, the specific absorbed fraction (SAF) of the liver increases by up to 24.9% in the stooping posture, while swivelling induces variations of up to 15.1%. In contrast, dose metrics for 131I show minimal sensitivity to posture (<5%). These findings highlight the importance of incorporating realistic postures and context-aware physiological parameters into emergency dosimetry. Our method enables behaviorally realistic internal dose reconstruction and provides a robust foundation for integrating human motion and respiratory data into rapid triage and risk assessment protocols. Full article
20 pages, 5008 KB  
Article
An Analytical Modeling Study on the Thermal Behavior of Copper–Carbon Nanotube Composite Through-Silicon Via (TSV)
by Kai Ying and Jie Liang
Nanomaterials 2026, 16(6), 377; https://doi.org/10.3390/nano16060377 (registering DOI) - 21 Mar 2026
Abstract
In this study, the Monte Carlo (MC) method is employed to generate the diameter and relative positional distributions of carbon nanotubes (CNTs). Based on this, we develop a three-layer thermal model for a copper-carbon nanotube (Cu-CNT) through-silicon via (TSV). By integrating Gauss–Hermite quadrature [...] Read more.
In this study, the Monte Carlo (MC) method is employed to generate the diameter and relative positional distributions of carbon nanotubes (CNTs). Based on this, we develop a three-layer thermal model for a copper-carbon nanotube (Cu-CNT) through-silicon via (TSV). By integrating Gauss–Hermite quadrature with the Law of Large Numbers (LLN), an analytical expression for thermal conductivity is derived, enabling efficient and accurate estimation of the thermal conductivity of Cu-CNT-filled TSV. Contrary to expectations, the thermal conductivity of TSV does not increase significantly with CNT volume fraction, primarily due to the interfacial thermal resistance at Cu-CNT and CNT-CNT junctions. Through calibration against previously reported experimental data, the effective Cu-CNT interfacial thermal resistance is estimated to be on the order of 10−7 m2K/W. Comparison with previously reported effective thermal conductivity data of Cu-CNT composites shows that the model maintains an error below 2% when the CNT volume fraction is below 10%. The model is therefore most suitable for low CNT volume fractions, where the assumed spatial distribution and structural simplifications remain physically valid. Furthermore, this study investigates the influence of TSV length on thermal performance, predicts the variation in thermal conductivity of Cu-CNT composites under different volume fractions, and the extracted thermal conductivity values are further used as material inputs for device-level electro-thermal COMSOL 6.1 simulations. Full article
(This article belongs to the Section Nanocomposite Materials)
14 pages, 2797 KB  
Article
Ignitability of Building Materials Under Various Unintended Heat Sources
by Honggang Wang and Yoon Ko
Fire 2026, 9(3), 134; https://doi.org/10.3390/fire9030134 (registering DOI) - 20 Mar 2026
Abstract
Building materials’ fire properties directly affect the fire risk of buildings. Ignition, the initiating event of any building fire, occurs when a heat source ignites surrounding combustible materials. Although several parameters—such as the Thermal Response Parameter (TRP), thermal inertia, ignition temperature, ignition time, [...] Read more.
Building materials’ fire properties directly affect the fire risk of buildings. Ignition, the initiating event of any building fire, occurs when a heat source ignites surrounding combustible materials. Although several parameters—such as the Thermal Response Parameter (TRP), thermal inertia, ignition temperature, ignition time, critical heat flux (CHF), and heat of combustion—have been used to characterize ignition behavior, a unified metric capable of representing overall ignitability under diverse and often unknown and unintended heat source (UHS) patterns is generally lacking. To address this gap, we propose a new method to evaluate material ignitability by generalizing UHS patterns and linking them to known or readily obtainable material properties, including ignition temperature and thermal inertia. The UHS patterns are represented using lognormal distributions for both exposure duration and incident heat flux (IHF), reflecting conditions that may occur in real buildings. Monte Carlo simulations are employed to generate a large number of heat exposure events from these UHS patterns, enabling statistical determination of material ignitability. The method applies to both thermally thick and thermally thin materials, with a simple expression provided to determine the critical thickness separating these behaviors. Sensitivity analysis demonstrates that the ignitability metric is robust with respect to variations in the lognormal distribution parameters. The proposed ignitability metric provides a general measure of a material’s susceptibility to ignition under typical building fire scenarios and enables relative comparison of fire risk for buildings differing only in the materials adopted. Full article
Show Figures

Figure 1

24 pages, 611 KB  
Article
Discrete Asymmetric Double Lindley Distribution on Z: Theory, Likelihood Inference, and Applications
by Hugo S. Salinas, Hassan S. Bakouch, Sudeep R. Bapat, Amira F. Daghestani and Anhar S. Aloufi
Symmetry 2026, 18(3), 533; https://doi.org/10.3390/sym18030533 - 20 Mar 2026
Abstract
We introduce the discrete asymmetric double Lindley distribution, a new two-parameter family on the integer line designed to model signed counts and net changes with flexible asymmetric tail behavior. This statistical model is obtained by merging two Lindley-type linear-geometric kernels on the negative [...] Read more.
We introduce the discrete asymmetric double Lindley distribution, a new two-parameter family on the integer line designed to model signed counts and net changes with flexible asymmetric tail behavior. This statistical model is obtained by merging two Lindley-type linear-geometric kernels on the negative and non-negative half-lines, with tail decay rates that are coupled through a simple two-parameter mechanism. This construction yields an analytically tractable probability mass function with an explicit normalizing constant, as well as closed-form expressions for the cumulative distribution function and one-sided tail probabilities. We further provide a transparent stochastic representation based solely on Bernoulli and geometric random variables, leading to an exact and efficient simulation algorithm that is convenient for Monte Carlo studies and validating numerical likelihood routines. Graphical illustrations highlight the role of the asymmetry parameter in controlling the imbalance between the two tails and the resulting skewness on Z. The proposed family offers a practical and interpretable alternative to existing integer-line models for asymmetric discrete data, with direct applicability to likelihood-based inference and real-world datasets. Full article
(This article belongs to the Section Mathematics)
Show Figures

Figure 1

19 pages, 1184 KB  
Article
Hardware-Accelerated Cryptographic Random Engine for Simulation-Oriented Systems
by Meera Gladis Kurian and Yuhua Chen
Electronics 2026, 15(6), 1297; https://doi.org/10.3390/electronics15061297 - 20 Mar 2026
Abstract
Modern computing platforms increasingly rely on random number generators (RNGs) for modeling probabilistic processes in simulation, probabilistic computing, and system validation. They are also essential for cryptographic operations such as key generation, authenticated encryption, and digital signatures. Deterministic Random Bit Generators (DRBGs), as [...] Read more.
Modern computing platforms increasingly rely on random number generators (RNGs) for modeling probabilistic processes in simulation, probabilistic computing, and system validation. They are also essential for cryptographic operations such as key generation, authenticated encryption, and digital signatures. Deterministic Random Bit Generators (DRBGs), as specified in the National Institute of Standards and Technology (NIST) Special Publication (SP) 800-90A, provides a standardized method for expanding entropy into cryptographically strong pseudorandom sequences. This work presents the design and Field Programmable Gate Array (FPGA) implementation of a hash-based DRBG using Ascon-Hash256, a lightweight, quantum-resistant hash function from the NIST-standardized Ascon cryptographic suite. It implements hash-based derivation, instantiation, generation, and reseeding of the generator via iterative hash invocations and state updates. Leveraging Ascon’s sponge-based structure, the design achieves efficient entropy absorption and diffusion while maintaining an area-efficient FPGA architecture, making it well suited for resource-constrained platforms. The diffusion properties of the proposed DRBG are evaluated through avalanche and reproducibility analyses, confirming strong sensitivity to input variations and secure, repeatable operation. Moreover, Monte Carlo and stochastic-diffusion evaluation of the generated bitstreams demonstrates correct convergence and statistically consistent behavior. These results confirm that the proposed hash-based DRBG provides reproducible, hardware-efficient, and cryptographically secure random numbers suitable for next-generation neuromorphic, probabilistic computing systems, and Internet of Things (IoT) devices. Full article
Show Figures

Figure 1

24 pages, 1985 KB  
Article
Planning Method for Power System Considering Flexible Integration of Renewable Energy and Heterogeneous Resources
by Yuejiao Wang, Shumin Sun, Zhipeng Lu, Yiyuan Liu, Yu Zhang, Nan Yang and Lei Zhang
Processes 2026, 14(6), 984; https://doi.org/10.3390/pr14060984 - 19 Mar 2026
Abstract
The large-scale grid integration of distributed renewable energy enhances the flexible regulation capacity of the power system. However, the inherent randomness and volatility of its output, coupled with weak coupling access characteristics, pose severe challenges to the safe and stable operation of the [...] Read more.
The large-scale grid integration of distributed renewable energy enhances the flexible regulation capacity of the power system. However, the inherent randomness and volatility of its output, coupled with weak coupling access characteristics, pose severe challenges to the safe and stable operation of the power system. To address these issues, this paper proposes a power system planning method suitable for urban power grids. To accurately characterize the uncertainty of renewable energy output, the method incorporates the concept of multi-scenario stochastic optimization and introduces a dynamic scenario generation method for wind and solar power based on nonparametric kernel density estimation and standard multivariate normal distribution sequence sampling. This method generates a set of typical daily dynamic output scenarios for wind and solar power that closely match actual output characteristics. Considering the spatiotemporal response characteristics of flexible resources, the Soft Open Point (SOP) DC link enables flexible cross-node power transmission and spatiotemporal coupling regulation of flexible resources. Therefore, this paper constructs a mathematical model for the grid integration of flexible resources based on the SOP DC link. By integrating operational constraints such as power flow constraints in the power grid and source-load uncertainty constraints, a power system planning model is established. However, traditional convex optimization methods require approximate simplifications of the model, which can easily lead to a loss of accuracy. Although the Particle Swarm Optimization (PSO) algorithm is suitable for nonlinear optimization, it is prone to getting trapped in local optima. Therefore, this paper introduces an improved PSO algorithm based on refraction opposite learning, which enhances the algorithm’s global optimization capability by expanding the particle search space and increasing population diversity. Finally, simulation verification is conducted based on an improved IEEE-39 bus test system, and the results show that the proposed scenario generation method achieves a sum of squared errors of only 4.82% and a silhouette coefficient of 0.94, significantly improving accuracy compared to traditional methods such as Monte Carlo sampling. Full article
Show Figures

Figure 1

21 pages, 7247 KB  
Article
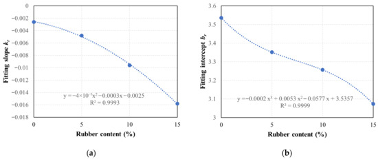
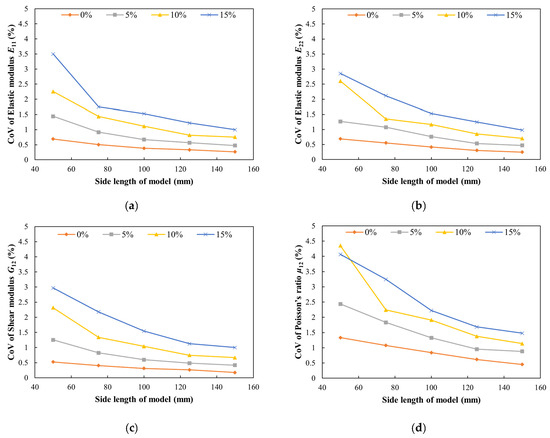
A Study on Equivalent Elastic Properties of Crumb Rubber Concrete Based on a Mesoscale Numerical Homogenization Method
by Guang Yang, Yang Qi, Zhongcheng Ma, Leibin Zuo, Xiaofeng Liu and Jie Xu
Appl. Sci. 2026, 16(6), 2936; https://doi.org/10.3390/app16062936 - 18 Mar 2026
Viewed by 28
Abstract
Crumb rubber concrete (CRC), as a heterogeneous multiphase composite material composed of coarse aggregate, rubber particles, cement mortar, pores, and other constituents, is frequently regarded as a homogeneous material in engineering applications. This study employs numerical homogenization to compute equivalent mechanical parameters for [...] Read more.
Crumb rubber concrete (CRC), as a heterogeneous multiphase composite material composed of coarse aggregate, rubber particles, cement mortar, pores, and other constituents, is frequently regarded as a homogeneous material in engineering applications. This study employs numerical homogenization to compute equivalent mechanical parameters for CRC. By establishing a two-dimensional parametric random aggregate model combined with Monte Carlo simulations and finite element computations, it systematically analyzes the influence of rubber content (0%, 5%, 10%, 15%) and specimen size (50–150 mm) on CRC’s macroscopic equivalent elastic modulus. The research reveals that stable homogenization results, usable as macroscopic equivalent material parameters, are attained when the Representative Volume Element (RVE) size of the CRC model is ≥5 times the maximum aggregate particle size (dₘₐₓ). The equivalent modulus E decreases rapidly initially with increasing size, followed by a decelerated decline toward stabilization. A predictive model based on the fitted formula ln Eᵣ = kᵣ ln L + bᵣ (where Eᵣ denotes reduced modulus) enables elastic modulus prediction for large-scale components up to 600 mm. This study elucidates the macro-mesoscopic linkage mechanism governing CRC’s equivalent elastic parameters, providing a theoretical foundation for engineering structural design. Full article
Show Figures

Figure 1

25 pages, 3930 KB  
Article
A Novel Unit Exponential Delay Time Distribution: Theory, Inference and Applications
by Ahmed M. Herzallah, Asmaa S. Al-Moisheer and Khalaf S. Sultan
Mathematics 2026, 14(6), 1029; https://doi.org/10.3390/math14061029 - 18 Mar 2026
Viewed by 45
Abstract
This paper introduces the Unit Exponential Delay Time Distribution (UEDTD), a two-parameter model for data with support in the unit interval (0,1). The model is derived using two distinct approaches: transformation method applied to the Exponential Delay Time [...] Read more.
This paper introduces the Unit Exponential Delay Time Distribution (UEDTD), a two-parameter model for data with support in the unit interval (0,1). The model is derived using two distinct approaches: transformation method applied to the Exponential Delay Time Distribution (EDTD), which itself arises as the convolution of two independent exponential random variables, and product convolution method of two independent power-function random variables that connects UEDTD to Pareto distribution, offering additional interpretability and giving rise to several exact and efficient algorithms for generating random samples. The limit distribution is examined with derivation of key statistical properties. The order statistics with interesting asymptotic results for extremes distribution are discussed and formulated. A reparameterization for the model is suggested to improve estimation stability and formulation with maximum likelihood approach employed for parameter inference. A simulation study demonstrates the consistency and efficiency of the estimators across various sample sizes and parameter configurations. The practical applicability of the UEDTD is demonstrated through a real-world dataset, where it shows superior performance compared to established unit distributions, confirming the utility of the UEDTD for modeling proportional data in applied research. Full article
(This article belongs to the Section D1: Probability and Statistics)
Show Figures

Figure 1

13 pages, 2743 KB  
Article
A Preisach–MVS Compact-Modeling Framework for Investigating Device Variability in Ferroelectric FETs Under Ferroelectric Thickness and Coercive-Field Fluctuations
by Ziang Li, Weihua Han and Zhanqi Liu
Electronics 2026, 15(6), 1274; https://doi.org/10.3390/electronics15061274 - 18 Mar 2026
Viewed by 56
Abstract
As emerging nonvolatile memory devices, ferroelectric field-effect transistors (FeFETs) have attracted significant attention for memory applications. However, due to the stochastic nature of fabrication processes and material properties, FeFETs exhibit pronounced device-to-device (DTD) variations, leading to threshold voltage dispersion and inconsistency in memory [...] Read more.
As emerging nonvolatile memory devices, ferroelectric field-effect transistors (FeFETs) have attracted significant attention for memory applications. However, due to the stochastic nature of fabrication processes and material properties, FeFETs exhibit pronounced device-to-device (DTD) variations, leading to threshold voltage dispersion and inconsistency in memory window (MW), which severely constrain array-level performance and reliability. In this study, a compact model-based variability analysis methodology for FeFETs has been proposed. Specifically, the Preisach ferroelectric (FE) hysteresis model was combined with the MIT Virtual Source (MVS) physical compact model to establish a macro-model for FeFETs, and statistical simulations were performed to evaluate device-level variations. Using the proposed framework, how fluctuations in two key FE parameters, film thickness (tFE) and coercive field (EC), affect FeFET transfer characteristics, threshold voltage (VTH), and MW was systematically investigated. Monte Carlo (MC) simulations were further conducted to quantify the distribution width and statistical features of VTH under different variability scenarios. The results indicate that random fluctuations in process-related parameters broaden the FeFET Id-Vg characteristics, induce shifts in high/low threshold voltages, and cause MW variations. Moreover, when tFE and EC fluctuate simultaneously, the dispersions of VTH and MW become significantly larger than those induced by a single-parameter fluctuation. The proposed compact-modeling framework and variability analysis approach enables the efficient evaluation of parameter tolerance and performance margin in FeFET arrays, providing guidance for storage-array design. Full article
(This article belongs to the Section Microelectronics)
Show Figures

Figure 1

49 pages, 4062 KB  
Article
Evaluation of a Non-Parametric Penalized Kaplan–Meier Estimator Under Interval-Censored Survival Data
by Kayakazi Chophela, Chioneso Show Marange and Akinwumi Sunday Odeyemi
Symmetry 2026, 18(3), 519; https://doi.org/10.3390/sym18030519 - 18 Mar 2026
Viewed by 61
Abstract
Interval-censored survival data arise frequently in biomedical and epidemiological studies where event times are observed only within observation intervals. Classical non-parametric estimators, such as the Kaplan–Meier (KM) estimator under imputation and the Turnbull estimator, often suffer from instability, irregular fluctuations, and overfitting when [...] Read more.
Interval-censored survival data arise frequently in biomedical and epidemiological studies where event times are observed only within observation intervals. Classical non-parametric estimators, such as the Kaplan–Meier (KM) estimator under imputation and the Turnbull estimator, often suffer from instability, irregular fluctuations, and overfitting when sample sizes are small or when the prevalence rate is low. Recent methodological developments, which include smoothed and penalized approaches, have been proposed to improve stability and reduce estimation error in such settings. This study evaluates and benchmarks the finite-sample performance of a nonparametric penalized likelihood KM estimator under interval-censored data. The method is compared with the classical KM estimator using four imputation strategies, that is, midpoint, regression, uniform, and multiple imputation. From a symmetry perspective, midpoint and uniform imputation preserve interval symmetry through deterministic and probabilistic mechanisms, respectively, whereas regression and multiple imputation intentionally introduce structural asymmetry to reflect data-driven risk heterogeneity and distributional uncertainty. To assess and benchmark the performance of the penalized KM estimator, an extensive Monte Carlo (MC) simulation study was conducted across varying sample sizes and prevalence rates using error-based metrics. The MC simulation results revealed that the nonparametric penalized KM estimator consistently outperforms the classical KM estimator in small samples across all prevalence rates. The gains are more pronounced under low prevalence rates where the penalized KM estimator is superior for small to relatively moderate samples of n 40–100. Among the imputation techniques, regression and multiple imputation generally exhibited superior performance. Real data application further confirms these findings, demonstrating that the nonparametric penalized KM estimator yields more stable and accurate survival curves than the classical KM estimator in small samples. Full article
(This article belongs to the Section Mathematics)
Show Figures

Figure 1

24 pages, 3023 KB  
Review
Porous Organic Polymers with Azo, Azoxy, and Azodioxy Linkages: Design, Synthesis, and CO2 Adsorption Properties
by Ivan Kodrin and Ivana Biljan
Polymers 2026, 18(6), 735; https://doi.org/10.3390/polym18060735 - 17 Mar 2026
Viewed by 165
Abstract
Rising atmospheric CO2 levels have increased the demand for robust, scalable adsorbents for practical CO2 capture and separation. Porous organic polymers (POPs) are attractive candidates because their pore architecture and binding site properties can be precisely tuned via building blocks and [...] Read more.
Rising atmospheric CO2 levels have increased the demand for robust, scalable adsorbents for practical CO2 capture and separation. Porous organic polymers (POPs) are attractive candidates because their pore architecture and binding site properties can be precisely tuned via building blocks and linkage formation. This review summarizes experimental and computational studies of azo-linked POPs and, more broadly, nitrogen–nitrogen (N–N) linked systems, emphasizing how synthetic routes, building blocks, and framework topology govern CO2 uptake. We highlight key synthetic strategies and representative systems, including porphyrin–azo networks, and discuss the relatively sparse experimental literature on alternative N–N linked POPs incorporating azoxy and azodioxy motifs. Emphasis is placed on reversible nitroso/azodioxide chemistry as a potential pathway to ordered porous organic materials. Computational studies provide a practical route to connect structure with adsorption behavior in largely amorphous or partially ordered networks. We review hierarchical workflows combining periodic DFT and electrostatic potential properties, grand canonical Monte Carlo (GCMC) simulations, and binding energy calculations to rationalize trends and identify favorable binding environments. Computational findings demonstrate that pore accessibility and stacking models can strongly influence predicted CO2 adsorption. This review provides guidelines for designing POPs with enhanced CO2 adsorption, offering an outlook and discussing challenges for future studies. Full article
Show Figures

Graphical abstract

6 pages, 421 KB  
Proceeding Paper
Scenario-Based Simulation for Evaluating Trade-Offs Among Efficiency, Effectiveness, and Equity in Emergency Response Routing: A Monte Carlo Approach and MATLAB
by Charmine Sheena Saflor, Anton Luis Martin Espina, Marlon Era, Samantha Louise Jarder, Francisco Emmanuel Munsayac Jr. III and Ronnel Agulto
Eng. Proc. 2026, 128(1), 40; https://doi.org/10.3390/engproc2026128040 - 17 Mar 2026
Viewed by 87
Abstract
In disaster response logistics, it is critical to evaluate strategies for operational speed and efficiency and fairness in aid distribution. Therefore, we developed a simulation-based framework for assessing emergency delivery performance using the efficiency, effectiveness, and equity (3E) model under uncertainty. Using the [...] Read more.
In disaster response logistics, it is critical to evaluate strategies for operational speed and efficiency and fairness in aid distribution. Therefore, we developed a simulation-based framework for assessing emergency delivery performance using the efficiency, effectiveness, and equity (3E) model under uncertainty. Using the Monte Carlo simulation v4.4.9 and MATLAB v4.4.9, the model tests a greedy resource allocation strategy across 100 randomized scenarios involving variable regional demand and travel times. Each scenario is evaluated based on total fulfillment, distribution balance, and delivery effort. The results indicate that under ideal conditions with sufficient supply and no logistical constraints, the strategy achieves full effectiveness and perfect equity, with consistent efficiency outcomes. While the system performs optimally in the base case, the model also highlights the importance of testing strategies under more constrained or disrupted environments. The proposed approach enables planners to assess performance trade-offs, providing a robust foundation for future extensions involving optimization, real-time data integration, or prioritization schemes. Full article
Show Figures

Figure 1

16 pages, 614 KB  
Article
Loan Defaults and Credit Risk in Microfinance
by Perpetual Andam Boiquaye, Bernadette Aidoo and Samuel Asante Gyamerah
Risks 2026, 14(3), 66; https://doi.org/10.3390/risks14030066 - 16 Mar 2026
Viewed by 139
Abstract
This study investigates the probability of consumer default across both secured and unsecured assets, with a particular focus on borrower behavior and the role of moral hazard in shaping individual credit risk. It examines how different borrower decisions, such as investing in secured [...] Read more.
This study investigates the probability of consumer default across both secured and unsecured assets, with a particular focus on borrower behavior and the role of moral hazard in shaping individual credit risk. It examines how different borrower decisions, such as investing in secured and unsecured projects after loan disbursement, affect default outcomes, especially under limited lender supervision. The Ornstein–Uhlenbeck process is used to capture the dynamics of risky asset returns and identifies the conditions under which borrowers are likely to switch from safer to riskier investments. We assume that borrowers may allocate loan funds to both secured and unsecured projects, thereby recognizing that credit risk assessment inherently involves behavioral factors that are difficult to quantify. Monte Carlo simulations are used to assess how return volatility influences borrower decision-making, showing that higher uncertainty increases the probability of returns exceeding the repayment obligation, thereby incentivizing risk-shifting behavior. The results indicate that unsecured lending is more exposed to strategic risk shifting and experiences more frequent and severe default outcomes than secured lending. As a result, this study recommends that microfinance institutions prioritize collateral-backed lending as a more effective strategy for mitigating credit risk and reducing exposure to borrower opportunism. Full article
Show Figures

Figure 1

24 pages, 20988 KB  
Article
The Impact of Milankovitch Cycles on Coal Accumulation and Its Implications for Carbon Cycling and Carbon Sequestration: A Case Study of the Pinghu Formation, Area A, Xihu Depression
by Yaning Wang, Yu Jiang, Shan Jiang and Yan Zhao
Appl. Sci. 2026, 16(6), 2831; https://doi.org/10.3390/app16062831 - 16 Mar 2026
Viewed by 157
Abstract
The Eocene Pinghu Formation in the Xihu Depression, East China Sea Shelf Basin, is a key coal-bearing unit for offshore China’s petroleum exploration. However, the mechanisms of coal accumulation controlled by astronomical cycles and the stacking patterns of coal seams remain underexplored. Recent [...] Read more.
The Eocene Pinghu Formation in the Xihu Depression, East China Sea Shelf Basin, is a key coal-bearing unit for offshore China’s petroleum exploration. However, the mechanisms of coal accumulation controlled by astronomical cycles and the stacking patterns of coal seams remain underexplored. Recent studies using wavelet analysis have highlighted the need for further investigation into the role of Milankovitch cycles in coal formation. This study uses natural gamma-ray logging data from Well K and applies cyclic stratigraphy to investigate how astronomical orbital cycles control coal seam development, identifying the link between cyclic stratigraphy and coal accumulation, and the distribution patterns of coal seams across different cycle levels. The top of the Pinghu Formation was used as the astronomical anchor, and tuning was conducted from top to base following a “cycle identification–anchor tying–astronomical tuning” workflow. The resulting astronomical timescale indicates a depositional duration of 8.17 Ma. COCO/eCOCO analyses with 5000 Monte Carlo simulations (sedimentation-rate range: 7–11 cm/kyr; step: 0.1 cm/kyr) yield a mean sedimentation rate of 9 cm/kyr. Coal accumulation is influenced by Milankovitch cycles. High eccentricity periods correspond to warmer climates that promote coal development, while low eccentricity phases synchronize with optimal climatic conditions for coal formation. Based on these findings, this study proposes a coal seam development model for the Pinghu Formation in Area A of the Xihu Depression, offering insights for cyclic stratigraphy and coal accumulation research in similar basins and supporting sustainable development of coal-bearing strata in the East China Sea Basin. Full article
(This article belongs to the Section Earth Sciences)
Show Figures

Figure 1

35 pages, 4582 KB  
Article
Arsenic, Cadmium, and Lead in Soils and Cereal Grains of the Pannonian Plain (Croatia): Soil-to-Grain Transfer and Dietary Exposure Assessment
by Danijel Brkić, Jelena Marinić, Dijana Tomić Linšak, Gordana Jurak, Dario Lasić, Jasna Bošnir and Dalibor Broznić
Foods 2026, 15(6), 1036; https://doi.org/10.3390/foods15061036 - 16 Mar 2026
Viewed by 114
Abstract
Heavy metals in agricultural systems pose a significant challenge to food security, especially in regions with long-term intensive land use. While the Pannonian Plain represents Croatia’s primary breadbasket, accounting for a significant portion of the nation’s cereal production, data on the soil-to-grain transfer [...] Read more.
Heavy metals in agricultural systems pose a significant challenge to food security, especially in regions with long-term intensive land use. While the Pannonian Plain represents Croatia’s primary breadbasket, accounting for a significant portion of the nation’s cereal production, data on the soil-to-grain transfer of heavy metals and the associated human exposure risk are limited. The objective of this study was (i) to determine the concentrations of arsenic (As), cadmium (Cd), and lead (Pb) in agricultural soils and corresponding grains (wheat, barley, and maize) across four principal counties within the Pannonian region of Croatia; (ii) to evaluate the soil-to-grain transfer factors that varied regionally and among cereal types; and (iii) to assess the potential non-carcinogenic health risks for both adults and children highlighting differences in exposure due to body weight and consumption patterns. Soil and cereal grain samples were collected in 2019 and 2020, and metal concentrations were determined by ICP-MS after microwave acid digestion. The transfer of metals from soil to grain was estimated using the transfer factor (TF), while exposure assessment was conducted by calculating the estimated daily intake (EDI), hazard quotient (HQ), and hazard index (HI). Due to the nonlinear distribution of the data and the lack of strictly matched soil and grain samples, median metal concentrations pooled across all studied regions were used for exposure assessment. For As, a conservative approach was applied, assuming that 50% of the total As is in inorganic form. Additionally, a probabilistic risk assessment using Monte Carlo simulations was conducted to account for variability in body weight and cereal intake, providing a more comprehensive evaluation of potential exposure. The results showed differences in metal accumulation among cereal species, with wheat and barley tending to accumulate more Cd than maize, while As and Pb concentrations in grains were low for all crops studied. Although soil metal concentrations in Međimurje County were generally low, elevated TF values for As and Pb were observed, indicating enhanced soil-to-plant transfer under specific local soil conditions. In contrast, high soil metal concentrations in Slavonski Brod–Posavina County were associated with low TF values, suggesting limited bioavailability and restricted transfer to cereal grains. Both deterministic and probabilistic assessments indicated that the HQ and HI for adults and children were below 1, suggesting low non-carcinogenic risk from cereal consumption. These findings highlight pronounced regional and crop-specific differences in soil-to-plant metal transfer and confirm that low soil contamination does not necessarily imply low transfer potential, emphasizing the importance of integrated soil–plant–grain monitoring for food safety assessment. Full article
(This article belongs to the Section Grain)
Show Figures

Figure 1

Back to TopTop