Sign in to use this feature.

Years

Between: -

Subjects

remove_circle_outline
remove_circle_outline
remove_circle_outline
remove_circle_outline
remove_circle_outline
remove_circle_outline
remove_circle_outline
remove_circle_outline
remove_circle_outline

Journals

Article Types

Countries / Regions

Search Results (96)

Search Parameters:
Keywords = Mini Nutritional Assessment-Short Form

Order results
Result details
Results per page
Select all
Export citation of selected articles as:
20 pages, 2792 KB  
Article
Pilates-Based Exercise and Its Impact on Nutritional Status and Health-Related Quality of Life in Older Adults with Type 2 Diabetes: A Randomized Controlled Trial
by Beatriz Ruiz-Ariza, Agustín Aibar-Almazán, Fidel Hita-Contreras, Yolanda Castellote-Caballero and María del Carmen Carcelén-Fraile
Diagnostics 2025, 15(22), 2913; https://doi.org/10.3390/diagnostics15222913 - 18 Nov 2025
Viewed by 767
Abstract
Background/Objectives: Type 2 diabetes mellitus (T2DM) is a prevalent chronic disease frequently associated with impaired nutritional status and reduced health-related quality of life (HRQoL), especially in older adults. Alongside pharmacological treatment and diet, physical exercise has emerged as a complementary strategy. Pilates, [...] Read more.
Background/Objectives: Type 2 diabetes mellitus (T2DM) is a prevalent chronic disease frequently associated with impaired nutritional status and reduced health-related quality of life (HRQoL), especially in older adults. Alongside pharmacological treatment and diet, physical exercise has emerged as a complementary strategy. Pilates, a mind–body discipline focused on controlled movement and postural alignment, may help improve outcomes beyond conventional care. This study aimed to evaluate the effectiveness of a 12-week Pilates intervention on nutritional status and HRQoL in older adults with T2DM. Methods: A randomized controlled trial was conducted with 104 older adults diagnosed with T2DM. The participants were randomly allocated to a Pilates group (n = 52) or a control group (n = 52). The intervention consisted of 24 supervised sessions delivered twice weekly for 60 min over 12 weeks. Nutritional status was assessed using the Mini Nutritional Assessment (MNA), and HRQoL was measured with the 12-Item Short Form Health Survey (SF-12). Both assessments were carried out at baseline and after the intervention. Results: Post-intervention scores indicated better nutritional condition and higher ratings in both physical and mental dimensions of HRQoL, while no significant changes were observed in controls. Conclusions: A structured Pilates program improved nutritional status and HRQoL in older adults with T2DM. These results suggest that Pilates is a feasible, safe, and effective complementary therapy in the comprehensive management of this population. Full article
(This article belongs to the Section Clinical Diagnosis and Prognosis)
Show Figures

Figure 1

12 pages, 418 KB  
Article
Sense of Coherence as a Moderator Between Social Isolation and the Risk of Care Dependency Among Older Adults in Japan
by Shimpei Hayashi and Keiko Matsumoto
Nurs. Rep. 2025, 15(11), 403; https://doi.org/10.3390/nursrep15110403 - 17 Nov 2025
Viewed by 413
Abstract
Background/Objectives: In Japan, the rapid aging of the population has increased the need for strategies to extend healthy life expectancy and prevent care dependency. Social isolation has been identified as a major risk factor for adverse physical and psychological outcomes, but its interaction [...] Read more.
Background/Objectives: In Japan, the rapid aging of the population has increased the need for strategies to extend healthy life expectancy and prevent care dependency. Social isolation has been identified as a major risk factor for adverse physical and psychological outcomes, but its interaction with psychological resilience factors remains unclear. This study aimed to examine the association between social isolation and the risk of care dependency among community-dwelling older adults, and to investigate whether the sense of coherence (SOC) moderates this relationship. Methods: A cross-sectional survey was conducted in City A, Kagawa Prefecture, involving 519 residents aged 65 years or older. Social isolation was assessed using the Japanese version of the Lubben Social Network Scale-6 (LSNS-6), and SOC was measured with a validated three-item scale from the University of Tokyo. The risk of care dependency was evaluated using a 15-item checklist developed by the Tokyo Metropolitan Institute of Gerontology. Nutritional status was measured using the Mini Nutritional Assessment–Short Form. Multiple imputation (m = 50) handled missing data. Standardized linear regression analyses estimated main and interaction effects, followed by robustness checks using robust, gamma, and bootstrap analyses. Results: Lower levels of social connectedness were associated with a higher risk of care dependency. A moderating trend of SOC was observed (β = 0.100, p = 0.004), suggesting that the adverse impact of social isolation may be greater among individuals with lower SOC. Conclusions: These findings suggest that SOC may play a potential buffering role mitigating the adverse effects of social isolation. Although the explanatory power of the model was moderate, the observed trends highlight the potential importance of psychosocial resources for preventive care among older adults. Full article
(This article belongs to the Special Issue Nursing Interventions to Improve Healthcare for Older Adults)
Show Figures

Figure 1

14 pages, 859 KB  
Article
Metabolic–Nutritional Associations with Depression in Elderly Chronic Kidney Disease Patients: Hemodialysis Versus Non-Dialysis Populations
by Sedat Ozdemir, Aynur Ekren Cakici and İbrahim Bilir
Metabolites 2025, 15(11), 710; https://doi.org/10.3390/metabo15110710 - 30 Oct 2025
Viewed by 551
Abstract
Background/Objectives: This study aimed to evaluate the interrelationship between depression and nutritional–metabolic status in geriatric patients with chronic kidney disease (CKD), and to identify the contributing clinical and sociodemographic factors, with a particular focus on differences between patients receiving and not receiving hemodialysis [...] Read more.
Background/Objectives: This study aimed to evaluate the interrelationship between depression and nutritional–metabolic status in geriatric patients with chronic kidney disease (CKD), and to identify the contributing clinical and sociodemographic factors, with a particular focus on differences between patients receiving and not receiving hemodialysis treatment. Methods: This cross-sectional descriptive study was conducted between September 2023 and September 2024 in Gaziantep, Turkey. A total of 152 CKD patients aged 65 years and older were included, with 78 receiving hemodialysis and 74 managed without dialysis. Nutritional status was assessed using the Mini Nutritional Assessment—Short Form (MNA-SF), and depression levels were measured using the Geriatric Depression Scale—Short Form (GDS-SF). Laboratory parameters such as hemoglobin and serum albumin were also recorded. Results: A total of 152 geriatric CKD patients were included, with 78 (51.3%) undergoing hemodialysis and 74 (48.7%) not receiving dialysis. The non-dialysis group had significantly higher age (77.07 ± 8.61 vs. 70.13 ± 7.76 years, p = 0.001) and BMI (28.44 ± 4.70 vs. 25.18 ± 4.75, p = 0.001). Serum albumin levels were lower in non-dialysis patients (2.53 ± 0.67 vs. 3.50 ± 0.465 g/dL, p < 0.001), while hemoglobin (12.44 ± 2.03 vs. 11.16 ± 1.92 g/dL, p = 0.001) and ALT levels (17.16 ± 13.06 vs. 8.53 ± 4.31 U/L, p = 0.001) were higher. Malnutrition was more frequent among non-dialysis patients (20.3% vs. 9.0%, p = 0.033). Although depression was more common in this group, the difference was not statistically significant (p = 0.091). A moderate negative correlation was observed between MNA-SF and GDS-SF scores (r = −0.426, p < 0.01). Serum albumin positively correlated with MNA-SF (r = 0.374, p < 0.01) and negatively with GDS-SF (r = −0.323, p < 0.01). Conclusions: Malnutrition was more frequent among elderly CKD patients not receiving hemodialysis, whereas depression prevalence did not differ significantly between groups. A significant correlation between nutritional status (MNA-SF, serum albumin) and depressive symptoms (GDS-SF) was observed in the overall CKD cohort, underscoring the close interplay between metabolic and psychological health in this population. These results highlight the need for routine screening and integrated management of both nutrition and mental health in elderly CKD patients, and future longitudinal studies are warranted to determine causal pathways and predictive value. Full article
Show Figures

Graphical abstract

14 pages, 633 KB  
Article
Prevalence of Dysphagia and Its Health Implications Among Elderly Residents in Long-Term Care Facilities in the Liguria Region (Italy): An Observational Cohort Study
by Elena Formisano, Enrico Di Cino, Elena Nicosia, Andrea Pasta, Gianfranco Paccione, Alessandro Antioco Sukkar, Livia Pisciotta and Samir Giuseppe Sukkar
Nutrients 2025, 17(20), 3268; https://doi.org/10.3390/nu17203268 - 17 Oct 2025
Viewed by 1021
Abstract
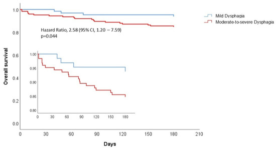
Background/Objectives: Dysphagia is a common condition among older adults, associated with significant health risks. This prospective, open-label observational cohort study aimed to determine the prevalence of dysphagia and its impact on nutritional status and clinical outcomes in elderly residents of six long-term [...] Read more.
Background/Objectives: Dysphagia is a common condition among older adults, associated with significant health risks. This prospective, open-label observational cohort study aimed to determine the prevalence of dysphagia and its impact on nutritional status and clinical outcomes in elderly residents of six long-term care facilities. Methods: Patients aged ≥ 65 years were screened using the 3 oz Water Swallow Test (WST); those with dysphagia were followed for 6 months. Nutritional status was evaluated with the Mini Nutritional Assessment short-form (MNA-SF), the Global Leadership Initiative on Malnutrition (GLIM), and the SARC-F questionnaire. Anthropometric and body composition measurements were also obtained. Results: Among 656 patients screened, 188 (28.6%) had dysphagia (median age 90 years; 89.9% females). Mild dysphagia was present in 34.0%, while 66.0% had moderate-to-severe dysphagia. At baseline, patients with moderate-to-severe dysphagia had significantly lower BMI (18.4 vs. 20.6 kg/m2, p = 0.014), smaller calf circumference (24.0 vs. 28.0 cm, p = 0.005), and higher SARC-F score (8 vs. 7, p = 0.028). Bioimpedance analysis showed lower fat mass (6.7 vs. 12.9 kg, p < 0.001) and fat mass% (14.7 vs. 25.4%, p < 0.001), and higher FFM% (85.3 vs. 74.6%, p < 0.001). At 6 months, BMI, calf circumference, handgrip strength, fat mass, and fat mass% resulted significantly lower in patients with moderate-to-severe dysphagia. A total of 23 participants (12.2%) died during follow-up, with a higher mortality rate in the moderate-to-severe group (HR 2.58, 95% CI 1.20–7.59, p = 0.044); aspiration pneumonia was the leading cause (21.7%). Conclusions: Dysphagia significantly affects nutritional status and survival in elderly residents of long-term care facilities. Early personalized nutritional intervention is pivotal to improve outcomes. Full article
(This article belongs to the Section Geriatric Nutrition)
Show Figures

Figure 1

14 pages, 550 KB  
Article
Nutritional Status and Feeding Difficulty of Older People Residing in Nursing Homes: A Cross-Sectional Observational Study
by Hansen (Cindy) Tang, Kazem Razaghi, Wenpeng You, Yu (Carrie) Cheng, Lei (Tina) Sun, Ivy Wong and Hui-Chen (Rita) Chang
Nutrients 2025, 17(16), 2607; https://doi.org/10.3390/nu17162607 - 11 Aug 2025
Cited by 1 | Viewed by 2458
Abstract
Aims: To investigate the nutritional status and feeding behaviours of nursing home residents and the impact of cognitive impairments and feeding difficulties on nutritional health. Design: A cross-sectional observational design was employed. Methods: The study assessed 51 nursing home residents using the Mini [...] Read more.
Aims: To investigate the nutritional status and feeding behaviours of nursing home residents and the impact of cognitive impairments and feeding difficulties on nutritional health. Design: A cross-sectional observational design was employed. Methods: The study assessed 51 nursing home residents using the Mini Nutritional Assessment Short-Form (MNA-SF) for nutritional status, the Feeding Difficulty Index (FDI) for mealtime behaviours, and the MoCA (Montreal Cognitive Assessment or The MoCA Test) for cognitive function. Results: The average age of participants was 87.8 years. Nearly half (47.1%) were at high risk of malnutrition, and 13.7% were classified as malnourished. The average MoCA score was 14, indicating moderate cognitive impairment, which was inversely associated with nutritional status. Feeding difficulties were common, as follows: 74.5% of residents paused feeding for over one minute, and 62.8% were distracted during meals. A longer duration of nursing home residency was associated with poorer nutritional outcomes. Overall, 65% of residents required mealtime assistance, with higher FDI scores correlating with greater support needs. Significant positive correlations were found between cognitive function and nutritional status (r = 0.401, p = 0.037) and between food intake and nutritional status (r = 0.392, p = 0.004). In contrast, residency duration (r = −0.292, p = 0.037) and feeding difficulties (r = −0.630, p < 0.001) were negatively associated with MNA-SF scores. FDI scores were strongly associated with the level of assistance required during meals (r = 0.763, p < 0.001). This study highlights the critical need for targeted nutritional assessments and interventions in nursing homes, especially for residents with dementia facing cognitive impairments and feeding difficulties. Enhancing staff training on recognising and addressing eating challenges and risk factors is essential for improving nutritional well-being. Conclusions: The study highlighted the profound impact of cognitive impairments and feeding difficulties on the nutritional health of nursing home residents, indicating a high prevalence of malnutrition and a need for comprehensive mealtime assistance. Full article
Show Figures

Figure 1

14 pages, 536 KB  
Article
Malnutrition and Frailty as Independent Predictors of Adverse Outcomes in Hospitalized Older Adults: A Prospective Single Center Study
by Abdurrahman Sadıç, Zeynep Şahiner, Mert Eşme, Cafer Balcı, Burcu Balam Doğu, Mustafa Cankurtaran and Meltem Gülhan Halil
Medicina 2025, 61(8), 1354; https://doi.org/10.3390/medicina61081354 - 26 Jul 2025
Viewed by 988
Abstract
Background and Objectives: Adverse clinical outcomes are associated with malnutrition and frailty, which are highly prevalent among hospitalized older patients. This study aimed to evaluate their predictive value for the duration of hospitalization, short-term survival, and rehospitalization of patients admitted to internal medicine [...] Read more.
Background and Objectives: Adverse clinical outcomes are associated with malnutrition and frailty, which are highly prevalent among hospitalized older patients. This study aimed to evaluate their predictive value for the duration of hospitalization, short-term survival, and rehospitalization of patients admitted to internal medicine wards. Materials and Methods: This prospective cohort study included 134 acutely ill patients aged ≥50 years who were hospitalized in an internal medicine department and evaluated within the first 48 h of admission. Nutritional status was evaluated using the Mini nutritional assessment–short form (MNA-SF), Nutritional Risk Screening 2002 (NRS-2002), and Global Leadership Initiative on Malnutrition (GLIM) criteria. Frailty was evaluated using the FRAIL scale and Clinical Frailty Scale (CFS). The primary outcomes were prolonged hospitalization (>10 days), mortality, and rehospitalization at 3 and 6 months post-discharge. Results: According to MNA-SF, 33.6% of patients were malnourished; 44% had nutritional risk per NRS-2002, and 44.8% were malnourished per GLIM. Frailty prevalence was 53.7% (FRAIL) and 59% (CFS). Malnutrition defined by all three scales (MNA-SF, NRS-2002, GLIM) was significantly associated with prolonged hospitalization (p = 0.043, 0.014, and 0.023, respectively), increased rehospitalization at both 3 months (p < 0.001) and 6 months (p < 0.001). Mortality was also significantly higher among malnourished patients. Higher CFS scores and low handgrip strength were additional predictors of adverse outcomes (p < 0.05). In multivariable analysis, GLIM-defined malnutrition and CFS remained independent predictors of rehospitalization and mortality. Conclusions: Frailty and malnutrition are highly prevalent and independently associated with prolonged hospital stay, short-term rehospitalization and mortality. Routine screening at admission may facilitate early identification and guide timely interventions to improve patient outcomes. These findings might guide hospital protocols in aging health systems and support the development of standardized geriatric care pathways. Full article
(This article belongs to the Section Epidemiology & Public Health)
Show Figures

Figure 1

20 pages, 1238 KB  
Article
Association of Oral Frailty with Physical Frailty and Malnutrition in Patients on Peritoneal Dialysis
by Yu Kobayashi, Tomomi Matsuoka, Ryo Yamaguchi, Kiyomi Ichijo, Miya Suzuki, Tomoyuki Saito, Kimihiro Igarashi, Tokiko Sato, Hiroyuki Takashima and Masanori Abe
Nutrients 2025, 17(12), 1950; https://doi.org/10.3390/nu17121950 - 6 Jun 2025
Cited by 1 | Viewed by 1713
Abstract
Background: Oral frailty is a state between normal oral function and oral hypofunction. Oral frailty progresses to oral hypofunction and dysphagia, which leads to malnutrition, and then to physical frailty and sarcopenia. Oral frailty is reported to be associated with physical frailty [...] Read more.
Background: Oral frailty is a state between normal oral function and oral hypofunction. Oral frailty progresses to oral hypofunction and dysphagia, which leads to malnutrition, and then to physical frailty and sarcopenia. Oral frailty is reported to be associated with physical frailty and malnutrition in hemodialysis patients, but there have been no reports on peritoneal dialysis (PD) patients. Methods: This prospective cohort study investigated the associations of oral frailty with physical frailty, sarcopenia, and malnutrition in patients on PD. Patients were divided into an oral frailty group and a non-oral frailty group according to the Oral Frailty Index-8. Patients were assessed for physical frailty, sarcopenia, and malnutrition at baseline and 1 year later, and changes in each measure were compared between the two groups. Physical frailty was assessed using the Revised Japanese version of the Cardiovascular Health Study Criteria (Revised J-CHS) and the FRAIL scale. Sarcopenia was assessed using the diagnostic criteria reported by the Asian Working Group for Sarcopenia in 2019 (AWGS2019 criteria) and the Screening Tool for Sarcopenia Combined with Calf Circumference (SARC-CalF), skeletal muscle index (SMI), calf circumference (CC), grip strength, and gait speed. Nutritional status was assessed with the Short-Form Mini-Nutritional Assessment (MNA-SF), the Malnutrition Universal Screening Tool (MUST), the Global Leadership Initiative on Malnutrition (GLIM) criteria, weight, and body mass index (BMI). Results: Of the 58 eligible patients, 51 completed the study. The oral frailty group was significantly older and had slower gait speed, fewer teeth, higher intact parathyroid hormone, higher C-reactive protein, higher frequency of cardiovascular disease, and lower employment at baseline. The oral frailty group had significantly worse physical frailty (Revised J-CHS, p = 0.047; FRAIL scale, p = 0.012), sarcopenia (SMI, p = 0.018; CC, p = 0.002), and nutritional status (MNA-SF, p = 0.029; MUST, p = 0.005; GLIM criteria, p = 0.022; weight, p < 0.001; BMI, p < 0.001). However, there were no significant differences in the worsening of sarcopenia (AWGS2019 criteria, SARC-CalF, grip strength, and gait speed). Conclusions: Oral frailty in patients on PD was associated with the development and progression of physical frailty and malnutrition, and may be associated with the development and progression of sarcopenia. Full article
(This article belongs to the Section Clinical Nutrition)
Show Figures

Figure 1

12 pages, 323 KB  
Article
Association of Nutritional Status and Possible Sarcopenia Among Formerly Older Homeless Adults in Supportive Housing, Thailand
by Phatcharaphon Whaikid and Noppawan Piaseu
Nutrients 2025, 17(11), 1776; https://doi.org/10.3390/nu17111776 - 23 May 2025
Viewed by 2150
Abstract
Background/Objectives: Possible sarcopenia and malnutrition are critical public health concerns among older adults, particularly in vulnerable populations such as those with a history of homelessness. However, limited evidence exists on the nutritional status and muscle health of this group in Thailand. Methods: This [...] Read more.
Background/Objectives: Possible sarcopenia and malnutrition are critical public health concerns among older adults, particularly in vulnerable populations such as those with a history of homelessness. However, limited evidence exists on the nutritional status and muscle health of this group in Thailand. Methods: This study aimed to assess the nutritional status of formerly homeless older adults residing in supportive housing in Thailand and examine its association with possible sarcopenia. A cross-sectional study was conducted among 116 participants aged 50 years and older. Sociodemographic information was collected using a structured questionnaire. Nutritional status was then assessed using the Mini Nutritional Assessment short form (MNA-SF) and body mass index (BMI). Possible sarcopenia was determined based on the Asian Working Group for Sarcopenia (AWGS) 2019 criteria, including low calf circumference, reduced handgrip strength, and/or low gait speed. Data were analyzed using descriptive statistics and logistic regression. Results: Of all participants, 66.4% were male, with a mean age of 59.14 years (SD = 7.791). A total of 78.4% were identified as having possible sarcopenia. Univariate analysis revealed significant associations between possible sarcopenia and malnutrition (OR = 6.111, 95% CI = 2.104–17.750), low BMI (OR = 16.784, 95% CI = 3.729–75.535), and waist circumference (OR = 0.129, 95% CI = 0.049–0.342). Multivariate logistic regression indicated that malnutrition (OR = 3.429, 95% CI = 1.093–10.763) and low BMI (OR = 11.732, 95% CI = 2.523–54.567) were significant predictors of possible sarcopenia, collectively explaining 33.8% of the variance. Conclusions: The findings underscore a high prevalence of possible sarcopenia among formerly homeless older adults in supportive housing in Thailand and highlight poor nutritional status, particularly low BMI and malnutrition, as a key contributing factor. These results emphasize the importance of early nutritional screening and interventions to prevent or delay sarcopenia in this vulnerable population. Full article
(This article belongs to the Section Geriatric Nutrition)
Show Figures

Graphical abstract

17 pages, 865 KB  
Article
Frailty and Energy Intake Deficiency Reduce the Efficiency of Activities of Daily Living in Patients with Musculoskeletal Disorders: A Retrospective Cohort Study
by Yusuke Tamamura, Chihiro Hachiuma, Michiko Matsuura, Sumiko Shiba and Toshio Nishikimi
Nutrients 2025, 17(8), 1334; https://doi.org/10.3390/nu17081334 - 12 Apr 2025
Cited by 1 | Viewed by 1073
Abstract
Background/Objective: This study aimed to investigate the relationship between rehabilitation effectiveness (RE) and pre-admission Clinical Frailty Scale (CFS) scores and energy intake. Methods: This retrospective observational study included 735 patients (81 ± 10 years; male: 27.5%) with musculoskeletal disorders discharged from convalescent rehabilitation [...] Read more.
Background/Objective: This study aimed to investigate the relationship between rehabilitation effectiveness (RE) and pre-admission Clinical Frailty Scale (CFS) scores and energy intake. Methods: This retrospective observational study included 735 patients (81 ± 10 years; male: 27.5%) with musculoskeletal disorders discharged from convalescent rehabilitation wards between April 2018 and April 2024. The patients were classified into four groups based on their CFS scores (non-frail, CFS 1–3; frail, CFS ≥ 4) and rate of energy intake (energy-sufficient vs. energy-deficient). Group comparisons of RE were conducted, and the relationships between the CFS score, energy intake, and RE were analyzed. Results: The RE was significantly lower in the frail/energy-deficient group (53.6 [41.9–78.1]) than in the non-frail/energy-sufficient (78.5 [61.8–90.7]), non-frail/energy-deficient (70.6 [53.4–87.4]), and frail/energy-sufficient (59.9 [41.9–78.1]) groups. Additionally, the frail/energy-sufficient group had significantly lower RE scores than the non-frail/energy-sufficient and non-frail/energy-deficient groups. A multiple linear regression analysis revealed that age, male sex, CFS score, energy intake, handgrip strength, Functional Oral Intake Scale score, Mini Nutritional Assessment-Short Form score, B-type natriuretic peptide, and creatinine were significantly associated with the RE. Conclusions: Both frailty and inadequate energy intake reduce the rate of improvement in activities of daily living in patients with musculoskeletal diseases. Full article
(This article belongs to the Special Issue Geriatric Malnutrition and Frailty)
Show Figures

Figure 1

12 pages, 1035 KB  
Article
An Investigation of the Relationship Between Pancreas Volume, Nutritional Status, and HbA1c in Geriatric Patients
by Mercan Tastemur, Cagla Ozdemir, Esin Olcucuoğlu, Muhammed Said Besler, Halil Tekdemir, Gunes Arik and Kamile Silay
Medicina 2025, 61(4), 711; https://doi.org/10.3390/medicina61040711 - 12 Apr 2025
Cited by 1 | Viewed by 1402
Abstract
Background and Objectives: With physiological aging, the pancreas is expected to decrease in size as in every organ. The objective of this study was to examine the correlation between pancreas volume (PV), nutritional status, and glycolyzed hemoglobin A1c (HbA1c) in elderly patients [...] Read more.
Background and Objectives: With physiological aging, the pancreas is expected to decrease in size as in every organ. The objective of this study was to examine the correlation between pancreas volume (PV), nutritional status, and glycolyzed hemoglobin A1c (HbA1c) in elderly patients with and without type 2 diabetes mellitus (DM). Materials and Methods: Between July 2020 and April 2022, 109 patients aged ≥ 65 years who applied to geriatrics clinics and outpatient clinics were included in the study. PV was measured from available abdominal contrast-enhanced computed tomography (CT) scans. Patients were divided into two groups according to the presence of DM. The relationship between PV; biochemical parameters, especially HbA1c; and Mini Nutritional Assessment Short Form (MNAsf) score was analyzed between groups. p < 0.05 was considered statistically significant. Results: The mean age of all participants was M: 77.40, with SD: 7.32. A total of 54.1% of the participants were female, and 55 had DM. There were no significant differences in age and gender between those with and without DM. Glucose (p < 0.001), HbA1C (p < 0.001), and triglycerides (p < 0.001) were significantly higher, and HDL (p < 0.001) was significantly lower in patients with DM. PV was also significantly lower in those with DM (p = 0.028). A correlation analysis revealed significant positive correlations between PV, the MNAsf score (rho (109)) = 0.413, p = 0.003), and lipase (rho (109)) = 0.297, p = 0.002). Conclusions: PV, which is expected to decrease with age, was found to be lower in patients with DM in our study in which we evaluated elderly patients with and without DM. We also found that PV was associated with malnutrition. Our study highlights the importance of determining the clinical effects of pancreatic volume in the geriatric population where organ atrophy is expected. Therefore, we believe that more comprehensive studies are needed to clarify the clinical implications of pancreatic volume on our diagnostic and therapeutic decisions. Full article
(This article belongs to the Section Endocrinology)
Show Figures

Figure 1

14 pages, 919 KB  
Article
The Malnutrition Universal Screening Tool (MUST) Predicts Postoperative Declines in Activities of Daily Living (ADL) in Patients Undergoing Cardiovascular Open-Heart Surgery
by Tomomi Oshima and Rie Tsutsumi
Nutrients 2025, 17(7), 1120; https://doi.org/10.3390/nu17071120 - 24 Mar 2025
Cited by 1 | Viewed by 4025
Abstract
Background: Patients undergoing cardiovascular surgery often experience postoperative complications and Activities of Daily Living (ADL) decline, even in the absence of preoperative malnutrition. Since postoperative ADL decline is particularly serious in elderly patients, this study aimed to identify a nutritional assessment tool [...] Read more.
Background: Patients undergoing cardiovascular surgery often experience postoperative complications and Activities of Daily Living (ADL) decline, even in the absence of preoperative malnutrition. Since postoperative ADL decline is particularly serious in elderly patients, this study aimed to identify a nutritional assessment tool that is effective in predicting postoperative ADL decline. Methods: Patients undergoing open-heart surgery with cardiopulmonary bypass were assessed using eight nutritional assessment tools, including the Malnutrition Universal Screening Tool (MUST), the Global Leadership Initiative on Malnutrition (GLIM) criteria, the Nutritional Risk Screening 2002 (NRS-2002), the Subjective Global Assessment (SGA), the Controlling Nutritional Status (CONUT) score, the Prognostic Nutritional Index (PNI), the Geriatric Nutritional Risk Index (GNRI), and the Mini Nutritional Assessment-Short Form (MNA-SF). Results: A total of 197 patients were enrolled in this study, with a mean age of 70.4 ± 11.6 years old; 31.0% were female. Depending on the nutritional assessment tool, 17.8% to 78.2% of patients were identified as at risk of malnutrition. Among the various assessment tools, the MUST was the most effective in predicting postoperative ADL decline (OR 4.75, 95% CI 1.37–16.5, p = 0.014) and was also associated with severe complications and length of hospital stay (OR 3.08, 95% CI 0.20–0.76, p = 0.009). On the other hand, nutritional risk detected by assessment tools other than MUST, including MNA-SF and GLIM, could predict postoperative complications but showed no relationship to ADL decline. Conclusions: We concluded that MUST was the most useful preoperative nutritional assessment tool for predicting outcomes, particularly for assessing the risk of postoperative ADL decline in patients undergoing cardiovascular surgery. Full article
Show Figures

Figure 1

14 pages, 1277 KB  
Article
Age Difference in the Association Between Nutritional Status and Dynapenia in Older Adults
by Chih-Ching Chang, Ting-Fu Lai, Jiaren Chen, Yung Liao, Jong-Hwan Park and Yen-Jung Chang
Nutrients 2025, 17(4), 734; https://doi.org/10.3390/nu17040734 - 19 Feb 2025
Cited by 3 | Viewed by 2343
Abstract
Background: Although nutritional status plays a critical role in maintaining muscle strength, limited evidence exists regarding its association with dynapenia. Objectives: We aimed to investigate the association between different nutritional statuses and dynapenia among Taiwanese older adults, and assessed whether age modifies this [...] Read more.
Background: Although nutritional status plays a critical role in maintaining muscle strength, limited evidence exists regarding its association with dynapenia. Objectives: We aimed to investigate the association between different nutritional statuses and dynapenia among Taiwanese older adults, and assessed whether age modifies this relationship. Methods: In this study, we enrolled individuals aged 65 years and older living in community settings through convenience sampling from 2020 to 2021, following a cross-sectional design. The Mini-Nutritional Assessment Short Form (MNA-SF) was used to assess whether the participants were at nutritional risk. Standardized assessments measured muscle strength (handgrip measurement), physical performance (6 m walking test), and muscle mass (bioelectrical impedance analysis) to confirm dynapenia classifications. The interaction terms were tested using likelihood ratio tests to examine for dynapenia between nutritional status and age. For overall sample and subgroup analyses, binary logistic regression was employed. Results: Among 211 participants (mean age: 80.7 ± 7.1 years), after adjusting for potential confounders, those at nutritional risk (OR: 3.11; 95% CI: 1.31–7.36) were positively associated with dynapenia, whereas higher MNA-SF scores (OR: 0.73; 95% CI: 0.57–0.93) were negatively associated. Interactions regarding dynapenia were observed between nutritional status and age group (p = 0.014), with nutritional risk significantly associated with dynapenia only in the old–old group (≥75 years) (OR = 4.11, 95% CI: 1.39–12.15). Conclusions: Age is a potential moderator of nutritional status and dynapenia among older populations. Nutritional status appeared to be more profound in the old–old group in terms of the risk of dynapenia. These findings offer insights for monitoring nutritional status and implementing targeted interventions to prevent dynapenia in those aged over 75 years. Future studies using prospective designs should explore the underlying mechanisms linking nutritional status to dynapenia and assess the effectiveness of nutritional interventions in preventing muscle strength decline. Full article
Show Figures

Graphical abstract

12 pages, 267 KB  
Article
Personalized Diet With or Without Physical Exercise Improves Nutritional Status, Muscle Strength, Physical Performance, and Quality of Life in Malnourished Older Adults: A Prospective Randomized Controlled Study
by Huzeyfe Arıcı, Yavuz Burak Tor, Mustafa Altınkaynak, Nilgün Erten, Bulent Saka, Osman F. Bayramlar, Zeynep Nur Karakuş and Timur Selçuk Akpınar
Nutrients 2025, 17(4), 675; https://doi.org/10.3390/nu17040675 - 13 Feb 2025
Cited by 2 | Viewed by 4141
Abstract
Objectives: Malnutrition (MN) is prevalent in older adults and closely related to sarcopenia, frailty, morbidity, mortality, and decreased quality of life. In this study, we aimed to evaluate the effects of a personalized diet combined with planned physical exercise on nutritional status, physical [...] Read more.
Objectives: Malnutrition (MN) is prevalent in older adults and closely related to sarcopenia, frailty, morbidity, mortality, and decreased quality of life. In this study, we aimed to evaluate the effects of a personalized diet combined with planned physical exercise on nutritional status, physical performance, and quality of life (QoL) in malnourished older adult patients. Methods: In this prospective study, 20 older adults with MN risk according to the Mini Nutritional Assessment—Short Form (MNA-SF) were randomized into (i) personalized diet (PD) and (ii) personalized diet with physical exercise (PDE) groups, and followed up with for 12 weeks. The physical exercise included warm-up, strengthening, balance, and cooldown phases, with a frequency of 3–4 days per week. Anthropometric measurements, physical performance, and quality of life were assessed using standardized tools at baseline and at the 4th, 8th, and 12th weeks. QoL was measured using the EQ–5D index and EQ–5D visual analog scale (VAS) scores. Results: A total of 20 patients (55% male) participated in the study. During the study, BMIs, MNA-SF scores, and hand grip strength were increased, and the patients’ average duration on the Timed Up and Go (TUG) test decreased significantly in both groups. The EQ–5D index score of the PD group and the EQ–5D VAS scores of both groups were increased. Conclusions: A personalized diet with or without physical exercise therapy was associated with improved nutritional status, physical performance, and QoL. Full article
Show Figures

Graphical abstract

10 pages, 395 KB  
Article
Malnutrition and Frailty Are Associated with a Higher Risk of Prolonged Hospitalization and Mortality in Hospitalized Older Adults
by Hsiang-Kuang Tseng, Yun-Ju Cheng, Hui-Kung Yu, Kuan-Ting Chou, Chin-Yen Pang and Gwo-Chi Hu
Nutrients 2025, 17(2), 221; https://doi.org/10.3390/nu17020221 - 8 Jan 2025
Cited by 13 | Viewed by 4294
Abstract
Background/Objectives: Malnutrition and frailty are independent risk factors of prolonged hospitalization and mortality, respectively. However, the combined association of these conditions with the risk of prolonged hospitalization and mortality in hospitalized elderly patients remains unclear. Our object was to investigate the combined association [...] Read more.
Background/Objectives: Malnutrition and frailty are independent risk factors of prolonged hospitalization and mortality, respectively. However, the combined association of these conditions with the risk of prolonged hospitalization and mortality in hospitalized elderly patients remains unclear. Our object was to investigate the combined association of malnutrition and frailty on the risk of prolonged hospitalization and mortality in hospitalized elderly patients. Methods: The current study was a retrospective analysis of 470 patients admitted to the geriatric care unit of a tertiary hospital in Taiwan between 01 August 2019 and 31 March 2023. The Mini Nutritional Assessment-short form and Clinical Frailty Scale were used as evaluation tools for nutritional and frailty status, respectively. Patients were divided into four groups based on nutritional and frailty status. The association between these conditions and the risk of prolonged hospitalization and mortality was investigated using multivariate logistic and Cox proportional hazard models and adjusting for potential confounders. Results: Among 470 patients, 144 (31%) exhibited no malnutrition risk or frailty, 146 (31%) exhibited malnutrition risk but no frailty, 46 (10%) exhibited frailty but no malnutrition risk, and 134 (28%) exhibited both malnutrition risk and frailty. Compared to patients with neither condition, those with both conditions had higher risks of prolonged hospitalization (odds ratio 3.23, 95% confidence interval [CI] 1.68–6.12) and mortality (hazard ratio 4.33; 95% CI 2.01–9.34). Conclusion:: The co-occurrence of malnutrition and frailty has significant detrimental impacts on the risk of prolonged hospitalization and mortality in hospitalized older adults. The findings of this study emphasize the importance of early screening and intervention for malnutrition and frailty among hospitalized elderly patients. Full article
(This article belongs to the Section Clinical Nutrition)
Show Figures

Figure 1

14 pages, 644 KB  
Article
The Role of the Lawton Instrumental Activities of Daily Living (IADL) Scale in Predicting Adverse Events and Outcomes of R-CHOP Treatment in Elderly Patients with Diffuse Large B-Cell Lymphomas (DLBCLs) or Mantle Cell Lymphomas (MCLs): A Prospective Single-Center Study
by Paula Jabłonowska-Babij, Magdalena Olszewska-Szopa, Stanisław Potoczek, Maciej Majcherek, Agnieszka Szeremet, Krzysztof Kujawa, Tomasz Wróbel and Anna Czyż
Cancers 2024, 16(24), 4170; https://doi.org/10.3390/cancers16244170 - 14 Dec 2024
Cited by 1 | Viewed by 2280
Abstract
Background: The prognostic value of the comprehensive geriatric assessment (CGA) is recognized by many in hematology. However, there is no consensus on the utilization of alternative abbreviated methods to assess disabilities in elderly patients with B-cell non-Hodgkin’s lymphomas (B-NHLs). Aim: The aim of [...] Read more.
Background: The prognostic value of the comprehensive geriatric assessment (CGA) is recognized by many in hematology. However, there is no consensus on the utilization of alternative abbreviated methods to assess disabilities in elderly patients with B-cell non-Hodgkin’s lymphomas (B-NHLs). Aim: The aim of this study was to prospectively analyze the prognostic value of selected CGA tools in predicting adverse events (AEs) and outcomes of R-CHOP or R-CHOP-like treatment in elderly patients with diffuse large B-cell lymphomas (DLBCLs) or mantle cell lymphomas (MCLs). Methods: All patients who participated in this study underwent the Katz Index of Independence in Activities of Daily Living (ADL), the Lawton Instrumental Activities of Daily Living (iADL) scale, the Vulnerable Elders Survey-13 (VES-13), the Groningen Frailty Index (GFI), and the Mini Nutritional Assessment Short Form (MNA-SF) before starting anticancer treatment. Selected clinical predictors were also included in the study. Results: A total of 62 patients with newly diagnosed DLBCLs or MCLs, treated with R-CHOP in the Department of Hematology, Blood Neoplasm and Bone Marrow Transplantation of Wroclaw University Hospital between 1 July 2018, and 1 July 2020, were included in the study. The median age upon initiation of the treatment was 72 years (range: 61–68). Multinomial logistic regression and Cox proportional hazard regression analysis demonstrated that the iADL scale was significantly associated with response to treatment (OR = 1.21, 95% CI: 1.02–1.44, p = 0.03), was inversely related to non-hematological AEs (OR = 0.81, 95% CI: 0.71–0.92, p = 0.001), and was a statistically significant predictor of longer overall survival (OS) (HR = 0.83, 95% CI: 0.79–0.89, p < 0.001) and longer progression-free survival (PFS) (HR = 0.91, 95% CI: 0.83–0.99, p = 0.03). Conclusions: These results underscore the effectiveness of the iADL scale as a quick, easy-to-use, and universal CGA tool for evaluating crucial functional status before treatment in elderly hematological patients with DLBCLs or MCLs. Full article
(This article belongs to the Section Cancer Survivorship and Quality of Life)
Show Figures

Figure 1

Back to TopTop