Sign in to use this feature.

Years

Between: -

Subjects

remove_circle_outline
remove_circle_outline
remove_circle_outline
remove_circle_outline
remove_circle_outline
remove_circle_outline
remove_circle_outline
remove_circle_outline
remove_circle_outline

Journals

Article Types

Countries / Regions

Search Results (199)

Search Parameters:
Keywords = Micropterus salmoides

Order results
Result details
Results per page
Select all
Export citation of selected articles as:
19 pages, 4713 KB  
Article
Bacillus subtilis FZU103 Promotes Growth in Micropterus salmoides, Accompanied by Modulation of Gut Microbiota, Enhanced Liver Antioxidants and Digestive Enzyme Activity
by Xu Chen, Hong Zheng, Wenrui Liang, Yinggu Kuang, Xiangzhu Shi, Jinlin Fan, Xucong Lv and Jiacong Deng
Microorganisms 2026, 14(1), 93; https://doi.org/10.3390/microorganisms14010093 - 31 Dec 2025
Viewed by 219
Abstract
Probiotics hold great potential in aquaculture, as they can effectively modulate gut microbiota and improve fish health, thereby enhancing farming efficiency. Translating this potential into practical application critically relies on screening high-efficacy probiotic strains. This study evaluated the growth-promoting and health-enhancing effects of [...] Read more.
Probiotics hold great potential in aquaculture, as they can effectively modulate gut microbiota and improve fish health, thereby enhancing farming efficiency. Translating this potential into practical application critically relies on screening high-efficacy probiotic strains. This study evaluated the growth-promoting and health-enhancing effects of probiotic candidates Lactobacillus rhamnosus GG (LGG), Lactobacillus plantarum FZU310 (LP-FZU310) and Bacillus subtilis FZU103 (BS-FZU103) in largemouth bass (Micropterus salmoides). After feeding different probiotics for 30 days, the growth, antioxidant, and intestinal enzyme indicators of M. salmoides were detected. BS-FZU103 demonstrated superior efficacy among the tested strains, showing significant differences in both specific growth rate (SGR) (p < 0.05) and condition factor (CF) (p < 0.05). It also markedly enhanced hepatic antioxidant status, elevating superoxide dismutase and glutathione peroxidase activities while reducing malondialdehyde levels by 80%. Improved liver integrity was indicated by significant decreases in serum alanine aminotransferase, aspartate aminotransferase and alkaline phosphatase. Digestively, BS-FZU103 specifically increased intestinal amylase activity by 14.7%, without affecting protease or lipase, suggesting enhanced carbohydrate digestion. 16S rRNA sequencing revealed BS-FZU103 remodeled gut microbiota, increasing Proteobacteria abundance at the phylum level and enriching Bacillus while reducing Clostridium sensu stricto 1 at the genus level. Functional prediction based on PICRUSt2 indicated an enhanced metabolic potential of the gut microbiota, with inferred upregulation of pathways related to carbohydrate transport and metabolism (e.g., ABC transporters) and intestinal enzymatic activities. Collectively, BS-FZU103 is associated with metabolic modulation, promoting M. salmoides growth through gut microbiota remodeling, hepatic antioxidant fortification, and targeted augmentation of carbohydrate utilization efficiency. Full article
(This article belongs to the Section Gut Microbiota)
Show Figures

Figure 1

19 pages, 3680 KB  
Article
Co-Cultivation with Eichhornia crassipes Enhances Growth and Ovarian Development of Micropterus salmoides
by Lin Zhang, Jiahao Liu, Jiawen Hu, Nailin Shao, Yi Sun, Jiahui Xiao, Zhijuan Nie and Pao Xu
Int. J. Mol. Sci. 2026, 27(1), 398; https://doi.org/10.3390/ijms27010398 - 30 Dec 2025
Viewed by 138
Abstract
The growth and development of aquaculture organisms are significantly influenced by environmental variations shaped by different aquaculture systems. In this study, a 90-day controlled experiment was conducted to compare two pond culture setups for largemouth bass: with water hyacinth co-planted (FM group) and [...] Read more.
The growth and development of aquaculture organisms are significantly influenced by environmental variations shaped by different aquaculture systems. In this study, a 90-day controlled experiment was conducted to compare two pond culture setups for largemouth bass: with water hyacinth co-planted (FM group) and without (M group). As this experiment progressed, the FM group exhibited significantly superior water quality (p < 0.05) compared to the M group across multiple parameters, including total nitrogen (TN), total phosphorus (TP), ammonia nitrogen (NH3-N), dissolved oxygen (DO) and transparency, among which, the difference in transparency was especially evident (p < 0.001). Subsequently, by 90 days, the fish body weight, condition factor, and gonadosomatic index (GSI) were significantly higher in the FM group than in the M group, with the GSI difference being particularly pronounced (p < 0.001). While the GSI of M group fishes ranged exclusively from 0.01 to 0.02 (M1), the FM group displayed a much-expanded GSI range of 0.01–0.06, with 21.4% at 0.01–0.02 (FM1), 48.1% at 0.02–0.03 (FM2), and 30.5% at 0.03–0.06 (FM3). Accordingly, omics analyses of ovarian tissues were conducted between the control (M1) and the high-performing groups (FM2 and FM3). The analyses identified significant enrichment of the glycerophospholipid metabolic pathway and a marked upregulation of the Mettl3 gene (log2FC = 12.59) in the FM2 and FM3 than the M1 group, and both the pathway and the Mettl3 gene were actively involved in growth, reproductive processes, and oocyte maturation. Given that water transparency was the most markedly improved parameter, our results indicate that it may be a key driver in upregulating ovarian glycerophospholipid metabolism and Mettl3 expression in largemouth bass, thereby promoting better growth and ovarian development. Full article
Show Figures

Graphical abstract

15 pages, 5853 KB  
Article
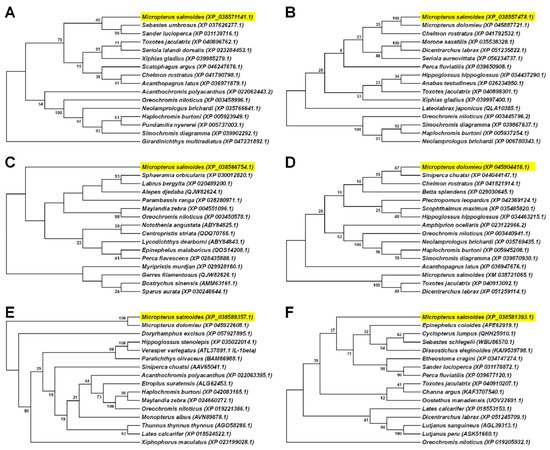
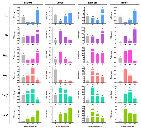
Spatiotemporal Dynamics of Acute Phase Response Related Molecules in Micropterus salmoides During Streptococcus Agalactiae Infection
by Hui Du, Longkun Gao, Chuizheng Kong, Siyu Luo, Shupeng Zhang, Jingjing Ran, Tianqiang Liu, Yang He and Erlong Wang
Fishes 2026, 11(1), 12; https://doi.org/10.3390/fishes11010012 - 26 Dec 2025
Viewed by 173
Abstract
Acute phase response related molecules are a class of proteins whose concentration changes rapidly and significantly in response to abnormal conditions such as injury, infection, and inflammation. The levels of acute phase response related molecules can reflect abnormalities in the body, but related [...] Read more.
Acute phase response related molecules are a class of proteins whose concentration changes rapidly and significantly in response to abnormal conditions such as injury, infection, and inflammation. The levels of acute phase response related molecules can reflect abnormalities in the body, but related studies in teleost fish are still relatively limited. In this study, Cp, Hap, Hep, Hx, IL-1β, and IL-6 of largemouth bass (Micropterus salmoides) were identified, the spatiotemporal dynamics of these six acute phase response related molecules in blood, liver, spleen, and brain tissues of largemouth bass before and after infection with Streptococcus agalactiae were analyzed, and they were compared and analyzed for their potential use as indicators to detect S. agalactiae infection. The results showed that in healthy largemouth bass, the distribution of acute phase response related molecules (except IL-6) was highest in the liver. All the examined genes exhibited significant changes in their transcription levels across the tested tissues after infection. Furthermore, most genes exhibit higher expression levels in the spleen compared with other tissues. Hep and IL-1β genes in spleen tissue and Hx and IL-6 in brain tissue showed significant increase from 0 to 72 h post infection (hpi) compared with the control group. Among these, IL-1β is the only acute phase response related molecule whose expression levels were more than 150-fold, reaching 165-fold to 270-fold from 6 to 24 h post infection in the spleen. This study explores the temporal correlation between several acute phase response related molecules and streptococcal infection in largemouth bass, providing insights and references for subsequent research on early infection response proteins. Full article
(This article belongs to the Special Issue Prevention and Control of Aquatic Animal Diseases)
Show Figures

Figure 1

22 pages, 8538 KB  
Article
Itaconic Acid Activates Lysosomal Biogenesis and Autophagy Flux and Mitigates High-Fat Diet-Induced Liver Lipid Accumulation in Largemouth Bass (Micropterus salmoides)
by Xue Li, Shidong Wang, Muzi Zhang, Ming Li and Chao Chen
Antioxidants 2026, 15(1), 6; https://doi.org/10.3390/antiox15010006 - 20 Dec 2025
Viewed by 414
Abstract
This study investigated the interventional effects of dietary itaconic acid (ITA) on high-fat diet (HFD)-induced lipid deposition in largemouth bass (Micropterus salmoides) and the underlying mechanisms. Results showed that ITA supplementation significantly alleviated HFD-induced growth performance inhibition, as indicated by increased [...] Read more.
This study investigated the interventional effects of dietary itaconic acid (ITA) on high-fat diet (HFD)-induced lipid deposition in largemouth bass (Micropterus salmoides) and the underlying mechanisms. Results showed that ITA supplementation significantly alleviated HFD-induced growth performance inhibition, as indicated by increased weight gain rate, increased specific growth rate, and reduced feed conversion ratio. ITA supplementation effectively reversed the HFD-induced increase in the hepatosomatic index, intraperitoneal fat ratio, serum triglycerides, total cholesterol, low-density lipoprotein/high-density lipoprotein ratio, hepatic lipid droplet accumulation, and hepatocyte vacuolation. Importantly, ITA ameliorated HFD-induced impairment of antioxidant capacity and reduced liver alanine aminotransferase and aspartate aminotransferase activities. Liver metabolomics revealed that ITA reduced levels of 20 fatty acids, 14 acylcarnitines, and 13 glycerides, suggesting enhanced fatty acid oxidation and reduced lipid esterification. Transcriptome sequencing and q-PCR validation demonstrated that ITA activated the AMPK/mTOR pathway, upregulating autophagy-related genes (prkaa1, ulk2, map1lc3a, sqstm1) and lysosomal biogenesis-related genes (ap3s2, igf2r, lgmn, ctso), thereby enhancing autophagic-lysosomal flux and promoting lipid degradation. In conclusion, ITA reduces hepatic lipid accumulation by synergistically activating autophagy and lysosomal biogenesis, thereby facilitating the oxidative degradation of fatty acids within lysosomes. This study provides a theoretical basis for the application of ITA as a functional feed additive in aquaculture. Full article
(This article belongs to the Section Health Outcomes of Antioxidants and Oxidative Stress)
Show Figures

Figure 1

16 pages, 4141 KB  
Article
Indoor Recirculating Aquaculture Versus Traditional Ponds: Effects on Muscle Nutrient Profiles, Texture, and Flavour Compounds in Largemouth Bass (Micropterus salmoides)
by Di Feng, Rui Feng, Chang Liu, Lingran Wang, Yongjing Li, Meng Zhang, Miao Yu, Hongxia Jiang, Zhigang Qiao and Lei Wang
Foods 2025, 14(24), 4339; https://doi.org/10.3390/foods14244339 - 17 Dec 2025
Viewed by 397
Abstract
This study compared the muscle quality of largemouth bass (Micropterus salmoides) reared in a simplified indoor factory-scale recirculating aquaculture system (F-RAS) with those reared in a traditional pond (TP). Juveniles from the same cohort (with a mean initial body mass of [...] Read more.
This study compared the muscle quality of largemouth bass (Micropterus salmoides) reared in a simplified indoor factory-scale recirculating aquaculture system (F-RAS) with those reared in a traditional pond (TP). Juveniles from the same cohort (with a mean initial body mass of approximately 16 g) were stocked into the two systems and reared for ten months. The F-RAS is a high-density indoor system utilising octagonal concrete tanks with an effective water volume of 100 m3 and a stocking density of 130 fish m−3. The TP is a low-density system, where fish are reared in earthen ponds with a total area of 4000 m2 at a density of 1.7 fish m−3. At the end of the experiment, 20 fish per group were randomly sampled for morphological analysis, while subsets of 6 fish per group were used for texture analysis, 3 fish per group for water-holding capacity, 3 fish per group for proximate composition, and 9 fish per group (pooled into 3 biological replicates) for amino acid, fatty acid and volatile compound analyses. The results showed that the F-RAS group exhibited superior texture, with significantly higher chewiness, springiness and muscle fibre density. Nutritionally, the F-RAS group had significantly greater crude protein, EPA, DHA and total n-3 fatty acid contents. Although glutamate and leucine levels were lower in the F-RAS group, cysteine and histidine levels were higher. Analysis of volatile compounds indicated improved flavour in the F-RAS group, with a marked reduction in off-flavour compounds such as 1-octen-3-ol and hexanal. Overall, largemouth bass produced in F-RAS showed better muscle quality than those from the TP in terms of texture, nutritional value and flavour. This study provides a reference for future research on the regulation of muscle quality in largemouth bass using a simplified F-RAS. Full article
(This article belongs to the Section Meat)
Show Figures

Figure 1

20 pages, 32276 KB  
Article
Integrated Transcriptomic and Metabolomic Analyses Reveal Physiological and Hepatic Metabolic Responses of Largemouth Bass (Micropterus salmoides) to Subacute Saline–Alkaline Stress
by Bingbu Li, Mingyang Liu, Hailong Wan, Zengsheng Han, Heng Zhang, Guixing Wang, Wei Cao, Lize San, Yucong Yang, Yuqin Ren and Jilun Hou
Int. J. Mol. Sci. 2025, 26(24), 12091; https://doi.org/10.3390/ijms262412091 - 16 Dec 2025
Viewed by 334
Abstract
Freshwater scarcity makes saline–alkaline water essential for sustainable aquaculture. Current research has primarily focused on individual salinity or alkalinity effects on fish, with limited studies addressing their interactive effects. We found significant synergistic toxicity between salinity and alkalinity (r ≈ −0.950/−0.925) in [...] Read more.
Freshwater scarcity makes saline–alkaline water essential for sustainable aquaculture. Current research has primarily focused on individual salinity or alkalinity effects on fish, with limited studies addressing their interactive effects. We found significant synergistic toxicity between salinity and alkalinity (r ≈ −0.950/−0.925) in largemouth bass (Micropterus salmoides), demonstrating higher salinity levels corresponding to lower 96-h median lethal concentration (96 h LC50) values for alkalinity, and vice versa. A subsequent 56-day subacute stress trial (salinity: 6‰; alkalinity: 20 mmol/L) assessed the impact on largemouth bass through growth efficiency, histopathology, biochemical assays, transcriptomics, and metabolomics, comparing a saline–alkaline group (SA) with a normal control group (NC). There were no significant differences in growth or survival between the SA and NC groups, but the SA group exhibited pathological changes in gill and liver tissues. Biochemically, the SA group exhibited elevated malondialdehyde, glutathione, and blood urea nitrogen levels, whereas glutathione peroxidase activity significantly decreased. Integrated transcriptomics and metabolomics analyses demonstrated that saline–alkaline stress disrupts lipid, amino acid, and steroid metabolism in largemouth bass, affecting steroid biosynthesis, fatty acid metabolism, glycerophospholipid metabolism, and cysteine and methionine metabolism pathways. Fish adapt by adjusting gene expression and metabolite levels to maintain metabolic balance. This study highlights adaptive mechanisms and applications for sustainable largemouth bass culture in saline–alkaline environments. Full article
(This article belongs to the Special Issue Advanced Research on the Physiology and Toxicology of Aquatic Animals)
Show Figures

Figure 1

12 pages, 1473 KB  
Article
Effects of Dietary Fermented Chinese Herbal Waste Compound on the Growth, Digestive Function, Antioxidative Capacity and Non-Specific Immunity of Juvenile Largemouth Bass (Micropterus salmoides)
by Xiaolei Zhang, Xinye Zhao, Zecheng Shi, Xiangdong Bi and Wei Dai
Fishes 2025, 10(12), 629; https://doi.org/10.3390/fishes10120629 - 9 Dec 2025
Viewed by 330
Abstract
This study evaluated the effects of dietary fermented Chinese herbal waste compound (FCHW, comprising fermented stems and leaves of Astragalus membranaceus, Rheum tanguticum, and Bupleurum chinense) on the growth, digestive function, antioxidative capacity, and non-specific immunity in juvenile largemouth bass [...] Read more.
This study evaluated the effects of dietary fermented Chinese herbal waste compound (FCHW, comprising fermented stems and leaves of Astragalus membranaceus, Rheum tanguticum, and Bupleurum chinense) on the growth, digestive function, antioxidative capacity, and non-specific immunity in juvenile largemouth bass (Micropterus salmoides). Fish were randomly assigned to one of three dietary treatments for 45 days: a basal diet (control), a basal diet supplemented with 1% Chinese herbal waste (CHW), and a basal diet supplemented with 1% FCHW. The results showed that, compared to the control group, dietary FCHW significantly enhanced weight gain rate (WGR), specific growth rate (SGR), hepatic antioxidant enzyme activities (SOD, CAT, and GSH-Px), and hepatic non-specific immune parameters (ACP and AKP activities) of M. salmoides on both day 30 and day 45 (p < 0.05) except CAT activity on day 30. FCHW supplementation also significantly increased intestinal villus height, width, and muscularis thickness at both time points (p < 0.05). However, intestinal digestive enzyme activities (trypsin, lipase, and amylase) were elevated significantly only on day 30 relative to the control (p < 0.05). Dietary CHW showed limited efficacy. Compared to the control group, dietary CHW supplementation significantly improved intestinal lipase activity and hepatic SOD activity on day 30 (p < 0.05). By day 45, dietary CHW supplementation significantly increased intestinal morphology (villus height, width, and muscularis thickness) (p < 0.05). These results indicate that fermentation enhances the bioactivity of CHW, thereby supporting the potential of FCHW as a functional feed additive in aquaculture. Full article
Show Figures

Figure 1

17 pages, 9881 KB  
Article
Macleaya cordata Alkaloids Sanguinarine and Chelerythrine Inhibit Nocardia seriolae by Disrupting Cell Envelope Integrity and Energy Metabolism: Insights from Transcriptomic Analysis
by Lei Huang, Xue Cai, Kuan Chu, Xuemei Yuan, Xianqi Peng, Jing Chen, Xialian Bu, Chen Niu, Dawei Song and Jiayun Yao
Microorganisms 2025, 13(12), 2790; https://doi.org/10.3390/microorganisms13122790 - 8 Dec 2025
Viewed by 307
Abstract
Nocardia seriolae infection poses a serious threat to largemouth bass (Micropterus salmoides) aquaculture, owing to the lack of effective control strategies. This study investigated the antibacterial effects and underlying mechanisms of Macleaya cordata alkaloids—sanguinarine (SE) and chelerythrine (CHE)—against N. seriolae [...] Read more.
Nocardia seriolae infection poses a serious threat to largemouth bass (Micropterus salmoides) aquaculture, owing to the lack of effective control strategies. This study investigated the antibacterial effects and underlying mechanisms of Macleaya cordata alkaloids—sanguinarine (SE) and chelerythrine (CHE)—against N. seriolae through integrated physiological and transcriptomic approaches. Results showed SE and CHE exhibited strong in vitro antibacterial activity, with minimum inhibitory concentrations (MICs) of 62.5 and 7.8 μg/mL, respectively. In vivo trials revealed that dietary supplementation with either alkaloid significantly enhanced the survival of infected fish, yielding relative percent survival (RPS) values of 34.5% for SE and 40.0% for CHE. Concurrently, both treatments reduced bacterial load and alleviated granulomatous pathology in multiple organs, including the liver, spleen, and kidney. Physiological analyses revealed severe damage to the cell envelope, as evidenced by increased membrane permeability and structural disintegration observed under transmission electron microscopy (TEM). Transcriptomic profiling identified 3708 and 5095 differentially expressed genes (DEGs) in the SE- and CHE-treated groups, respectively, with notable downregulation of key genes involved in peptidoglycan biosynthesis, the citrate cycle, oxidative phosphorylation, and the pentose phosphate pathways. These findings demonstrate that SE and CHE inhibit N. seriolae through a multi-target mechanism simultaneously disrupting cell envelope integrity and energy production, laying the groundwork for their development as eco-friendly aquaculture therapeutics. Full article
(This article belongs to the Section Molecular Microbiology and Immunology)
Show Figures

Figure 1

22 pages, 5292 KB  
Article
Effects of Eucalyptus Biochar on Intestinal Health and Function in Largemouth Bass (Micropterus salmoides)
by Bing Fu, Yan Chen, Xiang Li, Huiyun Zhou, Junru Hu, Jinghong Li, Wen Huang, Hongxia Zhao, Bing Chen and Jiun-Yan Loh
Biology 2025, 14(12), 1754; https://doi.org/10.3390/biology14121754 - 7 Dec 2025
Viewed by 481
Abstract
Intestinal health is critical for nutrient absorption and disease resistance in cultured fish. Yet, the effects of dietary Eucalyptus-derived biochar on the gut of largemouth bass (Micropterus salmoides) remain largely unexplored. This study evaluated whether supplementing diets with Eucalyptus biochar c [...] Read more.
Intestinal health is critical for nutrient absorption and disease resistance in cultured fish. Yet, the effects of dietary Eucalyptus-derived biochar on the gut of largemouth bass (Micropterus salmoides) remain largely unexplored. This study evaluated whether supplementing diets with Eucalyptus biochar c profiles. In a 56-day feeding trial, M. salmoides were offered a standard diet containing either 0% (control) or graded levels of biochar. Juvenile fish (initial body weight 13.34 g) were randomly distributed into six groups with three replicates each (30 fish per replicate). Six extruded diets were formulated with 0, 2.5, 5.0, 10.0, 20.0, or 40.0 g kg−1 of biochar, designated G0 through G5. Biochar had no significant effects on villus length, muscle layer thickness, villus width, or the activities of trypsin, amylase, and lipase, though goblet cell number was significantly higher in G5. mRNA expression of Claudin-3 and IL-10 was significantly upregulated in G1–G4, while IL-1β was significantly downregulated in G4 and G5, and TNF-α expression was reduced in G2 and G3. 16S rDNA sequencing showed increasing trends in the relative abundance of Firmicutes (43% to 49.17%) and Lactococcus (0% to 1.10%) in G3, accompanied by decreases in Proteobacteria and Klebsiella. Metabolomic analysis indicated significant upregulation of taurochenodeoxycholic acid-7-sulfate, apigenin, genistein, baicalein, taurocholic acid-3-sulfate, taurochenodeoxycholic acid-3-sulfate, and arginylmethionine in G3, whereas etoxazole and soyasaponin were significantly reduced. Dietary inclusion of 10 g kg−1 Eucalyptus biochar improved intestinal health in largemouth bass by shaping the gut microbiota, promoting isoflavone biosynthesis and bile acid and amino acid metabolism, inhibiting the NF-κB pathway, and reinforcing the intestinal barrier. Full article
(This article belongs to the Section Biochemistry and Molecular Biology)
Show Figures

Graphical abstract

14 pages, 2730 KB  
Article
Breeding and Disease Resistance Evaluation of a New Largemouth Bass (Micropterus salmoides) Strain Resistant to Largemouth Bass Virus (LMBV)
by Wenxian Li, Pinhong Li, Xia Luo, Ningqiu Li, Qiang Lin, Hongru Liang, Yinjie Niu, Baofu Ma, Wenwen Xiao and Xiaozhe Fu
Animals 2025, 15(24), 3510; https://doi.org/10.3390/ani15243510 - 5 Dec 2025
Viewed by 373
Abstract
Largemouth bass virus (LMBV) has caused severe impacts on the largemouth bass aquaculture industry in China. Breeding new virus-resistant strains is a fundamental strategy to address the LMBV challenge. In this study, a candidate LMBV-resistant population of largemouth bass was developed using the [...] Read more.
Largemouth bass virus (LMBV) has caused severe impacts on the largemouth bass aquaculture industry in China. Breeding new virus-resistant strains is a fundamental strategy to address the LMBV challenge. In this study, a candidate LMBV-resistant population of largemouth bass was developed using the “Youlu No. 3” as the base population. Through three consecutive generations of selective breeding, a new LMBV-resistant strain was successfully established. To evaluate the LMBV resistance of different breeding generations, four key indicators, including survival rate post-LMBV infection, LMBV viral load, the expression of immune-related genes (GADD45b, FOXO3, TNF-α, IFN-γ, and IL-10), and antioxidant enzyme activities (GSH and AKP), were analyzed in this study. Notably, the F3 generation exhibited significantly lower viral loads in liver tissues after LMBV infection compared to the F1, F2, and control groups. Furthermore, the F3 generation showed a markedly higher survival rate at 14 days post-challenge, indicating enhanced disease resistance. Additionally, both the F2 and F3 generations had increased expression levels of the immune-related genes and elevated activities of antioxidant-related enzymes. These results collectively indicate that the F3 generation possesses stronger LMBV resistance than the F2, F1, and control groups. This study provides effective strategy for addressing LMBV disease in largemouth bass at the source and is of great significance for promoting the healthy and sustainable development of the largemouth bass aquaculture industry. Full article
(This article belongs to the Section Aquatic Animals)
Show Figures

Figure 1

14 pages, 2316 KB  
Article
Anti-Predator Strategies in Fish with Contrasting Shoaling Preferences Across Different Contexts
by Zixi Lu, Wuxin Li, Jiuhong Zhang, Xinbin Duan and Shijian Fu
Animals 2025, 15(23), 3447; https://doi.org/10.3390/ani15233447 - 29 Nov 2025
Viewed by 435
Abstract
In freshwater fish, group behavior is ecologically critical for daily activities such as predator avoidance. However, species with varying shoaling preferences exhibit divergent behavioral responses under different environmental conditions. This study investigated the behavioral responses of three shoaling species (Moenkhausia costae, [...] Read more.
In freshwater fish, group behavior is ecologically critical for daily activities such as predator avoidance. However, species with varying shoaling preferences exhibit divergent behavioral responses under different environmental conditions. This study investigated the behavioral responses of three shoaling species (Moenkhausia costae, Puntius tetrazona, and Myxocyprinus asiaticus) and three non-shoaling species (Trichogaster trichopterus, Micropterus salmoides, and Cichlasoma managuense) to simulated predation in either an open arena or a six-arm maze with shelter available. Our findings reveal that, in open water, shoaling species employ a dual strategy against predators: maintaining high group cohesion while increasing swimming speed and acceleration. This exploits the confusion effect to mitigate individual predation risk. In contrast, non-shoaling species do not engage in evasive maneuvers; instead, they adopt a cryptic strategy by minimizing activity and often freezing in place to avoid detection. In the six-arm maze, shoaling species consistently employed group coordination strategies, whereas non-shoaling species primarily relied on shelter concealment or reduced activity. Notably, shoaling species maintained high cohesion, synchronization, and activity levels across both open and complex habitats, using coordinated movement to facilitate collective escape. Together, our findings demonstrate that habitat complexity and social tendencies jointly determine how fishes trade off risk and safety. This work provides new insights into the adaptive evolution of social behavior in dynamic aquatic ecosystems. Full article
(This article belongs to the Section Aquatic Animals)
Show Figures

Figure 1

21 pages, 2210 KB  
Article
Environmental DNA as a Tool for the Preliminary Assessment of Vertebrate Biodiversity: A Case Study from Sicilian Freshwater Ecosystems
by Manuela Mauro, Francesco Longo, Aiti Vizzini, Mario Lo Valvo, Slobodanka Radovic, Grazia Orecchio, Rosi De Luca, Claudio Luparello, Anna Maria Mauro, Angela Cuttitta and Mirella Vazzana
Biology 2025, 14(12), 1681; https://doi.org/10.3390/biology14121681 - 26 Nov 2025
Viewed by 753
Abstract
Freshwater ecosystems are rapidly losing biodiversity due to anthropogenic and environmental pressures. Considering that many species remain unknown, these systems represent an invaluable reservoir of biodiversity. For this reason, a prompt biodiversity census becomes essential. Environmental DNA (eDNA) has the potential to provide [...] Read more.
Freshwater ecosystems are rapidly losing biodiversity due to anthropogenic and environmental pressures. Considering that many species remain unknown, these systems represent an invaluable reservoir of biodiversity. For this reason, a prompt biodiversity census becomes essential. Environmental DNA (eDNA) has the potential to provide a faster and non-invasive alternative to traditional methods for biodiversity monitoring, conservation, and management. This study used eDNA to provide a preliminary snapshot of vertebrates in two Sicilian lakes: Lake Rosamarina and Lake Garcia. eDNA analyses identified four classes of vertebrates, 14 orders, and 16 families, with notable taxonomic differences between the two lakes. The analysis revealed the presence of several non-native and potentially invasive species, including fish (Cyprinus carpio, Micropterus salmoides, Perca fluviatilis, Carassius auratus, and Ameiurus melas), as well as the amphibian Xenopus laevis and the terrestrial mammal Myocastor coypus. The presence of these species, known for their ecological impact on native communities, highlights the potential of eDNA analysis as a powerful tool for the early detection and preventive biomonitoring of biological invasions. These results provide an initial assessment of vertebrate biodiversity in these sites, demonstrating how eDNA can serve as an effective method for biodiversity evaluation and monitoring. Full article
Show Figures

Figure 1

20 pages, 2441 KB  
Article
Magnesium Promotes Growth–Metabolism Balance in Juvenile Largemouth Bass (Micropterus salmoides) and Modulates Antioxidant–Inflammatory–Apoptotic Responses Under Heat Stress
by Junjie Qin, Dongyu Huang, Hualiang Liang, Xiaoru Chen, Jiaze Gu, Mingchun Ren and Lu Zhang
Antioxidants 2025, 14(12), 1394; https://doi.org/10.3390/antiox14121394 - 23 Nov 2025
Viewed by 653
Abstract
This study addressed the optimal magnesium (Mg) requirement for juvenile largemouth bass (Micropterus salmoides) and assessed the effects of dietary Mg supplementation on growth performance, nutrient metabolism, and alleviation of heat stress in it. In this study, six diets with varying [...] Read more.
This study addressed the optimal magnesium (Mg) requirement for juvenile largemouth bass (Micropterus salmoides) and assessed the effects of dietary Mg supplementation on growth performance, nutrient metabolism, and alleviation of heat stress in it. In this study, six diets with varying Mg levels (1.01, 1.26, 1.78, 2.24, 2.35, and 2.51 g/kg), designated as MG1, MG2, MG3, MG4, MG5, and MG6, respectively, were formulated using MgSO4·7H2O as the Mg source. These diets were fed to juvenile M. salmoides (initial body weight 2.27 ± 0.02 g) for 8 weeks. The growth performance of the MG4 group was significantly improved. In addition, Plasma GLU, LDL-C, and TG levels were significantly reduced in the MG4 group, while plasma HDL-C levels were increased. In terms of gene expression, glut2, g6pdh, ppar-γ, fas, elovl2, acc, and igf-1 were significantly upregulated in the MG4 and MG5 groups, while g6pase and ppar-α were significantly downregulated in the MG5 group. In the heat stress test, MG4 group exhibited enhanced antioxidant capacity, as evidenced by decreased plasma MDA levels and increased CAT activity, coupled with enhanced gill Na+/K+-ATPase activity. Gene expression results also showed that il-10 and bcl-2 were significantly upregulated in the MG4 group, while nf-κb, ifn-γ, il-8, tnf-α, casp3, casp8, bax, jnk2 and ask1 were significantly downregulated. Furthermore, the results of TUNEL immunofluorescence labeling analysis showed that the apoptotic index was significantly decreased in the MG2-MG6 groups. Overall, appropriate dietary Mg levels promoted growth performance, improved glucose metabolism, and induced lipid deposition in juvenile M. salmoides. Notably, Mg reduced oxidative damage by enhancing antioxidant enzyme activity, thereby modulating heat stress-induced Antioxidant–Inflammatory–Apoptotic of juvenile M. salmoides. Based on quadratic regression analysis of SGR and FCR, the optimal Mg requirement for juvenile M. salmoides was 2.04, and 2.15 g/kg, respectively. Full article
Show Figures

Figure 1

25 pages, 8759 KB  
Article
Effects of Replacing Fishmeal with Enzymatically Hydrolyzed Pork Bone Meal (EHPBM) on Growth, Antioxidant Capacity, and Nutritional Metabolism in Micropterus salmoides
by Xinlan Bai, Haifeng Mi, Dongyu Huang, Hualiang Liang, Wu Shan, Mingchun Ren, Lu Zhang and Tao Teng
Animals 2025, 15(23), 3359; https://doi.org/10.3390/ani15233359 - 21 Nov 2025
Viewed by 542
Abstract
In this 8-week feeding trial, we systematically investigated the effects of replacing fishmeal with enzymatically hydrolyzed pork bone meal (EHPBM) at graded inclusion levels (EHPBM0, EHPBM20, EHPBM50, and EHPBM100) in largemouth bass (Micropterus salmoides). The results showed that the EHPBM50 group [...] Read more.
In this 8-week feeding trial, we systematically investigated the effects of replacing fishmeal with enzymatically hydrolyzed pork bone meal (EHPBM) at graded inclusion levels (EHPBM0, EHPBM20, EHPBM50, and EHPBM100) in largemouth bass (Micropterus salmoides). The results showed that the EHPBM50 group maintained growth performance comparable to the fishmeal-based control, whereas higher replacement levels led to significant metabolic disturbances. Specifically, the EHPBM100 group exhibited marked reductions in final body weight (FBW), weight gain rate (WGR), and specific growth rate (SGR), along with an elevated feed conversion ratio (FCR). Serum biochemical markers—alanine aminotransferase (ALT) and aspartate aminotransferase (AST)—were significantly decreased in a dose-dependent manner under EHPBM50 and EHPBM100 substitution. Regarding whole-body composition, ash content was significantly lower in the EHPBM50 group, while no significant differences were observed in other metrics compared to the control. Furthermore, dietary EHPBM inclusion enhanced systemic antioxidant capacity. All EHPBM substitution groups showed significantly increased superoxide dismutase (SOD) and catalase (CAT) activities, along with significantly reduced malondialdehyde (MDA) levels. In key metabolic pathways, compared with the EHPBM0 group, the expression of mtor and rps6k genes was significantly up-regulated in the EHPBM50 group, while that of g6pase, fbp1, and cpt1 genes was significantly down-regulated. Intestinal integrity markers (occludin, zo-1) and nutrient transporters (pept1, lat1) remained largely unaffected except in the EHPBM100 group, indicating the species’ tolerance to partial fishmeal replacement. In summary, these findings demonstrate that EHPBM can effectively replace up to 50% of fishmeal in largemouth bass feed without compromising growth performance or nutrient utilization, while significantly enhancing antioxidant capacity. Full article
(This article belongs to the Special Issue Nutrition and Health of Aquatic Animals)
Show Figures

Figure 1

17 pages, 4153 KB  
Article
Transcriptomic Analysis of Largemouth Bass (Micropterus salmoides) Liver and Spleen Responses to Shewanella putrefaciens Infection
by Chongyu Zhong, Yijin Zhu, Xiangfeng Deng, Yuyan Sun, Yansong Zhang, Yujia Huo, Yueyue Fei and Min Wei
Fishes 2025, 10(11), 587; https://doi.org/10.3390/fishes10110587 - 14 Nov 2025
Viewed by 2098
Abstract
Shewanella putrefaciens is a significant bacterial pathogen causing high mortality in farmed largemouth bass (Micropterus salmoides). This study investigated the molecular immune responses in its primary target organs, the liver and spleen, via transcriptomic profiling at 24 h post-infection. We identified [...] Read more.
Shewanella putrefaciens is a significant bacterial pathogen causing high mortality in farmed largemouth bass (Micropterus salmoides). This study investigated the molecular immune responses in its primary target organs, the liver and spleen, via transcriptomic profiling at 24 h post-infection. We identified 458 significantly differentially expressed genes (DEGs) in the liver and 1405 in the spleen. Gene Ontology enrichment analysis revealed organ-specific immune strategies: the liver response was characterized by type I interferon signaling pathway, whereas the spleen response centered on the regulation of innate immune response. Furthermore, Kyoto Encyclopedia of Genes and Genomes pathway analysis showed that fatty acid metabolism and cytokine-cytokine receptor interaction were significantly enriched in the liver. In contrast, the C-type lectin receptor signaling pathway and cytokine-cytokine receptor interaction were the most prominent in the spleen. Several key DEGs (e.g., stat1a, rsad2, pglyrp5, pglyrp6, acaca, stat2, lepb) associated with immune response, metabolic adaptation, and cellular stress were identified, suggesting a coordinated host mechanism involving pathogen recognition, immunomodulation, and tissue repair. These results provide crucial insights into the immunomodulatory processes in largemouth bass against S. putrefaciens infection. Full article
(This article belongs to the Special Issue Molecular Design Breeding in Aquaculture)
Show Figures

Figure 1

Back to TopTop