Sign in to use this feature.

Years

Between: -

Subjects

remove_circle_outline
remove_circle_outline
remove_circle_outline
remove_circle_outline
remove_circle_outline
remove_circle_outline

Journals

Article Types

Countries / Regions

Search Results (20)

Search Parameters:
Keywords = Massless Dirac electron

Order results
Result details
Results per page
Select all
Export citation of selected articles as:
18 pages, 436 KB  
Article
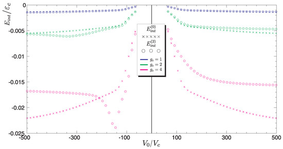
Landau Levels versus Hydrogen Atom
by Tekin Dereli, Philippe Nounahon and Todor Popov
Universe 2024, 10(4), 172; https://doi.org/10.3390/universe10040172 - 7 Apr 2024
Cited by 4 | Viewed by 2802
Abstract
The Landau problem and harmonic oscillator in the plane share a Hilbert space that carries the structure of Dirac’s remarkable so(2,3) representation. We show that the orthosymplectic algebra osp(1|4) is [...] Read more.
The Landau problem and harmonic oscillator in the plane share a Hilbert space that carries the structure of Dirac’s remarkable so(2,3) representation. We show that the orthosymplectic algebra osp(1|4) is the spectrum generating algebra for the Landau problem and, hence, for the 2D isotropic harmonic oscillator. The 2D harmonic oscillator is in duality with the 2D quantum Coulomb–Kepler systems, with the osp(1|4) symmetry broken down to the conformal symmetry so(2,3). The even so(2,3) submodule (coined Rac) generated from the ground state of zero angular momentum is identified with the Hilbert space of a 2D hydrogen atom. An odd element of the superalgebra osp(1|4) creates a pseudo-vacuum with intrinsic angular momentum 1/2 from the vacuum. The odd so(2,3)-submodule (coined Di) built upon the pseudo-vacuum is the Hilbert space of a magnetized 2D hydrogen atom: a quantum system of a dyon and an electron. Thus, the Hilbert space of the Landau problem is a direct sum of two massless unitary so(2,3) representations, namely, the Di and Rac singletons introduced by Flato and Fronsdal. Full article
Show Figures

Figure 1

17 pages, 3530 KB  
Article
Large Angular Momentum States in a Graphene Film
by Pietro Paolo Corso, Dario Cricchio and Emilio Fiordilino
Physics 2024, 6(1), 317-333; https://doi.org/10.3390/physics6010021 - 1 Mar 2024
Cited by 1 | Viewed by 1903
Abstract
At energy lower than 2 eV, the dispersion law of the electrons in a graphene sheet presents a linear dependence of the energy on the kinetic momentum, which is typical of photons and permits the description of the electrons as massless particles by [...] Read more.
At energy lower than 2 eV, the dispersion law of the electrons in a graphene sheet presents a linear dependence of the energy on the kinetic momentum, which is typical of photons and permits the description of the electrons as massless particles by means of the Dirac equation and the study of massless particles acted upon by forces. We analytically solve the Dirac equation of an electron in a graphene disk with radius of 10,000 atomic units pierced by a magnetic field and find the eigenenergies and eigenstates of the particles for spin up and down. The magnetic field ranges within three orders of magnitude and is found to confine the electron in the disk. States with a relatively large total angular momentum exist and can be considered in a vorticose condition; these states are seen to peak at different distances from the disk centre and can be used to store few bit of information. Full article
Show Figures

Figure 1

43 pages, 594 KB  
Article
Maxwell-Dirac Isomorphism Revisited: From Foundations of Quantum Mechanics to Geometrodynamics and Cosmology
by Arkady L. Kholodenko
Universe 2023, 9(6), 288; https://doi.org/10.3390/universe9060288 - 12 Jun 2023
Cited by 2 | Viewed by 2862
Abstract
Although electrons (fermions)and photons (bosons) produce the same interference patterns in the two-slit experiments, known in optics for photons since the 17th Century, the description of these patterns for electrons and photons thus far was markedly different. Photons are spin one, relativistic and [...] Read more.
Although electrons (fermions)and photons (bosons) produce the same interference patterns in the two-slit experiments, known in optics for photons since the 17th Century, the description of these patterns for electrons and photons thus far was markedly different. Photons are spin one, relativistic and massless particles while electrons are spin half massive particles producing the same interference patterns irrespective to their speed. Experiments with other massive particles demonstrate the same kind of interference patterns. In spite of these differences, in the early 1930s of the 20th Century, the isomorphism between the source-free Maxwell and Dirac equations was established. In this work, we were permitted replace the Born probabilistic interpretation of quantum mechanics with the optical. In 1925, Rainich combined source-free Maxwell equations with Einstein’s equations for gravity. His results were rediscovered in the late 1950s by Misner and Wheeler, who introduced the word "geometrodynamics” as a description of the unified field theory of gravity and electromagnetism. An absence of sources remained a problem in this unified theory until Ranada’s work of the late 1980s. However, his results required the existence of null electromagnetic fields. These were absent in Rainich–Misner–Wheeler’s geometrodynamics. They were added to it in the 1960s by Geroch. Ranada’s solutions of source-free Maxwell’s equations came out as knots and links. In this work, we establish that, due to their topology, these knots/links acquire masses and charges. They live on the Dupin cyclides—the invariants of Lie sphere geometry. Symmetries of Minkowski space-time also belong to this geometry. Using these symmetries, Varlamov recently demonstrated group-theoretically that the experimentally known mass spectrum for all mesons and baryons is obtainable with one formula, containing electron mass as an input. In this work, using some facts from polymer physics and differential geometry, a new proof of the knotty nature of the electron is established. The obtained result perfectly blends with the description of a rotating and charged black hole. Full article
(This article belongs to the Section Mathematical Physics)
10 pages, 1738 KB  
Article
High-Temperature Quantum Hall Effect in Graphite-Gated Graphene Heterostructure Devices with High Carrier Mobility
by Siyu Zhou, Mengjian Zhu, Qiang Liu, Yang Xiao, Ziru Cui and Chucai Guo
Nanomaterials 2022, 12(21), 3777; https://doi.org/10.3390/nano12213777 - 26 Oct 2022
Cited by 10 | Viewed by 5278
Abstract
Since the discovery of the quantum Hall effect in 1980, it has attracted intense interest in condensed matter physics and has led to a new type of metrological standard by utilizing the resistance quantum. Graphene, a true two-dimensional electron gas material, has demonstrated [...] Read more.
Since the discovery of the quantum Hall effect in 1980, it has attracted intense interest in condensed matter physics and has led to a new type of metrological standard by utilizing the resistance quantum. Graphene, a true two-dimensional electron gas material, has demonstrated the half-integer quantum Hall effect and composite-fermion fractional quantum Hall effect due to its unique massless Dirac fermions and ultra-high carrier mobility. Here, we use a monolayer graphene encapsulated with hexagonal boron nitride and few-layer graphite to fabricate micrometer-scale graphene Hall devices. The application of a graphite gate electrode significantly screens the phonon scattering from a conventional SiO2/Si substrate, and thus enhances the carrier mobility of graphene. At a low temperature, the carrier mobility of graphene devices can reach 3 × 105 cm2/V·s, and at room temperature, the carrier mobility can still exceed 1 × 105 cm2/V·s, which is very helpful for the development of high-temperature quantum Hall effects under moderate magnetic fields. At a low temperature of 1.6 K, a series of half-integer quantum Hall plateaus are well-observed in graphene with a magnetic field of 1 T. More importantly, the ν = ±2 quantum Hall plateau clearly persists up to 150 K with only a few-tesla magnetic field. These findings show that graphite-gated high-mobility graphene devices hold great potential for high-sensitivity Hall sensors and resistance metrology standards for the new Système International d’unités. Full article
Show Figures

Figure 1

13 pages, 279 KB  
Opinion
Classical Limits of Light Quanta
by Clara Valeria Fuchs and Thomas Filk
Physics 2022, 4(3), 920-932; https://doi.org/10.3390/physics4030060 - 22 Aug 2022
Viewed by 2773
Abstract
It is argued that from a formal point of view, the classical limit of light quanta or photons is not that of a point-like particle but that of a geometric ray. According to this view, standard particle-wave dualism, which is often used in [...] Read more.
It is argued that from a formal point of view, the classical limit of light quanta or photons is not that of a point-like particle but that of a geometric ray. According to this view, standard particle-wave dualism, which is often used in schools to describe the quantum behavior of massive objects, could be replaced by a ray-wave dualism (or even a particle-ray-wave trialism), which seems to be more appropriate for massless quantum objects such as photons. We compare the limits leading from quantum electrodynamics to a classical (Hamiltonian) theory of particles for electrons with those leading from photons via Maxwell’s equations to geometric ray optics. We also discuss the question to which extent Maxwell’s theory for electromagnetic waves should be considered as being on the same formal level as Schrödinger’s or Dirac’s theory. Full article
(This article belongs to the Special Issue Teaching and Learning Quantum Theory and Particle Physics)
Show Figures

Figure 1

12 pages, 650 KB  
Article
Impurity-Induced Magnetization of Graphene
by Michał Inglot and Tomasz Szczepański
Materials 2022, 15(2), 526; https://doi.org/10.3390/ma15020526 - 11 Jan 2022
Cited by 1 | Viewed by 1976
Abstract
We present a model of impurity-induced magnetization of graphene assuming that the main source of graphene magnetization is related to impurity states with a localized spin. The analysis of solutions of the Schrödinger equation for electrons near the Dirac point has been performed [...] Read more.
We present a model of impurity-induced magnetization of graphene assuming that the main source of graphene magnetization is related to impurity states with a localized spin. The analysis of solutions of the Schrödinger equation for electrons near the Dirac point has been performed using the model of massless fermions. For a single impurity, the solution of Schrödinger’s equation is a linear combination of Bessel functions. We found resonance energy levels of the non-magnetic impurity. The magnetic moment of impurity with a localized spin was accounted for the calculation of graphene magnetization using the Green’s function formalism. The spatial distribution of induced magnetization for a single impurity is obtained. The energy of resonance states was also calculated as a function of interaction. This energy is depending on the impurity potential and the coupling constant of interaction. Full article
(This article belongs to the Section Carbon Materials)
Show Figures

Figure 1

12 pages, 5362 KB  
Article
Optical Studies and Transmission Electron Microscopy of HgCdTe Quantum Well Heterostructures for Very Long Wavelength Lasers
by Vladimir V. Rumyantsev, Anna A. Razova, Leonid S. Bovkun, Dmitriy A. Tatarskiy, Vladimir Y. Mikhailovskii, Maksim S. Zholudev, Anton V. Ikonnikov, Tatyana A. Uaman Svetikova, Kirill V. Maremyanin, Vladimir V. Utochkin, Mikhail A. Fadeev, Vladimir G. Remesnik, Vladimir Y. Aleshkin, Nikolay N. Mikhailov, Sergey A. Dvoretsky, Marek Potemski, Milan Orlita, Vladimir I. Gavrilenko and Sergey V. Morozov
Nanomaterials 2021, 11(7), 1855; https://doi.org/10.3390/nano11071855 - 19 Jul 2021
Cited by 8 | Viewed by 3410
Abstract
HgTe/CdHgTe quantum well (QW) heterostructures have attracted a lot of interest recently due to insights they provided towards the physics of topological insulators and massless Dirac fermions. Our work focuses on HgCdTe QWs with the energy spectrum close to the graphene-like relativistic dispersion [...] Read more.
HgTe/CdHgTe quantum well (QW) heterostructures have attracted a lot of interest recently due to insights they provided towards the physics of topological insulators and massless Dirac fermions. Our work focuses on HgCdTe QWs with the energy spectrum close to the graphene-like relativistic dispersion that is supposed to suppress the non-radiative Auger recombination. We combine various methods such as photoconductivity, photoluminescence and magneto-optical measurements as well as transmission electron microscopy to retrofit growth parameters in multi-QW waveguide structures, designed for long wavelengths lasing in the range of 10–22 μm. The results reveal that the attainable operating temperatures and wavelengths are strongly dependent on Cd content in the QW, since it alters the dominating recombination mechanism of the carriers. Full article
(This article belongs to the Special Issue Semiconductor Hetero-Nanostructures for Opto-Electronics Applications)
Show Figures

Figure 1

13 pages, 2039 KB  
Article
Oblique and Asymmetric Klein Tunneling across Smooth NP Junctions or NPN Junctions in 8-Pmmn Borophene
by Zhan Kong, Jian Li, Yi Zhang, Shu-Hui Zhang and Jia-Ji Zhu
Nanomaterials 2021, 11(6), 1462; https://doi.org/10.3390/nano11061462 - 31 May 2021
Cited by 9 | Viewed by 3909
Abstract
The tunneling of electrons and holes in quantum structures plays a crucial role in studying the transport properties of materials and the related devices. 8-Pmmn borophene is a new two-dimensional Dirac material that hosts tilted Dirac cone and chiral, [...] Read more.
The tunneling of electrons and holes in quantum structures plays a crucial role in studying the transport properties of materials and the related devices. 8-Pmmn borophene is a new two-dimensional Dirac material that hosts tilted Dirac cone and chiral, anisotropic massless Dirac fermions. We adopt the transfer matrix method to investigate the Klein tunneling of massless fermions across the smooth NP junctions and NPN junctions of 8-Pmmn borophene. Like the sharp NP junctions of 8-Pmmn borophene, the tilted Dirac cones induce the oblique Klein tunneling. The angle of perfect transmission to the normal incidence is 20.4, a constant determined by the Hamiltonian of 8-Pmmn borophene. For the NPN junction, there are branches of the Klein tunneling in the phase diagram. We find that the asymmetric Klein tunneling is induced by the chirality and anisotropy of the carriers. Furthermore, we show the oscillation of electrical resistance related to the Klein tunneling in the NPN junctions. One may analyze the pattern of electrical resistance and verify the existence of asymmetric Klein tunneling experimentally. Full article
(This article belongs to the Special Issue Graphene for Electronics)
Show Figures

Figure 1

20 pages, 1757 KB  
Article
Wiedemann–Franz Law for Massless Dirac Fermions with Implications for Graphene
by Adam Rycerz
Materials 2021, 14(11), 2704; https://doi.org/10.3390/ma14112704 - 21 May 2021
Cited by 18 | Viewed by 4086
Abstract
In the 2016 experiment by Crossno et al. the electronic contribution to the thermal conductivity of graphene was found to violate the well-known Wiedemann–Franz (WF) law for metals. At liquid nitrogen temperatures, the thermal to electrical conductivity ratio of charge-neutral samples was more [...] Read more.
In the 2016 experiment by Crossno et al. the electronic contribution to the thermal conductivity of graphene was found to violate the well-known Wiedemann–Franz (WF) law for metals. At liquid nitrogen temperatures, the thermal to electrical conductivity ratio of charge-neutral samples was more than 10 times higher than predicted by the WF law, which was attributed to interactions between particles leading to collective behavior described by hydrodynamics. Here, we show, by adapting the handbook derivation of the WF law to the case of massless Dirac fermions, that significantly enhanced thermal conductivity should appear also in few- or even sub-kelvin temperatures, where the role of interactions can be neglected. The comparison with numerical results obtained within the Landauer–Büttiker formalism for rectangular and disk-shaped (Corbino) devices in ballistic graphene is also provided. Full article
(This article belongs to the Special Issue Multilayer and Hybrid Two-Dimensional Materials)
Show Figures

Figure 1

18 pages, 1114 KB  
Article
Laser Assisted Dirac Electron in a Magnetized Annulus
by Emilio Fiordilino
Symmetry 2021, 13(4), 642; https://doi.org/10.3390/sym13040642 - 10 Apr 2021
Cited by 2 | Viewed by 1959
Abstract
We study the behaviour of a charge bound on a graphene annulus under the assumption that the particle can be treated as a massless Dirac electron. The eigenstates and relative energy are found in closed analytical form. Subsequently, we consider a large annulus [...] Read more.
We study the behaviour of a charge bound on a graphene annulus under the assumption that the particle can be treated as a massless Dirac electron. The eigenstates and relative energy are found in closed analytical form. Subsequently, we consider a large annulus with radius ρ[5000,10,000]a0 in the presence of a static magnetic field orthogonal to its plane and again the eigenstates and eigenenergies of the Dirac electron are found in both analytical and numerical form. The possibility of designing filiform currents by controlling the orbital angular momentum and the magnetic field is shown. The currents can be of interest in optoelectronic devices that are controlled by electromagnetic radiation. Moreover, a small radial force acts upon the annulus with a stretching effect. A linearly polarized electromagnetic field propagating in the orthogonal direction is added; the time evolution of the operators show that the acceleration of the electron is proportional to the rate of change of the spin of the particle. Full article
Show Figures

Figure 1

15 pages, 632 KB  
Article
The Dirac Electron Consistent with Proper Gravitational and Electromagnetic Field of the Kerr–Newman Solution
by Alexander Burinskii
Galaxies 2021, 9(1), 18; https://doi.org/10.3390/galaxies9010018 - 17 Mar 2021
Cited by 3 | Viewed by 3837
Abstract
The Dirac electron is considered as a particle-like solution consistent with its own Kerr–Newman (KN) gravitational field. In our previous works we considered the regularized by López KN solution as a bag-like soliton model formed from the Higgs field in a supersymmetric vacuum [...] Read more.
The Dirac electron is considered as a particle-like solution consistent with its own Kerr–Newman (KN) gravitational field. In our previous works we considered the regularized by López KN solution as a bag-like soliton model formed from the Higgs field in a supersymmetric vacuum state. This bag takes the shape of a thin superconducting disk coupled with circular string placed along its perimeter. Using the unique features of the Kerr–Schild coordinate system, which linearizes Dirac equation in KN space, we obtain the solution of the Dirac equations consistent with the KN gravitational and electromagnetic field, and show that the corresponding solution takes the form of a massless relativistic string. Obvious parallelism with Heisenberg and Schrödinger pictures of quantum theory explains remarkable features of the electron in its interaction with gravity and in the relativistic scattering processes. Full article
Show Figures

Figure 1

22 pages, 475 KB  
Article
Induced Currents and Aharonov–Bohm Effect in Effective Fermion Models and in Spaces with a Compact Dimension
by Vladimir Ch. Zhukovsky
Symmetry 2021, 13(2), 210; https://doi.org/10.3390/sym13020210 - 28 Jan 2021
Viewed by 1911
Abstract
We consider fermion models in 3D- and 5D-space-time with an Aharonov–Bohm potential and a domain wall. Induced current is calculated, which is due to vacuum effects in the topologically nontrivial space-time. Violation of chiral symmetry and appearance of induced current is demonstrated in [...] Read more.
We consider fermion models in 3D- and 5D-space-time with an Aharonov–Bohm potential and a domain wall. Induced current is calculated, which is due to vacuum effects in the topologically nontrivial space-time. Violation of chiral symmetry and appearance of induced current is demonstrated in a simple example of quantum mechanical violation of symmetry in a model of a massless Dirac fermion moving in a background vector field and domain walls as barriers for the electron propagation. The effective Dirac equation for massless electrons modeling monolayer graphene is used. One of the solutions to the problem of describing domain walls in planar systems is reduced to finding exact analytic solutions. In this paper, we consider appearance of induced current in two-fermion model with a compact dimension as a result of vacuum polarization in the field of the external gauge field in the 4 + 1 and the 2 + 1 dimensional models with one type of fermions and with two types of fermions living in the brane and in the bulk. Two different approaches (Kaluza–Klein and Aharonov–Bohm) to the problem of induced current are used. Production of an induced current in a planar model with a thin solenoid is also studied. Full article
(This article belongs to the Section Physics)
Show Figures

Figure 1

32 pages, 7323 KB  
Review
A Review on Graphene-Based Light Emitting Functional Devices
by Muhammad Junaid, M. H. Md Khir, Gunawan Witjaksono, Zaka Ullah, Nelson Tansu, Mohamed Shuaib Mohamed Saheed, Pradeep Kumar, Lee Hing Wah, Saeed Ahmed Magsi and Muhammad Aadil Siddiqui
Molecules 2020, 25(18), 4217; https://doi.org/10.3390/molecules25184217 - 14 Sep 2020
Cited by 26 | Viewed by 6187
Abstract
In recent years, the field of nanophotonics has progressively developed. However, constant demand for the development of new light source still exists at the nanometric scale. Light emissions from graphene-based active materials can provide a leading platform for the development of two dimensional [...] Read more.
In recent years, the field of nanophotonics has progressively developed. However, constant demand for the development of new light source still exists at the nanometric scale. Light emissions from graphene-based active materials can provide a leading platform for the development of two dimensional (2-D), flexible, thin, and robust light-emitting sources. The exceptional structure of Dirac’s electrons in graphene, massless fermions, and the linear dispersion relationship with ultra-wideband plasmon and tunable surface polarities allows numerous applications in optoelectronics and plasmonics. In this article, we present a comprehensive review of recent developments in graphene-based light-emitting devices. Light emissions from graphene-based devices have been evaluated with different aspects, such as thermal emission, electroluminescence, and plasmons assisted emission. Theoretical investigations, along with experimental demonstration in the development of graphene-based light-emitting devices, have also been reviewed and discussed. Moreover, the graphene-based light-emitting devices are also addressed from the perspective of future applications, such as optical modulators, optical interconnects, and optical sensing. Finally, this review provides a comprehensive discussion on current technological issues and challenges related to the potential applications of emerging graphene-based light-emitting devices. Full article
(This article belongs to the Special Issue Hybrid Materials for Advanced Applications)
Show Figures

Figure 1

13 pages, 6884 KB  
Article
Band Structure and Physical Properties of α-STF2I3: Dirac Electrons in Disordered Conduction Sheets
by Toshio Naito and Ryusei Doi
Crystals 2020, 10(4), 270; https://doi.org/10.3390/cryst10040270 - 2 Apr 2020
Cited by 12 | Viewed by 3338
Abstract
The compound being investigated is an organic charge-transfer complex of the unsymmetrical donor STF with I3 [STF = bis(ethylenedithio)diselenadithiafulvalene], which is isostructural with α-ET2I3 and α-BETS2I3 [ET = bis(ethylenedithio)tetrathiafulvalene, BETS = bis(ethylenedithio)tetraselenafulvalene]. According to recent studies, [...] Read more.
The compound being investigated is an organic charge-transfer complex of the unsymmetrical donor STF with I3 [STF = bis(ethylenedithio)diselenadithiafulvalene], which is isostructural with α-ET2I3 and α-BETS2I3 [ET = bis(ethylenedithio)tetrathiafulvalene, BETS = bis(ethylenedithio)tetraselenafulvalene]. According to recent studies, the calculated band structure should represent a zero-gap semiconductor at 1 bar that is similar to α-ET2I3 under high pressure (>15 kbar). Such materials have attracted extensive interest because the electrons at the Fermi level can be massless Dirac fermions (MDFs), with relativistic behaviors like those seen in graphene. In fact, α-STF2I3 exhibited nearly temperature-independent resistivity, ρ, (~100–300 K), a phenomenon that is widely observed in zero-gap semiconductors. The non-Arrhenius-type increase in ρ (<~100 K) was consistent with the characteristics of interacting MDFs. The paramagnetic susceptibility, χ, (2–300 K)—as well as the reflectivity, R and optical conductivity, σ, (25–300 K; 400–25,000 cm−1)—were also almost temperature independent. Furthermore, σ was practically independent of wavenumber at ~6000–15,000 cm−1. There was no structural transition based on X-ray studies (90–300 K). Considering all the electrical, magnetic, optical and structural properties of α-STF2I3 at 1 bar, it was concluded that the salt possesses a band structure characterized with Dirac cones, which was consistent with the calculation. Full article
(This article belongs to the Section Inorganic Crystalline Materials)
Show Figures

Figure 1

10 pages, 2541 KB  
Article
Thermoelectric Properties of NiCl3 Monolayer: A First-Principles-Based Transport Study
by Jing Liu, Xiaorui Chen, Yuhong Huang, Hongkuan Yuan and Hong Chen
Nanomaterials 2020, 10(3), 411; https://doi.org/10.3390/nano10030411 - 27 Feb 2020
Cited by 7 | Viewed by 3636
Abstract
By employing the first-principles-based transport theory, we investigate the thermoelectric performance based on the structural and electronic properties of NiCl 3 monolayer. The NiCl 3 monolayer is confirmed to be a stable Dirac spin gapless semiconductor with the linear energy dispersion having almost [...] Read more.
By employing the first-principles-based transport theory, we investigate the thermoelectric performance based on the structural and electronic properties of NiCl 3 monolayer. The NiCl 3 monolayer is confirmed to be a stable Dirac spin gapless semiconductor with the linear energy dispersion having almost massless carrier, high carrier mobility and fully spin-polarization. Further, NiCl 3 monolayer processes the optimum power factor of 4.97 mWm 1 K 2 , the lattice thermal conductivity of 1.89 Wm 1 K 1 , and the dimensionless figure of merit of 0.44 at room temperature under reasonable carrier concentration, indicating that NiCl 3 monolayer may be a potential matrix for promising thermoelectrics. Full article
(This article belongs to the Section Nanocomposite Materials)
Show Figures

Figure 1

Back to TopTop