Wiedemann–Franz Law for Massless Dirac Fermions with Implications for Graphene
Abstract
1. Introduction
2. Wiedemann–Franz Law for Ideal Fermi and Dirac Gases
2.1. Preliminaries
2.2. The Fermi Gas in Metals
2.3. The Dirac Gas in Graphene
3. Landauer–Büttiker Formalism and Simplified Models
3.1. The Formalism Essential
3.2. Simplified Models
3.3. Gapped Systems
4. Exactly Solvable Mesoscopic Systems
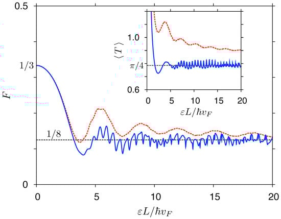
4.1. Transmission-Energy Dependence
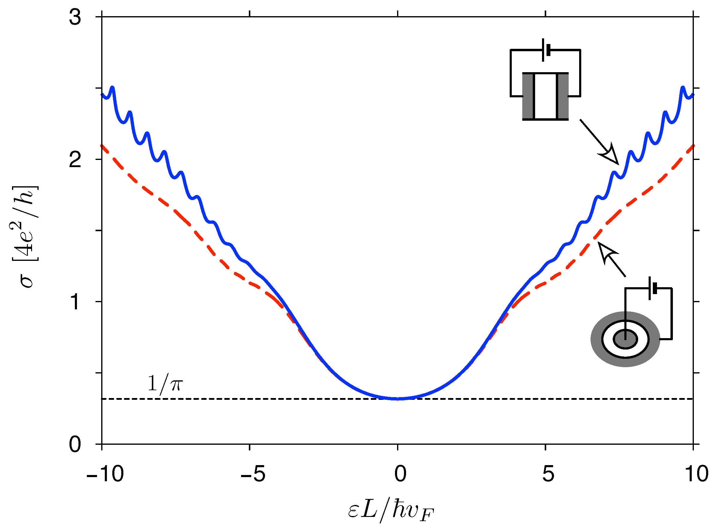
4.2. The Conductivity
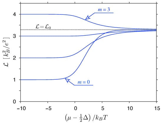
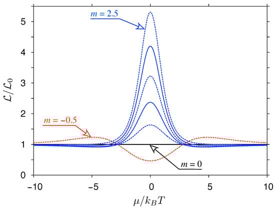
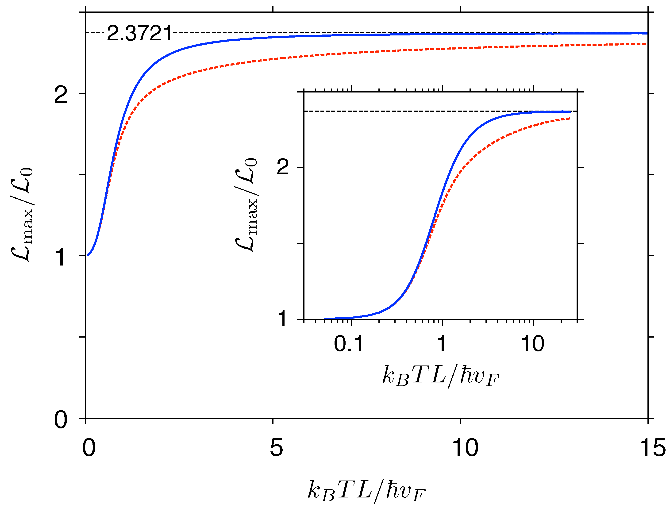
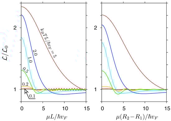
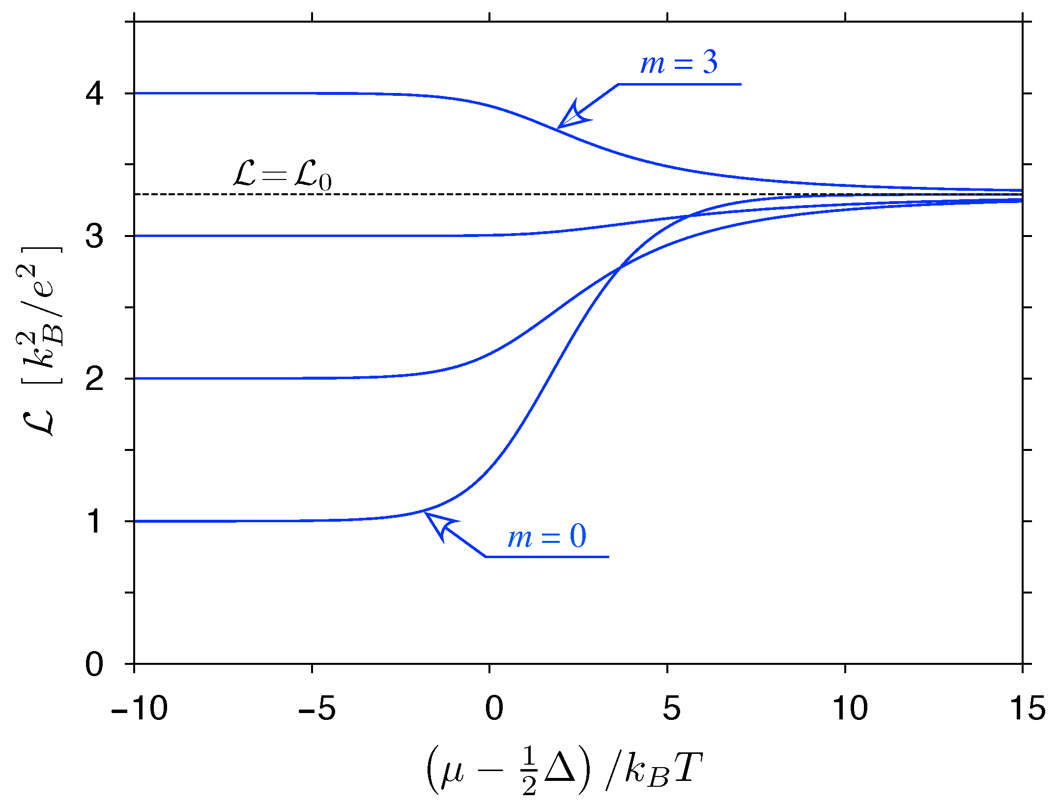
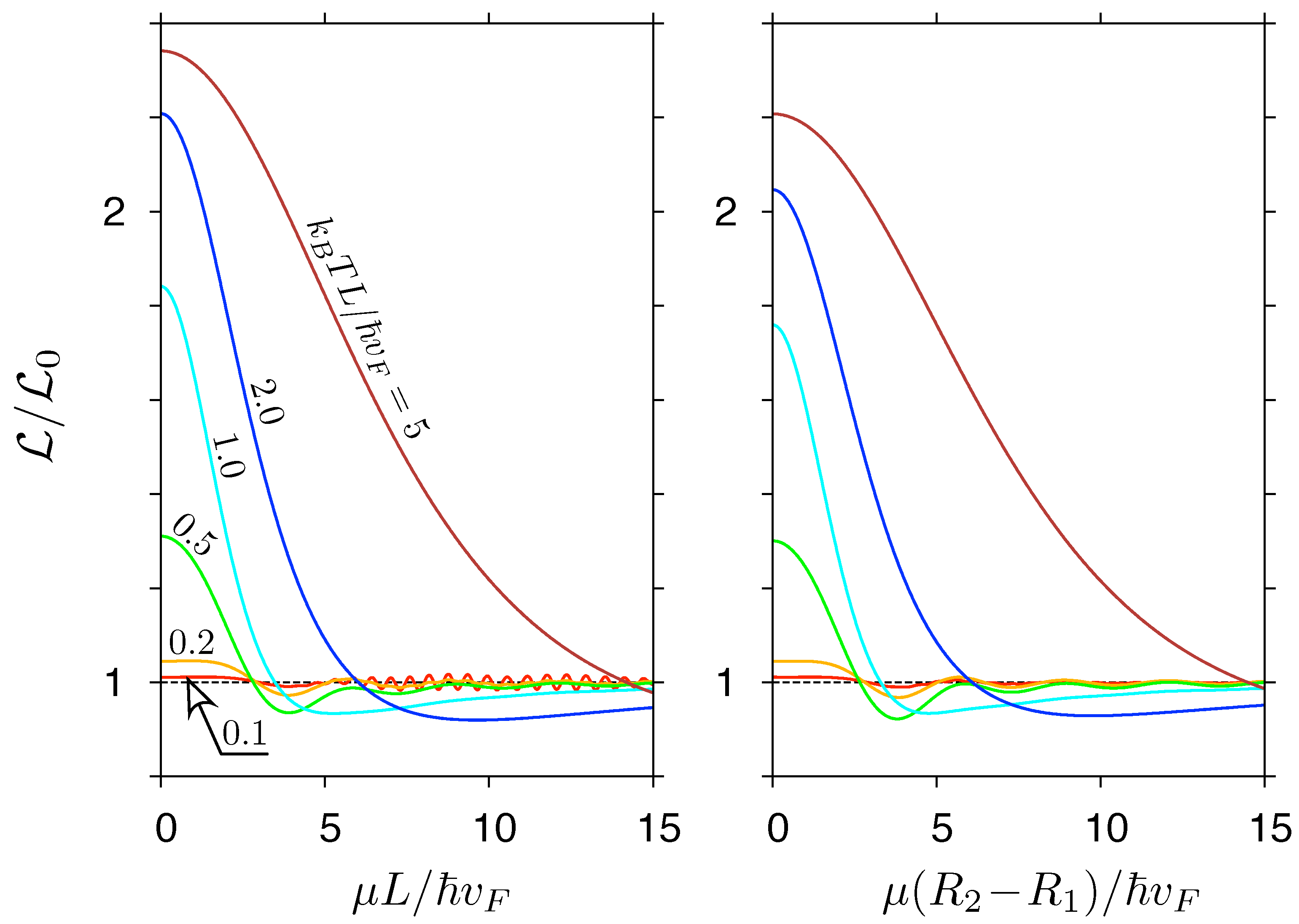
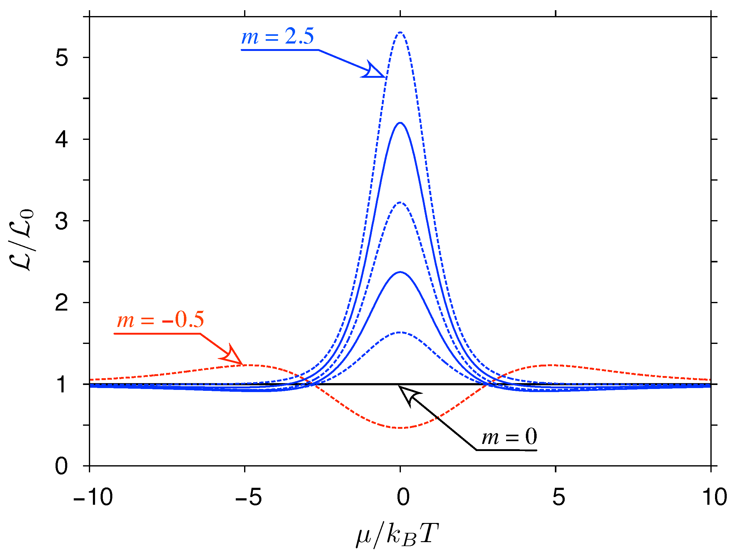
4.3. The Lorentz Number
5. Conclusions
Funding
Institutional Review Board Statement
Informed Consent Statement
Data Availability Statement
Acknowledgments
Conflicts of Interest
Appendix A. Average Transmission per Open Channel and the Enhanced Shot Noise Away from the Dirac Point
References and Notes
- Balandin, A.A.; Ghosh, S.; Bao, W.; Calizo, I.; Teweldebrhan, D.; Miao, F.; Lau, C.N. Superior Thermal Conductivity of Single-Layer Graphene. Nano Lett. 2008, 8, 902–907. [Google Scholar] [CrossRef] [PubMed]
- In order compare the thermal conductivity of graphene with those of familiar three dimensional-systems one usually assumes the layer thickness b = 3.3544Å, being equal to the distance between layers in graphite.
- Alofi, A.; Srivastava, G.P. Thermal conductivity of graphene and graphite. Phys. Rev. B 2013, 87, 115421. [Google Scholar] [CrossRef]
- Alofi, A. Theory of Phonon Thermal Transport in Graphene and Graphite. Ph.D. Thesis, University of Exeter, Exeter, UK, 2014. Available online: http://hdl.handle.net/10871/15687 (accessed on 20 May 2021).
- Crossno, J.; Shi, J.K.; Wang, K.; Liu, X.; Harzheim, A.; Lucas, A.; Sachdev, S.; Kim, P.; Taniguchi, T.; Watanabe, K.; et al. Observation of the Dirac fluid and the breakdown of the Wiedemann-Franz law in graphene. Science 2016, 351, 1058–1061. [Google Scholar] [CrossRef] [PubMed]
- Katsnelson, M.I. Graphene: Carbon in Two Dimensions, 1st ed.; Cambridge University Press: Cambridge, UK, 2012; Chapter 3. [Google Scholar]
- Suszalski, D.; Rut, G.; Rycerz, A. Lifshitz transition and thermoelectric properties of bilayer graphene. Phys. Rev. B 2018, 97, 125403. [Google Scholar] [CrossRef]
- Draelos, A.W.; Silverman, A.; Eniwaye, B.; Arnault, E.G.; Ke, C.T.; Wei, M.T.; Vlassiouk, I.; Borzenets, I.V.; Amet, F.; Finkelstein, G. Subkelvin lateral thermal transport in diffusive graphene. Phys. Rev. B 2019, 99, 125427. [Google Scholar] [CrossRef]
- Kittel, C. Introduction to Solid State Physics, 8th ed.; John Willey and Sons: New York, NY, USA, 2005; Chapter 6. [Google Scholar]
- First-principle calculations for heavily-doped graphene suggest that the WF law is approximately followed also above the room temperature; see: Kim, T.Y.; Park, C.-H.; Marzari, N. The Electronic Thermal Conductivity of Graphene. Nano Lett. 2016, 16, 2439.
- Goldsmid, H.J. The Thermal Conductivity of Bismuth Telluride. Proc. Phys. Soc. B 1956, 69, 203–209. [Google Scholar] [CrossRef]
- Wakeham, N.; Bangura, A.; Xu, X.; Mercure, J.F.; Greenblatt, M.; Hussey, N.E. Gross violation of the Wiedemann-Franz law in a quasi-one-dimensional conductor. Nat. Commun. 2011, 2, 396. [Google Scholar] [CrossRef] [PubMed]
- Tanatar, M.A.; Paglione, J.; Petrovic, C.; Taillefer, L. Anisotropic violation of the Wiedemann-Franz law at a quantum critical point. Science 2007, 316, 1320–1322. [Google Scholar] [CrossRef] [PubMed]
- Lucas, A.; Fong, K.C. Hydrodynamics of electrons in graphene. J. Phys. Condens. Matter 2018, 30, 053001. [Google Scholar] [CrossRef]
- Zarenia, M.; Smith, T.B.; Principi, A.; Vignale, G. Breakdown of the Wiedemann-Franz law in AB-stacked bilayer graphene. Phys. Rev. B 2019, 99, 161407. [Google Scholar] [CrossRef]
- Mendl, C.B.; Polini, M.; Lucas, A. Coherent terahertz radiation from a nonlinear oscillator of viscous electrons. Appl. Phys. Lett. 2021, 118, 013105. [Google Scholar] [CrossRef]
- Ahmadivand, A.; Gerislioglu, B.; Ramezani, Z. Gated graphene island-enabled tunable charge transfer plasmon terahertz metamodulator. Nanoscale 2019, 11, 8091–8095. [Google Scholar] [CrossRef] [PubMed]
- Ahmadivand, A.; Gerislioglu, B.; Noe, G.T.; Mishra, Y.K. Gated Graphene Enabled Tunable Charge–Current Configurations in Hybrid Plasmonic Metamaterials. ACS Appl. Electron. Mater. 2019, 1, 637–641. [Google Scholar] [CrossRef]
- Katsnelson, M. Zitterbewegung, chirality, and minimal conductivity in graphene. Eur. Phys. J. B 2006, 51, 157–160. [Google Scholar] [CrossRef]
- Tworzydło, J.; Trauzettel, B.; Titov, M.; Rycerz, A.; Beenakker, C.W.J. Sub-Poissonian shot noise in graphene. Phys. Rev. Lett. 2006, 96, 246802. [Google Scholar] [CrossRef]
- Prada, E.; San-Jose, P.; Wunsch, B.; Guinea, F. Pseudodiffusive magnetotransport in graphene. Phys. Rev. B 2007, 75, 113407. [Google Scholar] [CrossRef]
- Rycerz, A.; Recher, P.; Wimmer, M. Conformal mapping and shot noise in graphene. Phys. Rev. B 2009, 80, 125417. [Google Scholar] [CrossRef]
- Rycerz, A. Magnetoconductance of the Corbino disk in graphene. Phys. Rev. B 2010, 81, 121404. [Google Scholar] [CrossRef]
- See Kittel, Ch. Introduction to Solid State Physics, 8th ed.; John Willey and Sons: New York, NY, USA, 2005; Chapter 5. A generalization for follows from the mean-square velocity in a selected direction (x), i.e. .
- Alofi, A.; Srivastava, G.P. Evolution of thermal properties from graphene to graphite. Appl. Phys. Lett. 2014, 104, 031903. [Google Scholar] [CrossRef]
- Koshino, M.; McCann, E. Parity and valley degeneracy in multilayer graphene. Phys. Rev. B 2010, 81, 115315. [Google Scholar] [CrossRef]
- Nam, Y.; Ki, D.-K.; Soler-Delgado, D.; Morpurgo, A.F. A family of finite-temperature electronic phase transitions in graphene multilayers. Science 2017, 362, 324–328. [Google Scholar] [CrossRef]
- Suszalski, D.; Rut, G.; Rycerz, A. Conductivity scaling and the effects of symmetry-breaking terms in bilayer graphene Hamiltonian. Phys. Rev. B 2020, 101, 125425. [Google Scholar] [CrossRef]
- More accurate expressions for in low temperatures can be derived via the Sommerfeld expansion; for instance, the parabolic dispersion relation in leads to , and with . See, eg.: M. Selmke, The Sommerfeld Expansion. Universitat Leipzig, Leipzig. 2007. Available online: https://photonicsdesign.jimdofree.com/pdfs/ (accessed on 21 May 2021).
- See., e.g.: B. Van Zeghbroeck, Principles of Semiconductor Devices. University of Colorado, Boulder, 2011; Chapter 2. Available online: http://ecee.colorado.edu/~bart/book/book/chapter2/ch2_4.htm (accessed on 21 May 2021).
- Mahajan, R.; Barkeshli, M.; Hartnoll, S.A. Non-Fermi liquids and the Wiedemann-Franz law. Phys. Rev. B 2013, 88, 125107. [Google Scholar] [CrossRef]
- Lavasani, A.; Bulmash, D.; Das Sarma, S. Wiedemann-Franz law and Fermi liquids. Phys. Rev. B 2019, 99, 085104. [Google Scholar] [CrossRef]
- Miao, F.; Wijeratne, S.; Zhang, Y.; Coscun, U.C.; Bao, W.; Lau, C.N. Phase-Coherent Transport in Graphene Quantum Billiards. Science 2007, 317, 1530–1533. [Google Scholar] [CrossRef] [PubMed]
- Danneau, R.; Wu, F.; Craciun, M.F.; Russo, S.; Tomi, M.Y.; Salmilehto, J.; Morpurgo, A.F.; Hakonen, P.J. Shot Noise in Ballistic Graphene. Phys. Rev. Lett. 2008, 100, 196802. [Google Scholar] [CrossRef]
- Strictly speaking, the value of vF may also be modified (by up to 20–30%) by applying strain. However, controlling vF is much more difficult than controlling n via the gate voltage.
- Yoshino, H.; Murata, K. Significant Enhancement of Electronic Thermal Conductivity of Two-Dimensional Zero-Gap Systems by Bipolar-Diffusion Effect. J. Phys. Soc. Jpn. 2015, 84, 024601. [Google Scholar] [CrossRef]
- Oldham, K.; Myland, J.; Spanier, J. An Atlas of Functions, 2nd ed.; Springe: New York, NY, USA, 2009; Chapter 25. [Google Scholar]
- Landauer, R. Spatial Variation of Currents and Fields Due to Localized Scatterers in Metallic Conduction. IBM J. Res. Dev. 1957, 1, 223–231. [Google Scholar] [CrossRef]
- Buttiker, M.; Imry, Y.; Landauer, R.; Pinhas, S. Generalized many-channel conductance formula with application to small rings. Phys. Rev. B 1985, 31, 6207. [Google Scholar] [CrossRef] [PubMed]
- Buttiker, M. Four-Terminal Phase-Coherent Conductance. Phys. Rev. Lett. 1986, 57, 1761. [Google Scholar] [CrossRef]
- Buttiker, M. Symmetry of electrical conduction. IBM J. Res. Dev. 1988, 32, 317–334. [Google Scholar] [CrossRef]
- Esfarjani, K.; Zebarjadi, M.; Kawazoe, Y. Thermoelectric properties of a nanocontact made of two-capped single-wall carbon nanotubes calculated within the tight-binding approximation. Phys. Rev. B 2006, 73, 085406. [Google Scholar] [CrossRef]
- Sharapov, S.G.; Gusynin, V.P.; Beck, H. Transport properties in the d-density-wave state in an external magnetic field: The Wiedemann-Franz law. Phys. Rev. B 2003, 67, 144509. [Google Scholar] [CrossRef]
- Gómez-Silva, G.; Ávalos-Ovando, O.; Ladrón de Guevara, M.L.; Orellana, P.A. Enhancement of thermoelectric efficiency and violation of the Wiedemann-Franz law due to Fano effect. J. Appl. Phys. 2012, 111, 053704. [Google Scholar] [CrossRef]
- Wang, R.N.; Dong, G.Y.; Wang, S.F.; Fu, G.S.; Wang, J.L. Impact of contact couplings on thermoelectric properties of anti, Fano, and Breit-Wigner resonant junctions. J. Appl. Phys. 2016, 120, 184303. [Google Scholar] [CrossRef]
- Karki, D.B. Wiedemann-Franz law in scattering theory revisited. Phys. Rev. B 2020, 102, 115423. [Google Scholar] [CrossRef]
- Suszalski, D.; Rut, G.; Rycerz, A. Thermoelectric properties of gapped bilayer graphene. J. Phys. Condens. Matter 2019, 31, 415501. [Google Scholar] [CrossRef]
- Bardarson, J.H.; Tworzydło, J.; Brouwer, P.W.; Beenakker, C.W.J. One-Parameter Scaling at the Dirac Point in Graphene. Phys. Rev. Lett. 2007, 99, 106801. [Google Scholar] [CrossRef] [PubMed]
- Lewenkopf, C.H.; Mucciolo, E.R.; Castro Neto, A.H. Numerical studies of conductivity and Fano factor in disordered graphene. Phys. Rev. B 2008, 77, 081410. [Google Scholar] [CrossRef]
- Sui, Y.; Low, T.; Lundstrom, M.; Appenzeller, J. Signatures of Disorder in the Minimum Conductivity of Graphene. Nano Lett. 2011, 11, 1319–1322. [Google Scholar] [CrossRef] [PubMed]
- Suszalski, D.; Rut, G.; Rycerz, A. Mesoscopic valley filter in graphene Corbino disk containing a p-n junction. J. Phys. Mater. 2020, 3, 015006. [Google Scholar] [CrossRef]
- Kumar, M.; Laitinen, A.; Hakonen, P. Unconventional fractional quantum Hall states and Wigner crystallization in suspended Corbino graphene. Nat. Commun. 2018, 9, 2776. [Google Scholar] [CrossRef] [PubMed]
- Zeng, Y.; Li, J.I.A.; Dietrich, S.A.; Ghosh, O.M.; Watanabe, K.; Taniguchi, T.; Hone, J.; Dean, C.R. High-Quality Magnetotransport in Graphene Using the Edge-Free Corbino Geometry. Phys. Rev. Lett. 2019, 122, 137701. [Google Scholar] [CrossRef] [PubMed]
- Armitage, N.P.; Mele, E.J.; Vishwanath, A. Weyl and Dirac Semimetals in Three Dimensional Solids. Rev. Mod. Phys. 2018, 90, 15001. [Google Scholar] [CrossRef]
- Sharma, G.; Tewari, S. Transverse thermopower in Dirac and Weyl semimetals. Phys. Rev. B 2019, 100, 195113. [Google Scholar] [CrossRef]








Publisher’s Note: MDPI stays neutral with regard to jurisdictional claims in published maps and institutional affiliations. |
© 2021 by the author. Licensee MDPI, Basel, Switzerland. This article is an open access article distributed under the terms and conditions of the Creative Commons Attribution (CC BY) license (https://creativecommons.org/licenses/by/4.0/).
Share and Cite
Rycerz, A. Wiedemann–Franz Law for Massless Dirac Fermions with Implications for Graphene. Materials 2021, 14, 2704. https://doi.org/10.3390/ma14112704
Rycerz A. Wiedemann–Franz Law for Massless Dirac Fermions with Implications for Graphene. Materials. 2021; 14(11):2704. https://doi.org/10.3390/ma14112704
Chicago/Turabian StyleRycerz, Adam. 2021. "Wiedemann–Franz Law for Massless Dirac Fermions with Implications for Graphene" Materials 14, no. 11: 2704. https://doi.org/10.3390/ma14112704
APA StyleRycerz, A. (2021). Wiedemann–Franz Law for Massless Dirac Fermions with Implications for Graphene. Materials, 14(11), 2704. https://doi.org/10.3390/ma14112704
